Bacterial Infection Disrupts the Intestinal Bacterial Community and Facilitates the Enrichment of Pathogenic Bacteria in the Intestines of Penaeus vannamei
Abstract
1. Introduction
2. Materials and Methods
2.1. Experimental Design and Sample Collection
2.2. The 16S rRNA Sequencings and Bioinformatic Analysis
2.3. Statistical Analysis
3. Results
3.1. Differences in Intestinal Bacterial Diversity of the Control, Vpa, and LPS Groups
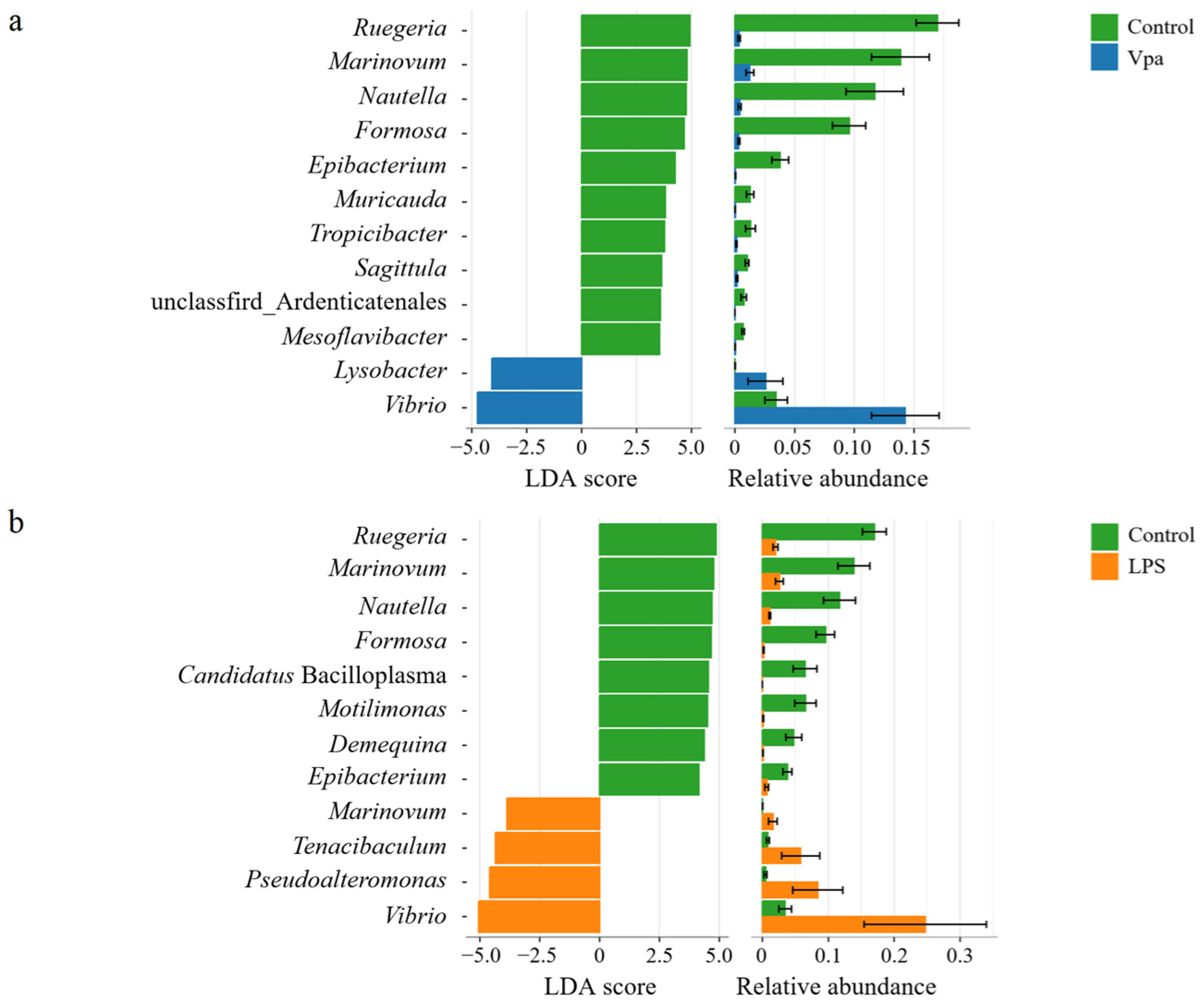
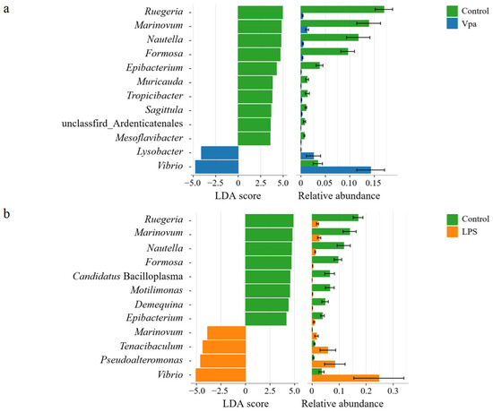
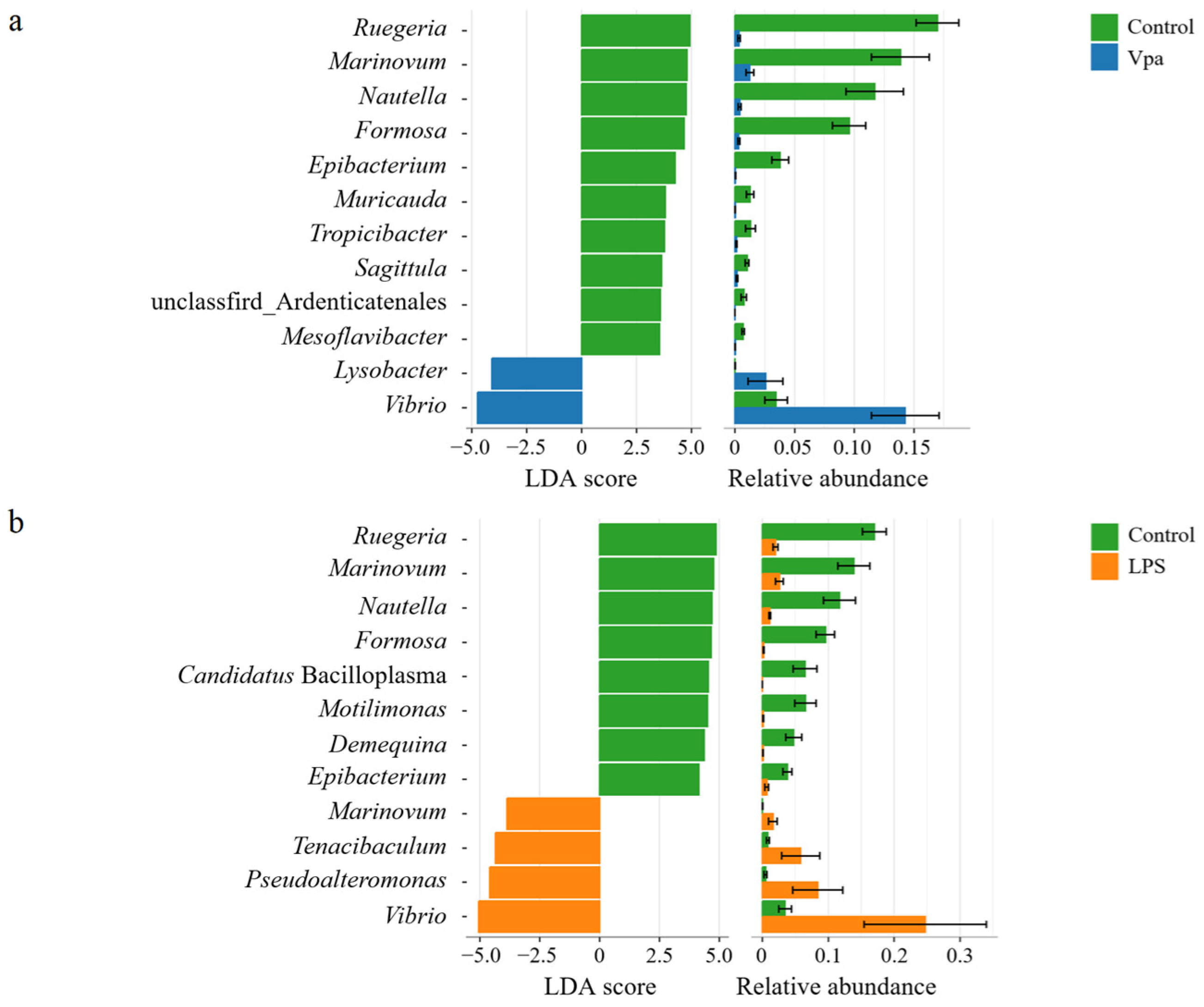
3.2. Differences in Bacterial Composition of the Control, Vpa and LPS Groups
3.3. Differences in Bacterial Co-Association Networks and Ecological Processes on the Intestinal Community Assembly Among the Control, Vpa, and LPS Groups
4. Discussion
5. Conclusions
Supplementary Materials
Author Contributions
Funding
Institutional Review Board Statement
Informed Consent Statement
Data Availability Statement
Conflicts of Interest
References
- FAO. Fishery and Aquaculture Statistics; Food and Agriculture Organization of the United Nations: Rome, Italy, 2021. [Google Scholar]
- Lee, C.T.; Chen, I.T.; Yang, Y.T.; Ko, T.P.; Huang, Y.T.; Huang, J.Y.; Huang, M.F.; Lin, S.J.; Chen, C.Y.; Lin, S.S.; et al. The opportunistic marine pathogen Vibrio parahaemolyticus becomes virulent by acquiring a plasmid that expresses a deadly toxin. Proc. Natl. Acad. Sci. USA 2015, 112, 10798–10803. [Google Scholar] [CrossRef] [PubMed]
- Chandran, A.; Priya, P.S.; Meenatchi, R.; Vaishnavi, S.; Pavithra, V.; Kumar, T.T.A.; Arockiaraj, J. Insights into molecular aspects of pathogenesis and disease management in acute hepatopancreatic necrosis disease (AHPND): An updated review. Fish Shellfish Immunol. 2023, 142, 109138. [Google Scholar] [CrossRef]
- Lai, H.C.; Ng, T.H.; Ando, M.; Lee, C.T.; Chen, I.T.; Chuang, J.C.; Mavichak, R.; Chang, S.H.; Yeh, M.D.; Chiang, Y.A. Pathogenesis of acute hepatopancreatic necrosis disease (AHPND) in shrimp. Fish Shellfish Immunol. 2015, 47, 1006–1014. [Google Scholar] [CrossRef] [PubMed]
- Hong, X.; Lu, L.; Xu, D. Progress in research on acute hepatopancreatic necrosis disease (AHPND). Aquacult. Int. 2016, 24, 577–593. [Google Scholar] [CrossRef]
- Hooper, L.V.; Gordon, J.I. Commensal host-bacterial relationships in the gut. Science 2001, 292, 1115–1118. [Google Scholar] [CrossRef]
- Rawls, J.F.; Samuel, B.S.; Gordon, J.I. Gnotobiotic zebrafish reveal evolutionarily conserved responses to the gut microbiota. Proc. Natl. Acad. Sci. USA 2004, 101, 4596–4601. [Google Scholar] [CrossRef]
- Sekirov, I.; Russell, S.L.; Antunes, L.C.M.; Finlay, B. Gut microbiota in health and disease. Physiol. Rev. 2010, 90, 859–890. [Google Scholar] [CrossRef] [PubMed]
- Walter, J.; Britton, R.A.; Roos, S. Host-microbial symbiosis in the vertebrate gastrointestinal tract and the Lactobacillus reuteri paradigm. Proc. Natl. Acad. Sci. USA 2011, 108, 4645–4652. [Google Scholar] [CrossRef]
- Kikuchi, Y.; Hayatsu, M.; Hosokawa, T.; Nagayama, A.; Tago, K.; Fukatsu, T. Symbiont-mediated insecticide resistance. Proc. Natl. Acad. Sci. USA 2012, 109, 8618–8622. [Google Scholar] [CrossRef]
- Hsiao, E.Y.; McBride, S.W.; Hsien, S.; Sharon, G.; Hyde, E.R.; McCue, T.; Codelli, J.A.; Chow, J.; Reisman, S.E.; Petrosino, J.F.; et al. Microbiota modulate behavioral and physiological abnormalities associated with neurodevelopmental disorders. Cell 2013, 155, 1451–1463. [Google Scholar] [CrossRef]
- Gong, C.; Hao, Y.; Liu, Y.; Zhao, Y.; Liu, Y.; Wang, G.; He, Z.; Liu, J.; An, B.; Zhang, Y.; et al. Immune response and intestinal microbial succession of half-smooth tongue sole (Cynoglossus semilaevis) infected with Vibrio vulnificus. Aquaculture 2021, 533, 736229. [Google Scholar] [CrossRef]
- Zhang, X.; Sun, J.; Han, Z.; Chen, F.; Lv, A.; Hu, X.; Sun, X.; Qi, H.; Guo, Y. Vibrio parahaemolyticus alters the community composition and function of intestinal microbiota in Pacific white shrimp, Penaeus vannamei. Aquaculture 2021, 544, 737061. [Google Scholar] [CrossRef]
- Xiao, F.; Liao, L.; Xu, Q.; He, Z.; Xiao, T.; Wang, J.; Huang, J.; Yu, Y.; Wu, B.; Yan, Q. Host-microbiota interactions and responses to grass carp reovirus infection in Ctenopharyngodon idellus. Environ. Microbiol. 2020, 23, 431–447. [Google Scholar] [CrossRef]
- Xiong, J.; Zhu, J.; Dai, W.; Dong, C.; Qiu, Q.; Li, C. Integrating gut microbiota immaturity and disease-discriminatory taxa to diagnose the initiation and severity of shrimp disease. Environ. Microbiol. 2017, 19, 1490–1501. [Google Scholar] [CrossRef]
- Xiong, J.; Dai, W.; Qiu, Q.; Zhu, J.; Yang, W.; Li, C. Response of host-bacterial colonization in shrimp to developmental stage, environment and disease. Mol. Ecol. 2018, 27, 3686–3699. [Google Scholar] [CrossRef] [PubMed]
- Huang, Z.; Zeng, S.; Xiong, J.; Hou, D.; Zhou, R.; Xing, C.; Wei, D.; Deng, X.; Yu, L.; Wang, H.; et al. Microecological Koch’s postulates reveal that intestinal microbiota dysbiosis contributes to shrimp white feces syndrome. Microbiome 2020, 8, 32. [Google Scholar] [CrossRef]
- Hou, D.; Li, H.; Wang, S.; Weng, S.; He, J. Ammonia nitrogen stress induces dysbiosis of the intestinal bacterial community and facilitates the enrichment of pathogenic bacteria in intestines of shrimp. Aquaculture 2024, 595, 741510. [Google Scholar] [CrossRef]
- Xia, Q.; Wang, B.; Liu, M.; Jiang, K.; Wang, L. A new method to evaluate the effects of bacterial dosage, infection route and Vibrio strain in experimental challenges of Litopenaeus vannamei, based on the Cox proportional hazard model. Fish Shellfish Immunol. 2015, 46, 686–692. [Google Scholar] [CrossRef]
- Wang, S.; Li, H.; Li, Q.; Yin, B.; Li, S.; He, J.; Li, C. Signaling events induced by lipopolysaccharide-activated Toll in response to bacterial infection in shrimp. Front. Immunol. 2023, 14, 1119879. [Google Scholar] [CrossRef]
- Duan, Y.; Wang, Y.; Zhang, J.; Liu, Q.; Ding, X. Morphologic, digestive enzymes and immunological responses of intestine from Litopenaeus vannamei after lipopolysaccharide injection. J. Invertebr. Pathol. 2018, 153, 186–194. [Google Scholar] [CrossRef]
- Zuo, H.; Li, H.; Wei, E.; Su, Z.; Zheng, J.; Li, C.; Chen, Y.; Weng, S.; He, J.; Xu, X. Identification and functional analysis of a Hemolin like protein from Litopenaeus vannamei. Fish Shellfish Immunol. 2015, 43, 51–59. [Google Scholar] [CrossRef] [PubMed]
- Hou, D.; Li, H.; Wang, S.; Weng, S.; He, J. Nitrite nitrogen stress disrupts the intestine bacterial community by altering host-community interactions in shrimp. Sci. Total. Environ. 2024, 925, 171536. [Google Scholar] [CrossRef] [PubMed]
- Wang, Z.; Yu, Y.; Li, X.; Xiao, B.; Zhang, P.; Shen, W.; Wan, F.; He, J.; Tang, S.; Tan, Z.; et al. Fermented soybean meal replacement in the diet of lactating Holstein dairy cows: Modulated rumen fermentation and ruminal microflora. Front. Microbiol. 2021, 12, 625857. [Google Scholar] [CrossRef] [PubMed]
- Edgar, R.C.; Haas, B.J.; Clemente, J.C.; Quince, C.; Knight, R. UCHIME improves sensitivity and speed of chimera detection. Bioinformatics 2011, 27, 2194–2200. [Google Scholar] [CrossRef]
- Bolyen, E.; Rideout, J.R.; Dillon, M.R.; Bokulich, N.A.; Abnet, C.C.; Al-Ghalith, G.A.; Alexander, H.; Alm, E.J.; Arumugam, M.; Asnicar, F.; et al. Reproducible, interactive, scalable and extensible microbiome data science using QIIME 2. Nat. Biotechnol. 2019, 37, 852–857. [Google Scholar] [CrossRef]
- Huson, D.H.; Auch, A.F.; Qi, J.; Schuster, S.C. MEGAN analysis of metagenomic data. Gen. Res. 2007, 17, 377–386. [Google Scholar] [CrossRef]
- Friedman, J.; Alm, E.J.; Mering, C.V. Inferring correlation networks from genomic survey data. PLoS Comput. Biol. 2012, 8, e1002687. [Google Scholar] [CrossRef]
- Stegen, J.C.; Lin, X.; Fredrickson, J.K.; Chen, X.; Kennedy, D.W.; Murray, C.J.; Rockhold, M.L.; Konopka, A. Quantifying community assembly processes and identifying features that impose them. ISME J. 2013, 7, 2069–2079. [Google Scholar] [CrossRef]
- Stegen, J.C.; Lin, X.; Fredrickson, J.K.; Konopka, A.E. Estimating and mapping ecological processes influencing microbial community assembly. Front. Microbiol. 2015, 6, 370. [Google Scholar] [CrossRef]
- Li, H.; Li, Q.; Wang, S.; He, J.; Li, C. Ammonia nitrogen stress increases susceptibility to bacterial infection via blocking IL-1R–Relish axis mediated antimicrobial peptides expression in shrimp. Aquaculture 2022, 170, 38934. [Google Scholar] [CrossRef]
- Belizário, J.E.; Faintuch, J. Microbiome and gut dysbiosis. Exp. Suppl. 2018, 109, 459–476. [Google Scholar] [PubMed]
- Zeevi, D.; Korem, T.; Godneva, A.; Bar, N.; Kurilshikov, A.; Lotan-Pompan, M.; Weinberger, A.; Fu, J.; Wijmenga, C.; Zhernakova, A.; et al. Structural variation in the gut microbiome associates with host health. Nature 2019, 568, 43–48. [Google Scholar] [CrossRef] [PubMed]
- Tepaamorndech, S.; Nookaew, I.; Higdon, S.M.; Santiyanont, P.; Phromson, M.; Chantarasakha, K.; Mhuantong, W.; Plengvidhya, V.; Visessanguan, W. Metagenomics in bioflocs and their effects on gut microbiome and immune responses in Pacific white shrimp. Fish Shellfish Immunol. 2020, 106, 733–741. [Google Scholar] [CrossRef] [PubMed]
- Guo, H.; Fu, X.; He, J.; Wang, R.; Yan, M.; Wang, J.; Dong, P.; Huang, L.; Zhang, D. Gut bacterial consortium enriched in a biofloc system protects shrimp against Vibrio parahaemolyticus infection. Microbiome 2023, 11, 230. [Google Scholar] [CrossRef]
- Sonnenschein, E.; Nielsen, K.; D’Alvise, P.; Porsby, C.H.; Melchiorsen, J.; Heilmann, J.; Kalatzis, P.G.; López-Pérez, M.; Bunk, B.; Spröer, C.; et al. Global occurrence and heterogeneity of the Roseobacter-clade species Ruegeria mobilis. ISME J. 2017, 11, 569–583. [Google Scholar] [CrossRef]
- Sha, H.; Lu, J.; Chen, J.; Xiong, J. Rationally designed probiotics prevent shrimp white feces syndrome via the probiotics-gut microbiome-immunity axis. npj Biofilms Microbiomes 2024, 10, 40. [Google Scholar] [CrossRef]





Disclaimer/Publisher’s Note: The statements, opinions and data contained in all publications are solely those of the individual author(s) and contributor(s) and not of MDPI and/or the editor(s). MDPI and/or the editor(s) disclaim responsibility for any injury to people or property resulting from any ideas, methods, instructions or products referred to in the content. |
© 2025 by the authors. Licensee MDPI, Basel, Switzerland. This article is an open access article distributed under the terms and conditions of the Creative Commons Attribution (CC BY) license (https://creativecommons.org/licenses/by/4.0/).
Share and Cite
Zhou, R.; Weng, S.; He, J. Bacterial Infection Disrupts the Intestinal Bacterial Community and Facilitates the Enrichment of Pathogenic Bacteria in the Intestines of Penaeus vannamei. Microorganisms 2025, 13, 864. https://doi.org/10.3390/microorganisms13040864
Zhou R, Weng S, He J. Bacterial Infection Disrupts the Intestinal Bacterial Community and Facilitates the Enrichment of Pathogenic Bacteria in the Intestines of Penaeus vannamei. Microorganisms. 2025; 13(4):864. https://doi.org/10.3390/microorganisms13040864
Chicago/Turabian StyleZhou, Renjun, Shaoping Weng, and Jianguo He. 2025. "Bacterial Infection Disrupts the Intestinal Bacterial Community and Facilitates the Enrichment of Pathogenic Bacteria in the Intestines of Penaeus vannamei" Microorganisms 13, no. 4: 864. https://doi.org/10.3390/microorganisms13040864
APA StyleZhou, R., Weng, S., & He, J. (2025). Bacterial Infection Disrupts the Intestinal Bacterial Community and Facilitates the Enrichment of Pathogenic Bacteria in the Intestines of Penaeus vannamei. Microorganisms, 13(4), 864. https://doi.org/10.3390/microorganisms13040864

