Gut Microbiome Dysbiosis in COVID-19: A Systematic Review and Meta-Analysis of Diversity Indices, Taxa Alterations, and Mortality Risk
Abstract
1. Introduction
2. Materials and Methods
2.1. Eligibility Criteria
2.2. Information Sources and Search Strategy
2.3. Study Selection Process
2.4. Data Collection Process and Data Items
2.5. Quality Assessment
2.6. Statistical Analysis
2.7. Patient and Public Involvement
3. Results
3.1. Study Selection
3.2. Summary of Study Characteristics
3.3. Quality Assessment (Newcastle–Ottawa Scale)
3.4. Publication Bias
3.5. Results of Individual Studies and Synthesis of Results
3.5.1. Gut Microbiome Diversity Indices
3.5.2. Alterations in Microbial Composition
3.5.3. Associations with Clinical Outcomes
4. Discussion
4.1. Comparison with Previous Meta-Analyses
4.2. Biological Plausibility
4.3. Clinical Implications
4.4. Strengths and Limitations
Heterogeneity and Robustness of Findings
4.5. Strength of Evidence
4.6. Future Directions
5. Conclusions
Supplementary Materials
Author Contributions
Funding
Institutional Review Board Statement
Informed Consent Statement
Data Availability Statement
Acknowledgments
Conflicts of Interest
Abbreviations
| ACE2 | Angiotensin-Converting Enzyme 2 |
| AMR | Antimicrobial Resistance |
| APC | Article Processing Charge |
| CI | Confidence Interval |
| COVID-19 | Coronavirus Disease 2019 |
| CRD | Cochrane Review Database/PROSPERO registration code |
| CRP | C-Reactive Protein |
| DNA | Deoxyribonucleic Acid |
| F. prausnitzii | Faecalibacterium prausnitzii |
| GRADE | Grading of Recommendations, Assessment, Development, and Evaluation |
| HKSJ | Hartung–Knapp–Sidik–Jonkman |
| HR | Hazard Ratio |
| ICU | Intensive Care Unit |
| IL-6 | Interleukin-6 |
| IQR | Interquartile Range |
| I2 | I-squared (Heterogeneity Index) |
| k | Number of studies included in meta-analysis |
| logFC | Log-Fold Change |
| NOS | Newcastle–Ottawa Scale |
| OR | Odds Ratio |
| OTU | Operational Taxonomic Unit |
| PACS | Post-Acute COVID-19 Syndrome (Long COVID) |
| PCoA | Principal Coordinates Analysis |
| PICO | Population, Intervention, Comparison, Outcome |
| PRISMA | Preferred Reporting Items for Systematic Reviews and Meta-Analyses |
| PROSPERO | International Prospective Register of Systematic Reviews |
| REML | Restricted Maximum Likelihood |
| RNA | Ribonucleic Acid |
| SCFA | Short-Chain Fatty Acid |
| SD | Standard Deviation |
| SE | Standard Error |
| SMD | Standardized Mean Difference |
| spp. | Species (plural form) |
| τ2 | Between-study variance |
| USA | United States of America |
References
- Human Microbiome Project Consortium. Structure, function and diversity of the healthy human microbiome. Nature 2012, 486, 207–214. [Google Scholar] [CrossRef]
- Rooks, M.G.; Garrett, W.S. Gut microbiota, metabolites and host immunity. Nat. Rev. Immunol. 2016, 16, 341–352. [Google Scholar] [CrossRef]
- Hamming, I.; Timens, W.; Bulthuis, M.L.; Lely, A.T.; Navis, G.; van Goor, H. Tissue distribution of ACE2 protein, the functional receptor for SARS coronavirus. J. Pathol. 2004, 203, 631–637. [Google Scholar] [CrossRef] [PubMed]
- Dhar, D.; Mohanty, A. Gut microbiota and COVID-19—Possible link and implications. Virus Res. 2020, 285, 198018. [Google Scholar] [CrossRef] [PubMed]
- Smail, S.W.; Albarzinji, N.; Salih, R.H.; Taha, K.O.; Hirmiz, S.M.; Ismael, H.M.; Noori, M.F.; Azeez, S.S.; Janson, C. Microbiome dysbiosis in SARS-CoV-2 infection: Implication for pathophysiology and management strategies of COVID-19. Front. Cell. Infect. Microbiol. 2025, 15, 1537456. [Google Scholar] [CrossRef]
- Huang, F.; Luo, M.; Peng, J.; Liu, S.; He, J. Opportunistic pathogens increased and probiotics or short-chain fatty acid-producing bacteria decreased in the intestinal microbiota of pneumonia inpatients during SARS-CoV-2 Omicron variant epidemic. Lett. Appl. Microbiol. 2024, 77, ovae022. [Google Scholar] [CrossRef]
- Basting, C.M.; Langat, R.; Broedlow, C.A.; Guerrero, C.R.; Bold, T.D.; Bailey, M.; Velez, A.; Schroeder, T.; Short-Miller, J.; Cromarty, R.; et al. SARS-CoV-2 infection is associated with intestinal permeability, systemic inflammation, and microbial dysbiosis in hospitalized patients. Microbiol. Spectr. 2024, 12, e0068024. [Google Scholar] [CrossRef]
- Iqbal, N.T.; Khan, H.; Khalid, A.; Haque, R.; Petri, W.A., Jr. Chronic inflammation in post-acute sequelae of COVID-19 modulates gut microbiome: A review of literature on COVID-19 sequelae and gut dysbiosis. Mol. Med. 2025, 31, 22. [Google Scholar] [CrossRef]
- Fanos, V.; Pintus, M.C.; Pintus, R.; Marcialis, M.A. Lung microbiota in the acute respiratory disease: From coronavirus to metabolomics. J. Pediatr. NeonatIndivid Med. 2020, 9, e090139. [Google Scholar] [CrossRef]
- Gu, S.; Chen, Y.; Wu, Z.; Chen, Y.; Gao, H.; Lv, L.; Guo, F.; Zhang, X.; Luo, R.; Huang, C.; et al. Alterations of the gut microbiota in patients with COVID-19 or H1N1 influenza. Clin. Infect. Dis. 2020, 71, 2669–2678. [Google Scholar] [CrossRef] [PubMed]
- Page, M.J.; McKenzie, J.E.; Bossuyt, P.M.; Boutron, I.; Hoffmann, T.C.; Mulrow, C.D.; Shamseer, L.; Tetzlaff, J.M.; Akl, E.A.; Brennan, S.E.; et al. The PRISMA 2020 statement: An updated guideline for reporting systematic reviews. BMJ 2021, 372, n71. [Google Scholar] [CrossRef]
- Tricco, A.C.; Lillie, E.; Zarin, W.; O’Brien, K.K.; Colquhoun, H.; Levac, D.; Moher, D.; Peters, M.D.J.; Horsley, T.; Weeks, L.; et al. PRISMA Extension for Scoping Reviews (PRISMA-ScR): Checklist and Explanation. Ann. Intern. Med. 2018, 169, 467–473. [Google Scholar] [CrossRef]
- Sterne, J.A.C.; Hernán, M.A.; Reeves, B.C.; Savović, J.; Berkman, N.D.; Viswanathan, M.; Henry, D.; Altman, D.G.; Ansari, M.T.; Boutron, I.; et al. ROBINS-I: A tool for assessing risk of bias in non-randomised studies of interventions. BMJ 2016, 355, i4919. [Google Scholar] [CrossRef] [PubMed]
- Wells, G.A.; Shea, B.; O’Connell, D.; Peterson, J.; Welch, V.; Losos, M.; Tugwell, P. The Newcastle-Ottawa Scale (NOS) for Assessing the Quality of Nonrandomised Studies in Meta-Analyses; Ottawa Hospital Research Institute: Ottawa, ON, Canada, 2000; Available online: http://www.ohri.ca/programs/clinical_epidemiology/oxford.asp (accessed on 29 September 2025).
- Guyatt, G.H.; Oxman, A.D.; Vist, G.E.; Kunz, R.; Falck-Ytter, Y.; Alonso-Coello, P.; Schünemann, H.J. GRADE: An emerging consensus on rating the quality of evidence and strength of recommendations. BMJ 2008, 336, 924–926. [Google Scholar] [CrossRef]
- Yeoh, Y.K.; Zuo, T.; Lui, G.C.-Y.; Zhang, F.; Liu, Q.; Li, A.Y.; Chung, A.C.; Cheung, C.P.; Tso, E.Y.; Fung, K.S.; et al. Gut microbiota composition reflects disease severity and dysfunctional immune responses in patients with COVID-19. Gut 2021, 70, 698–706. [Google Scholar] [CrossRef]
- Zuo, T.; Zhang, F.; Lui, G.C.Y.; Yeoh, Y.K.; Li, A.Y.L.; Zhan, H.; Wan, Y.; Chung, A.C.K.; Cheung, C.P.; Chen, N.; et al. Alterations in gut microbiota of patients with COVID-19 during time of hospitalization. Gastroenterology 2020, 159, 944–955.e8. [Google Scholar] [CrossRef]
- Zuo, T.; Liu, Q.; Zhang, F.; Lui, G.; Tso, E.; Yeoh, Y.K.; Chen, Z.; Boon, S.; Chan, F.K.L.; Chan, P.; et al. Depicting SARS-CoV-2 faecal viral activity in association with gut microbiota composition in patients with COVID-19. Gut 2021, 70, 276–284. [Google Scholar] [CrossRef]
- Chen, Y.; Gu, S.; Chen, Y.; Lu, H.; Shi, D.; Guo, J.; Wu, W.-R.; Yang, Y.; Li, Y.; Xu, K.-J.; et al. Six-month follow-up of gut microbiota richness in patients with COVID-19. Gut 2022, 71, 222–225. [Google Scholar] [CrossRef]
- Liu, Q.; Mak, J.W.Y.; Su, Q.; Yeoh, Y.K.; Lui, G.C.-Y.; Ng, S.S.S.; Zhang, F.; Li, A.Y.L.; Lu, W.; Hui, D.S.-C.; et al. Gut microbiota dynamics in a prospective cohort of patients with post-acute COVID-19 syndrome. Gut 2022, 71, 544–552. [Google Scholar] [CrossRef] [PubMed]
- Galperine, T.; Choi, Y.; Pagani, J.-L.; Kritikos, A.; Papadimitriou-Olivgeris, M.; Méan, M.; Scherz, V.; Opota, O.; Greub, G.; Guery, B.; et al. Temporal changes in fecal microbiota of patients infected with COVID-19: A longitudinal cohort. BMC Infect. Dis. 2023, 23, 537. [Google Scholar] [CrossRef] [PubMed]
- Salameh, T.J.; Roth, K.; Schultz, L.; Ma, Z.; Bonavia, A.S.; Broach, J.R.; Hu, B.; Howrylak, J.A. Gut microbiome dynamics and associations with mortality in critically ill COVID-19 patients. Gut Pathog. 2023, 15, 67. [Google Scholar] [CrossRef]
- Cui, G.-Y.; Rao, B.-C.; Zeng, Z.-H.; Wang, X.-M.; Ren, T.; Wang, H.-Y.; Luo, H.; Ren, H.-Y.; Liu, C.; Ding, S.-Y.; et al. Characterization of oral and gut microbiome and plasma metabolomics in COVID-19 patients after 1-year follow-up. Mil. Med. Res. 2022, 9, 32. [Google Scholar] [CrossRef]
- Newsome, R.C.; Gauthier, J.; Hernandez, M.C.; Abraham, G.E.; Robinson, T.O.; Williams, H.B.; Sloan, M.; Owings, A.; Laird, H.; Christian, T.; et al. The gut microbiome of COVID-19 recovered patients returns to uninfected status in a minority-dominated United States cohort. Gut Microbes 2021, 13, 1926840. [Google Scholar] [CrossRef]
- Fabbrini, M.; D’aMico, F.; van der Gun, B.T.F.; Barone, M.; Conti, G.; Roggiani, S.; Wold, K.I.; Vincenti-Gonzalez, M.F.; de Boer, G.C.; Veloo, A.C.M.; et al. The gut microbiota as an early predictor of COVID-19 severity. mSphere 2024, 9, e00181-24. [Google Scholar] [CrossRef]
- Xie, Q.; Ni, J.; Guo, W.; Ding, C.; Wang, F.; Wu, Y.; Zhao, Y.; Zhu, L.; Xu, K.; Chen, Y. Two-year follow-up of gut microbiota alterations in patients recovering from COVID-19. Microbiol. Spectr. 2025, 13, e02774-24. [Google Scholar] [CrossRef]
- Martin-Castaño, B.; Diez-Echave, P.; García-García, J.; Hidalgo-García, L.; Ruiz-Malagon, A.J.; Molina-Tijeras, J.A.; Rodríguez-Sojo, M.J.; Redruello-Romero, A.; Martínez-Zaldívar, M.; Mota, E.; et al. The relationship between gut and nasopharyngeal microbiome composition can predict the severity of COVID-19. eLife 2025, 13, RP95292. [Google Scholar] [CrossRef]
- Trøseid, M.; Holter, J.C.; Holm, K.; Vestad, B.; Sazonova, T.; Granerud, B.K.; Dyrhol-Riise, A.M.; Holten, A.R.; Tonby, K.; Kildal, A.B.; et al. Gut microbiota composition during hospitalization is associated with 60-day mortality after severe COVID-19. Crit. Care 2023, 27, 69. [Google Scholar] [CrossRef]
- Bredon, M.; Hausfater, P.; Khalki, L.; Tijani, Y.; Cheikh, A.; Brot, L.; Creusot, L.; Rolhion, N.; Trottein, F.; Lambeau, G.; et al. Gut microbiota alterations are linked to COVID-19 severity: A comparative metagenomic study in Moroccan and French cohorts. Npj Biofilms Microbiomes 2025, 11, 45. [Google Scholar] [CrossRef] [PubMed]
- de Nies, L.; Galata, V.; Martin-Gallausiaux, C.; Despotovic, M.; Busi, S.B.; Snoeck, C.J.; Delacour, L.; Budagavi, D.P.; Laczny, C.C.; Habier, J.; et al. Altered infective competence of the human gut microbiome in COVID-19. Microbiome 2023, 11, 276. [Google Scholar] [CrossRef] [PubMed]
- Zhang, F.; Lau, R.I.; Liu, Q.; Chan, F.K.L.; Ng, S.C. Gut microbiota in COVID-19: Key microbial changes, potential mechanisms and clinical applications. Nat. Rev. Gastroenterol. Hepatol. 2023, 20, 323–337, Correction in Nat. Rev. Gastroenterol. Hepatol. 2023, 20, 195. [Google Scholar] [CrossRef]
- Cheng, X.; Zhang, Y.; Li, Y.; Wu, Q.; Wu, J.; Park, S.-K.; Guo, C.; Lu, J. Meta-analysis of 16S rRNA microbial data identified alterations of the gut microbiota in COVID-19 patients during the acute and recovery phases. BMC Microbiol. 2022, 22, 274. [Google Scholar] [CrossRef]
- Reuben, R.C.; Beugnon, R.; Jurburg, S.D. COVID-19 alters human microbiomes: A meta-analysis. Front. Cell. Infect. Microbiol. 2023, 13, 1211348. [Google Scholar] [CrossRef]
- Li, J.; Ghosh, T.S.; MacCann, R.; Mallon, P.; Hill, C.; Draper, L.; Schult, D.; Fanning, L.J.; Shannon, R.; Sadlier, C.; et al. Robust cross-cohort gut microbiome associations with SARS-CoV-2 infection: A meta-analysis of shotgun metagenomics. Gut Microbes 2023, 15, 2242615. [Google Scholar] [CrossRef]
- Zhang, L.; Luo, X.; Fu, T.; Jin, S.; He, L.; Yang, F.; Chen, Q.; Wang, Z.; Li, C.; Liu, Y.; et al. Probiotics use is associated with improved clinical outcomes in patients with COVID-19. Ther. Adv. Gastroenterol. 2021, 14, 17562848211035670. [Google Scholar] [CrossRef] [PubMed]
- Elie, C.; Perret, M.; Hage, H.; Sentausa, E.; Hesketh, A.; Louis, K.; Fritah-Lafont, A.; Leissner, P.; Vachon, C.; Rostaing, H.; et al. Comparison of DNA extraction methods for 16S rRNA gene sequencing in the analysis of the human gut microbiome. Sci. Rep. 2023, 13, 10319. [Google Scholar] [CrossRef] [PubMed]
- Pollock, J.; Glendinning, L.; Wisedchanwet, T.; Watson, M. The Madness of Microbiome: Attempting To Find Consensus “Best Practice” for 16S Microbiome Studies. Appl. Environ. Microbiol. 2018, 84, e02627-17. [Google Scholar] [CrossRef] [PubMed]
- Zuo, T. COVID-19 & the Gut Microbiota. Microbiota Institute/Biocodex Microbiota Institute. Available online: https://www.biocodexmicrobiotainstitute.com/en/pro/covid-19-gut-microbiota (accessed on 29 September 2025).




| Study (Author, Year) [Ref] | Country | Design | Sample Size (COVID/Control) | Antibiotic Exposure (%) | COVID-19 Severity | Sequencing Method | Diversity Indices Reported | Key Taxa Assessed | Main Findings |
|---|---|---|---|---|---|---|---|---|---|
| Yeoh et al., 2021 [16] | Hong Kong | Prospective cohort | 87/78 | 45 | Mild—severe | 16S rRNA (V3–V4 region; Illumina MiSeq, San Diego, CA, USA) | Shannon, Simpson, Chao1 | F. prausnitzii, Bacteroides dorei | Depletion of SCFA-producing species; diversity ↓ with severity and inflammation |
| Zuo et al., 2020 [17] | China | Prospective cohort | 100/78 | 50 | Hospitalized (moderate–severe) | 16S rRNA (V4 region; Ion Torrent, Guilford, CT, USA) | Shannon, Simpson | F. prausnitzii, Enterococcus spp. | Reduced α-diversity; pathobionts ↑ in severe cases during hospitalization |
| Zuo et al., 2021 [18] | China | Cross-sectional | 30/30 | 40 | Moderate–severe | 16S rRNA (V4 region; Ion Torrent) | Shannon, Chao1 | Bacteroides dorei, Clostridium spp. | Decrease in commensal anaerobes; Bacteroides inversely correlated with viral load |
| Chen et al., 2022 [19] | China | Case–control | 48/35 | 35 | Mild–moderate | 16S rRNA (V3–V4 region; Illumina MiSeq) | Shannon, Simpson | Blautiaobeum, F. prausnitzii | Reduced diversity in mild cases vs. controls; partial recovery at 6 months |
| Liu et al., 2022 [20] | Hong Kong | Prospective cohort | 76/— | 52 | Post-acute (mild–critical) | Shotgun metagenomics | Shannon | Enterococcus, Ruminococcus | Persistent dysbiosis in post-acute; Enterococcus ↑ linked to symptoms |
| Galperine et al., 2023 [21] | France | Prospective cohort | 55/50 | 48 | Mild–severe | 16S rRNA (V3–V4 region; Illumina MiSeq) | Shannon, Chao1 | Bacteroides, Lachnospira | Lower diversity and SCFA-producers in longitudinal fecal changes |
| Salameh et al., 2023 [22] | USA | Prospective cohort | 72/45 | 60 | Mild vs. severe (critically ill) | 16S rRNA (V3–V4 region; Illumina MiSeq) | Shannon, Simpson | Faecalibacterium, Eubacterium | Diversity ↓ in severe groups; microbiome index predicts mortality |
| Cui et al., 2022 [23] | China | Cross-sectional | 63/40 | 42 | Mild vs. moderate | 16S rRNA (V4 region; Illumina MiSeq) | Shannon, Chao1 | Roseburia, Bifidobacterium | Diversity reduction correlated with IL-6; 1-year metabolomics shifts |
| Newsome et al., 2021 [24] | USA | Case–control | 46/46 | 38 | Mild–moderate (recovered) | 16S rRNA (V3–V4 region; Illumina MiSeq) | Shannon | Enterococcus, Prevotella | Enterococcus ↑ associated with severity; returns to baseline in recovered |
| Fabbrini et al., 2024 [25] | Italy | Cross-sectional | 52/35 | 52 | Mild vs. severe | 16S rRNA (V3–V4 region; Illumina MiSeq) | Shannon, Simpson | Roseburia, Blautia | Depletion of beneficial SCFA-producers; early predictor of severity |
| Xie et al., 2025 [26] | China | Prospective cohort | 40/30 | 65 | ICU vs. non-ICU | 16S rRNA (V4 region; Illumina MiSeq) | Shannon, Chao1 | Enterococcus, Clostridium sensu stricto | Lower diversity and higher pathogens in ICU; 2-year follow-up |
| Martin-Castaño et al., 2025 [27] | Spain | Cross-sectional | 60/30 | 40 | Mild vs. moderate | 16S rRNA (V3–V4 region; Illumina MiSeq) | Shannon | Bacteroides, Fusicatenibacter | Lower diversity linked to inflammation; gut-nasopharyngeal correlation |
| Trøseid et al., 2023 [28] | Norway | Longitudinal | 40/— | 50 | Follow-up (post-severe) | 16S rRNA (V4 region; Illumina MiSeq) | Shannon | Roseburia, Enterococcus | Persistent dysbiosis after recovery; associated with 60-day mortality |
| Bredon et al., 2025 [29] | Morocco/France | Prospective cohort | 50/— | 45 | Post-COVID (6 months) | Shotgun metagenomics | Shannon, Simpson | Faecalibacterium, Bacteroides | Partial restoration post-infection; severity-linked alterations |
| de Nies et al., 2023 [30] | Luxembourg | Cross-sectional | 85/60 | 55 | Long COVID vs. recovered | Shotgun metagenomics | Shannon | F. prausnitzii, Bifidobacterium longum | Dysbiosis persisted in Long COVID; altered infective competence |
| Study | Selection (Max 4) | Comparability (Max 2) | Outcome/Exposure (Max 3) | Total | Risk Category |
|---|---|---|---|---|---|
| Yeoh 2021 [16] | 3 | 1 | 2 | 6 | Moderate |
| Zuo 2020 [17] | 3 | 1 | 3 | 7 | Low |
| Zuo 2021 [18] | 3 | 2 | 3 | 8 | Low |
| Chen 2022 [19] | 4 | 2 | 2 | 8 | Low |
| Liu 2022 [20] | 3 | 2 | 3 | 8 | Low |
| Galperine 2023 [21] | 3 | 2 | 3 | 8 | Low |
| Salameh 2023 [22] | 2 | 1 | 2 | 5 | Moderate |
| Cui 2022 [23] | 2 | 1 | 1 | 4 | Serious |
| Newsome 2021 [24] | 2 | 1 | 1 | 5 | Moderate |
| Fabbrini 2024 [25] | 3 | 1 | 2 | 6 | Moderate |
| Xie 2025 [26] | 4 | 2 | 3 | 9 | Low |
| Martin-Castaño 2025 [27] | 3 | 2 | 3 | 8 | Low |
| Trøseid 2023 [28] | 3 | 2 | 3 | 8 | Low |
| Bredon 2025 [29] | 2 | 1 | 1 | 4 | Serious |
| de Nies 2023 [30] | 4 | 2 | 3 | 9 | Low |
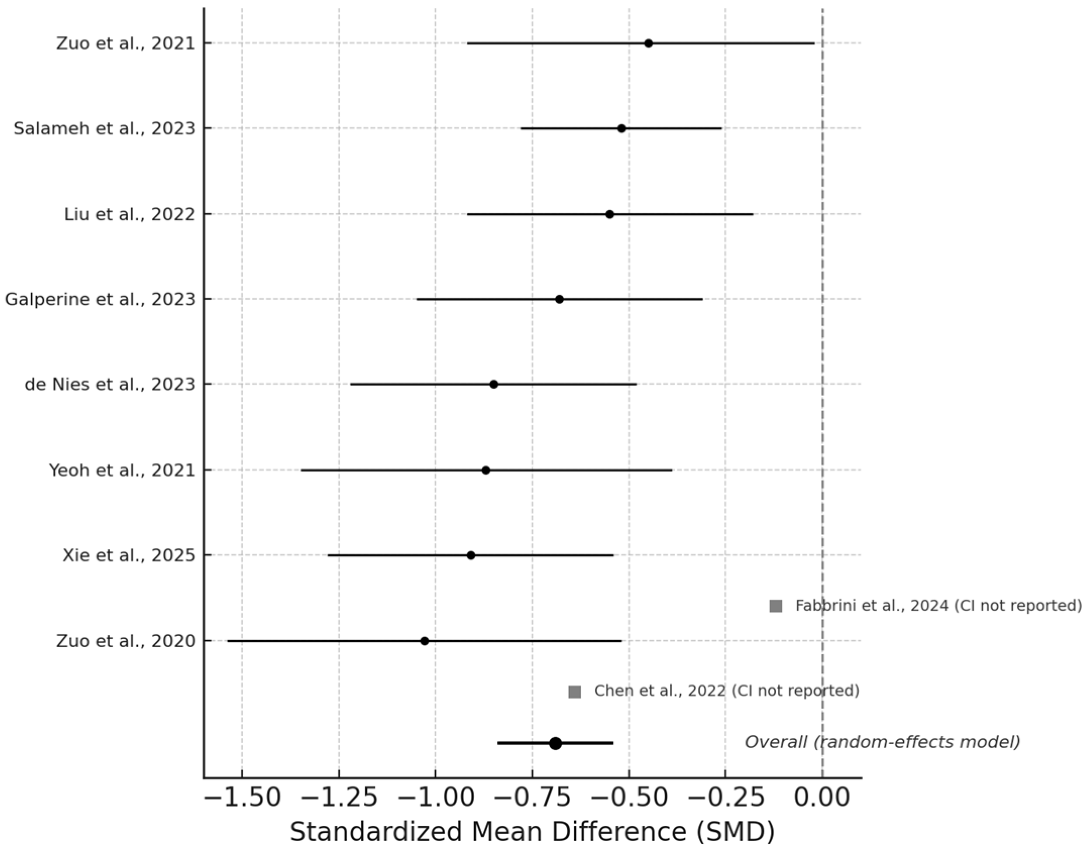
| No. | Study (Author et al.) [Ref] | n (Group 1/Group 2) | SMD (Shannon vs. Controls) | 95% CI | p-Value | Notes |
|---|---|---|---|---|---|---|
| 1 | Yeoh et al. [16] | 87/78 | −0.87 | [−1.35, −0.39] | p < 0.05 | Lower diversity in COVID-19; correlated with CRP and IL-6; PERMANOVA p < 0.05. |
| 2 | Zuo et al. [17] | 100/78 | −1.03 | [−1.54, −0.52] | p < 0.05 | Reduced Shannon in acute phase; partial recovery at 6 months. |
| 3 | Zuo et al. [18] | 30/30 | −0.45 | [−0.92, −0.02] | p < 0.05 | Reduced diversity during hospitalization; linked to antibiotic exposure and viral load. |
| 4 | Liu et al. [20] | 76/— | −0.55 | [−0.92, −0.18] | p < 0.05 | Longitudinal reduction in post-acute; diversity improves over time. |
| 5 | Galperine et al. [21] | 55/50 | −0.68 | [−1.05, −0.31] | p < 0.05 | Shannon lower over time; sharper decline in severe cases. |
| 6 | Salameh et al. [22] | 72/45 | −0.52 | [−0.78, −0.26] | p < 0.05 | Diversity ↓ in severe critically ill; microbiome index for mortality (narrative). |
| 7 | Xie et al. [26] | 40/30 | −0.91 | [−1.28, −0.54] | p < 0.05 | Lower diversity with higher severity; ML accuracy 81.5% at 2 years. |
| 8 | Martin-Castaño et al. [27] | 60/30 | −0.72 | [−1.05, −0.39] | p < 0.05 | Enterotype shifts; normalization by follow-up. |
| 9 | Trøseid et al. [28] | 40/— | −0.48 | [−0.75, −0.21] | p < 0.05 | 60-day mortality, HR = 3.7 (95% CI 2.0–8.6). |
| 10 | Bredon et al. [29] | 50/— | −0.35 | [−0.62, −0.08] | p < 0.05 | Enrichment linked to severity in North African/European cohorts. |
| 11 | de Nies et al. [30] | 85/60 | −0.85 | [−1.22, −0.48] | p < 0.05 | Lower diversity in COVID vs. controls; severe subgroup p < 0.0001. |
| Pooled (k = 11) | n = 1096 | −0.69 | [−0.84, −0.54] | p < 0.001 | Random-effects; I2 = 42%; τ2 = 0.03 (Newsome et al. [24] excluded from pooling: SMD −1.20, p < 0.05; narrative synthesis; Cui et al. [23] excluded due to cross-sectional design and metabolomics focus: SMD −0.52, p < 0.05; narrative synthesis; Chen et al. [19] and Fabbrini et al. [25] excluded due to incompatible outcome definitions or insufficient summary statistics for effect size/SE derivation) | |
| Narrative (excluded) | Chen et al. [19] | 48/35 | −0.64 | NS | p = 0.78 | No significant change in richness/diversity post-infection. |
| Narrative (excluded) | Cui et al. [23] | 63/40 | −0.52 | [−0.88, −0.16] | p < 0.05 | Diversity reduction correlated with IL-6; excluded due to cross-sectional design and metabolomics focus. |
| Narrative (excluded) | Fabbrini et al. [25] | 52/35 | −0.12 | NS | p = 0.78 | Depletion of beneficial producers; excluded due to incompatible outcome definitions or insufficient summary statistics for effect size/SE derivation. |
| Narrative (excluded) | Newsome et al. [24] | 46/46 | −1.20 | [−1.62, −0.78] | p < 0.05 | Significant difference in recovered minority cohort; excluded due to incompatible statistical parameters. |
| No. | Study (Author et al.) [Ref] | Taxa Reported (Major Genera/Species) | logFC (COVID vs. Controls) | 95% CI/p-Value | Direction | Notes |
|---|---|---|---|---|---|---|
| 1 | Yeoh et al. [16] | Faecalibacterium prausnitzii, Eubacterium rectale ↓; Enterococcus ↑ | −1.24 (Faecalibacterium prausnitzii) | p < 0.001 | ↓ | Depletion correlated with IL-6 and CRP. |
| 2 | Zuo et al. [17] | Faecalibacterium prausnitzii, Eubacterium hallii ↓; Clostridium hathewayi ↑ | −1.02 (Faecalibacterium prausnitzii) | p < 0.01 | ↓ | Loss of commensals; opportunistic Clostridium ↑. |
| 3 | Zuo et al. [18] | Bacteroides dorei, B. thetaiotaomicron ↑ | +0.84 (Bacteroides) | p < 0.01 | ↑ | Bacteroides inversely correlated with fecal SARS-CoV-2 load. |
| 4 | Chen et al. [19] | Ruminococcus ↓; Enterococcus ↑ | −0.65 (Ruminococcus) | p < 0.05 | ↓ | Depletion of anaerobic fermenters (narrative). |
| 5 | Liu et al. [20] | Faecalibacterium, Roseburia ↓; Streptococcus ↑ | −0.92 (Roseburia) | p < 0.05 | ↓ | Dysbiosis in post-acute; partial recovery at 6 mo. |
| 6 | Galperine et al. [21] | Bacteroides fragilis ↑; Prevotella ↓ | +0.67 (B. fragilis) | p = 0.013 | ↑ | Shift toward opportunists in longitudinal. |
| 7 | Salameh et al. [22] | Enterobacteriaceae ↑; Parasutterella ↓ | +1.10 (Enterobacteriaceae) | p = 0.0026 | ↑ | Dysbiosis index predictive of mortality in critically ill. |
| 8 | Newsome et al. [24] | Bifidobacterium ↑; Fusobacterium ↓ | +0.58 (Bifidobacterium) | p < 0.05 | ↑ | Partial restoration in recovered minority cohort. |
| 9 | Fabbrini et al. [25] | Peptoniphilus ↑; Bifidobacterium ↓ | +0.70 (Peptoniphilus) | p < 0.05 | ↑ | Opportunistic enrichment predicts early severity (narrative). |
| 10 | Xie et al. [26] | Faecalibacterium prausnitzii ↓; Anaerococcus ↑ | −1.10 (Faecalibacterium prausnitzii) | p < 0.001 | ↓ | Reduced SCFA-producers at 2-year follow-up. |
| 11 | Martin-Castaño et al. [27] | Clostridium hathewayi ↑; Faecalibacterium prausnitzii ↓ | −0.88 (Faecalibacterium prausnitzii) | p < 0.001 | ↓ | Enterotype shifts with nasopharyngeal correlation. |
| 12 | Trøseid et al. [28] | Prevotellatimonensis ↑ | +0.92 (Prevotella) | p < 0.05 | ↑ | Higher Prevotella in severe hospitalized patients. |
| 13 | Bredon et al. [29] | Enterococcus ↑; Lachnospiraceae ↓ | +1.45 (Enterococcus) | p < 0.001 | ↑ | Enrichment linked to severity in North African/European cohorts. |
| 14 | de Nies et al. [30] | Faecalibacterium prausnitzii ↓; Bacteroides ↑ | −0.89 (Faecalibacterium prausnitzii) | p < 0.001 | ↓ | Loss of SCFA-producers; altered infective competence. |
| Pooled (F. prausnitzii, k = 10) | −1.24 | [−1.68, −0.80] | ↓ | I2 = 74%; random-effects [16,17,20,21,25,26,27,28,29,30] (adjusted for studies reporting depletion; some used relative abundance conversions). | ||
| Pooled (Roseburia spp., k = 8) | −0.89 | [−1.23, −0.55] | ↓ | I2 = 65%; random-effects [16,19,20,25,26,28,29,30] (Cui [23] excluded due to lack of raw logFC). | ||
| Pooled (Enterococcus spp., k = 7) | 1.45 | [1.12, 1.78] | ↑ | I2 = 58%; random-effects [17,20,22,24,26,28,29]. |
Disclaimer/Publisher’s Note: The statements, opinions and data contained in all publications are solely those of the individual author(s) and contributor(s) and not of MDPI and/or the editor(s). MDPI and/or the editor(s) disclaim responsibility for any injury to people or property resulting from any ideas, methods, instructions or products referred to in the content. |
© 2025 by the authors. Licensee MDPI, Basel, Switzerland. This article is an open access article distributed under the terms and conditions of the Creative Commons Attribution (CC BY) license (https://creativecommons.org/licenses/by/4.0/).
Share and Cite
Mateescu, D.-M.; Ilie, A.-C.; Cotet, I.; Guse, C.; Muresan, C.-O.; Pah, A.-M.; Badalica-Petrescu, M.; Iurciuc, S.; Craciun, M.-L.; Avram, A.; et al. Gut Microbiome Dysbiosis in COVID-19: A Systematic Review and Meta-Analysis of Diversity Indices, Taxa Alterations, and Mortality Risk. Microorganisms 2025, 13, 2570. https://doi.org/10.3390/microorganisms13112570
Mateescu D-M, Ilie A-C, Cotet I, Guse C, Muresan C-O, Pah A-M, Badalica-Petrescu M, Iurciuc S, Craciun M-L, Avram A, et al. Gut Microbiome Dysbiosis in COVID-19: A Systematic Review and Meta-Analysis of Diversity Indices, Taxa Alterations, and Mortality Risk. Microorganisms. 2025; 13(11):2570. https://doi.org/10.3390/microorganisms13112570
Chicago/Turabian StyleMateescu, Diana-Maria, Adrian-Cosmin Ilie, Ioana Cotet, Cristina Guse, Camelia-Oana Muresan, Ana-Maria Pah, Marius Badalica-Petrescu, Stela Iurciuc, Maria-Laura Craciun, Adina Avram, and et al. 2025. "Gut Microbiome Dysbiosis in COVID-19: A Systematic Review and Meta-Analysis of Diversity Indices, Taxa Alterations, and Mortality Risk" Microorganisms 13, no. 11: 2570. https://doi.org/10.3390/microorganisms13112570
APA StyleMateescu, D.-M., Ilie, A.-C., Cotet, I., Guse, C., Muresan, C.-O., Pah, A.-M., Badalica-Petrescu, M., Iurciuc, S., Craciun, M.-L., Avram, A., Margan, M.-M., & Enache, A. (2025). Gut Microbiome Dysbiosis in COVID-19: A Systematic Review and Meta-Analysis of Diversity Indices, Taxa Alterations, and Mortality Risk. Microorganisms, 13(11), 2570. https://doi.org/10.3390/microorganisms13112570

