Microbicidal Activity of Extract Larrea tridentata (Sessé and Moc. ex DC.) Coville on Pseudomonas syringae Van Hall and Botrytis cinerea Pers
Abstract
1. Introduction
2. Materials and Methods
2.1. Collection of Plant Material
2.2. Extraction
2.3. Dilution Preparation
2.4. Inoculum Preparation
2.5. Microbicidal Effect on B. cinerea
2.6. Microbicidal Effect on P. syringae
2.7. Total Phenol Content and Flavonoid Content
2.8. Flavonoid Identification (HPLC)
3. Results
3.1. Extract Obtained
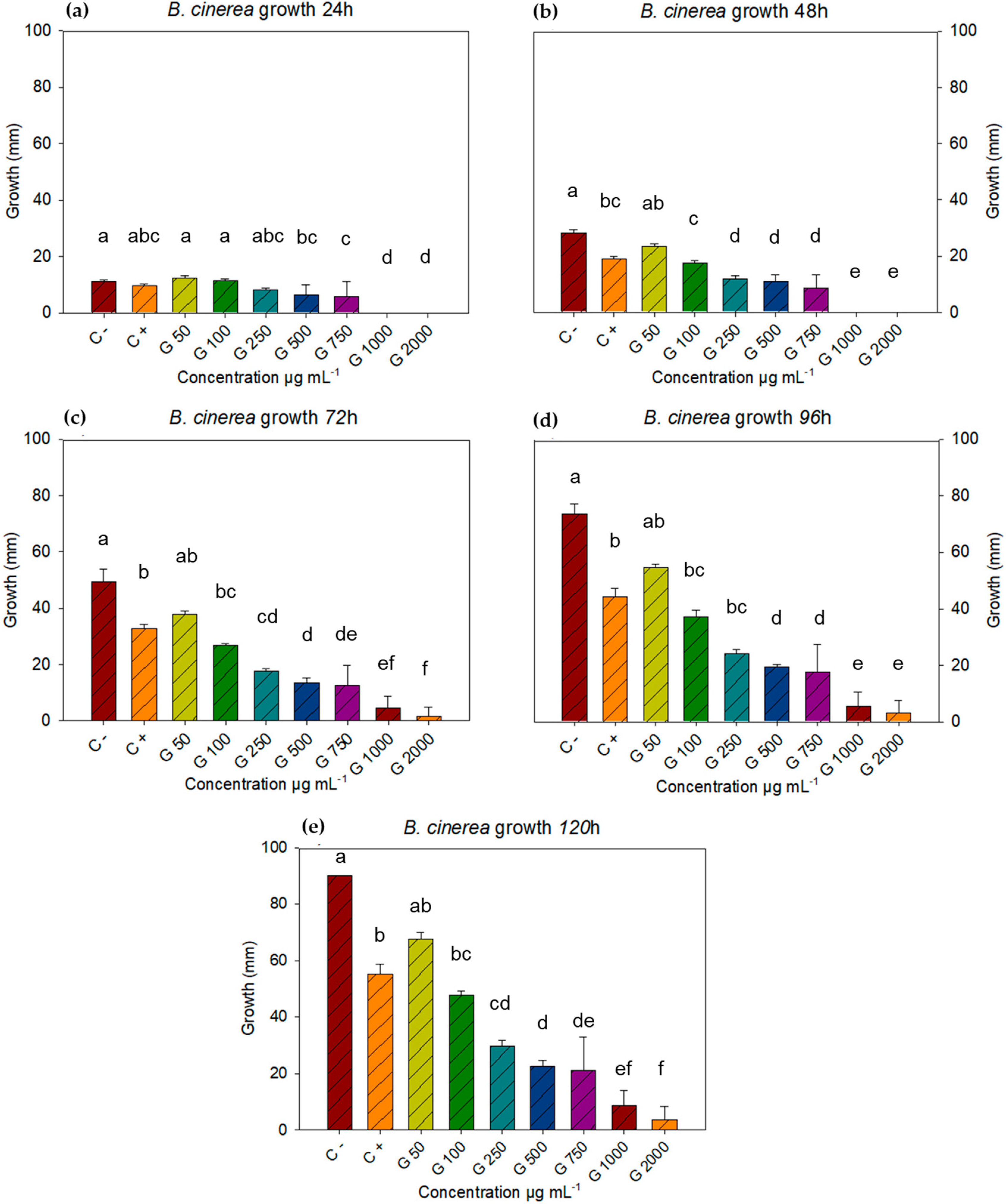
3.2. Fungicidal Effect on B. cinerea
3.3. Bactericidal Effect on P. syringae
3.4. Total Phenol and Flavonoid Content
3.5. Compound Identification and Quantification (HPLC)
4. Discussion
5. Conclusions
Author Contributions
Funding
Institutional Review Board Statement
Informed Consent Statement
Data Availability Statement
Conflicts of Interest
References
- SIAP. Servicio de Información Agroalimentaria y Pesquera. El Impacto de las Plagas y Enfermedades en el Sector Agrícola. gob.mx. Available online: https://failover.www.gob.mx/mantenimiento.html (accessed on 30 May 2024).
- Tudi, M.; Daniel Ruan, H.; Wang, L.; Lyu, J.; Sadler, R.; Connell, D.; Chu, C.; Phung, D.T. Agriculture development, pesticide application and its impact on the environment. Int. J. Environ. Res. Public Health 2021, 18, 1112–1135. [Google Scholar] [CrossRef] [PubMed]
- Jáquez-Matas, S.V.; Pérez-Santiago, G.; Márquez-Linares, M.A.; Pérez-Verdín, G. Impactos económicos y ambientales de los plaguicidas en cultivos de maíz, alfalfa y nogal en Durango, México. Rev. Int. Contam. Ambient. 2022, 38, 219–233. [Google Scholar] [CrossRef]
- Silveira-Gramont, M.I.; Aldana-Madrid, M.L.; Piri-Santana, J.; Valenzuela-Quintanar, A.I.; Jasa-Silveira, G.; Rodríguez-Olibarria, G. Plaguicidas agrícolas: Un marco de referencia para evaluar riesgos a la salud en comunidades rurales en el estado de Sonora, México. Rev. Int. De Contam. Ambient. 2018, 34, 7–21. [Google Scholar] [CrossRef]
- Dewey (Molly), F.M.; Grant-Downton, R. Botrytis-Biology, Detection and Quantification. Botrytis—The Fungus, the Pathogen and Its Management in Agricultural Systems; Fillinger, S., Elad, Y., Eds.; Springer International Publishing: Thiverval-Grignon, France, 2016; pp. 17–34. [Google Scholar]
- Sundin, G.W.; Wang, N. Antibiotic resistance in plant-pathogenic bacteria. Annu. Rev. Phytopathol. 2018, 56, 161–180. [Google Scholar] [CrossRef]
- Lucas, J.A.; Hawkins, N.J.; Fraaije, B.A. The Evolution of Fungicide Resistance. In Advances in Applied Microbiology, 1st ed.; Sariaslani, S., Gadd, G.M., Eds.; Academic Press: London, UK, 2015; Volume 90, pp. 29–92. [Google Scholar]
- Isman, M.B. Botanical Insecticides in the Twenty-First Century—Fulfilling Their Promise? Annu. Rev. Entomol. 2020, 65, 233–249. [Google Scholar] [CrossRef]
- Lengai, G.M.W.; Muthomi, J.W.; Mbega, E.R. Phytochemical activity and role of botanical pesticides in pest management for sustainable agricultural crop production. Sci. Afr. 2020, 7, e00239. [Google Scholar] [CrossRef]
- Mesa, V.A.M.; Marín, P.; Ocampo, O.; Calle, J.; Monsalve, Z. Fungicidas a partir de extractos vegetales: Una alternativa en el manejo integrado de hongos fitopatógenos. Rev. Investig. Agropecu. 2019, 45, 23–30. [Google Scholar]
- Daraban, G.M.; Hlihor, R.-M.; Suteu, D. Pesticides vs. Biopesticides: From Pest Management to Toxicity and Impacts on the Environment and Human Health. Toxics 2023, 11, 983. [Google Scholar] [CrossRef]
- García-López, J.C.; Herrera-Medina, R.E.; Rendón-Huerta, J.A.; Negrete-Sánchez, L.O.; Lee-Rangel, H.A.; Álvarez-Fuentes, G. Acaricide Potential of Creosote Bush (Larrea tridentata) Extracts in the Control of Varroa destructor in Apis mellifera. J. Appl. Life Sci. Int. 2024, 27, 7–20. [Google Scholar] [CrossRef]
- Millanes Moreno, D.; Mc Caughey-Espinoza, D.M.; García-Baldenegro, V.; Rodríguez Briseño, K.; Retes-López, R.; Lazo-Javalera, F.; Millanes Moreno, D.; Mc Caughey-Espinoza, D.M.; García-Baldenegro, V.; Rodríguez Briseño, K.; et al. Determinación del efecto del aceite esencial de Larrea tridentata sobre el gorgojo Acantocelides obtetus (Say) en frijol almacenado. Idesia 2024, 42, 19–26. [Google Scholar] [CrossRef]
- Morales-Ubaldo, A.L.; Rivero-Perez, N.; Avila-Ramos, F.; Aquino-Torres, E.; Prieto-Mendez, J.; Hetta, H.F.; El-Saber Batiha, G.; Zaragoza-Bastida, A. Bactericidal Activity of Larrea tridentata Hydroalcoholic Extract against Phytopathogenic Bacteria. Agronomy 2021, 11, 957. [Google Scholar] [CrossRef]
- Turner, T.; Ruiz, G.; Gerstel, J.; Langland, J. Characterization of the antibacterial activity from ethanolic extracts of the botanical, Larrea tridentata. BMC Complement. Med. Ther. 2021, 21, 177. [Google Scholar] [CrossRef] [PubMed]
- Lira-Saldívar, R.H. Estado Actual del Conocimiento Sobre las Propiedades Biocidas de la Gobernadora [Larrea tridentata (D.C.) Coville]. Rev. Mex. Fitopatol. 2003, 21, 214–222. [Google Scholar]
- Guerrero-Rodríguez, E.; Solís Gaona, S.; Hernández Castillo, F.D.; Flores Olivas, A.; Sandoval López, V.; Jasso Cantú, D. Actividad biológica in vitro de extractos de Flourensia cernua D.C. en patógenos de postcosecha: Alternaria alternata (Fr.:Fr.) Keissl., Colletotrichum gloeosporioides (Penz.) Penz. Y Sacc. Y Penicillium digitatum (Pers.:Fr.) Sacc. Rev. Mex. Fitopatol. 2007, 25, 48–63. [Google Scholar]
- Gonelimali, F.D.; Lin, J.; Miao, W.; Xuan, J.; Charles, F.; Chen, M.; Hatab, S.R. Antimicrobial Properties and Mechanism of Action of Some Plant Extracts Against Food Pathogens and Spoilage Microorganisms. Front. Microbiol. 2018, 9, 1639. [Google Scholar] [CrossRef]
- Ramírez, I.; Moguel Ordóñez, Y.; Acevedo, J.J.; Betancur, D. Calidad microbiológica y actividad antibacteriana de miel producida por Melipona beecheii en Yucatán, México. Rev. MVZ Córdoba 2023, 28, e3175. [Google Scholar] [CrossRef]
- Villagomez Zaldivar, G.; González Victoriano, L.; Chanona Pérez, J.; Ferrer Gonzáles, B.; Gutiérrez Martínez, M. Obtención y evaluación de propiedades antioxidantes de extractos de orégano (Lippia graveolens), eucalipto (Eucalyptus cinerea) y chile jalapeño (Capsicum annuum cv.). Investig. Y Desarro. En Cienc. Tecnol. Aliment. 2023, 8, 319–325. [Google Scholar] [CrossRef]
- Hernández Zarate, M.S.; Abraham Juárez, M.R.; Céron García, A.; Gutiérre Chávez, A.J.; Gutiérrez Arenas, D.A.; Avila-Ramos, F. Flavonoids, phenolic content, and antioxidant activity of propolis from various areas of Guanajuato, Mexico. J. Food Sci. Technol. 2017, 2, 607–612. [Google Scholar] [CrossRef]
- Martins, S.; Amorim, E.L.C.; Sobrinho, T.J.S.P.; Saraiva, A.M.; Pisciottano, M.N.C.; Aguilar, C.N.; Teixeira, J.A.; Mussatto, S.I. Antibacterial activity of crude methanolic extract and fractions obtained from Larrea tridentata leaves. Ind. Crop. Prod. 2013, 41, 306–311. [Google Scholar] [CrossRef]
- Gómez, J.; Simirgiotis, M.J.; Manrique, S.; Piñeiro, M.; Lima, B.; Bórquez, J.; Feresin, G.E.; Tapia, A. UHPLC-ESI-OT-MS Phenolics profiling, free radical scavenging, antibacterial and nematicidal activities of “yellow-brown resins” from Larrea spp. Antioxidants 2021, 10, 185. [Google Scholar] [CrossRef]
- Morales-Márquez, R.; Delgadillo-Ruiz, L.; Esparza-Orozco, A.; Delgadillo-Ruiz, E.; Bañuelos-Valenzuela, R.; Valladares-Carranza, B.; Chávez-Ruvalcaba, M.I.; Chávez-Ruvalcaba, F.; Valtierra-Marín, H.E.; Gaytán-Saldaña, N.A.; et al. Evaluation of Larrea tridentata extracts and their antimicrobial effects on strains of clinical interest. Int. J. Mol. Sci. 2025, 26, 1032. [Google Scholar] [CrossRef] [PubMed]
- Morales-Ubaldo, A.L.; Gonzalez-Cortazar, M.; Zaragoza-Bastida, A.; Meza-Nieto, M.A.; Valladares-Carranza, B.; Alsayegh, A.A.; El-Saber Batiha, G.; Rivero-Perez, N. Nor 3′-Demethoxyisoguaiacin from Larrea tridentata Is a Potential Alternative against Multidrug-Resistant Bacteria Associated with Bovine Mastitis. Molecules 2022, 27, 3620. [Google Scholar] [CrossRef] [PubMed]
- Favela-Hernández, J.M.J.; García, A.; Garza-González, E.; Rivas-Galindo, V.M.; Camacho-Corona, M.R. Antibacterial and antimycobacterial lignans and flavonoids from Larrea tridentata. Phytother. Res. PTR 2012, 26, 1957–1960. [Google Scholar] [CrossRef] [PubMed]
- Karpiński, T.; Adamczak, A.; Ożarowski, M. 2019 Antibacterial activity of apigenin, luteolin, and their C-glucosides. In Proceedings of the 5th International Electronic Conference on Medicinal Chemistry, Online, 1–30 November 2019. [Google Scholar]
- Wang, Q.; An, J.; Xia, Q.; Pan, D.; Du, L.; He, J.; Sun, Y.; Wang, Y.; Cao, J.; Zhou, C. Insights into the fabrication and antibacterial effect of fibrinogen hydrolysate-carrageenan loading apigenin and quercetin composite hydrogels. Int. J. Biol. Macromol. 2024, 279, 135517. [Google Scholar] [CrossRef]
- de Carvalho, C.M. Incorporação do Kaempferol em um Sistema Adesivo Experimental: Avaliação do Efeito Antibacteriano e na Adesão à Dentina Maestría; Odontologia: Niterói, Brasil, 2023. [Google Scholar]
- Veiko, A.G.; Olchowik-Grabarek, E.; Sekowski, S.; Roszkowska, A.; Lapshina, E.A.; Dobrzynska, I.; Zamaraeva, M.; Zavodnik, I.B. Antimicrobial activity of quercetin, naringenin and catechin: Flavonoids inhibit Staphylococcus aureus-induced hemolysis and modify membranes of bacteria and Erythrocytes. Molecules 2023, 28, 1252. [Google Scholar] [CrossRef]
- Yan, Y.; Xia, X.; Fatima, A.; Zhang, L.; Yuan, G.; Lian, F.; Wang, Y. antibacterial activity and mechanisms of plant flavonoids against gram-negative bacteria based on the antibacterial statistical model. J. Pharm. 2024, 17, 292. [Google Scholar] [CrossRef]
- Seepe, H.A.; Ramakadi, T.G.; Lebepe, C.M.; Amoo, S.O.; Nxumalo, W. Antifungal Activity of Isolated Compounds from the Leaves of Combretum erythrophyllum (Burch.) Sond. and Withania somnifera (L.) Dunal against Fusarium Pathogens. Molecules 2021, 26, 4732. [Google Scholar] [CrossRef]
- Quiroga, E.N.; Sampietro, D.A.; Soberón, J.R.; Sgariglia, M.A.; Vattuone, M.A. Propolis from the northwest of Argentina as a source of antifungal principles. J. Appl. Microbiol. 2006, 101, 103–110. [Google Scholar] [CrossRef]
- Duda-Madej, A.; Stecko, J.; Sobieraj, J.; Szymańska, N.; Kozłowska, J. Naringenin and its derivatives—Health-promoting phytobiotic against resistant bacteria and fungi in humans. Antibiotics 2022, 11, 1628. [Google Scholar] [CrossRef]
- FAO. Food and Agriculture Organization of the United Nations. Programa ONU Medio Ambiente América Latina y el Caribe. ¿Por Qué es Importante Reducir el Uso de Antibióticos en los Sistemas Agroalimentarios? Available online: https://es.linkedin.com/posts/unep-latam_la-resistencia-antimicrobiana-ram-se-activity-7193983074454409216-3fYc (accessed on 13 March 2025).
- Naghavi, M.; Vollset, S.E.; Ikuta, K.S.; Swetschinski, L.R.; Gray, A.P.; Wool, E.E.; Aguilar, G.R.; Mestrovic, T.; Smith, G.; Han, C.; et al. Global burden of bacterial antimicrobial resistance 1990–2021: A systematic analysis with forecasts to 2050. Lancet 2024, 404, 1199–1226. [Google Scholar] [CrossRef]
- Shuping, D.S.S.; Eloff, J.N. The use of plants to protect plants and food against fungal pathogens: A review. Afr. J. Tradit. Complement. Altern. Med. 2017, 14, 120–127. [Google Scholar] [CrossRef] [PubMed]
- Sagaste, C.A.; Montero, G.; Coronado, M.A.; Ayala, J.R.; León, J.Á.; García, C.; Rojano, B.A.; Rosales, S.; Montes, D.G. Creosote Bush (Larrea tridentata) extract assessment as a green antioxidant for biodiesel. Molecules 2019, 24, 1786. [Google Scholar] [CrossRef] [PubMed]
- Cerón-Ramírez, L.B.; Talamantes-Gómez, J.M.; Gochi, L.C.; Márquez-Mota, C.C. Efecto del solvente de extracción sobre el contenido compuestos fenólicos de hojas, tallo y planta completa de Tithonia diversifolia. Av. Investig. Agropecu. 2021, 25, 134–135. [Google Scholar] [CrossRef]
- Hyder, P.W.; Fredrickson, E.L.; Estell, R.E.; Tellez, M.; Gibbens, R.P. Distribution and concentration of total phenolics, condensed tannins, and nordihydroguaiaretic acid (NDGA) in creosotebush (Larrea tridentata). Biochem. Syst. Ecol. 2002, 30, 905–912. [Google Scholar] [CrossRef]
- Cereceres-Aragón, A.; Rodrigo-García, J.; Álvarez-Parrilla, E.; Rodríguez-Tadeo, A.; Cereceres-Aragón, A.; Rodrigo-García, J.; Álvarez-Parrilla, E.; Rodríguez-Tadeo, A. Ingestión de compuestos fenólicos en población adulta mayor. Nutr. Hosp. 2019, 36, 470–478. [Google Scholar] [CrossRef]
- Abd-elfattah, M.; Maina, N.; Kareru, P.G.; El-Shemy, H.A. Antioxidant potential of eight selected Kenyan medicinal plants. Egypt. J. Chem. 2023, 66, 545–553. [Google Scholar] [CrossRef]
- Thirumurugan, D.; Cholarajan, A.; Raja, S.S.; Vijayakumar, R. An Introductory Chapter: Secondary Metabolites. Secondary Metabolites—Sources and Applications, 1st ed.; Vijayakumar, R., Suresh, S.S.R., Eds.; IntechOpen: London, UK, 2018; Volume 1, pp. 3–21. [Google Scholar]
- Andrade-Bustamante, G.; García-López, A.M.; Cervantes-Díaz, L.; Aíl-Catzim, C.E.; Borboa-Flores, J.; Rueda-Puente, E.O. Estudio del potencial biocontrolador de las plantas autóctonas de la zona árida del noroeste de México: Control de fitopatógenos. Rev. Fac. Cienc. Agrar. 2017, 49, 127–142. [Google Scholar]
- Vázquez-Cervantesa, G.I.; Villaseñor-Aguayoa, K.; Hernández-Damiána, J.; Aparicio-Trejoa, O.E.; Medina-Camposa, O.N.; López-Marureb, R.; Pedraza-Chaverria, J. Antitumor Effects of Nordihydroguaiaretic Acid (NDGA) in bladder T24 cancer cells are related to increase in ROS production and mitochondrial leak respiration. Nat. Prod. Commun. 2018, 13, 1523–1526. [Google Scholar] [CrossRef]
- Martins, S.; Mussatto, S.I.; Aguilar, C.N.; Teixeira, J.A.; Martins, S.; Mussatto, S.I.; Aguilar, C.N.; Teixeira, J.A. Antioxidant capacity and NDGA content of Larrea tridentata (a desert bush) leaves extracted with different solvents. J. Biotechnol. 2010, 150, 500. [Google Scholar] [CrossRef]
- Kaur, G.; Negi, H.S.; Ghosh, P.; Sharma, S.; Ojha, P.K.; Singh, V.; Chandel, S. Sensitivity of Botrytis cinerea isolate collected from gladiolus against selected fungicides, plant oils and botanicals in North India. Not. Bot. Horti. Agrobo. 2023, 51, 13360. [Google Scholar] [CrossRef]
- Chavan, N.; Janjal, P.H.; Jadhao, K.; Kale, S.; Shinde, A. Synergistic effect of medicinal plant extracts and antibiotics against bacterial pathogens. J. Pharm. Innov. 2023, 12, 1322–1328. [Google Scholar]
- Hermann, S.; Orlik, M.; Boevink, P.; Stein, E.; Scherf, A.; Kleeberg, I.; Schmitt, A.; Schikora, A. Biocontrol of Plant Diseases Using Glycyrrhiza glabra Leaf Extract. Plant Dis. 2022, 106, 3133–3144. [Google Scholar] [CrossRef] [PubMed]
- Kanyairita, G.G.; Mortley, D.G.; Collier, W.E.; Fagbodun, S.; Mweta, J.M.; Uwamahoro, H.; Dowell, L.T.; Mukuka, M.F. An in vitro evaluation of industrial hemp extracts against the phytopathogenic bacteria Erwinia carotovora, Pseudomonas syringae pv. Tomato, and Pseudomonas syringae pv. Tabaci. Molecules 2024, 29, 5902. [Google Scholar] [CrossRef] [PubMed]
- Shao, W.; Zhao, Y.; Ma, Z. Advances in Understanding Fungicide Resistance in Botrytis cinerea in China. Phytopathology 2021, 111, 455–463. [Google Scholar] [CrossRef]
- Weber, R.W.S.; Hahn, M. Grey mould disease of strawberry in northern Germany: Causal agents, fungicide resistance and management strategies. Appl. Microbiol. Biotechnol. 2019, 103, 1589–1597. [Google Scholar] [CrossRef]
- Abbey, J.A.; Percival, D.; Abbey, L.; Asiedu, S.K.; Prithiviraj, B.; Schilder, A. Biofungicides as alternative to synthetic fungicide control of grey mould (Botrytis cinerea)—Prospects and challenges. Biocontrol Sci. Technol. 2019, 29, 207–228. [Google Scholar] [CrossRef]
- Shahbaz, M.U.; Arshad, M.; Mukhtar, K.; Nabi, B.G.; Goksen, G.; Starowicz, M.; Nawaz, A.; Ahmad, I.; Walayat, N.; Manzoor, M.F.; et al. Natural plant extracts: An update about novel spraying as an alternative of chemical pesticides to extend the postharvest shelf life of fruits and vegetables. Molecules 2022, 27, 5152. [Google Scholar] [CrossRef]
- Rodríguez-Castro, A.; Torres-Herrera, S.; Calleros, A.D.; Romero-García, A.; Silva-Flores, M. Extractos vegetales para el control de Fusarium oxysporum, Fusarium solani y Rhizoctonia solani, una alternativa sostenible para la agricultura. Abanico Agrofor. 2020, 2, 1–13. [Google Scholar]
- Guimarães Sousa, E.; Munis Campos, G.; Quaresma, L.S.; Mendonça Mota, T.F.; de Castilhos Ghisi, N.; Camargos Gomes, G.; Viegas Santos, R.C.V.; de Souza, B.G.R.; Guédon, É.; de Castro Soares, S.; et al. Exploring Bacillus velezensis in biomedical context: A systematic review. Acad. Mol. Biol. Genom. 2025, 2. [Google Scholar] [CrossRef]
- Boiteux, J.; Espino, M.; de Los Ángeles Fernández, M.; Pizzuolo, P.; Silva, M.F. ECo-friendly postharvest protection: Larrea cuneifolia-nades extract against Botrytis cinerea. Rev. Fca. Uncuyo. 2019, 51, 427–437. [Google Scholar]
- Flores-Bedregal, E.; Puelles-Román, J.; Mendoza-Moncada, A.; Chacon-Rodriguez, K.; Terrones-Ramirez, L.; Mendez-Vilchez, W. Actividad antifúngica in vitro de extractos de ramas/hojas de arándano y semilla de palta contra Botrytis sp. J. Agric. Sci. 2023, 13, 55–66. [Google Scholar]
- Bressan Merlo, M.E. “Larrea ameghinoi Speg. Jarilla rastrera”: Efecto Antioxidante, Antimicrobiano y Estudio Químico. [Tesis de Grado, Universidad Nacional de San Juan]. Repositorio Institucional UNSJ Argentina, 2024. Available online: http://huru.unsj.edu.ar/handle/123456789/310 (accessed on 18 March 2025).
- Šernaitė, L.; Rasiukevičiūtė, N.; Valiuškaitė, A. Application of Plant Extracts to Control Postharvest Gray Mold and Susceptibility of Apple Fruits to B. cinerea from Different Plant Hosts. Foods 2020, 9, 1430. [Google Scholar] [CrossRef] [PubMed]
- Semarnat. Informe de la Situación del Medio Ambiente en México. In Compendio de Estadísticas Ambientales. Indicadores Clave, de Desempeño Ambiental y de Crecimiento Verde. Edición 2015; Semarnat: Mexico City, México. In Compendio de Estadísticas Ambientales. Indicadores Clave, de Desempeño Ambiental y de Crecimiento Verde. Edición 2015; Semarnat: Mexico City, México, 2016; pp. 114–127. [Google Scholar]
- Riptanti, E.W.; Qonita, A.; Fajarningsih, R.U. Potentials of sustainable development of medicinal plants in Wonogiri regency of Central Java province of Indonesia. Bulg. J. Agric. Sci. 2018, 24, 742–749. [Google Scholar]



| Extract Yield | |
|---|---|
| Dry matter weight | 50.0 g |
| Extract obtained | 11.7 g |
| Dry matter yield | 23.4% |
| Concentration (µg mL−1) | Inhibition (%) |
|---|---|
| C- | 0 ± 0 |
| C+ | 39.62 ± 3.81 |
| 50 | 24.91 ± 19.86 |
| 100 | 46.97 ± 1.59 |
| 250 | 67.1 ± 2.24 |
| 500 | 74.93 ± 2.56 |
| 750 | 76.7 ± 7.98 |
| 1000 | 90.42 ± 5.92 |
| 2000 | 96.1 ± 5.41 |
| Phenol Content EAG | |
|---|---|
| FTEAG mg gE−1 | 291.02 |
| FTEAG mg gMS−1 | 73.92 |
| FlEQ mg gE−1 | 598.27 |
| FlEQ mg gMS−1 | 153.40 |
Disclaimer/Publisher’s Note: The statements, opinions and data contained in all publications are solely those of the individual author(s) and contributor(s) and not of MDPI and/or the editor(s). MDPI and/or the editor(s) disclaim responsibility for any injury to people or property resulting from any ideas, methods, instructions or products referred to in the content. |
© 2025 by the authors. Licensee MDPI, Basel, Switzerland. This article is an open access article distributed under the terms and conditions of the Creative Commons Attribution (CC BY) license (https://creativecommons.org/licenses/by/4.0/).
Share and Cite
Rivera-Escareño, D.; Cadena-Iñiguez, J.; García-Flores, D.A.; Loera-Alvarado, G.; Aguilar-Galaviz, L.; Ortega-Amaro, M.A. Microbicidal Activity of Extract Larrea tridentata (Sessé and Moc. ex DC.) Coville on Pseudomonas syringae Van Hall and Botrytis cinerea Pers. Microorganisms 2025, 13, 1055. https://doi.org/10.3390/microorganisms13051055
Rivera-Escareño D, Cadena-Iñiguez J, García-Flores DA, Loera-Alvarado G, Aguilar-Galaviz L, Ortega-Amaro MA. Microbicidal Activity of Extract Larrea tridentata (Sessé and Moc. ex DC.) Coville on Pseudomonas syringae Van Hall and Botrytis cinerea Pers. Microorganisms. 2025; 13(5):1055. https://doi.org/10.3390/microorganisms13051055
Chicago/Turabian StyleRivera-Escareño, Diego, Jorge Cadena-Iñiguez, Dalia Abigail García-Flores, Gerardo Loera-Alvarado, Lizeth Aguilar-Galaviz, and María Azucena Ortega-Amaro. 2025. "Microbicidal Activity of Extract Larrea tridentata (Sessé and Moc. ex DC.) Coville on Pseudomonas syringae Van Hall and Botrytis cinerea Pers" Microorganisms 13, no. 5: 1055. https://doi.org/10.3390/microorganisms13051055
APA StyleRivera-Escareño, D., Cadena-Iñiguez, J., García-Flores, D. A., Loera-Alvarado, G., Aguilar-Galaviz, L., & Ortega-Amaro, M. A. (2025). Microbicidal Activity of Extract Larrea tridentata (Sessé and Moc. ex DC.) Coville on Pseudomonas syringae Van Hall and Botrytis cinerea Pers. Microorganisms, 13(5), 1055. https://doi.org/10.3390/microorganisms13051055

