Biosynthetic Mechanisms of Plant Chlorogenic Acid from a Microbiological Perspective
Abstract
1. Introduction
2. Chlorogenic Acid Functions
2.1. Biological Functions of Chlorogenic Acid
2.2. Pharmacological Functions of Chlorogenic Acid
3. Chlorogenic Acid Production in Plants
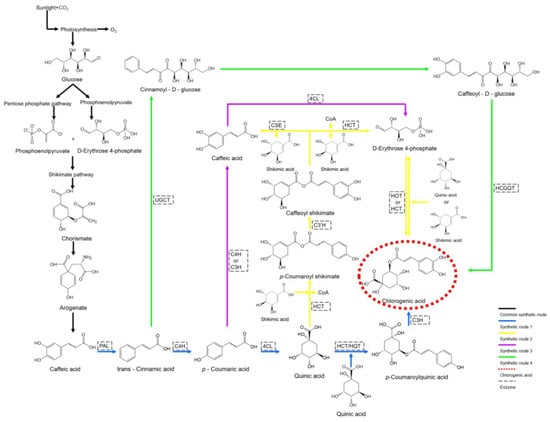
3.1. Chlorogenic Acid Biosynthesis
3.2. The Hub of Biosynthetic Pathways—Key Enzymes
3.3. Regulators—Hormones
3.4. The Manipulators Behind Chlorogenic Acid—Genes
3.4.1. Enzyme Gene
3.4.2. Hormone Biosynthesis and Regulatory Genes
3.4.3. Transcription Factors
4. Promoting Chlorogenic Acid Synthesis—Microorganisms
4.1. Microorganisms: Unlock Plant Nutrient Uptake
4.2. Microorganisms: Providers of Plant Hormones
4.3. Microorganisms: Gene Regulation
4.4. Microbiome: Interactions Between Bacteria, Fungi and Plants
5. Discussion and Prospects
- (1)
- Molecular mechanisms governing gene regulation. Although initial understanding has been established regarding the myriad pathways that microbes employ to influence CGA biosynthesis in plants, the intricate molecular underpinnings of how these microbes exert control over plant gene expression are yet to be fully deciphered. To augment the repertoire of regulatory strategies aimed at enhancing plant CGA biosynthesis, it is imperative that forthcoming research endeavors delve into assessing the capacity of microbes to produce transcription factors or their homologs, alongside investigating alternative molecular pathways that may govern gene expression modulation.
- (2)
- Gene Editing. Current research has shown that microorganisms can regulate the expression of specific genes in plants, leading to increased CGA synthesis. Based on these findings, the CRISPR-Cas9 system can be employed to perform targeted modifications of these key genes in plants, thereby achieving efficient expression and high-yield synthesis of CGA.
- (3)
- Microbial inocula and engineered microbial consortia. Comprising beneficial microorganisms, microbial inocula present a viable strategy for soil health enhancement, serving as sustainable substitutes for conventional chemical fertilizers and pesticides [140]. Engineered microbial consortia, characterized by their simplified composition, high degree of control, and enhanced stability, represent a promising avenue for microbial manipulation [141]. Future research initiatives are poised to focus on CGA-rich plants, exemplified by species such as E. ulmoides and L. japonica. These studies will scrutinize the interplay between microorganisms and plants to pinpoint symbiotic or beneficial microbes that can be harnessed to augment CGA biosynthesis and accumulation within plants.
- (4)
- Exogenous application of plant hormones. It has been demonstrated that certain microorganisms, such as SA, JA, and MeJA, are capable of synthesizing and providing hormones to plants, which in turn promote the synthesis of CGA within plants. A strategy is proposed herein: engineering microorganisms to produce plant hormones [142] and applying them to plants at optimal concentrations to enhance plant growth, reproduction, CGA synthesis, and the production of other secondary metabolites. Moreover, this strategy can regulate the levels of plant hormones, optimize metabolic pathways in plants, and increase the yield of specific secondary metabolites.
Author Contributions
Funding
Institutional Review Board Statement
Informed Consent Statement
Data Availability Statement
Acknowledgments
Conflicts of Interest
Abbreviations
| ABA | Abscisic acid |
| ACC | 1-aminocyclopropane-1-carboxylic acid |
| AM | Arbuscular mycorrhiza |
| AMF | Arbuscular mycorrhizal fungi |
| CGA | Chlorogenic acid |
| CK | Cytokinin |
| C4H | Cinnamic 4-hydroxylase |
| ET | Ethene |
| GA | Gibberellin |
| HCT | Shikimic acid/quinic acid hydroxycinnamyl transferase |
| HQT | Hydroxycinnamoyl-CoA: quinate hydroxycinnamoyl transferase |
| IAA | Indole-3-acetic acid |
| JA | Jasmonic acid |
| RH | Rhizobia |
| ROS | Reactive oxygen species |
| SA | Salicylic acid |
| PGPB | Plant growth-promoting bacteria |
| PAL | Phenylalanine ammonia-lyase |
| PPP | Pentose phosphate pathway |
| PSM | Phosphorus solubilizing microorganism |
| 4CL | 4-coumarate-CoA ligase |
References
- Gupta, A.; Atanasov, A.G.; Li, Y.; Kumar, N.; Bishayee, A. Chlorogenic Acid for Cancer Prevention and Therapy: Current Status on Efficacy and Mechanisms of Action. Pharmacol. Res. 2022, 186, 106505. [Google Scholar] [CrossRef] [PubMed]
- Xue, H.; Wei, M.; Ji, L. Chlorogenic Acids: A Pharmacological Systematic Review on Their Hepatoprotective Effects. Phytomedicine 2023, 118, 154961. [Google Scholar] [CrossRef]
- Nguyen, V.; Taine, E.G.; Meng, D.; Cui, T.; Tan, W. Chlorogenic Acid: A Systematic Review on the Biological Functions, Mechanistic Actions, and Therapeutic Potentials. Nutrients 2024, 16, 924. [Google Scholar] [CrossRef]
- Huang, J.; Xie, M.; He, L.; Song, X.; Cao, T. Chlorogenic Acid: A Review on Its Mechanisms of Anti-Inflammation, Disease Treatment, and Related Delivery Systems. Front. Pharmacol. 2023, 14, 1218015. [Google Scholar] [CrossRef]
- Ding, Y.; Li, X.; Liu, Y.; Wang, S.; Cheng, D. Protection Mechanisms Underlying Oral Administration of Chlorogenic Acid against Cadmium-Induced Hepatorenal Injury Related to Regulating Intestinal Flora Balance. J. Agric. Food Chem. 2021, 69, 1675–1683. [Google Scholar] [CrossRef] [PubMed]
- He, X.; Wang, C.; Zhang, Q.; Yang, T.; Guo, Q.; Wang, Y.; Guo, J.; Wang, P.; Zhang, J.; Tang, H.; et al. Identifying ENO1 as a Protein Target of Chlorogenic Acid to Inhibit Cellular Senescence and Prevent Skin Photoaging in Mice. Aging Cell 2024, 24, e14433. [Google Scholar] [CrossRef]
- Volpi e Silva, N.; Mazzafera, P.; Cesarino, I. Should I Stay or Should I Go: Are Chlorogenic Acids Mobilized towards Lignin Biosynthesis? Phytochemistry 2019, 166, 112063. [Google Scholar] [CrossRef] [PubMed]
- Tu, S.; Wang, J.; Yang, P.; He, Y.; Gong, Z.; Zhong, W. Enhanced Chlorogenic Acid Production from Glucose via Systematic Metabolic Engineering of Saccharomyces cerevisiae. Synth. Syst. Biotechnol. 2025, 10, 707–718. [Google Scholar] [CrossRef]
- Li, Y.; Kong, D.; Fu, Y.; Sussman, M.R.; Wu, H. The Effect of Developmental and Environmental Factors on Secondary Metabolites in Medicinal Plants. Plant Physiol. Biochem. 2020, 148, 80–89. [Google Scholar] [CrossRef]
- Verma, N.; Shukla, S. Impact of Various Factors Responsible for Fluctuation in Plant Secondary Metabolites. J. Appl. Res. Med. Aromat. Plants 2015, 2, 105–113. [Google Scholar] [CrossRef]
- Lv, J.; Yang, S.; Zhou, W.; Liu, Z.; Tan, J.; Wei, M. Microbial Regulation of Plant Secondary Metabolites: Impact, Mechanisms and Prospects. Microbiol. Res. 2024, 283, 127688. [Google Scholar] [CrossRef] [PubMed]
- Ahemad, M.; Kibret, M. Mechanisms and Applications of Plant Growth Promoting Rhizobacteria: Current Perspective. J. King Saud Univ. Sci. 2014, 26, 1–20. [Google Scholar] [CrossRef]
- Xu, W.; Liu, Y.; Cheng, Y.; Zhang, J. Plant Growth-Promoting Effect and Complete Genomic Sequence Analysis of the Beneficial Rhizosphere Streptomyces Sp. GD-4 Isolated from Leymus Secalinus. Microorganisms 2025, 13, 286. [Google Scholar] [CrossRef] [PubMed]
- Ajijah, N.; Fiodor, A.; Pandey, A.K.; Rana, A.; Pranaw, K. Plant Growth-Promoting Bacteria (PGPB) with Biofilm-Forming Ability: A Multifaceted Agent for Sustainable Agriculture. Diversity 2023, 15, 112. [Google Scholar] [CrossRef]
- Tripathi, A.; Awasthi, A.; Singh, S.; Sah, K.; Maji, D.; Patel, V.K.; Verma, R.K.; Kalra, A. Enhancing Artemisinin Yields through an Ecologically Functional Community of Endophytes in Artemisia annua. Ind. Crops Prod. 2020, 150, 112375. [Google Scholar] [CrossRef]
- Jiménez-Gómez, A.; García-Estévez, I.; García-Fraile, P.; Escribano-Bailón, M.T.; Rivas, R. Increase in Phenolic Compounds of Coriandrum Sativum L. after the Application of a Bacillus Halotolerans Biofertilizer. J. Sci. Food Agric. 2020, 100, 2742–2749. [Google Scholar] [CrossRef]
- Singh, B.; Sahu, P.M.; Aloria, M.; Reddy, S.S.; Prasad, J.; Sharma, R.A. Azotobacter chroococcum and Pseudomonas putida Enhance Pyrroloquinazoline Alkaloids Accumulation in Adhatoda vasica Hairy Roots by Biotization. J. Biotechnol. 2022, 353, 51–60. [Google Scholar] [CrossRef]
- Kundu, A.; Vadassery, J. Chlorogenic Acid-Mediated Chemical Defence of Plants against Insect Herbivores. Plant Biol. 2019, 21, 185–189. [Google Scholar] [CrossRef]
- de Sousa, L.P.; Guerreiro Filho, O.; Costa Mondego, J.M. Differences between the Leaf Mycobiome of Coffea Arabica and Wild Coffee Species and Their Modulation by Caffeine/Chlorogenic Acid Content. Microorganisms 2021, 9, 2296. [Google Scholar] [CrossRef]
- Liao, Y.; Zeng, L.; Rao, S.; Gu, D.; Liu, X.; Wang, Y.; Zhu, H.; Hou, X.; Yang, Z. Induced Biosynthesis of Chlorogenic Acid in Sweetpotato Leaves Confers the Resistance against Sweetpotato Weevil Attack. J. Adv. Res. 2020, 24, 513–522. [Google Scholar] [CrossRef]
- Kundu, A.; Mishra, S.; Vadassery, J. Spodoptera Litura-Mediated Chemical Defense Is Differentially Modulated in Older and Younger Systemic Leaves of Solanum Lycopersicum. Planta 2018, 248, 981–997. [Google Scholar] [CrossRef] [PubMed]
- Dai, B.; Wang, Y.; Zhou, H.; Wang, L.; Zhou, L.; Mao, J.; Zhang, S.; Shen, S.; Zheng, X.; Huan, C. Control Efficiency and Potential Mechanisms of Chlorogenic Acid against Postharvest Gray Mold Caused by Botrytis cinerea on Peach Fruit. Postharvest Biol. Technol. 2024, 218, 113134. [Google Scholar] [CrossRef]
- Mei, Y.; Sun, H.; Du, G.; Wang, X.; Lyu, D. Exogenous Chlorogenic Acid Alleviates Oxidative Stress in Apple Leaves by Enhancing Antioxidant Capacity. Sci. Hortic. 2020, 274, 109676. [Google Scholar] [CrossRef]
- Choudhury, F.K.; Rivero, R.M.; Blumwald, E.; Mittler, R. Reactive Oxygen Species, Abiotic Stress and Stress Combination. Plant J. 2017, 90, 856–867. [Google Scholar] [CrossRef] [PubMed]
- Kiani, R.; Arzani, A.; Mirmohammady Maibody, S.a.M. Polyphenols, Flavonoids, and Antioxidant Activity Involved in Salt Tolerance in Wheat, Aegilops Cylindrica and Their Amphidiploids. Front. Plant Sci. 2021, 12, 646221. [Google Scholar] [CrossRef]
- Qie, X.; Chen, W.; Zeng, M.; Wang, Z.; Chen, J.; Goff, H.D.; He, Z. Interaction between β-Lactoglobulin and Chlorogenic Acid and Its Effect on Antioxidant Activity and Thermal Stability. Food Hydrocoll. 2021, 121, 107059. [Google Scholar] [CrossRef]
- Bao, L.; Li, J.; Zha, D.; Zhang, L.; Gao, P.; Yao, T.; Wu, X. Chlorogenic Acid Prevents Diabetic Nephropathy by Inhibiting Oxidative Stress and Inflammation through Modulation of the Nrf2/HO-1 and NF-ĸB Pathways. Int. Immunopharmacol. 2018, 54, 245–253. [Google Scholar] [CrossRef]
- Xiong, S.; Su, X.; Kang, Y.; Si, J.; Wang, L.; Li, X.; Ma, K. Effect and Mechanism of Chlorogenic Acid on Cognitive Dysfunction in Mice by Lipopolysaccharide-Induced Neuroinflammation. Front. Immunol. 2023, 14, 1178188. [Google Scholar] [CrossRef]
- Li, R.; Zhan, Y.; Ding, X.; Cui, J.; Han, Y.; Zhang, J.; Zhang, J.; Li, W.; Wang, L.; Jiang, J. Cancer Differentiation Inducer Chlorogenic Acid Suppresses PD-L1 Expression and Boosts Antitumor Immunity of PD-1 Antibody. Int. J. Biol. Sci. 2024, 20, 61. [Google Scholar] [CrossRef]
- Wang, D.; Tian, L.; Lv, H.; Pang, Z.; Li, D.; Yao, Z.; Wang, S. Chlorogenic Acid Prevents Acute Myocardial Infarction in Rats by Reducing Inflammatory Damage and Oxidative Stress. Biomed. Pharmacother. 2020, 132, 110773. [Google Scholar] [CrossRef]
- Lin, Z.-X.; Wang, C.-J.; Tu, H.-W.; Tsai, M.-T.; Yu, M.-H.; Huang, H.-P. The Neuroprotective Effects of Primary Functional Components Mulberry Leaf Extract in Diabetes-Induced Oxidative Stress and Inflammation. J. Agric. Food Chem. 2025, 73, 3680–3691. [Google Scholar] [CrossRef]
- Yan, Y.; Zhou, X.; Guo, K.; Zhou, F.; Yang, H. Use of Chlorogenic Acid against Diabetes Mellitus and Its Complications. J. Immunol. Res. 2020, 2020, 9680508. [Google Scholar] [CrossRef] [PubMed]
- Zhou, X.; Zhang, B.; Zhao, X.; Lin, Y.; Wang, J.; Wang, X.; Hu, N.; Wang, S. Chlorogenic Acid Supplementation Ameliorates Hyperuricemia, Relieves Renal Inflammation, and Modulates Intestinal Homeostasis. Food Funct. 2021, 12, 5637–5649. [Google Scholar] [CrossRef]
- Zeng, L.; Xiang, R.; Fu, C.; Qu, Z.; Liu, C. The Regulatory Effect of Chlorogenic Acid on Gut-Brain Function and Its Mechanism: A Systematic Review. Biomed. Pharmacother. 2022, 149, 112831. [Google Scholar] [CrossRef]
- Naveed, M.; Hejazi, V.; Abbas, M.; Kamboh, A.A.; Khan, G.J.; Shumzaid, M.; Ahmad, F.; Babazadeh, D.; FangFang, X.; Modarresi-Ghazani, F.; et al. Chlorogenic Acid (CGA): A Pharmacological Review and Call for Further Research. Biomed. Pharmacother. 2018, 97, 67–74. [Google Scholar] [CrossRef] [PubMed]
- Ludwig, I.A.; Paz de Peña, M.; Concepción, C.; Alan, C. Catabolism of Coffee Chlorogenic Acids by Human Colonic Microbiota. BioFactors 2013, 39, 623–632. [Google Scholar] [CrossRef] [PubMed]
- Barros, J.; Dixon, R.A. Plant Phenylalanine/Tyrosine Ammonia-Lyases. Trends Plant Sci. 2020, 25, 66–79. [Google Scholar] [CrossRef]
- KnospSamuel; KriegshauserLucie; TatsumiKanade; MalherbeLudivine; ErhardtMathieu; WiedemannGertrud; BakanBénédicte; KohchiTakayuki; ReskiRalf; RenaultHugues An Ancient Role for CYP73 Monooxygenases in Phenylpropanoid Biosynthesis and Embryophyte Development. EMBO J. 2024, 43, 4092–4109. [CrossRef]
- Valiñas, M.A.; Lanteri, M.L.; ten Have, A.; Andreu, A.B. Chlorogenic Acid Biosynthesis Appears Linked with Suberin Production in Potato Tuber (Solanum Tuberosum). J. Agric. Food Chem. 2015, 63, 4902–4913. [Google Scholar] [CrossRef]
- Gramazio, P.; Prohens, J.; Plazas, M.; Andújar, I.; Herraiz, F.J.; Castillo, E.; Knapp, S.; Meyer, R.S.; Vilanova, S. Location of Chlorogenic Acid Biosynthesis Pathway and Polyphenol Oxidase Genes in a New Interspecific Anchored Linkage Map of Eggplant. BMC Plant Biol. 2014, 14, 350. [Google Scholar] [CrossRef]
- Barros, J.; Escamilla-Trevino, L.; Song, L.; Rao, X.; Serrani-Yarce, J.C.; Palacios, M.D.; Engle, N.; Choudhury, F.K.; Tschaplinski, T.J.; Venables, B.J.; et al. 4-Coumarate 3-Hydroxylase in the Lignin Biosynthesis Pathway Is a Cytosolic Ascorbate Peroxidase. Nat. Commun. 2019, 10, 1–11. [Google Scholar] [CrossRef] [PubMed]
- Alcázar Magaña, A.; Kamimura, N.; Soumyanath, A.; Stevens, J.F.; Maier, C.S. Caffeoylquinic Acids: Chemistry, Biosynthesis, Occurrence, Analytical Challenges, and Bioactivity. Plant J. 2021, 107, 1299–1319. [Google Scholar] [CrossRef]
- Lallemand, L.A.; Zubieta, C.; Lee, S.G.; Wang, Y.; Acajjaoui, S.; Timmins, J.; McSweeney, S.; Jez, J.M.; McCarthy, J.G.; McCarthy, A.A. A Structural Basis for the Biosynthesis of the Major Chlorogenic Acids Found in Coffee. Plant Physiol. 2012, 160, 249–260. [Google Scholar] [CrossRef]
- He, W.; Liu, M.; Yue, M.; Chen, Q.; Ye, S.; Zhou, J.; Zeng, W.; Xia, Y. De Novo Biosynthesis of Chlorogenic Acid in Yarrowia Lipolytica through Cis-Acting Element Optimization and NADPH Regeneration Engineering. J. Agric. Food Chem. 2025, 73, 6081–6091. [Google Scholar] [CrossRef] [PubMed]
- Atkinson, D.E. Biological Feedback Control at the Molecular Level. Science 1965, 150, 851–857. [Google Scholar] [CrossRef]
- Su, Z.; Jia, H.; Sun, M.; Cai, Z.; Shen, Z.; Zhao, B.; Li, J.; Ma, R.; Yu, M.; Yan, J. Integrative Analysis of the Metabolome and Transcriptome Reveals the Molecular Mechanism of Chlorogenic Acid Synthesis in Peach Fruit. Front. Nutr. 2022, 9, 961626. [Google Scholar] [CrossRef]
- Medda, S.; Dessena, L.; Mulas, M. Monitoring of the PAL Enzymatic Activity and Polyphenolic Compounds in Leaves and Fruits of Two Myrtle Cultivars during Maturation. Agriculture 2020, 10, 389. [Google Scholar] [CrossRef]
- Xu, J.; Zhu, J.; Lin, Y.; Zhu, H.; Tang, L.; Wang, X.; Wang, X. Comparative Transcriptome and Weighted Correlation Network Analyses Reveal Candidate Genes Involved in Chlorogenic Acid Biosynthesis in Sweet Potato. Sci. Rep. 2022, 12, 2770. [Google Scholar] [CrossRef]
- Li, W.; Yang, L.; Jiang, L.; Zhang, G.; Luo, Y. Molecular Cloning and Functional Characterization of a Cinnamate 4-Hydroxylase-Encoding Gene from Camptotheca Acuminata. Acta Physiol. Plant. 2016, 38, 256. [Google Scholar] [CrossRef]
- Zhong, J.; Qing, J.; Wang, Q.; Liu, C.; Du, H.; Liu, P.; Du, Q.; Du, L.; Wang, L. Genome-Wide Identification and Expression Analyses of the 4-Coumarate: CoA Ligase (4CL) Gene Family in Eucommia Ulmoides. Forests 2022, 13, 1253. [Google Scholar] [CrossRef]
- Lepelley, M.; Cheminade, G.; Tremillon, N.; Simkin, A.; Caillet, V.; McCarthy, J. Chlorogenic Acid Synthesis in Coffee: An Analysis of CGA Content and Real-Time RT-PCR Expression of HCT, HQT, C3H1, and CCoAOMT1 Genes during Grain Development in C. canephora. Plant Sci. 2007, 172, 978–996. [Google Scholar] [CrossRef]
- Liu, Z.; Zhu, X.; Mohsin, A.; Sun, H.; Du, L.; Yin, Z.; Zhuang, Y.; Guo, M. Uncovering the Role of Hydroxycinnamoyl Transferase in Boosting Chlorogenic Acid Accumulation in Carthamus Tinctorius Cells under Methyl Jasmonate Elicitation. Int. J. Mol. Sci. 2024, 25, 2710. [Google Scholar] [CrossRef] [PubMed]
- D’Orso, F.; Hill, L.; Appelhagen, I.; Lawrenson, T.; Possenti, M.; Li, J.; Harwood, W.; Morelli, G.; Martin, C. Exploring the Metabolic and Physiological Roles of HQT in S. Lycopersicum by Gene Editing. Front. Plant Sci. 2023, 14, 1124959. [Google Scholar] [CrossRef]
- Khan, V.; Jha, A.; Princi; Seth, T.; Iqbal, N.; Umar, S. Exploring the Role of Jasmonic Acid in Boosting the Production of Secondary Metabolites in Medicinal Plants: Pathway for Future Research. Ind. Crops Prod. 2024, 220, 119227. [Google Scholar] [CrossRef]
- Kou, X.; Feng, Y.; Yuan, S.; Zhao, X.; Wu, C.; Wang, C.; Xue, Z. Different Regulatory Mechanisms of Plant Hormones in the Ripening of Climacteric and Non-Climacteric Fruits: A Review. Plant Mol. Biol. 2021, 107, 477–497. [Google Scholar] [CrossRef] [PubMed]
- Li, X.; Guo, H.; Qi, Y.; Liu, H.; Zhang, X.; Ma, P.; Liang, Z.; Dong, J. Salicylic Acid-Induced Cytosolic Acidification Increases the Accumulation of Phenolic Acids in Salvia Miltiorrhiza Cells. Plant Cell Tissue Organ Cult. PCTOC 2016, 126, 333–341. [Google Scholar] [CrossRef]
- Gacnik, S.; Veberic, R.; Marinovic, S.; Halbwirth, H.; Mikulic-Petkovsek, M. Effect of Pre-Harvest Treatments with Salicylic and Methyl Salicylic Acid on the Chemical Profile and Activity of Some Phenylpropanoid Pathway Related Enzymes in Apple Leaves. Sci. Hortic. 2021, 277, 109794. [Google Scholar] [CrossRef]
- Yu, Y.; Zhang, Q.; Liu, S.; Ma, P.; Jia, Z.; Xie, Y.; Bian, X. Effects of Exogenous Phytohormones on Chlorogenic Acid Accumulation and Pathway-Associated Gene Expressions in Sweetpotato Stem Tips. Plant Physiol. Biochem. 2021, 164, 21–26. [Google Scholar] [CrossRef]
- Blanch, G.P.; Gómez-Jiménez, M.C.; del Castillo, M.L.R. Exogenous Salicylic Acid Improves Phenolic Content and Antioxidant Activity in Table Grapes. Plant Foods Hum. Nutr. 2020, 75, 177–183. [Google Scholar] [CrossRef]
- Park, C.H.; Yeo, H.J.; Park, Y.E.; Chun, S.W.; Chung, Y.S.; Lee, S.Y.; Park, S.U. Influence of Chitosan, Salicylic Acid and Jasmonic Acid on Phenylpropanoid Accumulation in Germinated Buckwheat (Fagopyrum Esculentum Moench). Foods 2019, 8, 153. [Google Scholar] [CrossRef]
- Ji, N.; Wang, J.; Li, Y.; Li, M.; Jin, P.; Zheng, Y. Involvement of PpWRKY70 in the Methyl Jasmonate Primed Disease Resistance against Rhizopus Stolonifer of Peaches via Activating Phenylpropanoid Pathway. Postharvest Biol. Technol. 2021, 174, 111466. [Google Scholar] [CrossRef]
- Park, C.H.; Yeo, H.J.; Park, Y.J.; Morgan, A.M.A.; Valan Arasu, M.; Al-Dhabi, N.A.; Park, S.U. Influence of Indole-3-Acetic Acid and Gibberellic Acid on Phenylpropanoid Accumulation in Common Buckwheat (Fagopyrum Esculentum Moench) Sprouts. Molecules 2017, 22, 374. [Google Scholar] [CrossRef] [PubMed]
- Tao, X.; Wu, Q.; Aalim, H.; Li, L.; Mao, L.; Luo, Z.; Ying, T. Effects of Exogenous Abscisic Acid on Bioactive Components and Antioxidant Capacity of Postharvest Tomato during Ripening. Molecules 2020, 25, 1346. [Google Scholar] [CrossRef]
- Li, X.; Li, B.; Li, M.; Fu, X.; Zhao, X.; Min, D.; Li, F.; Zhang, X. Ethylene Pretreatment Induces Phenolic Biosynthesis of Fresh-Cut Pitaya Fruit by Regulating Ethylene Signaling Pathway. Postharvest Biol. Technol. 2022, 192, 112028. [Google Scholar] [CrossRef]
- Ramabulana, A.-T.; Steenkamp, P.A.; Madala, N.E.; Dubery, I.A. Application of Plant Growth Regulators Modulates the Profile of Chlorogenic Acids in Cultured Bidens Pilosa Cells. Plants 2021, 10, 437. [Google Scholar] [CrossRef] [PubMed]
- Zhang, H.; Zhang, X.; Zhao, H.; Hu, J.; Wang, Z.; Yang, G.; Zhou, X.; Wan, H. Genome-Wide Identification and Expression Analysis of Phenylalanine Ammonia-Lyase (PAL) Family in Rapeseed (Brassica napus L.). BMC Plant Biol. 2023, 23, 481. [Google Scholar] [CrossRef]
- Mo, F.; Li, L.; Zhang, C.; Yang, C.; Chen, G.; Niu, Y.; Si, J.; Liu, T.; Sun, X.; Wang, S.; et al. Genome-Wide Analysis and Expression Profiling of the Phenylalanine Ammonia-Lyase Gene Family in Solanum Tuberosum. Int. J. Mol. Sci. 2022, 23, 6833. [Google Scholar] [CrossRef]
- Dehghan, S.; Sadeghi, M.; Pöppel, A.; Fischer, R.; Lakes-Harlan, R.; Kavousi, H.R.; Vilcinskas, A.; Rahnamaeian, M. Differential inductions of phenylalanine ammonia-lyase and chalcone synthase during wounding, salicylic acid treatment, and salinity stress in safflower, Carthamus tinctorius. Biosci. Rep. 2014, 34, e00114. [Google Scholar] [CrossRef]
- Yu, Y.; Wang, Y.; Yu, Y.; Ma, P.; Jia, Z.; Guo, X.; Xie, Y.; Bian, X. Overexpression of IbPAL1 Promotes Chlorogenic Acid Biosynthesis in Sweetpotato. Crop J. 2021, 9, 204–215. [Google Scholar] [CrossRef]
- Li, G.; Liu, X.; Zhang, Y.; Muhammad, A.; Han, W.; Li, D.; Cheng, X.; Cai, Y. Cloning and Functional Characterization of Two Cinnamate 4-Hydroxylase Genes from Pyrus bretschneideri. Plant Physiol. Biochem. 2020, 156, 135–145. [Google Scholar] [CrossRef]
- Mizutani, M.; Ohta, D.; Sato, R. Isolation of a cDNA and a genomic clone encoding cinnamate 4-hydroxylase from Arabidopsis and its expression manner in planta. Plant Physiol. 1997, 113, 755–763. [Google Scholar] [CrossRef] [PubMed]
- Molecular Cloning of Two Genes Encoding Cinnamate 4-Hydroxylase (C4H) from Oilseed Rape (Brassica Napus) -BMB Reports | Korea Science. Available online: https://koreascience.kr/article/JAKO200710103482215.page (accessed on 28 April 2025).
- Lu, S.; Zhou, Y.; Li, L.; Chiang, V.L. Distinct Roles of Cinnamate 4-Hydroxylase Genes in Populus. Plant Cell Physiol. 2006, 47, 905–914. [Google Scholar] [CrossRef]
- Wang, A.; Zhu, M.; Luo, Y.; Liu, Y.; Li, R.; Kou, M.; Wang, X.; Zhang, Y.; Meng, X.; Zheng, Y.; et al. A Sweet Potato Cinnamate 4-Hydroxylase Gene, IbC4H, Increases Phenolics Content and Enhances Drought Tolerance in Tobacco. Acta Physiol. Plant. 2017, 39, 276. [Google Scholar] [CrossRef]
- Lavhale, S.G.; Kalunke, R.M.; Giri, A.P. Structural, Functional and Evolutionary Diversity of 4-Coumarate-CoA Ligase in Plants. Planta 2018, 248, 1063–1078. [Google Scholar] [CrossRef] [PubMed]
- Allina, S.M.; Pri-Hadash, A.; Theilmann, D.A.; Ellis, B.E.; Douglas, C.J. 4-Coumarate: Coenzyme A ligase in hybrid poplar: Properties of native enzymes, cDNA cloning, and analysis of recombinant enzymes. Plant Physiol. 1998, 116, 743–754. [Google Scholar] [CrossRef]
- Wang, C.-H.; Yu, J.; Cai, Y.-X.; Zhu, P.-P.; Liu, C.-Y.; Zhao, A.-C.; Lü, R.-H.; Li, M.-J.; Xu, F.-X.; Yu, M.-D. Characterization and Functional Analysis of 4-Coumarate:CoA Ligase Genes in Mulberry. PLoS ONE 2016, 11, e0155814. [Google Scholar] [CrossRef]
- Li, M.; Guo, L.; Wang, Y.; Li, Y.; Jiang, X.; Liu, Y.; Xie, D.-Y.; Gao, L.; Xia, T. Molecular and Biochemical Characterization of Two 4-Coumarate: CoA Ligase Genes in Tea Plant (Camellia sinensis). Plant Mol. Biol. 2022, 109, 579–593. [Google Scholar] [CrossRef] [PubMed]
- Chen, M.; Xiao, M.; Liu, B.; Wang, M.; Tan, C.; Zhang, Y.; Quan, H.; Ruan, Y.; Huang, Y. Full-Length Transcriptome Sequencing and Transgenic Tobacco Revealed the Key Genes in the Chlorogenic Acid Synthesis Pathway of Sambucus chinensis L. Physiol. Plant. 2023, 175, e13944. [Google Scholar] [CrossRef]
- Wang, H.; Zheng, X.; Wu, Y.; Zhan, W.; Guo, Y.; Chen, M.; Bai, T.; Jiao, J.; Song, C.; Song, S.; et al. Transcriptome Analysis Identifies Genes Associated with Chlorogenic Acid Biosynthesis during Apple Fruit Development. Horticulturae 2023, 9, 217. [Google Scholar] [CrossRef]
- Li, R.; Xu, J.; Qi, Z.; Zhao, S.; Zhao, R.; Ge, Y.; Li, R.; Kong, X.; Wu, Z.; Zhang, X.; et al. High-Resolution Genome Mapping and Functional Dissection of Chlorogenic Acid Production in Lonicera Maackii. Plant Physiol. 2023, 192, 2902–2922. [Google Scholar] [CrossRef]
- Sonnante, G.; D’Amore, R.; Blanco, E.; Pierri, C.L.; De Palma, M.; Luo, J.; Tucci, M.; Martin, C. Novel Hydroxycinnamoyl-Coenzyme A Quinate Transferase Genes from Artichoke Are Involved in the Synthesis of Chlorogenic Acid. Plant Physiol. 2010, 153, 1224–1238. [Google Scholar] [CrossRef] [PubMed]
- Lefevere, H.; Bauters, L.; Gheysen, G. Salicylic Acid Biosynthesis in Plants. Front. Plant Sci. 2020, 11, 338. [Google Scholar] [CrossRef] [PubMed]
- Huang, Y.; Wang, S.; Wang, C.; Ding, G.; Cai, H.; Shi, L.; Xu, F. Induction of Jasmonic Acid Biosynthetic Genes Inhibits Arabidopsis Growth in Response to Low Boron. J. Integr. Plant Biol. 2021, 63, 937–948. [Google Scholar] [CrossRef]
- Regnault, T.; Davière, J.-M.; Heintz, D.; Lange, T.; Achard, P. The Gibberellin Biosynthetic Genes At1 and At2 Have Overlapping Roles throughout Rabidopsis Development. Plant J. 2014, 80, 462–474. [Google Scholar] [CrossRef] [PubMed]
- Li, Y.; Liang, J.; Zeng, X.; Guo, H.; Luo, Y.; Kear, P.; Zhang, S.; Zhu, G. Genome-Wide Analysis of MYB Gene Family in Potato Provides Insights into Tissue-Specific Regulation of Anthocyanin Biosynthesis. Hortic. Plant J. 2021, 7, 129–141. [Google Scholar] [CrossRef]
- Tang, N.; Cao, Z.; Yang, C.; Ran, D.; Wu, P.; Gao, H.; He, N.; Liu, G.; Chen, Z. A R2R3-MYB Transcriptional Activator LmMYB15 Regulates Chlorogenic Acid Biosynthesis and Phenylpropanoid Metabolism in Lonicera macranthoides. Plant Sci. 2021, 308, 110924. [Google Scholar] [CrossRef]
- Wen, F.; Wu, X.; Li, T.; Jia, M.; Liao, L. Characterization of the WRKY Gene Family in Akebia Trifoliata and Their Response to Colletotrichum Acutatum. BMC Plant Biol. 2022, 22, 115. [Google Scholar] [CrossRef]
- Liu, Q.; Zhou, W.; Ruan, Q.; Cheng, H.; Liu, T.; Wang, L.; Yuan, Y.; Li, L.; Wu, J.; Jiang, J.; et al. Overexpression of TaWRKY14 Transcription Factor Enhances Accumulation of Chlorogenic Acid in Taraxacum Antungense Kitag and Increases Its Resistance to Powdery Mildew. Plant Cell Tissue Organ Cult. PCTOC 2020, 143, 665–679. [Google Scholar] [CrossRef]
- Gao, F.; Dubos, C. The Arabidopsis bHLH Transcription Factor Family. Trends Plant Sci. 2024, 29, 668–680. [Google Scholar] [CrossRef]
- Liu, Q.; Li, L.; Cheng, H.; Yao, L.; Wu, J.; Huang, H.; Ning, W.; Kai, G. The Basic Helix-Loop-Helix Transcription Factor TabHLH1 Increases Chlorogenic Acid and Luteolin Biosynthesis in Taraxacum Antungense Kitag. Hortic. Res. 2021, 8, 195. [Google Scholar] [CrossRef]
- Feng, K.; Hou, X.-L.; Xing, G.-M.; Liu, J.-X.; Duan, A.-Q.; Xu, Z.-S.; Li, M.-Y.; Zhuang, J.; Xiong, A.-S. Advances in AP2/ERF Super-Family Transcription Factors in Plant. Crit. Rev. Biotechnol. 2020, 40, 750–776. [Google Scholar] [CrossRef] [PubMed]
- He, S.; Xu, X.; Gao, Q.; Huang, C.; Luo, Z.; Liu, P.; Wu, M.; Huang, H.; Yang, J.; Zeng, J.; et al. NtERF4 Promotes the Biosynthesis of Chlorogenic Acid and Flavonoids by Targeting PAL Genes in Nicotiana Tabacum. Planta 2023, 259, 31. [Google Scholar] [CrossRef]
- Riahi, L.; Cherif, H.; Miladi, S.; Neifar, M.; Bejaoui, B.; Chouchane, H.; Masmoudi, A.S.; Cherif, A. Use of Plant Growth Promoting Bacteria as an Efficient Biotechnological Tool to Enhance the Biomass and Secondary Metabolites Production of the Industrial Crop Pelargonium graveolens L’Hér. under Semi-Controlled Conditions. Ind. Crops Prod. 2020, 154, 112721. [Google Scholar] [CrossRef]
- Wang, Q.; Li, S.; Li, J.; Huang, D. The Utilization and Roles of Nitrogen in Plants. Forests 2024, 15, 1191. [Google Scholar] [CrossRef]
- Yang, J.; Lan, L.; Jin, Y.; Yu, N.; Wang, D.; Wang, E. Mechanisms Underlying Legume–Rhizobium Symbioses. J. Integr. Plant Biol. 2022, 64, 244–267. [Google Scholar] [CrossRef]
- Tao, K.; Kelly, S.; Radutoiu, S. Microbial Associations Enabling Nitrogen Acquisition in Plants. Curr. Opin. Microbiol. 2019, 49, 83–89. [Google Scholar] [CrossRef]
- Xie, K.; Ren, Y.; Chen, A.; Yang, C.; Zheng, Q.; Chen, J.; Wang, D.; Li, Y.; Hu, S.; Xu, G. Plant Nitrogen Nutrition: The Roles of Arbuscular Mycorrhizal Fungi. J. Plant Physiol. 2022, 269, 153591. [Google Scholar] [CrossRef]
- Raymond, N.S.; Gómez-Muñoz, B.; van der Bom, F.J.T.; Nybroe, O.; Jensen, L.S.; Müller-Stöver, D.S.; Oberson, A.; Richardson, A.E. Phosphate-Solubilising Microorganisms for Improved Crop Productivity: A Critical Assessment. New Phytol. 2021, 229, 1268–1277. [Google Scholar] [CrossRef]
- Khaliq, A.; Perveen, S.; Alamer, K.H.; Zia Ul Haq, M.; Rafique, Z.; Alsudays, I.M.; Althobaiti, A.T.; Saleh, M.A.; Hussain, S.; Attia, H. Arbuscular Mycorrhizal Fungi Symbiosis to Enhance Plant–Soil Interaction. Sustainability 2022, 14, 7840. [Google Scholar] [CrossRef]
- Lambers, H. Phosphorus Acquisition and Utilization in Plants. Annu. Rev. Plant Biol. 2022, 73, 17–42. [Google Scholar] [CrossRef]
- Li, Z.; Li, J.; Liu, G.; Li, Y.; Wu, X.; Liang, J.; Wang, Z.; Chen, Q.; Peng, F. Isolation, Characterization and Growth-Promoting Properties of Phosphate-Solubilizing Bacteria (PSBs) Derived from Peach Tree Rhizosphere. Microorganisms 2025, 13, 718. [Google Scholar] [CrossRef]
- Wang, G.; Jin, Z.; George, T.S.; Feng, G.; Zhang, L. Arbuscular Mycorrhizal Fungi Enhance Plant Phosphorus Uptake through Stimulating Hyphosphere Soil Microbiome Functional Profiles for Phosphorus Turnover. New Phytol. 2023, 238, 2578–2593. [Google Scholar] [CrossRef]
- Pang, F.; Li, Q.; Solanki, M.K.; Wang, Z.; Xing, Y.-X.; Dong, D.-F. Soil Phosphorus Transformation and Plant Uptake Driven by Phosphate-Solubilizing Microorganisms. Front. Microbiol. 2024, 15, 1383813. [Google Scholar] [CrossRef]
- Huang, Y.; Zhai, L.; Chai, X.; Liu, Y.; Lv, J.; Pi, Y.; Gao, B.; Wang, X.; Wu, T.; Zhang, X.; et al. Bacillus B2 Promotes Root Growth and Enhances Phosphorus Absorption in Apple Rootstocks by Affecting MhMYB15. Plant J. 2024, 119, 1880–1899. [Google Scholar] [CrossRef]
- Monteiro, T.S.A.; Valadares, S.V.; de Mello, I.N.K.; Moreira, B.C.; Kasuya, M.C.M.; de Araújo, J.V.; de Freitas, L.G. Nematophagus Fungi Increasing Phosphorus Uptake and Promoting Plant Growth. Biol. Control 2018, 123, 71–75. [Google Scholar] [CrossRef]
- Johnson, R.; Vishwakarma, K.; Hossen, M.d.S.; Kumar, V.; Shackira, A.M.; Puthur, J.T.; Abdi, G.; Sarraf, M.; Hasanuzzaman, M. Potassium in Plants: Growth Regulation, Signaling, and Environmental Stress Tolerance. Plant Physiol. Biochem. 2022, 172, 56–69. [Google Scholar] [CrossRef] [PubMed]
- Soumare, A.; Sarr, D.; Diédhiou, A.G. Potassium Sources, Microorganisms and Plant Nutrition: Challenges and Future Research Directions. Pedosphere 2023, 33, 105–115. [Google Scholar] [CrossRef]
- Bakhshandeh, E.; Gholamhosseini, M.; Yaghoubian, Y.; Pirdashti, H. Plant Growth Promoting Microorganisms Can Improve Germination, Seedling Growth and Potassium Uptake of Soybean under Drought and Salt Stress. Plant Growth Regul. 2020, 90, 123–136. [Google Scholar] [CrossRef]
- Xie, K.; Cakmak, I.; Wang, S.; Zhang, F.; Guo, S. Synergistic and Antagonistic Interactions between Potassium and Magnesium in Higher Plants. Crop J. 2021, 9, 249–256. [Google Scholar] [CrossRef]
- Sardans, J.; Lambers, H.; Preece, C.; Alrefaei, A.F.; Penuelas, J. Role of Mycorrhizas and Root Exudates in Plant Uptake of Soil Nutrients (Calcium, Iron, Magnesium, and Potassium): Has the Puzzle Been Completely Solved? Plant J. 2023, 114, 1227–1242. [Google Scholar] [CrossRef]
- Abdel-Fattah, G.M.; Asrar, A.-W.A. Arbuscular Mycorrhizal Fungal Application to Improve Growth and Tolerance of Wheat (Triticum aestivum L.) Plants Grown in Saline Soil. Acta Physiol. Plant. 2012, 34, 267–277. [Google Scholar] [CrossRef]
- Schmidt, W.; Thomine, S.; Buckhout, T.J. Editorial: Iron Nutrition and Interactions in Plants. Front. Plant Sci. 2020, 10, 01670. [Google Scholar] [CrossRef] [PubMed]
- Oleńska, E.; Małek, W.; Wójcik, M.; Swiecicka, I.; Thijs, S.; Vangronsveld, J. Beneficial Features of Plant Growth-Promoting Rhizobacteria for Improving Plant Growth and Health in Challenging Conditions: A Methodical Review. Sci. Total Environ. 2020, 743, 140682. [Google Scholar] [CrossRef]
- Freitas, M.A.; Medeiros, F.H.V.; Carvalho, S.P.; Guilherme, L.R.G.; Teixeira, W.D.; Zhang, H.; Paré, P.W. Augmenting Iron Accumulation in Cassava by the Beneficial Soil Bacterium Bacillus Subtilis (GBO3). Front. Plant Sci. 2015, 6, 596. [Google Scholar] [CrossRef]
- Ning, X.; Lin, M.; Huang, G.; Mao, J.; Gao, Z.; Wang, X. Research Progress on Iron Absorption, Transport, and Molecular Regulation Strategy in Plants. Front. Plant Sci. 2023, 14, 1190768. [Google Scholar] [CrossRef] [PubMed]
- Trapet, P.; Avoscan, L.; Klinguer, A.; Pateyron, S.; Citerne, S.; Chervin, C.; Mazurier, S.; Lemanceau, P.; Wendehenne, D.; Besson-Bard, A. The Pseudomonas Fluorescens Siderophore Pyoverdine Weakens Arabidopsis Thaliana Defense in Favor of Growth in Iron-Deficient Conditions. Plant Physiol. 2016, 171, 675–693. [Google Scholar] [CrossRef]
- Eichmann, R.; Richards, L.; Schäfer, P. Hormones as Go-Betweens in Plant Microbiome Assembly. Plant J. 2021, 105, 518–541. [Google Scholar] [CrossRef]
- Khan, A.L.; Hamayun, M.; Kang, S.-M.; Kim, Y.-H.; Jung, H.-Y.; Lee, J.-H.; Lee, I.-J. Endophytic Fungal Association via Gibberellins and Indole Acetic Acid Can Improve Plant Growth under Abiotic Stress: An Example of Paecilomyces Formosus LHL10. BMC Microbiol. 2012, 12, 3. [Google Scholar] [CrossRef]
- Frontiers | Ethylene and 1-Aminocyclopropane-1-Carboxylate (ACC) in Plant–Bacterial Interactions. Available online: https://www.frontiersin.org/journals/plant-science/articles/10.3389/fpls.2018.00114/full (accessed on 26 November 2024).
- Singh, R.P.; Ma, Y.; Shadan, A. Perspective of ACC-Deaminase Producing Bacteria in Stress Agriculture. J. Biotechnol. 2022, 352, 36–46. [Google Scholar] [CrossRef]
- Sosnowski, J.; Truba, M.; Vasileva, V. The Impact of Auxin and Cytokinin on the Growth and Development of Selected Crops. Agriculture 2023, 13, 724. [Google Scholar] [CrossRef]
- Salla, T.D.; Ramos da Silva, T.; Astarita, L.V.; Santarém, E.R. Streptomyces Rhizobacteria Modulate the Secondary Metabolism of Eucalyptus Plants. Plant Physiol. Biochem. 2014, 85, 14–20. [Google Scholar] [CrossRef] [PubMed]
- Mekureyaw, M.F.; Pandey, C.; Hennessy, R.C.; Nicolaisen, M.H.; Liu, F.; Nybroe, O.; Roitsch, T. The Cytokinin-Producing Plant Beneficial Bacterium Pseudomonas fluorescens G20-18 Primes Tomato (Solanum lycopersicum) for Enhanced Drought Stress Responses. J. Plant Physiol. 2022, 270, 153629. [Google Scholar] [CrossRef]
- Wu, W.; Chen, W.; Liu, S.; Wu, J.; Zhu, Y.; Qin, L.; Zhu, B. Beneficial Relationships Between Endophytic Bacteria and Medicinal Plants. Front. Plant Sci. 2021, 12, 646146. [Google Scholar] [CrossRef] [PubMed]
- Rahimi, S.; Baninasab, B.; Talebi, M.; Gholami, M.; Zarei, M. Arbuscular Mycorrhizal Fungi Inoculation Improves Iron Deficiency in Quince via Alterations in Host Root Phenolic Compounds and Expression of Genes. Sci. Hortic. 2021, 285, 110165. [Google Scholar] [CrossRef]
- Cappellari, L.d.R.; Chiappero, J.; Santoro, M.V.; Giordano, W.; Banchio, E. Inducing Phenolic Production and Volatile Organic Compounds Emission by Inoculating Mentha Piperita with Plant Growth-Promoting Rhizobacteria. Sci. Hortic. 2017, 220, 193–198. [Google Scholar] [CrossRef]
- Kang, W.; Zhu, X.; Wang, Y.; Chen, L.; Duan, Y. Transcriptomic and Metabolomic Analyses Reveal That Bacteria Promote Plant Defense during Infection of Soybean Cyst Nematode in Soybean. BMC Plant Biol. 2018, 18, 86. [Google Scholar] [CrossRef]
- Kan, D.; Tian, M.; Ruan, Y.; Han, H. Phosphorus-Solubilizing Bacteria Enhance Cadmium Immobilization and Gene Expression in Wheat Roots to Reduce Cadmium Uptake. Plants 2024, 13, 1989. [Google Scholar] [CrossRef]
- Wu, Y.; Ma, L.; Liu, Q.; Vestergård, M.; Topalovic, O.; Wang, Q.; Zhou, Q.; Huang, L.; Yang, X.; Feng, Y. The Plant-Growth Promoting Bacteria Promote Cadmium Uptake by Inducing a Hormonal Crosstalk and Lateral Root Formation in a Hyperaccumulator Plant Sedum alfredii. J. Hazard. Mater. 2020, 395, 122661. [Google Scholar] [CrossRef]
- Qin, S.; Wu, X.; Han, H.; Pang, F.; Zhang, J.; Chen, Z. Polyamine-Producing Bacterium Bacillus megaterium N3 Reduced Cd Accumulation in Wheat and Increased the Expression of DNA Repair- and Plant Hormone- Related Proteins in Wheat Roots. Environ. Exp. Bot. 2021, 189, 104563. [Google Scholar] [CrossRef]
- Manjunatha, B.S.; Nivetha, N.; Krishna, G.K.; Elangovan, A.; Pushkar, S.; Chandrashekar, N.; Aggarwal, C.; Asha, A.D.; Chinnusamy, V.; Raipuria, R.K.; et al. Plant Growth-Promoting Rhizobacteria Shewanella Putrefaciens and Cronobacter Dublinensis Enhance Drought Tolerance of Pearl Millet by Modulating Hormones and Stress-Responsive Genes. Physiol. Plant. 2022, 174, e13676. [Google Scholar] [CrossRef]
- Yan, Y.; Xu, W.; Hu, Y.; Tian, R.; Wang, Z. Bacillus Velezensis YYC Promotes Tomato Growth and Induces Resistance against Bacterial wiltVelezensis. Biol. Control 2022, 172, 104977. [Google Scholar] [CrossRef]
- Boonmahome, P.; Namwongsa, J.; Vorasoot, N.; Jogloy, S.; Riddech, N.; Boonlue, S.; Mongkolthanaruk, W. Single and Co-Inoculum of Endophytic Bacteria Promote Growth and Yield of Jerusalem Artichoke through Upregulation of Plant Genes under Drought Stress. PLoS ONE 2023, 18, e0286625. [Google Scholar] [CrossRef]
- Karczyński, P.; Orłowska, A.; Kępczyńska, E. Two Medicago Truncatula Growth-Promoting Rhizobacteria Capable of Limiting in Vitro Growth of the Fusarium Soil-Borne Pathogens Modulate Defense Genes Expression. Planta 2023, 257, 118. [Google Scholar] [CrossRef]
- Deveau, A.; Bonito, G.; Uehling, J.; Paoletti, M.; Becker, M.; Bindschedler, S.; Hacquard, S.; Hervé, V.; Labbé, J.; Lastovetsky, O.A.; et al. Bacterial-Fungal Interactions: Ecology, Mechanisms and Challenges. FEMS Microbiol. Rev. 2018, 42, 335–352. [Google Scholar] [CrossRef]
- Jin, Z.; Jiang, F.; Wang, L.; Declerck, S.; Feng, G.; Zhang, L. Arbuscular Mycorrhizal Fungi and Streptomyces: Brothers in Arms to Shape the Structure and Function of the Hyphosphere Microbiome in the Early Stage of Interaction. Microbiome 2024, 12, 83. [Google Scholar] [CrossRef]
- Xiao, C.; Xu, C.; Zhang, J.; Jiang, W.; Zhang, X.; Yang, C.; Xu, J.; Zhang, Y.; Zhou, T. Soil Microbial Communities Affect the Growth and Secondary Metabolite Accumulation in Bletilla Striata (Thunb.) Rchb. f. Front. Microbiol. 2022, 13, 916418. [Google Scholar] [CrossRef]
- Duan, W.; Li, X.; Li, Q.; Jing, R.; Zhang, S.; Zhang, B.; Hamel, C.; Sheng, M. Arbuscular Mycorrhizal Fungal Community Association Determines the Production of Flavonoids and Chlorogenic Acid in Acer Truncatum Bunge. Ind. Crops Prod. 2024, 208, 117858. [Google Scholar] [CrossRef]
- Alori, E.T.; Babalola, O.O. Microbial Inoculants for Improving Crop Quality and Human Health in Africa. Front. Microbiol. 2018, 9, 2213. [Google Scholar] [CrossRef]
- Li, C.; Han, Y.; Zou, X.; Zhang, X.; Ran, Q.; Dong, C. A Systematic Discussion and Comparison of the Construction Methods of Synthetic Microbial Community. Synth. Syst. Biotechnol. 2024, 9, 775–783. [Google Scholar] [CrossRef]
- Panda, S.; Zhou, K. Engineering Microbes to Overproduce Natural Products as Agrochemicals. Synth. Syst. Biotechnol. 2023, 8, 79–85. [Google Scholar] [CrossRef]




Disclaimer/Publisher’s Note: The statements, opinions and data contained in all publications are solely those of the individual author(s) and contributor(s) and not of MDPI and/or the editor(s). MDPI and/or the editor(s) disclaim responsibility for any injury to people or property resulting from any ideas, methods, instructions or products referred to in the content. |
© 2025 by the authors. Licensee MDPI, Basel, Switzerland. This article is an open access article distributed under the terms and conditions of the Creative Commons Attribution (CC BY) license (https://creativecommons.org/licenses/by/4.0/).
Share and Cite
Zhong, J.; Ran, Q.; Han, Y.; Gan, L.; Dong, C. Biosynthetic Mechanisms of Plant Chlorogenic Acid from a Microbiological Perspective. Microorganisms 2025, 13, 1114. https://doi.org/10.3390/microorganisms13051114
Zhong J, Ran Q, Han Y, Gan L, Dong C. Biosynthetic Mechanisms of Plant Chlorogenic Acid from a Microbiological Perspective. Microorganisms. 2025; 13(5):1114. https://doi.org/10.3390/microorganisms13051114
Chicago/Turabian StyleZhong, Jiasi, Qingsong Ran, Yanfeng Han, Longzhan Gan, and Chunbo Dong. 2025. "Biosynthetic Mechanisms of Plant Chlorogenic Acid from a Microbiological Perspective" Microorganisms 13, no. 5: 1114. https://doi.org/10.3390/microorganisms13051114
APA StyleZhong, J., Ran, Q., Han, Y., Gan, L., & Dong, C. (2025). Biosynthetic Mechanisms of Plant Chlorogenic Acid from a Microbiological Perspective. Microorganisms, 13(5), 1114. https://doi.org/10.3390/microorganisms13051114
