Stress Tolerance and Contribution to Aroma Profile of Pichia kudriavzevii GAAS-JG-1 Isolated from Apricot Fermentation in Co-Fermentation of Sea Buckthorn Wine
Abstract
1. Introduction
2. Materials and Methods
2.1. Preparation and Spontaneous Fermentation of Apricot Puree
2.2. Isolation and Purification of Strains
2.3. Identification of Pichia kudriavzevii GAAS-JG-1
2.4. Preservation of Pichia kudriavzevii GAAS-JG-1
2.5. Tolerance Assays of Yeast Strains
2.5.1. pH Tolerance
2.5.2. Ethanol Tolerance
2.5.3. Glucose Tolerance
2.5.4. Sulfur Dioxide Tolerance
2.5.5. Temperature Tolerance
2.5.6. Laboratory-Scale Fermentation of Sea Buckthorn Fruit Wine
2.5.7. Analysis of Volatile Aroma Compounds in Sea Buckthorn Fruit Wine
2.6. Statistical Analysis
3. Results and Discussion
3.1. Isolation and Identification of Pichia kudriavzevii GAAS-JG-1
3.2. Physiological Characterization
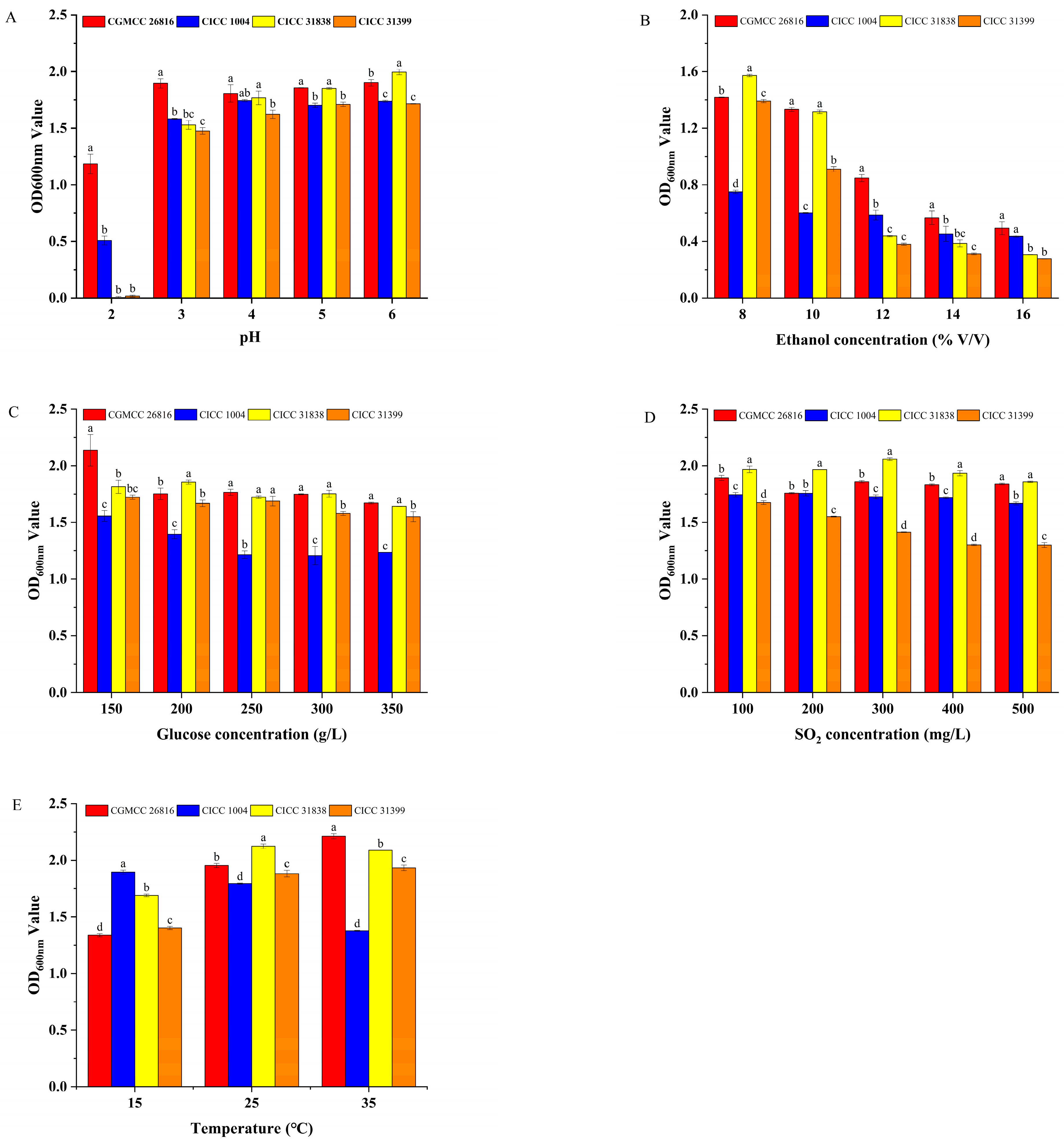
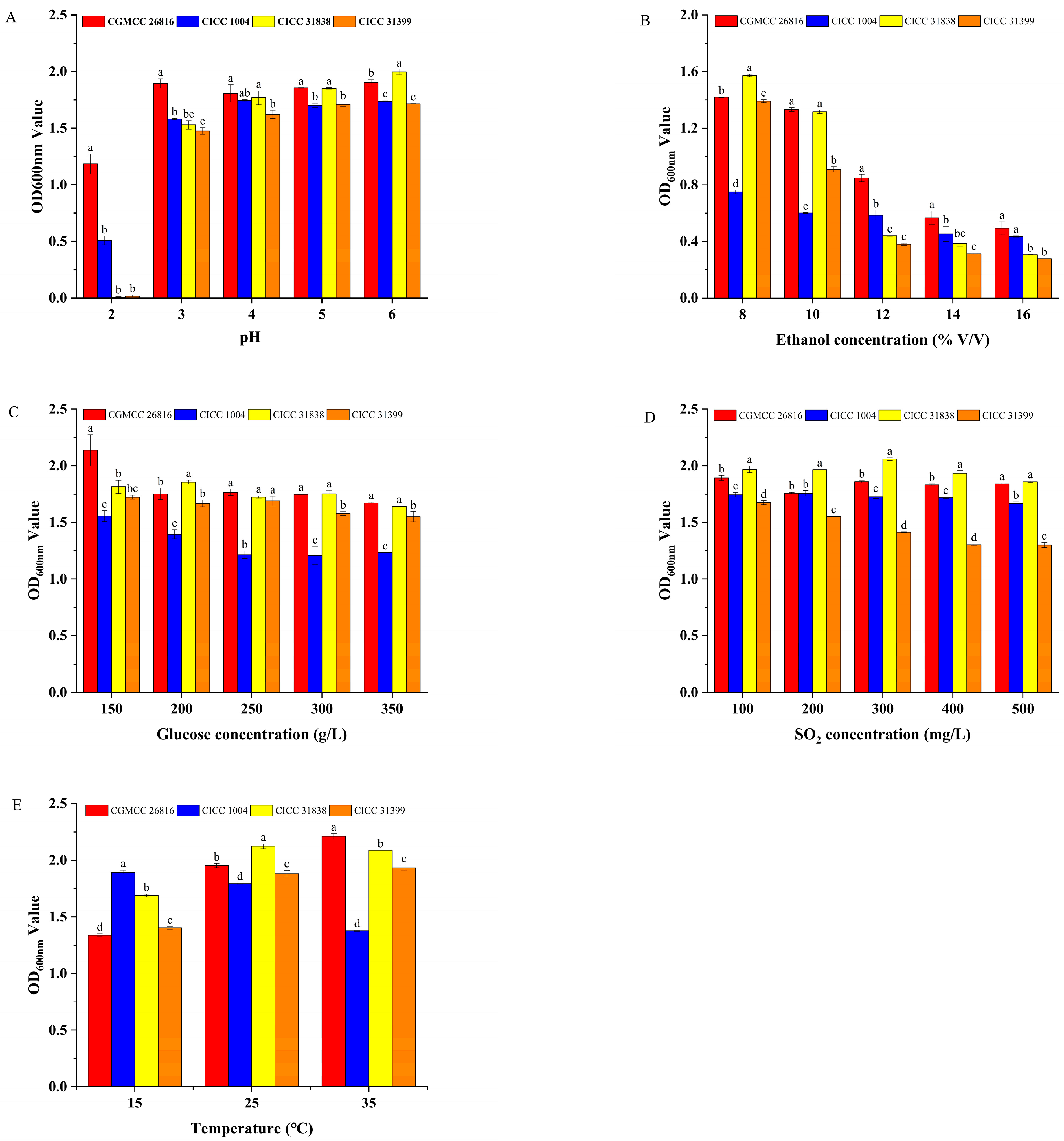
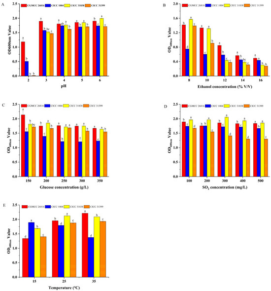
3.2.1. Properties of pH Tolerance of the Selected Yeasts
3.2.2. Properties of Ethanol Tolerance of the Selected Yeasts
3.2.3. Properties of Glucose Tolerance of the Selected Yeasts
3.2.4. Properties of Sulfur Dioxide Tolerance of the Selected Yeasts
3.2.5. Properties of Temperature Tolerance of the Selected Yeasts
3.3. The Effect of Pichia kudriavzevii GAAS-JG-1 on Volatile Flavor Compounds in Fermented Sea Buckthorn Wine
3.3.1. Ester Compounds
3.3.2. Alcohol Compounds
3.3.3. Acid Compounds
3.3.4. Aldehyde and Ketone Compounds
4. Conclusions
Supplementary Materials
Author Contributions
Funding
Institutional Review Board Statement
Informed Consent Statement
Data Availability Statement
Conflicts of Interest
References
- Rêgo, E.S.B.; Rosa, C.A.; Freire, A.L.; Machado, A.M.d.R.; Gomes, F.d.C.O.; Costa, A.S.P.d.; Mendonça, M.d.C.; Hernández-Macedo, M.L.; Padilha, F.F. Cashew wine and volatile compounds produced during fermentation by non-Saccharomyces and Saccharomyces yeast. LWT—Food Sci. Technol. 2020, 126, 109291. [Google Scholar] [CrossRef]
- Almeida Dos Anjos, V.H.; de Brito Araújo Carvalho, A.J.; Prudêncio Dutra, M.D.C.; Cândido da Silva, M.C.; Santos Leite Neta, M.T.; Cardoso Viana, A.; Dos Lantos Lima, M. Effect of commercial Saccharomyces cerevisiae and non-Saccharomyces yeasts on the chemical composition and bioaccessibility of pineapple wine. Food Res. Int. 2024, 194, 114888. [Google Scholar] [CrossRef]
- Zhang, Z.; Wen, X.; Chen, X.; Liu, X.; Gao, Z.; Bi, P.; Sun, W.; Li, S.; Guo, J. Comparison of volatile compounds and sensory profiles of low-alcohol pear beverages fermented with Saccharomyces cerevisiae and different non-Saccharomyces cerevisiae. Food Microbiol. 2024, 124, 104600. [Google Scholar] [CrossRef] [PubMed]
- Huang, Q.; Su, Y.Y.; Zuo, Y.; Li, Q. Directional domestication of Saccharomyces cerevisiae tolerant to high concentration ethanol and its application in mulberry wine brewing. Food Ferment. Ind. 2023, 49, 166–173. [Google Scholar]
- Li, B.; Deng, M.; Chen, Y.; Wan, Y.; Liu, C.; Fu, G. Identification and fermentation characteristics of ester-producing yeast from high acidity fruit wine. China Brew. 2020, 39, 103–108. [Google Scholar]
- Su, Y.; Dong, Q.; Chen, Y.; Wang, R.; Jiang, J.; Qin, Y.; Song, Y.; Liu, Y. Impact of sequential inoculation timing on the quality of wine fermented by indigenous Lachancea thermotolerans and Saccharomyces cerevisiae. LWT—Food Sci. Technol. 2024, 204, 116438. [Google Scholar] [CrossRef]
- Wei, R.; Chen, N.; Ding, Y.; Wang, L.; Liu, Y.; Gao, F.; Zhang, L.; Li, H.; Wang, H. Correlations between microbiota with physicochemical properties and volatile compounds during the spontaneous fermentation of Cabernet Sauvignon (Vitis vinifera L.) wine. LWT—Food Sci. Technol. 2022, 163, 113529. [Google Scholar] [CrossRef]
- He, W.; Liu, S.; Heponiemi, P.; Heinonen, M.; Marsol-Vall, A.; Ma, X.; Yang, B.; Laaksonen, O. Effect of Saccharomyces cerevisiae and Schizosaccharomyces pombe strains on chemical composition and sensory quality of ciders made from Finnish apple cultivars. Food Chem. 2021, 345, 128833. [Google Scholar] [CrossRef]
- Xi, X.; Xin, A.; You, Y.; Huang, W.; Zhan, J. Increased Varietal Aroma Diversity of Marselan Wine by Mixed Fermentation with Indigenous Non-Saccharomyces Yeasts. Fermentation 2021, 7, 133. [Google Scholar] [CrossRef]
- Muñoz-Redondo, J.M.; Puertas, B.; Cantos-Villar, E.; Jiménez-Hierro, M.J.; Carbú, M.; Garrido, C.; Ruiz-Moreno, M.J.; Moreno-Rojas, J.M. Impact of Sequential Inoculation with the Non-Saccharomyces T. delbrueckii and M. pulcherrima Combined with Saccharomyces cerevisiae Strains on Chemicals and Sensory Profile of Rosé Wines. J. Agric. Food Chem. 2021, 69, 1598–1609. [Google Scholar] [CrossRef]
- Chen, Y.; Lei, X.; Sun, L.; Gao, B.; An, P.; Ye, D.; Mu, H.; Qin, Y.; Song, Y.; Liu, Y. Exploring the potentials of indigenous Saccharomyces cerevisiae and Pichia kudriavzevii for enhancing flavour and aromatic characteristics in apricot wines. Food Chem. X 2025, 25, 102178. [Google Scholar] [CrossRef] [PubMed]
- Liu, S.; Lou, Y.; Zhao, Y.; Cai, Y.; Cao, M.; Li, Y.; Li, P.; Gu, Q. Multi-omics analyses of the mechanism for formation of key aroma-active compounds in blood orange wine fermented by Pichia kudriavzevii. Food Res. Int. 2024, 198, 115321. [Google Scholar] [CrossRef] [PubMed]
- Wang, Y.; Huang, Y.; Guo, Y.; Sun, L.; Jiang, Z.; Zhu, Y.; Zeng, R.; Li, Q.; Xiao, C.; Zuo, Y. Dissecting Interactions of Saccharomyces cerevisiae and Pichia kudriavzevii to Shape Kiwifruit Wine Flavor. Foods 2024, 13, 4077. [Google Scholar] [CrossRef]
- Bi, P.; Sun, W.; Li, S.; Liu, X.; Tian, Y.; Long, F.; Zhang, Z.; Guo, J. Characterization of the effect of non-Saccharomyces cerevisiaes on the non-volatile constituents and volatile profiles of low-alcoholic pomegranate beverages. Food Biosci. 2024, 59, 103870. [Google Scholar] [CrossRef]
- Beatriz, P.; Gil José, V.; Paloma, M. Past and future of non-saccharomyces yeasts: From spoilage microorganisms to biotechnological tools for improving wine aroma complexity. Front. Microbiol. 2016, 7, 411. [Google Scholar]
- Boscaino, F.; Ionata, E.; La Cara, F.; Guerriero, S.; Marcolongo, L.; Sorrentino, A. Impact of Saccharomyces cerevisiae and Metschnikowia fructicola autochthonous mixed starter on Aglianico wine volatile compounds. J. Food Sci. Technol. 2019, 56, 4982–4991. [Google Scholar] [CrossRef]
- Ge, Q.; Guo, C.; Yan, Y.; Sun, X.; Ma, T.; Zhang, J.; Li, C.; Gou, C.; Yue, T.; Yuan, Y. Contribution of non-Saccharomyces yeasts to aroma-active compound production, phenolic composition and sensory profile in Chinese Vidal icewine. Food Biosci. 2022, 46, 101152. [Google Scholar] [CrossRef]
- Hranilovic, A.; Gambetta, J.M.; Jeffery, D.W.; Grbin, P.R.; Jiranek, V. Lower-alcohol wines produced by Metschnikowia pulcherrima and Saccharomyces cerevisiae co-fermentations: The effect of sequential inoculation timing. Int. J. Food Microbiol. 2020, 329, 108651. [Google Scholar] [CrossRef]
- Kregiel, D.; Pawlikowska, E.; Antolak, H.; Dzieko’nska-Kubczak, U.; Pielech-Przybylska, K. Exploring Use of the Metschnikowia pulcherrima Clade to Improve Properties of Fruit Wines. Fermentation 2022, 8, 247. [Google Scholar] [CrossRef]
- Englezos, V.; Rantsiou, K.; Cravero, F.; Torchio, F.; Pollon, M.; Daniela, F.; Ortiz-Julien, A.; Gerbi, V.; Rolle, L.; Cocolin, L. Volatile profile of white wines fermented with sequential inoculation of Starmerella bacillaris and Saccharomyces cerevisiae. Food Chem. 2018, 257, 350–360. [Google Scholar] [CrossRef]
- Guerrini, S.; Galli, V.; Barbato, D.; Facchini, G.; Mangani, S.; Pierguidi, L.; Granchi, L. Effects of Saccharomyces cerevisiae and Starmerella bacillaris on the physicochemical and sensory characteristics of sparkling pear cider (Perry). Eur. Food Res. Technol. 2023, 249, 341–352. [Google Scholar] [CrossRef]
- Kong, C.; Li, A.; Su, J.; Wang, X.; Chen, C.; Tao, Y. Flavor modification of dry red wine from Chinese spine grape by mixed fermentation with Pichia fermentans and S. cerevisiae. LWT—Food Sci. Technol. 2019, 109, 83–92. [Google Scholar] [CrossRef]
- Englezos, V.; Pollon, M.; Rantsiou, K.; Ortiz-Julien, A.; Botto, R.; Rio Segade, S.; Giacosa, S.; Rolle, L.; Cocolin, L. Saccharomyces cerevisiae-Starmerella bacillaris strains interaction modulates chemical and volatile profile in red wine mixed fermentations. Food Res. Int. 2019, 122, 392–401. [Google Scholar] [CrossRef]
- Zeng, C.; Mu, Y.; Yuan, J.; Zhang, H.; Song, J.; Kang, S. Apple cultivar-influenced differences in cider: A comprehensive analysis of physicochemical and aroma compounds. Microchem. J. 2025, 208, 112382. [Google Scholar] [CrossRef]
- Ruiz, J.; Kiene, F.; Belda, I.; Fracassetti, D.; Marquina, D.; Navascués, E.; Calderón, F.; Benito, A.; Rauhut, D.; Santos, A.; et al. Effects on varietal aromas during wine making: A review of the impact of varietal aromas on the flavor of wine. Appl. Microbiol. Biotechnol. 2019, 103, 7425–7450. [Google Scholar] [CrossRef]
- Saini, S.; Laaksonen, O.; Liu, S.; Yang, B.; Kelanne, N. Chemical and sensory characteristics of lingonberry (Vaccinium vitis-idaea) alcoholic beverages produced using Saccharomyces cerevisiae, Torulaspora delbrueckii and Metschnikowia pulcherrima yeasts. Food Biosci. 2024, 62, 105393. [Google Scholar] [CrossRef]
- Wu, Y.; Li, Z.; Zou, S.; Dong, L.; Lin, X.; Chen, Y.; Zhang, S.; Ji, C.; Liang, H. Chemical Composition and Flavor Characteristics of Cider Fermented with Saccharomyces cerevisiae and Non-Saccharomyces cerevisiae. Foods 2023, 12, 3565. [Google Scholar] [CrossRef]
- Zhang, Z.; Lan, Q.; Yu, Y.; Zhou, J.; Lu, H. Comparative metabolome and transcriptome analyses of the properties of Kluyveromyces marxianus and Saccharomyces yeasts in apple cider fermentation. Food Chem.-Mol. Sci. 2022, 4, 100095. [Google Scholar] [CrossRef]
- Yang, L.; Zhu, X.; Mao, Y.; Zhang, X.; Xu, B.; Yang, X. Effect of different inoculation strategies of mixed culture Saccharomyces cerevisiae/Oenococcus oeni on the aroma quality of Chardonnay wine. Food Res. Int. 2024, 190, 114636. [Google Scholar] [CrossRef]
- Sun, N.; Gao, Z.; Li, S.; Chen, X.; Guo, J. Assessment of chemical constitution and aroma properties of kiwi wines obtained from pure and mixed fermentation with Wickerhamomyces anomalus and Saccharomyces cerevisiae. J. Sci. Food Agric. 2022, 102, 175–184. [Google Scholar] [CrossRef]
- Fejzullahu, F.; Kiss, Z.; Kun-Farkas, G.; Kun, S. Influence of Non-Saccharomyces Strains on Chemical Characteristics and Sensory Quality of Fruit Spirit. Foods 2021, 10, 1336. [Google Scholar] [CrossRef]
- Pu, X.; Ye, P.; Sun, J.; Zhao, C.; Shi, X.; Wang, B.; Cheng, W. Investigation of dynamic changes in quality of small white apricot wine during fermentation. LWT—Food Sci. Technol. 2023, 176, 114536. [Google Scholar] [CrossRef]
- Hu, L.; Chen, X.; Cao, Y.; Gao, P.; Xu, T.; Xiong, D.; Zhao, Z. Lactiplantibacillus plantarum exerts strain-specific effects on malolactic fermentation, antioxidant activity, and aroma profile of apple cider. Food Chem. X 2024, 23, 101575. [Google Scholar] [CrossRef]
- Xu, J.; Guo, L.; Wang, T.; Ma, M.; Wang, B.; Wei, X.; Fan, M. Effect of inorganic and organic nitrogen supplementation on volatile components and aroma profile of cider. Food Res. Int. 2022, 161, 111765. [Google Scholar] [CrossRef]
- Chen, L.; Li, D.; Ren, L.; Song, S.; Ma, X.; Rong, Y. Effects of simultaneous and sequential cofermentation of Wickerhamomyces anomalus and Saccharomyces cerevisiae on physicochemical and flavor properties of rice wine. Food Sci. Nutr. 2021, 9, 71–86. [Google Scholar] [CrossRef]
- Wang, F.; Zhao, P.; Du, G.; Zhai, J.; Guo, Y.; Wang, X. Advancements and challenges for brewing aroma-enhancement fruit wines: Microbial metabolizing and brewing techniques. Food Chem. 2024, 456, 139981. [Google Scholar] [CrossRef]
- Dourron, J.; De Ovalle, S.; González-Pombo, P.; Villarino, A.; Ramón, A.; Costábile, A. Genome sequencing and oenologically relevant traits of the Uruguayan native yeast Issatchenkia terricola. OENO One 2022, 56, 103–119. [Google Scholar] [CrossRef]
- Xiang, X.; Lan, Y.; Gao, X.; Xie, H.; An, Z.; Lv, Z.; Shi, Y.; Duan, C.; Wu, G. Characterization of odor-active compounds in the head, heart, and tail fractions of freshly distilled spirit from Spine grape (Vitis davidii Foex) wine by gas chromatography-olfactometry and gas chromatography-mass spectrometry. Food Res. Int. 2020, 137, 109388. [Google Scholar] [CrossRef]
- Lyu, J.; Tian, X.; Ma, Y.; Xu, Y.; Tang, K. Characterization of Odorants Causing the Hawthorn Aroma in Cabernet Sauvignon Wine by Gas Chromatography-Olfactometry, Quantitation, Aroma Recombination, Omission, and Addition Studies. J. Agric. Food Chem. 2025, 73, 3016–3024. [Google Scholar] [CrossRef]
- Miao, Y.; Wang, H.; Xu, X.; Ye, P.; Wu, H.; Zhao, R.; Shi, X. Chemical and Sensory Characteristics of Different Red Grapes Grown in Xinjiang, China: Insights into Wines Composition. Fermentation 2022, 8, 689. [Google Scholar] [CrossRef]
- Spaho, N.; Gaši, F.; Leitner, E.; Blesić, M.; Akagić, A.; Žuljević, S.O.; Kurtović, M.; Ratković, D.Đ.; Murtić, M.S.; Akšić, M.F.; et al. Characterization of Volatile Compounds and Flavor in Spirits of Old Apple and Pear Cultivars from the Balkan Region. Foods 2021, 10, 1258. [Google Scholar] [CrossRef]
- Wei, J.; Zhang, Y.; Zhang, X.; Guo, H.; Yuan, Y.; Yue, T. Multi-omics discovery of aroma-active compound formation by Pichia kluyveri during cider production. LWT—Food Sci. Technol. 2022, 159, 113233. [Google Scholar] [CrossRef]



| S955-2 | GAAS-JG-1 | 514 bp |
|---|---|---|
| GTAGCGGCGAGTGAAGCGGCAAGAGCTCAGATTTGAAATCGTGCTTTGCGGCACGAGTTGTAGATTGCAGGTTGGAGTCTGTGTGGAAGGCGGTGTCCAAGTCCCTTGGAACAGGGCGCCCAGGAGGGTGAGAGCCCCGTGGGATGCCGGCGGAAGCAGTGAGGCCCTTCTGACGAGTCGAGTTGTTTGGGAATGCAGCTCCAAGCGGGTGGTAAATTCCATCTAAGGCTAAATACTGGCGAGAGACCGATAGCGAACAAGTACTGTGAAGGAAAGATGAAAAGCACTTTGAAAAGAGAGTGAAACAGCACGTGAAATTGTTGAAAGGGAAGGGTATTGCGCCCGACATGGGGATTGCGCACCGCTGCCTCTCGTGGGCGGCGCTCTGGGCTTTCCCTGGGCCAGCATCGGTTCTTGCTGCAGGAGAAGGGGTTCTGGAACGTGGCTCTTCGGAGTGTTATAGCCAGGGCCAGATGCTGCGTGCGGGGACCGAGGACTGCGGCCGTGTAGGTCA | ||
Disclaimer/Publisher’s Note: The statements, opinions and data contained in all publications are solely those of the individual author(s) and contributor(s) and not of MDPI and/or the editor(s). MDPI and/or the editor(s) disclaim responsibility for any injury to people or property resulting from any ideas, methods, instructions or products referred to in the content. |
© 2025 by the authors. Licensee MDPI, Basel, Switzerland. This article is an open access article distributed under the terms and conditions of the Creative Commons Attribution (CC BY) license (https://creativecommons.org/licenses/by/4.0/).
Share and Cite
Mu, Y.; Wang, Y.; Zeng, C. Stress Tolerance and Contribution to Aroma Profile of Pichia kudriavzevii GAAS-JG-1 Isolated from Apricot Fermentation in Co-Fermentation of Sea Buckthorn Wine. Microorganisms 2025, 13, 1491. https://doi.org/10.3390/microorganisms13071491
Mu Y, Wang Y, Zeng C. Stress Tolerance and Contribution to Aroma Profile of Pichia kudriavzevii GAAS-JG-1 Isolated from Apricot Fermentation in Co-Fermentation of Sea Buckthorn Wine. Microorganisms. 2025; 13(7):1491. https://doi.org/10.3390/microorganisms13071491
Chicago/Turabian StyleMu, Yuwen, Yu’an Wang, and Chaozhen Zeng. 2025. "Stress Tolerance and Contribution to Aroma Profile of Pichia kudriavzevii GAAS-JG-1 Isolated from Apricot Fermentation in Co-Fermentation of Sea Buckthorn Wine" Microorganisms 13, no. 7: 1491. https://doi.org/10.3390/microorganisms13071491
APA StyleMu, Y., Wang, Y., & Zeng, C. (2025). Stress Tolerance and Contribution to Aroma Profile of Pichia kudriavzevii GAAS-JG-1 Isolated from Apricot Fermentation in Co-Fermentation of Sea Buckthorn Wine. Microorganisms, 13(7), 1491. https://doi.org/10.3390/microorganisms13071491

