Gut Microbiome Alterations, Mental Health, and Alcohol Consumption: Investigating the Gut–Brain Axis in Firefighters
Abstract
1. Introduction
2. Materials and Methods
2.1. Participants Recruitment
2.1.1. Inclusion Criteria
2.1.2. Exclusion Criteria
2.2. Sample Collection and Data Analysis
2.3. Self-Questionnaires
2.4. Alcohol Consumption
- 12 ounces of regular beer (approximately 5% alcohol by volume);
- 5 ounces of wine (approximately 12% alcohol by volume);
- 1.5 ounces of distilled spirits (approximately 40% alcohol by volume).
2.5. Microbial Diversity, Composition Profiling, and Data Analysis
3. Results
3.1. Participant Recruitment
3.2. Post-Traumatic Stress Disorder (PTSD) Symptoms, Perceived Stress Scale (PSS), Anxiety, and Depression
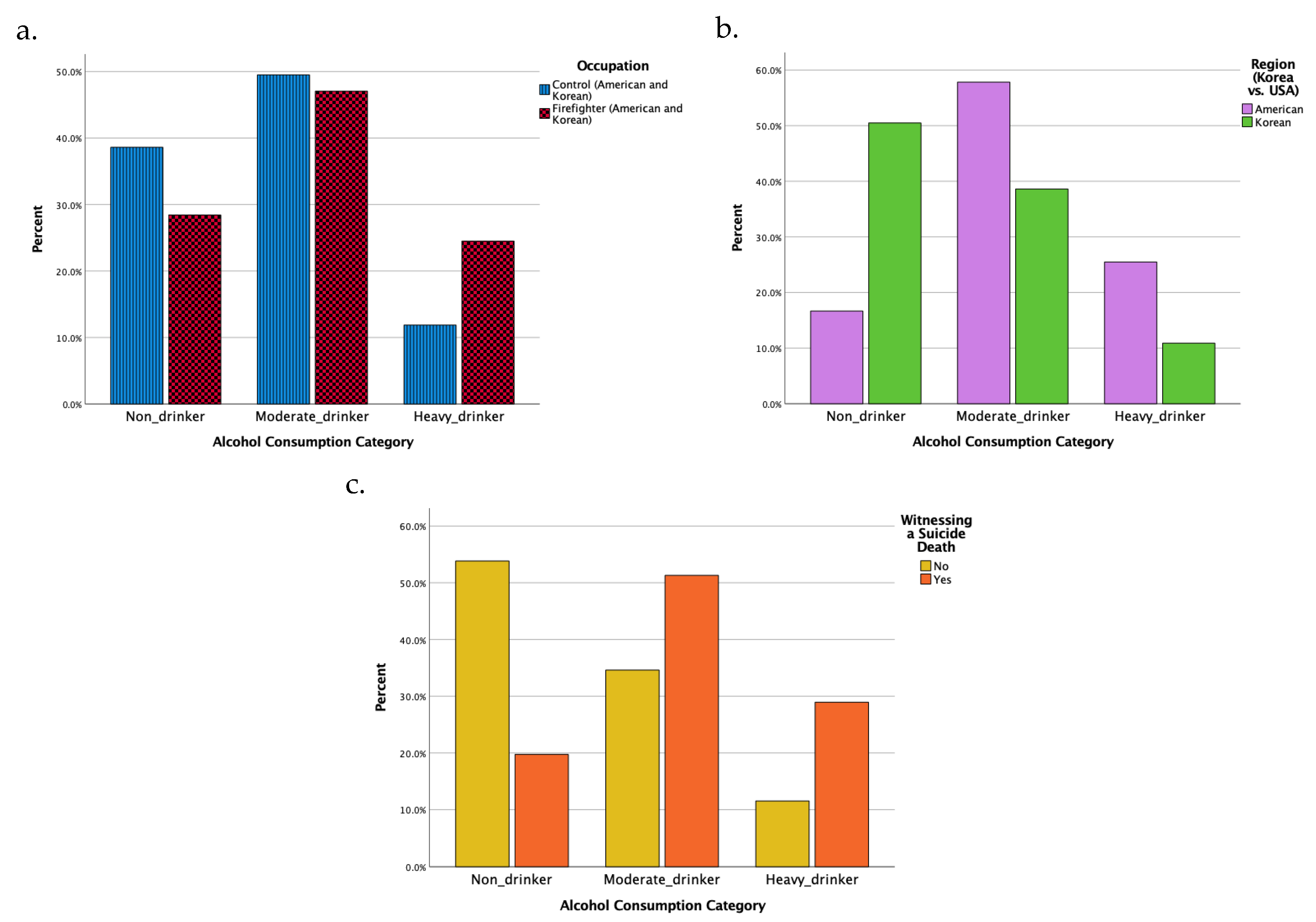
3.3. Alcohol Consumption Patterns
3.4. Gut Microbiota Diversity and Composition
3.5. Gut Microbiota Diversity and Composition with PTSD Symptoms
3.6. Microbiota Composition and Diversity in the Pattern of Alcohol Consumption Frequency
3.7. Microbiota Composition and Diversity in the Pattern of Alcohol Consumption Amount
3.8. Microbial Function Prediction Using KEGG Orthologs (KOs)
4. Discussion
4.1. PTSD Symptoms and Other Mental Health Outcomes
4.2. Alcohol Consumption Patterns
4.3. Gut Microbiota Diversity and Composition with PTSD Symptoms
4.4. Gut Microbiota Composition and Diversity in the Pattern of Alcohol Consumption Frequency and Amount
4.5. Microbial Functional Prediction Using the KEGG Orthologs (KOs)
5. Conclusions
6. Study Limitation
Author Contributions
Funding
Institutional Review Board Statement
Informed Consent Statement
Data Availability Statement
Conflicts of Interest
Correction Statement
Abbreviations
| ASVs | Amplicon Sequence Variants |
| DNA | Deoxyribonucleic acid |
| EDA | 2-Dehydro-3-deoxyphosphogluconate aldolase |
| ED | Entner–Doudoroff |
| FF | Firefighter |
| FtsK | Filament temperature-sensitive mutant K |
| GAD-2 | Generalized Anxiety Disorder-2 |
| G3P | Glyceraldehyde 3-phosphate |
| Kos | KEGG orthologs |
| NIAAA | National Institute on Alcohol Abuse and Alcoholism |
| Non-FF | Non-firefighter |
| PCL-C | PTSD Checklist—Civilian Version |
| PCR | Polymerase chain reaction |
| PHQ-2 | Patient Health Questionnaire-2 |
| PSS | Perceived Stress Scale |
| PTSD | Post-Traumatic Stress Disorder |
| SCFAs | Short-chain fatty acids |
| Srt-A | Sortase A |
References
- Bartlett, B.A.; Jardin, C.; Martin, C.; Tran, J.K.; Buser, S.; Anestis, M.D.; Vujanovic, A.A. Posttraumatic stress and suicidality among firefighters: The moderating role of distress tolerance. Cogn. Ther. Res. 2018, 42, 483–496. [Google Scholar] [CrossRef]
- Henderson, S.N.; Van Hasselt, V.B.; LeDuc, T.J.; Couwels, J. Firefighter suicide: Understanding cultural challenges for mental health professionals. Prof. Psychol. Res. Pract. 2016, 47, 224. [Google Scholar] [CrossRef]
- McFarlane, A.C. Epidemiological evidence about the relationship between PTSD and alcohol abuse: The nature of the association. Addict. Behav. 1998, 23, 813–825. [Google Scholar] [CrossRef]
- Hruska, B.; Fallon, W.; Spoonster, E.; Sledjeski, E.M.; Delahanty, D.L. Alcohol use disorder history moderates the relationship between avoidance coping and posttraumatic stress symptoms. Psychol. Addict. Behav. 2011, 25, 405. [Google Scholar] [CrossRef]
- Vujanovic, A.A.; Marshall-Berenz, E.C.; Zvolensky, M.J. Posttraumatic stress and alcohol use motives. J. Cogn. Psychother. 2011, 25, 130–141. [Google Scholar] [CrossRef]
- Tomaka, J.; Magoc, D.; Morales-Monks, S.M.; Reyes, A.C. Posttraumatic stress symptoms and alcohol-related outcomes among municipal firefighters. J. Trauma. Stress 2017, 30, 416–424. [Google Scholar] [CrossRef]
- Smith, L.J.; Gallagher, M.W.; Tran, J.K.; Vujanovic, A.A. Posttraumatic stress, alcohol use, and alcohol use reasons in firefighters: The role of sleep disturbance. Compr. Psychiatry 2018, 87, 64–71. [Google Scholar] [CrossRef]
- Zegel, M.; Tran, J.K.; Vujanovic, A.A. Posttraumatic stress, alcohol use, and alcohol use motives among firefighters: The role of distress tolerance. Psychiatry Res. 2019, 282, 112633. [Google Scholar] [CrossRef]
- Smith, L.J.; Paulus, D.J.; Gallagher, M.W.; Norman, S.B.; Tran, J.K.; Vujanovic, A.A. Perceived stress and probable alcohol misuse in firefighters: The role of posttraumatic stress. Int. J. Stress Manag. 2019, 26, 367. [Google Scholar] [CrossRef]
- Jiang, H.-y.; Zhang, X.; Yu, Z.-h.; Zhang, Z.; Deng, M.; Zhao, J.-h.; Ruan, B. Altered gut microbiota profile in patients with generalized anxiety disorder. J. Psychiatr. Res. 2018, 104, 130–136. [Google Scholar] [CrossRef]
- Evrensel, A.; Ceylan, M.E. The gut-brain axis: The missing link in depression. Clin. Psychopharmacol. Neurosci. 2015, 13, 239. [Google Scholar] [CrossRef] [PubMed]
- Ahn, J.; Sinha, R.; Pei, Z.; Dominianni, C.; Wu, J.; Shi, J.; Goedert, J.J.; Hayes, R.B.; Yang, L. Human gut microbiome and risk for colorectal cancer. J. Natl. Cancer Inst. 2013, 105, 1907–1911. [Google Scholar] [CrossRef]
- Leclercq, S.; Matamoros, S.; Cani, P.D.; Neyrinck, A.M.; Jamar, F.; Stärkel, P.; Windey, K.; Tremaroli, V.; Bäckhed, F.; Verbeke, K. Intestinal permeability, gut-bacterial dysbiosis, and behavioral markers of alcohol-dependence severity. Proc. Natl. Acad. Sci. USA 2014, 111, E4485–E4493. [Google Scholar] [CrossRef] [PubMed]
- Wolstenholme, J.T.; Saunders, J.M.; Smith, M.; Kang, J.D.; Hylemon, P.B.; González-Maeso, J.; Fagan, A.; Zhao, D.; Sikaroodi, M.; Herzog, J. Reduced alcohol preference and intake after fecal transplant in patients with alcohol use disorder is transmissible to germ-free mice. Nat. Commun. 2022, 13, 6198. [Google Scholar] [CrossRef]
- Callahan, B.J.; McMurdie, P.J.; Rosen, M.J.; Han, A.W.; Johnson, A.J.A.; Holmes, S.P. DADA2: High-resolution sample inference from Illumina amplicon data. Nat. Methods 2016, 13, 581–583. [Google Scholar] [CrossRef]
- Mallick, H.; Rahnavard, A.; McIver, L.J.; Ma, S.; Zhang, Y.; Nguyen, L.H.; Tickle, T.L.; Weingart, G.; Ren, B.; Schwager, E.H. Multivariable association discovery in population-scale meta-omics studies. PLoS Comput. Biol. 2021, 17, e1009442. [Google Scholar] [CrossRef]
- Mongad, D.S.; Chavan, N.S.; Narwade, N.P.; Dixit, K.; Shouche, Y.S.; Dhotre, D.P. MicFunPred: A conserved approach to predict functional profiles from 16S rRNA gene sequence data. Genomics 2021, 113, 3635–3643. [Google Scholar] [CrossRef]
- Ye, Y.; Doak, T.G. A parsimony approach to biological pathway reconstruction/inference for genomes and metagenomes. PLoS Comput. Biol. 2009, 5, e1000465. [Google Scholar] [CrossRef]
- Gloor, G. ALDEx2: ANOVA-Like Differential Expression tool for compositional data. ALDEX Man. Modul. 2015, 20, 1–11. [Google Scholar]
- Walker, E.A.; Newman, E.; Dobie, D.J.; Ciechanowski, P.; Katon, W. Validation of the PTSD checklist in an HMO sample of women. Gen. Hosp. Psychiatry 2002, 24, 375–380. [Google Scholar] [CrossRef]
- Andrykowski, M.A.; Cordova, M.J.; Studts, J.L.; Miller, T.W. Posttraumatic stress disorder after treatment for breast cancer: Prevalence of diagnosis and use of the PTSD Checklist—Civilian Version (PCL—C) as a screening instrument. J. Consult. Clin. Psychol. 1998, 66, 586. [Google Scholar] [CrossRef] [PubMed]
- Kessler, R.; Chiu, W.; Demler, O.; Merikangas, K.; Walters, E. Prevalence, severity, and comorbidity of 12-month DSM-IV disorders in the national comorbidity survey replication. Arch. Gen. Psychiatry 2005, 62, 709. [Google Scholar] [CrossRef] [PubMed]
- Boffa, J.W.; Stanley, I.H.; Hom, M.A.; Norr, A.M.; Joiner, T.E.; Schmidt, N.B. PTSD symptoms and suicidal thoughts and behaviors among firefighters. J. Psychiatr. Res. 2017, 84, 277–283. [Google Scholar] [CrossRef] [PubMed]
- Van Hasselt, V.B.; Bourke, M.L.; Schuhmann, B.B. Firefighter stress and mental health: Introduction to the special issue. Behav. Modif. 2022, 46, 259–266. [Google Scholar] [CrossRef] [PubMed]
- Jahnke, S.A.; Poston, W.S.C.; Haddock, C.K.; Murphy, B. Firefighting and mental health: Experiences of repeated exposure to trauma. Work 2016, 53, 737–744. [Google Scholar] [CrossRef]
- Geronazzo-Alman, L.; Eisenberg, R.; Shen, S.; Duarte, C.S.; Musa, G.J.; Wicks, J.; Fan, B.; Doan, T.; Guffanti, G.; Bresnahan, M. Cumulative exposure to work-related traumatic events and current post-traumatic stress disorder in New York City’s first responders. Compr. Psychiatry 2017, 74, 134–143. [Google Scholar] [CrossRef]
- Kim, J.E.; Dager, S.R.; Jeong, H.S.; Ma, J.; Park, S.; Kim, J.; Choi, Y.; Lee, S.L.; Kang, I.; Ha, E. Firefighters, posttraumatic stress disorder, and barriers to treatment: Results from a nationwide total population survey. PLoS ONE 2018, 13, e0190630. [Google Scholar] [CrossRef]
- Shin, K.-Y. Economic crisis, neoliberal reforms, and the rise of precarious work in South Korea. Am. Behav. Sci. 2013, 57, 335–353. [Google Scholar] [CrossRef]
- Carey, M.G.; Al-Zaiti, S.S.; Dean, G.E.; Sessanna, L.; Finnell, D.S. Sleep problems, depression, substance use, social bonding, and quality of life in professional firefighters. J. Occup. Environ. Med. 2011, 53, 928–933. [Google Scholar] [CrossRef]
- Straud, C.; Henderson, S.N.; Vega, L.; Black, R.; Van Hasselt, V. Resiliency and posttraumatic stress symptoms in firefighter paramedics: The mediating role of depression, anxiety, and sleep. Traumatology 2018, 24, 140. [Google Scholar] [CrossRef]
- Brown, T.A.; Barlow, D.H. A proposal for a dimensional classification system based on the shared features of the DSM-IV anxiety and mood disorders: Implications for assessment and treatment. Neurotic Parad. 2018, 2, 325–354. [Google Scholar]
- Olff, M.; Langeland, W.; Gersons, B.P. The psychobiology of PTSD: Coping with trauma. Psychoneuroendocrinology 2005, 30, 974–982. [Google Scholar] [CrossRef] [PubMed]
- Brown, A.S.; Patterson, P.H. Maternal infection and schizophrenia: Implications for prevention. Schizophr. Bull. 2011, 37, 284–290. [Google Scholar] [CrossRef] [PubMed]
- Nydegger, R.; Nydegger, L.; Basile, F. Post-traumatic stress disorder and coping among career professional firefighters. Am. J. Health Sci. (AJHS) 2011, 2, 11–20. [Google Scholar] [CrossRef]
- Yoo, J.Y.; Groer, M.; Dutra, S.V.O.; Sarkar, A.; McSkimming, D.I. Gut microbiota and immune system interactions. Microorganisms 2020, 8, 1587. [Google Scholar] [CrossRef]
- Yoo, J.Y.; Sniffen, S.; McGill Percy, K.C.; Pallaval, V.B.; Chidipi, B. Gut dysbiosis and immune system in atherosclerotic cardiovascular disease (ACVD). Microorganisms 2022, 10, 108. [Google Scholar] [CrossRef]
- Qin, J.; Li, Y.; Cai, Z.; Li, S.; Zhu, J.; Zhang, F.; Liang, S.; Zhang, W.; Guan, Y.; Shen, D. A metagenome-wide association study of gut microbiota in type 2 diabetes. Nature 2012, 490, 55–60. [Google Scholar] [CrossRef]
- An, E.; Delgadillo, D.R.; Yang, J.; Agarwal, R.; Labus, J.S.; Pawar, S.; Leitman, M.; Kilpatrick, L.A.; Bhatt, R.R.; Vora, P. Stress-resilience impacts psychological wellbeing as evidenced by brain–gut microbiome interactions. Nat. Ment. Health 2024, 2, 935–950. [Google Scholar] [CrossRef]
- Barandouzi, Z.A.; Lee, J.; del Carmen Rosas, M.; Chen, J.; Henderson, W.A.; Starkweather, A.R.; Cong, X.S. Associations of neurotransmitters and the gut microbiome with emotional distress in mixed type of irritable bowel syndrome. Sci. Rep. 2022, 12, 1648. [Google Scholar] [CrossRef]
- Longo, S.; Rizza, S.; Federici, M. Microbiota-gut-brain axis: Relationships among the vagus nerve, gut microbiota, obesity, and diabetes. Acta Diabetol. 2023, 60, 1007–1017. [Google Scholar] [CrossRef]
- Dinan, T.G.; Cryan, J.F. The microbiome-gut-brain axis in health and disease. Gastroenterol. Clin. 2017, 46, 77–89. [Google Scholar] [CrossRef] [PubMed]
- Casto-Rebollo, C.; Argente, M.J.; García, M.L.; Pena, R.N.; Blasco, A.; Ibáñez-Escriche, N. Selection for environmental variance shifted the gut microbiome composition driving animal resilience. Microbiome 2023, 11, 147. [Google Scholar] [CrossRef] [PubMed]
- Zhang, Q.; Meng, N.; Li, R.; He, Q.; Liang, X.; Zhou, F.; Zheng, W.; Ma, J.; Yu, X.; Tan, K. Gut microbe-metabolite profiles are associated with microbial pathways of longevity in women: A cross-sectional study conducted in China. Gerontology 2024, 70, 76–89. [Google Scholar] [CrossRef] [PubMed]
- Ke, X.; Walker, A.; Haange, S.-B.; Lagkouvardos, I.; Liu, Y.; Schmitt-Kopplin, P.; Von Bergen, M.; Jehmlich, N.; He, X.; Clavel, T. Synbiotic-driven improvement of metabolic disturbances is associated with changes in the gut microbiome in diet-induced obese mice. Mol. Metab. 2019, 22, 96–109. [Google Scholar] [CrossRef]
- Yoo, J.Y.; Kim, S.S. Probiotics and prebiotics: Present status and future perspectives on metabolic disorders. Nutrients 2016, 8, 173. [Google Scholar] [CrossRef]
- Wu, X.; Xu, J. IDDF2024-ABS-0043 Alistipes Putredinis Alleviates Murine Experimental Colitis Through 2-Methylbutyric Acid-Mediated Immune Tolerance. 2024. Available online: https://gut.bmj.com/content/73/Suppl_2/A94.2.abstract (accessed on 14 March 2025).
- Sato, Y.; Atarashi, K.; Plichta, D.R.; Arai, Y.; Sasajima, S.; Kearney, S.M.; Suda, W.; Takeshita, K.; Sasaki, T.; Okamoto, S. Novel bile acid biosynthetic pathways are enriched in the microbiome of centenarians. Nature 2021, 599, 458–464. [Google Scholar] [CrossRef]
- Kharofa, J.; Apewokin, S.; Alenghat, T.; Ollberding, N.J. Metagenomic analysis of the fecal microbiome in colorectal cancer patients compared to healthy controls as a function of age. Cancer Med. 2023, 12, 2945–2957. [Google Scholar] [CrossRef]
- Rojas-Tapias, D.F.; Brown, E.M.; Temple, E.R.; Onyekaba, M.A.; Mohamed, A.M.; Duncan, K.; Schirmer, M.; Walker, R.L.; Mayassi, T.; Pierce, K.A. Inflammation-associated nitrate facilitates ectopic colonization of oral bacterium Veillonella parvula in the intestine. Nat. Microbiol. 2022, 7, 1673–1685. [Google Scholar] [CrossRef]
- Sveen, K. The capacity of lipopolysaccharides from Bacteroides, Fusobacterium and Veillonella to produce skin inflammation and the local and generalized Shwartzman reaction in rabbits. J. Periodontal Res. 1977, 12, 340–350. [Google Scholar] [CrossRef]
- Dinan, T.G.; Cryan, J.F. Brain-gut-microbiota axis and mental health. Psychosom. Med. 2017, 79, 920–926. [Google Scholar] [CrossRef]
- Smirnova, E.; Puri, P.; Muthiah, M.D.; Daitya, K.; Brown, R.; Chalasani, N.; Liangpunsakul, S.; Shah, V.H.; Gelow, K.; Siddiqui, M.S. Fecal microbiome distinguishes alcohol consumption from alcoholic hepatitis but does not discriminate disease severity. Hepatology 2020, 72, 271–286. [Google Scholar] [CrossRef] [PubMed]
- Wang, G.; Liu, Q.; Guo, L.; Zeng, H.; Ding, C.; Zhang, W.; Xu, D.; Wang, X.; Qiu, J.; Dong, Q. Gut microbiota and relevant metabolites analysis in alcohol dependent mice. Front. Microbiol. 2018, 9, 1874. [Google Scholar] [CrossRef] [PubMed]
- Capurso, G.; Lahner, E. The interaction between smoking, alcohol and the gut microbiome. Best Pract. Res. Clin. Gastroenterol. 2017, 31, 579–588. [Google Scholar] [CrossRef] [PubMed]
- Leclercq, S.; Forsythe, P.; Bienenstock, J. Posttraumatic stress disorder: Does the gut microbiome hold the key? Can. J. Psychiatry 2016, 61, 204–213. [Google Scholar] [CrossRef]
- Donnadieu-Rigole, H.; Pansu, N.; Mura, T.; Pelletier, S.; Alarcon, R.; Gamon, L.; Perney, P.; Apparailly, F.; Lavigne, J.P.; Dunyach-Remy, C. Beneficial effect of alcohol withdrawal on gut permeability and microbial translocation in patients with alcohol use disorder. Alcohol. Clin. Exp. Res. 2018, 42, 32–40. [Google Scholar] [CrossRef]
- Chen, X.; Schreiber, K.; Appel, J.; Makowka, A.; Fähnrich, B.; Roettger, M.; Hajirezaei, M.R.; Sönnichsen, F.D.; Schönheit, P.; Martin, W.F. The Entner–Doudoroff pathway is an overlooked glycolytic route in cyanobacteria and plants. Proc. Natl. Acad. Sci. USA 2016, 113, 5441–5446. [Google Scholar] [CrossRef]
- Evans, S.E.; Franks, A.E.; Bergman, M.E.; Sethna, N.S.; Currie, M.A.; Phillips, M.A. Plastid ancestors lacked a complete Entner-Doudoroff pathway, limiting plants to glycolysis and the pentose phosphate pathway. Nat. Commun. 2024, 15, 1102. [Google Scholar] [CrossRef]
- Wallace, R.J. Ruminal microbial metabolism of peptides and amino acids. J. Nutr. 1996, 126, 1326S–1334S. [Google Scholar] [CrossRef]
- Choudhury, S.R.; Babes, L.; Rahn, J.J.; Ahn, B.-Y.; Goring, K.-A.R.; King, J.C.; Lau, A.; Petri, B.; Hao, X.; Chojnacki, A.K. Dipeptidase-1 is an adhesion receptor for neutrophil recruitment in lungs and liver. Cell 2019, 178, 1205–1221.e1217. [Google Scholar] [CrossRef]
- Marraffini, L.A.; DeDent, A.C.; Schneewind, O. Sortases and the art of anchoring proteins to the envelopes of gram-positive bacteria. Microbiol. Mol. Biol. Rev. 2006, 70, 192–221. [Google Scholar] [CrossRef]
- Maresso, A.W.; Schneewind, O. Sortase as a target of anti-infective therapy. Pharmacol. Rev. 2008, 60, 128–141. [Google Scholar] [CrossRef] [PubMed]
- Susmitha, A.; Bajaj, H.; Nampoothiri, K.M. The divergent roles of sortase in the biology of Gram-positive bacteria. Cell Surf. 2021, 7, 100055. [Google Scholar] [CrossRef] [PubMed]
- Stewart, A.S.; Pratt-Phillips, S.; Gonzalez, L.M. Alterations in intestinal permeability: The role of the “leaky gut” in health and disease. J. Equine Vet. Sci. 2017, 52, 10–22. [Google Scholar] [CrossRef]
- Wang, L.; Lutkenhaus, J. FtsK is an essential cell division protein that is localized to the septum and induced as part of the SOS response. Mol. Microbiol. 1998, 29, 731–740. [Google Scholar] [CrossRef]
- Alotaibi, B.S. Targeting Filamenting temperature-sensitive mutant Z (FtsZ) with bioactive phytoconstituents: An emerging strategy for antibacterial therapy. PLoS ONE 2023, 18, e0290852. [Google Scholar] [CrossRef]
- Pijning, T.; Dijkhuizen, L. Unprecedented Diversity of the Glycoside Hydrolase Family 70: A Comprehensive Analysis of Sequence, Structure, and Function. J. Agric. Food Chem. 2024, 72, 16911–16929. [Google Scholar] [CrossRef]
- Amin, K.; Tranchimand, S.; Benvegnu, T.; Abdel-Razzak, Z.; Chamieh, H. Glycoside hydrolases and glycosyltransferases from hyperthermophilic archaea: Insights on their characteristics and applications in biotechnology. Biomolecules 2021, 11, 1557. [Google Scholar] [CrossRef]
- Żurawska-Płaksej, E.; Ługowska, A.; Hetmańczyk, K.; Knapik-Kordecka, M.; Adamiec, R.; Piwowar, A. Proteins from the 18 glycosyl hydrolase family are associated with kidney dysfunction in patients with diabetes type 2. Biomarkers 2015, 20, 52–57. [Google Scholar] [CrossRef]
- Chen, T.; Chen, X.; Zhang, S.; Zhu, J.; Tang, B.; Wang, A.; Dong, L.; Zhang, Z.; Yu, C.; Sun, Y. The genome sequence archive family: Toward explosive data growth and diverse data types. Genom. Proteom. Bioinform. 2021, 19, 578–583. [Google Scholar] [CrossRef]
- CNCB-NGDC Members and Partners. Database resources of the national genomics data center, China national center for bioinformation in 2022. Nucleic Acids Res. 2022, 50, D27–D38. [Google Scholar] [CrossRef]








| Characteristics | Firefighter | Non-Firefighter | ||
|---|---|---|---|---|
| Korean | American | Korean | American | |
| Age (Years) | Number (%) | |||
| 21–30 | 13 (26%) | 11 (21.2%) | 10 (19.6%) | 16 (32%) |
| 31–40 | 27 (54%) | 24 (46.2%) | 23 (45.1%) | 18 (36%) |
| 41–50 | 10 (20%) | 17 (32.7%) | 18 (35.3%) | 16 (32%) |
| Total | 50 (100%) | 52 (100%) | 51 (100%) | 50 (100%) |
| Marital Status | ||||
| Married | 37 (74%) | 40 (76.9%) | 26 (51%) | 25 (50%) |
| Divorced or separated | 0 (0%) | 3 (5.8%) | 0 (0%) | 1 (2%) |
| Widowed | 0 (0%) | 1 (1.9%) | 0 (0%) | 0 (0%) |
| Never Married | 13 (26%) | 8 (15.4%) | 25 (49%) | 24 (48%) |
| Total | 50 (100%) | 52 (100%) | 51 (100%) | 50 (100%) |
| Education | ||||
| High School Diploma | 6 (12%) | 23 (44.2%) | 1 (2%) | 6 (12%) |
| College degree (associates, bachelors) | 39 (78%) | 27 (51.9%) | 39 (76.5%) | 22 (44%) |
| Professional degree (masters, PhD) | 5 (10%) | 2 (3.8%) | 11 (21.6%) | 22 (44%) |
| Total | 50 (100%) | 52 (100%) | 51 (100%) | 50 (100%) |
| Race | ||||
| White | 0 (0%) | 48 (92.3%) | 0 (0%) | 33 (66%) |
| Asian | 50 (100%) | 0 (0%) | 51 (100%) | 11 (22%) |
| Black/African American | 0 (0%) | 2 (3.85%) | 0 (0%) | 3 (6%) |
| Other | 0 (0%) | 2 (3.85%) | 0 (0%) | 3 (6%) |
| Total | 50 (100%) | 52 (100%) | 51 (100%) | 50 (100%) |
| Occupational Positions | ||||
| Firefighter operators | 27 (54%) | 22 (42.3%) | -- | -- |
| Firefighter administrators | 4 (8%) | 0 (0%) | -- | -- |
| Captain or Chief Officer of firefighters | 13 (26%) | 12 (23.1%) | -- | -- |
| Driver engineer | 6 (12%) | 11 (21.1%) | -- | -- |
| Lieutenant | 0 (0%) | 7 (13.5%) | -- | -- |
| Non-firefighter | 0 (0%) | 0 (0%) | 51 (100%) | 50 (100%) |
| Total | 50 (100%) | 52 (100%) | 51 (100%) | 50 (100%) |
| Job Type | ||||
| Firefighter | 50 (100%) | 52 (100%) | 0 (0%) | 0 (0.0%) |
| Healthcare (physiotherapists and caregiver) | -- | -- | 7 (13.7%) | 2 (4%) |
| Researcher | -- | -- | 1 (2%) | 12 (24%) |
| Education | -- | -- | 13 (25.5%) | 8 (16%) |
| Student | -- | -- | 1 (2%) | 7 (14%) |
| Financial Management and Organizer (Operations Director, Community organizer) | -- | -- | 6 (11.8%) | 6 (12%) |
| Sports Performance and Training (athletics and fitness trainers) | -- | -- | 1 (2%) | 2 (4%) |
| Engineering | -- | -- | 0 (0%) | 5 (10%) |
| Food industry | -- | -- | 1 (2%) | 1 (2%) |
| Construction | -- | -- | 1 (2%) | 2 (4%) |
| Running own business | -- | -- | 7 (13.7%) | 0 (0%) |
| Sales | -- | -- | 3 (5.8%) | 0 (0%) |
| Unemployment | -- | -- | 3 (5.8%) | 0 (0%) |
| Unknown | -- | -- | 7 (13.7%) | 5 (10%) |
| Total | 50 (100%) | 52 (100%) | 51 (100%) | 50 (100%) |
| Years of Service in the Fire Department | ||||
| 5–10 years | 32 (64%) | 21 (40.4%) | -- | -- |
| More than 10 years | 17 (34%) | 19 (36.5%) | -- | -- |
| More than 20 years | 1 (2%) | 12 (23.1%) | -- | -- |
| Total | 50 (100%) | 52 (100%) | ||
| Consuming Alcohol Beverages | ||||
| No | 21 (42%) | 8 (15.4%) | 30 (58.8%) | 9 (18%) |
| Yes | 29 (58%) | 44 (84.6%) | 21 (41.2%) | 41 (82%) |
| Total | 50 (100%) | 52 (100%) | 51 (100%) | 50 (100%) |
| NSAID or other Painkillers Usage | ||||
| Yes | 2 (4%) | 26 (50%) | 0 (%) | 15 (30%) |
| No | 48 (96%) | 26 (50%) | 51 (100%) | 35 (70%) |
| Total | 50 (100%) | 52 (100%) | 51 (100%) | 50 (100%) |
| B | S.E. | Wald | df | Sig. | Exp(B) | 95% C.I. for Exp(B) | ||
|---|---|---|---|---|---|---|---|---|
| Lower | Upper | |||||||
| Region_ref: America | 0.194 | 0.287 | 0.455 | 1 | 0.5 | 1.214 | 0.691 | 2.132 |
| Occupation_ref: Control | 0.713 | 0.288 | 6.144 | 1 | 0.013 | 2.04 | 1.161 | 3.586 |
| Constant | −0.69 | 0.256 | 7.271 | 1 | 0.007 | 0.502 | ||
Disclaimer/Publisher’s Note: The statements, opinions and data contained in all publications are solely those of the individual author(s) and contributor(s) and not of MDPI and/or the editor(s). MDPI and/or the editor(s) disclaim responsibility for any injury to people or property resulting from any ideas, methods, instructions or products referred to in the content. |
© 2025 by the authors. Licensee MDPI, Basel, Switzerland. This article is an open access article distributed under the terms and conditions of the Creative Commons Attribution (CC BY) license (https://creativecommons.org/licenses/by/4.0/).
Share and Cite
Yoo, J.Y.; Sarkar, A.; Song, H.-S.; Bang, S.; Shim, G.; Springer, C.; O’Brien, M.E.; Shin, Y.; Ju, S.; Han, S.; et al. Gut Microbiome Alterations, Mental Health, and Alcohol Consumption: Investigating the Gut–Brain Axis in Firefighters. Microorganisms 2025, 13, 680. https://doi.org/10.3390/microorganisms13030680
Yoo JY, Sarkar A, Song H-S, Bang S, Shim G, Springer C, O’Brien ME, Shin Y, Ju S, Han S, et al. Gut Microbiome Alterations, Mental Health, and Alcohol Consumption: Investigating the Gut–Brain Axis in Firefighters. Microorganisms. 2025; 13(3):680. https://doi.org/10.3390/microorganisms13030680
Chicago/Turabian StyleYoo, Ji Youn, Anujit Sarkar, Hyo-Sook Song, Sunghwan Bang, Gyusik Shim, Cary Springer, Morgan E. O’Brien, Yoonhwa Shin, Songhyun Ju, Sunhee Han, and et al. 2025. "Gut Microbiome Alterations, Mental Health, and Alcohol Consumption: Investigating the Gut–Brain Axis in Firefighters" Microorganisms 13, no. 3: 680. https://doi.org/10.3390/microorganisms13030680
APA StyleYoo, J. Y., Sarkar, A., Song, H.-S., Bang, S., Shim, G., Springer, C., O’Brien, M. E., Shin, Y., Ju, S., Han, S., Kim, S. S., Menon, U., Choi, T. G., & Groer, M. E. (2025). Gut Microbiome Alterations, Mental Health, and Alcohol Consumption: Investigating the Gut–Brain Axis in Firefighters. Microorganisms, 13(3), 680. https://doi.org/10.3390/microorganisms13030680

