Metabolic Engineering of Yeasts for the Production of the Triterpene Squalene: Current Status and Future Prospective
Abstract
1. Introduction
2. Sources of Squalene
2.1. Squalene from Animal and Plant Sources
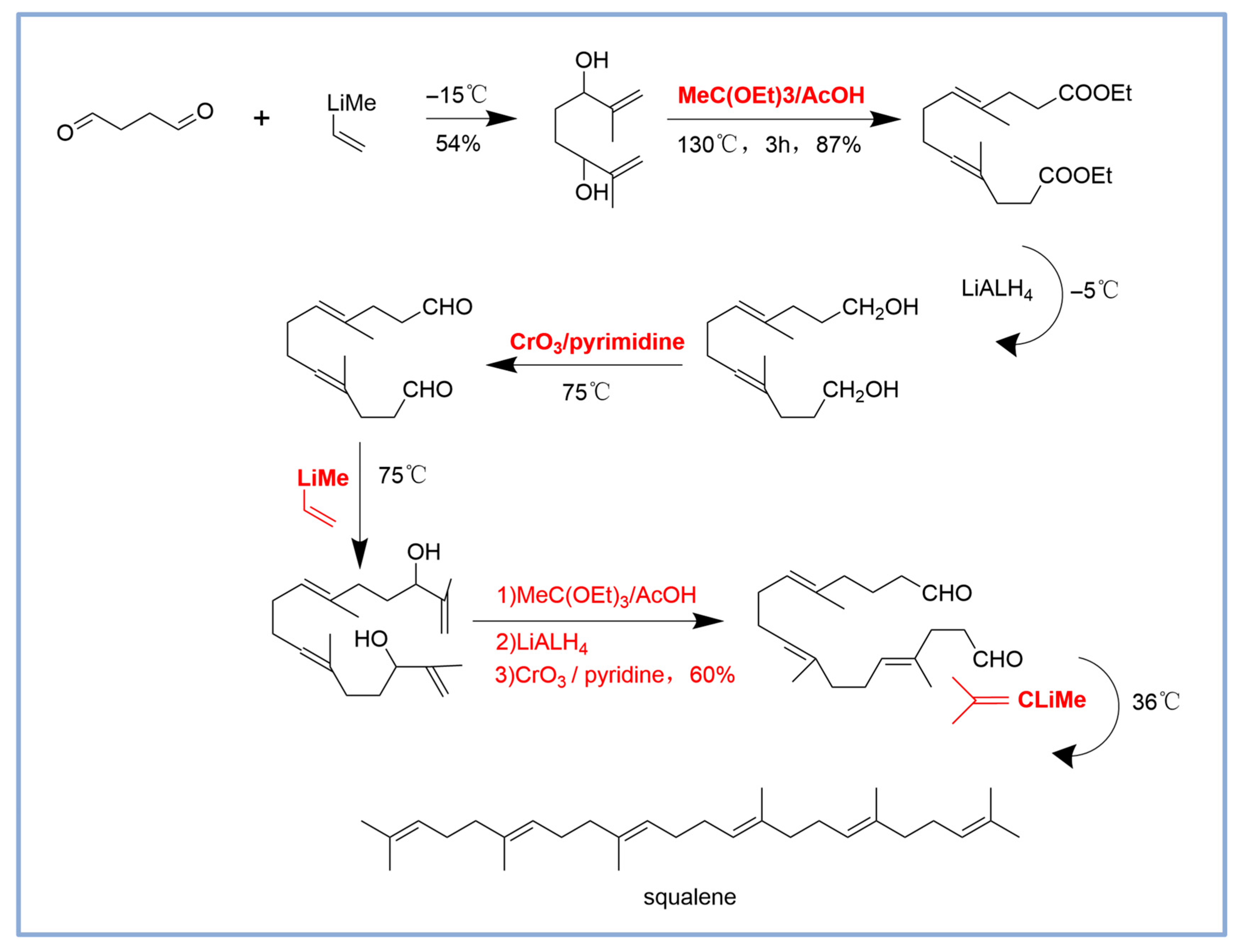
2.2. Chemical Synthesis of Squalene
2.3. Squalene from Microbial Synthesis
3. Biosynthesis of Squalene in Yeast

4. Metabolic Engineering Strategies for the Biosynthesis of Squalene in Yeast
4.1. Enhancing Precursor Supply
4.2. Knockout of Competitive Pathways
4.3. Alleviating Consumption Pathways
4.4. Cofactor Engineering
4.5. Enhancing Strain Tolerance
4.6. Extracellular Secretion
4.7. Computer-Aided Strategies
5. Applications
5.1. Triterpenoids
5.2. Steroids
6. Summary and Outlook
Supplementary Materials
Author Contributions
Funding
Institutional Review Board Statement
Informed Consent Statement
Data Availability Statement
Conflicts of Interest
References
- Tsujimoto, M. A highly unsaturated hydrocarbon in shark liver oil. J. Ind. Eng. Chem. 1916, 8, 889–896. [Google Scholar] [CrossRef]
- Cárdeno, A.; Aparicio-Soto, M.; Montserrat-de la Paz, S.; Bermudez, B.; Muriana, F.J.G.; Alarcón-de-la-Lastra, C. Squalene targets pro- and anti-inflammatory mediators and pathways to modulate over-activation of neutrophils, monocytes and macrophages. J. Funct. Foods 2015, 14, 779–790. [Google Scholar] [CrossRef]
- Huang, Z.R.; Lin, Y.K.; Fang, J.Y. Biological and pharmacological activities of squalene and related compounds: Potential uses in cosmetic dermatology. Molecules 2009, 14, 540–554. [Google Scholar] [CrossRef] [PubMed]
- Morgan, N.R.; Magalingam, K.B.; Radhakrishnan, A.K.; Arumugam, M.; Jamil, A.; Bhuvanendran, S. Explicating the multifunctional roles of tocotrienol and squalene in promoting skin health. Skin Health Dis. 2024, 4, e448. [Google Scholar] [CrossRef]
- Zhang, Y.; Bejaoui, M.; Linh, T.N.; Arimura, T.; Isoda, H. A novel amphiphilic squalene-based compound with open-chain polyethers reduces malignant melanoma metastasis in-vitro and in-vivo. Cell Commun. Signal. 2024, 22, 437. [Google Scholar] [CrossRef]
- Fisher, K.J.; Shirtcliff, L.; Buchanan, G.; Thompson, A.W.; Woolard, F.X.; LaMunyon, D.H.; Marshall, J.L.; Baranouskas, M.B.; Voelker, R.B.; Lusk, J.S.; et al. Kilo-Scale GMP synthesis of renewable semisynthetic vaccine-grade squalene. Org. Process Res. Dev. 2023, 27, 2317–2328. [Google Scholar] [CrossRef]
- Mendes, A.; Azevedo-Silva, J.; Fernandes, J.C. From sharks to yeasts: Squalene in the development of vaccine adjuvants. Pharmaceuticals 2022, 15, 265. [Google Scholar] [CrossRef]
- Reddy, L.H.; Couvreur, P. Squalene: A natural triterpene for use in disease management and therapy. Adv. Drug Deliv. Rev. 2009, 61, 1412–1426. [Google Scholar] [CrossRef]
- Tateno, M.; Stone, B.J.; Srodulski, S.J.; Reedy, S.; Gawriluk, T.R.; Chambers, T.M.; Woodward, J.; Chappell, J.; Kempinski, C.F. Synthetic Biology-derived triterpenes as efficacious immunomodulating adjuvants. Sci. Rep. 2020, 10, 17090. [Google Scholar] [CrossRef]
- Najafi, A.; Heidary, M.; Martinez, R.M.; Baby, A.R.; Morowvat, M.H. Microalgae-based sunscreens as green and sustainable cosmetic products. Int. J. Cosmet. Sci. 2025, 47, 213–222. [Google Scholar] [CrossRef]
- Shalu, S.; Karthikanath, P.K.R.; Vaidyanathan, V.K.; Blank, L.M.; Germer, A.; Balakumaran, P.A. Microbial Squalene: A Sustainable alternative for the cosmetics and pharmaceutical industry—A review. Eng. Life Sci. 2024, 24, e202400003. [Google Scholar] [CrossRef]
- Van Nguyen, A.; Deineka, V.I.; Vu, A.T.N.; Le, T.D.; Tran-Trung, H.; Nguyen, T.A. Inclusion complexes of squalene with beta-cyclodextrin and methyl-beta-cyclodextrin: Preparation and characterization. Turk. J. Chem. 2023, 47, 294–306. [Google Scholar] [CrossRef]
- Yarkent, Ç.; Oncel, S.S. Recent progress in microalgal squalene production and its cosmetic application. Biotechnol. Bioprocess Eng. 2022, 27, 295–305. [Google Scholar] [CrossRef]
- Mordor Intelligence Research & Advisory (2024 JSMSSA-GTaF-MIRD). 2024. Available online: https://www.mordorintelligence.com/zh-CN/industry-reports/squalene-market (accessed on 16 December 2024).
- Akin, G.; Arslan, F.; Karuk Elmas, S.; Yilmaz, I. Cold-pressed pumpkin seed (Cucurbita pepo L.) oils from the central Anatolia region of Turkey: Characterization of phytosterols, squalene, tocols, phenolic acids, carotenoids and fatty acid bioactive compounds. Grasas Aceites 2018, 69, e232. [Google Scholar] [CrossRef]
- Chmelík, Z.; Šnejdrlová, M.; Vrablík, M. Amaranth as a potential dietary adjunct of lifestyle modification to improve cardiovascular risk profile. Nutr. Res. 2019, 72, 36–45. [Google Scholar] [CrossRef]
- Hernández, M.L.; Muñoz-Ocaña, C.; Posada, P.; Sicardo, M.D.; Hornero-Méndez, D.; Gómez-Coca, R.B.; Belaj, A.; Moreda, W.; Martínez-Rivas, J.M. Functional characterization of four olive squalene synthases with respect to the squalene content of the virgin olive oil. J. Agric. Food. Chem. 2023, 71, 15701–15712. [Google Scholar] [CrossRef] [PubMed]
- Johnson, W.S.; Werthemann, L.; Bartlett, W.R.; Brocksom, T.J.; Li, T.-T.; Faulkner, D.J.; Petersen, M.R. Simple stereoselective version of the Claisen rearrangement leading to trans-trisubstituted olefinic bonds. Synthesis of squalene. J. Am. Chem. Soc. 1970, 92, 741–743. [Google Scholar] [CrossRef]
- Khallouki, F.; Younos, C.; Soulimani, R.; Oster, T.; Charrouf, Z.; Spiegelhalder, B.; Bartsch, H.; Owen, R.W. Consumption of argan oil (Morocco) with its unique profile of fatty acids, tocopherols, squalene, sterols and phenolic compounds should confer valuable cancer chemopreventive effects. Eur. J. Cancer Prev. 2003, 12, 67–75. [Google Scholar] [CrossRef] [PubMed]
- Krulj, J.; Brlek, T.; Pezo, L.; Brkljača, J.; Popović, S.; Zeković, Z.; Bodroža Solarov, M. Extraction methods of Amaranthus sp. grain oil isolation. J. Sci. Food Agric. 2016, 96, 3552–3558. [Google Scholar] [CrossRef]
- Rabrenović, B.B.; Dimić, E.B.; Novaković, M.M.; Tešević, V.V.; Basić, Z.N. The most important bioactive components of cold pressed oil from different pumpkin (Cucurbita pepo L.) seeds. LWT-Food Sci. Technol. 2014, 55, 521–527. [Google Scholar] [CrossRef]
- Rukmini, C.; Raghuram, T.C. Nutritional and biochemical aspects of the hypolipidemic action of rice bran oil: A review. J. Am. Coll. Nutr. 1991, 10, 593–601. [Google Scholar] [CrossRef] [PubMed]
- Sheng, Y.Y.; Xiang, J.; Wang, K.R.; Li, Z.Y.; Li, K.; Lu, J.L.; Ye, J.H.; Liang, Y.R.; Zheng, X.Q. Extraction of squalene from tea leaves (Camellia sinensis) and its variations with leaf maturity and tea cultivar. Front. Nutr. 2022, 9, 755514. [Google Scholar] [CrossRef] [PubMed]
- Szabóová, M.; Záhorský, M.; Gažo, J.; Geuens, J.; Vermoesen, A.; D’Hondt, E.; Hricová, A. Differences in seed weight, amino acid, fatty acid, oil, and squalene content in γ-irradiation-developed and commercial amaranth varieties (Amaranthus spp.). Plants 2020, 9, 1412. [Google Scholar] [CrossRef] [PubMed]
- Tang, S.; Gao, W.; Guo, Q.; Wei, D.; Wang, F.Q. Orchestrating multiple subcellular organelles of Saccharomyces cerevisiae for efficient production of squalene. Bioresour. Technol. 2025, 424, 132294. [Google Scholar] [CrossRef]
- Kim, S.K.; Karadeniz, F. Biological importance and applications of squalene and squalane. Adv. Food Nutr. Res. 2012, 65, 223–233. [Google Scholar] [CrossRef]
- Passi, S.; De Pità, O.; Puddu, P.; Littarru, G.P. Lipophilic antioxidants in human sebum and aging. Free Radic. Res. 2002, 36, 471–477. [Google Scholar] [CrossRef]
- Nicolaides, N. Skin lipids: Their biochemical uniqueness. Science 1974, 186, 19–26. [Google Scholar] [CrossRef]
- Bhattacharyya, A.K.; Connor, W.E.; Lin, D.S. The origin of plant sterols in the skin surface lipids in humans: From diet to plasma to skin. J. Investig. Dermatol. 1983, 80, 294–296. [Google Scholar] [CrossRef]
- Popa, O.; Băbeanu, N.E.; Popa, I.; Niță, S.; Dinu-Pârvu, C.E. Methods for obtaining and determination of squalene from natural sources. Biomed Res. Int. 2015, 2015, 367202. [Google Scholar] [CrossRef]
- Nikkari, T.; Schreibman, P.H.; Ahrens, E.H., Jr. In vivo studies of sterol squalene secretion by human skin. J. Lipid Res. 1974, 15, 563–573. [Google Scholar] [CrossRef]
- Gabás-Rivera, C.; Barranquero, C.; Martínez-Beamonte, R.; Navarro, M.A.; Surra, J.C.; Osada, J. Dietary squalene increases high density lipoprotein-cholesterol and paraoxonase 1 and decreases oxidative stress in mice. PLoS ONE 2014, 9, e104224. [Google Scholar] [CrossRef]
- Ryu, A.; Arakane, K.; Koide, C.; Arai, H.; Nagano, T. Squalene as a target molecule in skin hyperpigmentation caused by singlet oxygen. Biol. Pharm. Bull. 2009, 32, 1504–1509. [Google Scholar] [CrossRef][Green Version]
- Ibrahim, N.; Naina Mohamed, I. Interdependence of Anti-Inflammatory and Antioxidant Properties of Squalene-Implication for Cardiovascular Health. Life 2021, 11, 103. [Google Scholar] [CrossRef] [PubMed]
- Miettinen, T.A.; Vanhanen, H. Serum concentration and metabolism of cholesterol during rapeseed oil and squalene feeding. Am. J. Clin. Nutr. 1994, 59, 356–363. [Google Scholar] [CrossRef] [PubMed]
- Barp, L.; Miklavčič Višnjevec, A.; Moret, S. Analytical determination of squalene in extra virgin olive oil and olive processing by-products, and its valorization as an ingredient in functional food-a critical review. Molecules 2024, 29, 5201. [Google Scholar] [CrossRef] [PubMed]
- Fu, J.; Liu, G.; Yang, M.; Wang, X.; Chen, X.; Chen, F.; Yang, Y. Isolation and functional analysis of squalene synthase gene in tea plant Camellia sinensis. Plant Physiol. Biochem. 2019, 142, 53–58. [Google Scholar] [CrossRef]
- Jiang, Y.; Chen, H.; Chen, X.; Köllner, T.G.; Jia, Q.; Wymore, T.W.; Wang, F.; Chen, F. Volatile squalene from a nonseed plant Selaginella moellendorffii: Emission and biosynthesis. Plant Physiol. Biochem. 2015, 96, 1–8. [Google Scholar] [CrossRef]
- Vriet, C.; Russinova, E.; Reuzeau, C. From squalene to brassinolide: The steroid metabolic and signaling pathways across the plant kingdom. Mol. Plant 2013, 6, 1738–1757. [Google Scholar] [CrossRef]
- Werthemann, L.; Johnson, W.S. Application of the chloro ketal claisen reaction to the total synthesis of squalene. Proc. Natl. Acad. Sci. USA 1970, 67, 1465–1467. [Google Scholar] [CrossRef]
- Scott, J.M.W.; Valentine, D.J. Facile catalytic syntheses of squalane. Org. Prep. Proced. Int. 1980, 11, 7–11. [Google Scholar] [CrossRef]
- Paramasivan, K.A.A.; Gupta, N.; Mutturi, S. Adaptive evolution of engineered yeast for squalene production improvement and its genome-wide analysis. Yeast 2021, 38, 424–437. [Google Scholar] [CrossRef]
- Cui, Z.; Zheng, H.; Zhang, J.; Jiang, Z.; Zhu, Z.; Liu, X.; Qi, Q.; Hou, J. A CRISPR/Cas9-mediated, homology-independent tool developed for targeted genome integration in Yarrowia lipolytica. Appl. Environ. Microbiol. 2021, 87, e02666-20. [Google Scholar] [CrossRef]
- Liu, J.; Zhu, Y.; Hou, J. Optimizing the CRISPR/Cas9 system for gene editing in Yarrowia lipolytica. Eng. Microbiol. 2025, 5, 100193. [Google Scholar] [CrossRef]
- Schwartz, C.; Frogue, K.; Ramesh, A.; Misa, J.; Wheeldon, I. CRISPRi repression of nonhomologous end-joining for enhanced genome engineering via homologous recombination in Yarrowia lipolytica. Biotechnol. Bioeng. 2017, 114, 2896–2906. [Google Scholar] [CrossRef] [PubMed]
- Chai, L.; Che, J.; Qi, Q.; Hou, J. Metabolic engineering for squalene production: Advances and perspectives. J. Agric. Food. Chem. 2024, 72, 27715–27725. [Google Scholar] [CrossRef] [PubMed]
- Paramasivan, K.; Mutturi, S. Progress in terpene synthesis strategies through engineering of Saccharomyces cerevisiae. Crit. Rev. Biotechnol. 2017, 37, 974–989. [Google Scholar] [CrossRef]
- Paramasivan, K.; Rajagopal, K.; Mutturi, S. Studies on squalene biosynthesis and the standardization of its extraction methodology from Saccharomyces cerevisiae. Appl. Biochem. Biotechnol. 2019, 187, 691–707. [Google Scholar] [CrossRef]
- Zhang, T.-L.; Yu, H.-W.; Ye, L.-D. Metabolic engineering of Yarrowia lipolytica for terpenoid production: Tools and strategies. ACS Synth. Biol. 2023, 12, 639–656. [Google Scholar] [CrossRef]
- Nonaka, K.; Nishimura, K.; Uesaka, K.; Mishiro-Sato, E.; Fukase, M.; Kato, R.; Okumura, F.; Nakatsukasa, K.; Obara, K.; Kamura, T. Snf1 and yeast GSK3-β activates Tda1 to suppress glucose starvation signaling. EMBO Rep. 2025, 26, 2910–2930. [Google Scholar] [CrossRef]
- Klein, M.; Swinnen, S.; Thevelein, J.M.; Nevoigt, E. Glycerol metabolism and transport in yeast and fungi: Established knowledge and ambiguities. Environ. Microbiol. 2017, 19, 878–893. [Google Scholar] [CrossRef]
- Lopes, D.R.; Santos, L.O.; Prentice-Hernández, C. Antioxidant and antibacterial activity of a beverage obtained by fermentation of yerba-maté (Ilex paraguariensis) with symbiotic kombucha culture. J. Food Process. Preserv. 2021, 45, e15101. [Google Scholar] [CrossRef]
- Rima, H.; Steve, L.; Ismail, F. Antimicrobial and probiotic properties of yeasts: From fundamental to novel applications. Front. Microbiol. 2012, 3, 421. [Google Scholar] [CrossRef] [PubMed]
- Wang, Y.; Han, S.; Wang, Y.; Liang, Q.; Luo, W. Artificial intelligence technology assists enzyme prediction and rational design. J. Agric. Food. Chem. 2025, 73, 7065–7073. [Google Scholar] [CrossRef] [PubMed]
- Zhang, N.; Li, X.; Zhou, Q.; Zhang, Y.; Lv, B.; Hu, B.; Li, C. Self-controlled in silico gene knockdown strategies to enhance the sustainable production of heterologous terpenoid by Saccharomyces cerevisiae. Metab. Eng. 2024, 83, 172–182. [Google Scholar] [CrossRef] [PubMed]
- Lin, W.-B.; Chen, H.; Song, Z.-Q.; Pan, Y.-Q.; Hu, P.-C.; Yang, X.-N.; Lu, X.-Y.; Tian, Y.; Liu, H.-H. Cost-effective production of squalene using Yarrowia lipolytica via metabolic engineering and fermentation engineering. Biotechnol. Lett. 2025, 47, 49. [Google Scholar] [CrossRef]
- Katabami, A.; Li, L.; Iwasaki, M.; Furubayashi, M.; Saito, K.; Umeno, D. Production of squalene by squalene synthases and their truncated mutants in Escherichia coli. J. Biosci. Bioeng. 2015, 119, 165–171. [Google Scholar] [CrossRef]
- Li, T.; Liu, G.-S.; Zhou, W.; Jiang, M.; Ren, Y.-H.; Tao, X.-Y.; Liu, M.; Zhao, M.; Wang, F.-Q.; Gao, B.; et al. Metabolic engineering of Saccharomyces cerevisiae to overproduce squalene. J. Agric. Food. Chem. 2020, 68, 2132–2138. [Google Scholar] [CrossRef]
- Lin, C.; Zhang, X.; Ji, Z.; Fan, B.; Chen, Y.; Wu, Y.; Gan, Y.; Li, Z.; Shang, Y.; Duan, L.; et al. Metabolic engineering of Saccharomyces cerevisiae for high-level production of (+)-ambrein from glucose. Biotechnol. Lett. 2024, 46, 615–626. [Google Scholar] [CrossRef]
- Liu, H.; Wang, F.; Deng, L.; Xu, P. Genetic and bioprocess engineering to improve squalene production in Yarrowia lipolytica. Bioresour. Technol. 2020, 317, 123991. [Google Scholar] [CrossRef]
- Lu, S.; Zhou, C.; Guo, X.; Du, Z.; Cheng, Y.; Wang, Z.; He, X. Enhancing fluxes through the mevalonate pathway in Saccharomyces cerevisiae by engineering the HMGR and β-alanine metabolism. Microb. Biotechnol. 2022, 15, 2292–2306. [Google Scholar] [CrossRef]
- Meng, Y.; Shao, X.; Wang, Y.; Li, Y.; Zheng, X.; Wei, G.; Kim, S.W.; Wang, C. Extension of cell membrane boosting squalene production in the engineered Escherichia coli. Biotechnol. Bioeng. 2020, 117, 3499–3507. [Google Scholar] [CrossRef]
- Tang, W.-Y.; Wang, D.-P.; Tian, Y.; Fan, X.; Wang, C.; Lu, X.-Y.; Li, P.-W.; Ji, X.-J.; Liu, H.-H. Metabolic engineering of Yarrowia lipolytica for improving squalene production. Bioresour. Technol. 2021, 323, 124652. [Google Scholar] [CrossRef]
- Wang, S.; Sun, X.; Han, Y.; Li, Z.; Lu, X.; Shi, H.; Zhang, C.-y.; Wong, A.; Yu, A. Sustainable biosynthesis of squalene from waste cooking oil by the yeast Yarrowia lipolytica. Metab. Eng. Commun. 2024, 18, e00240. [Google Scholar] [CrossRef]
- Wei, L.-J.; Cao, X.; Liu, J.-J.; Kwak, S.; Jin, Y.-S.; Wang, W.; Hua, Q. Increased accumulation of squalene in engineered Yarrowia lipolytica through Deletion of PEX10 and URE2. Appl. Environ. Microbiol. 2021, 87, e00481-21. [Google Scholar] [CrossRef] [PubMed]
- Xu, W.; Yao, J.; Liu, L.; Ma, X.; Li, W.; Sun, X.; Wang, Y. Improving squalene production by enhancing the NADPH/NADP(+) ratio, modifying the isoprenoid-feeding module and blocking the menaquinone pathway in Escherichia coli. Biotechnol. Biofuels 2019, 12, 68. [Google Scholar] [CrossRef] [PubMed]
- Du, M.-M.; Zhang, G.-G.; Zhu, Z.-T.; Zhao, Y.-Q.; Gao, B.; Tao, X.-Y.; Wang, F.-Q.; Wei, D.-Z. Boosting the epoxidation of squalene to produce triterpenoids in Saccharomyces cerevisiae. Biotechnol. Biofuels Bioprod. 2023, 16, 76. [Google Scholar] [CrossRef] [PubMed]
- Chai, L.; Che, J.; Liu, X.; Wang, Z.; Qi, Q.; Hou, J. Secretory and metabolic engineering of squalene in Yarrowia lipolytica. Bioresour. Technol. 2025, 421, 132171. [Google Scholar] [CrossRef]
- Ma, Y.; Shang, Y.; Stephanopoulos, G. Engineering peroxisomal biosynthetic pathways for maximization of triterpene production in Yarrowia lipolytica. Proc. Natl. Acad. Sci. USA 2024, 121, e2314798121. [Google Scholar] [CrossRef]
- Ning, Y.; Liu, M.; Ru, Z.; Zeng, W.; Liu, S.; Zhou, J. Efficient synthesis of squalene by cytoplasmic-peroxisomal engineering and regulating lipid metabolism in Yarrowia lipolytica. Bioresour. Technol. 2024, 395, 130379. [Google Scholar] [CrossRef]
- Zhu, Z.-T.; Du, M.-M.; Gao, B.; Tao, X.-Y.; Zhao, M.; Ren, Y.-H.; Wang, F.-Q.; Wei, D.-Z. Metabolic compartmentalization in yeast mitochondria: Burden and solution for squalene overproduction. Metab. Eng. 2021, 68, 232–245. [Google Scholar] [CrossRef]
- Donald, K.A.; Hampton, R.Y.; Fritz, I.B. Effects of overproduction of the catalytic domain of 3-hydroxy-3-methylglutaryl coenzyme A reductase on squalene synthesis in Saccharomyces cerevisiae. Appl. Environ. Microbiol. 1997, 63, 3341–3344. [Google Scholar] [CrossRef]
- Kwak, S.; Yun, E.J.; Lane, S.; Oh, E.J.; Kim, K.H.; Jin, Y.S. Redirection of the Glycolytic Flux Enhances Isoprenoid Production in Saccharomyces cerevisiae. Biotechnol. J. 2020, 15, e1900173. [Google Scholar] [CrossRef]
- Mantzouridou, F.; Tsimidou, M.Z. Observations on squalene accumulation in Saccharomyces cerevisiae due to the manipulation of HMG2 and ERG6. FEMS Yeast Res. 2010, 10, 699–707. [Google Scholar] [CrossRef] [PubMed]
- Paramasivan, K.; Abdulla, A.; Gupta, N.; Mutturi, S. In silico target-based strain engineering of Saccharomyces cerevisiae for terpene precursor improvement. Integr. Biol. 2022, 14, 25–36. [Google Scholar] [CrossRef] [PubMed]
- Sandberg, T.E.; Salazar, M.J.; Weng, L.L.; Palsson, B.O.; Feist, A.M. The emergence of adaptive laboratory evolution as an efficient tool for biological discovery and industrial biotechnology. Metab. Eng. 2019, 56, 1–16. [Google Scholar] [CrossRef] [PubMed]
- Van Rossum, H.M.; Kozak, B.U.; Pronk, J.T.; Van Maris, A.J.A. Engineering cytosolic acetyl-coenzyme A supply in Saccharomyces cerevisiae: Pathway stoichiometry, free-energy conservation and redox-cofactor balancing. Metab. Eng. 2016, 36, 99–115. [Google Scholar] [CrossRef]
- Liu, Z.; Huang, M.; Chen, H.; Lu, X.; Tian, Y.; Hu, P.; Zhao, Q.; Li, P.; Li, C.; Ji, X.; et al. Metabolic engineering of Yarrowia lipolytica for high-level production of squalene. Bioresour. Technol. 2024, 394, 130233. [Google Scholar] [CrossRef]
- Paramasivan, K.; Mutturi, S. Regeneration of NADPH coupled with HMG-CoA reductase activity increases squalene synthesis in Saccharomyces cerevisiae. J. Agric. Food. Chem. 2017, 65, 8162–8170. [Google Scholar] [CrossRef]
- Tokuhiro, K.; Muramatsu, M.; Ohto, C.; Kawaguchi, T.; Obata, S.; Muramoto, N.; Hirai, M.; Takahashi, H.; Kondo, A.; Sakuradani, E.; et al. Overproduction of geranylgeraniol by metabolically engineered Saccharomyces cerevisiae. Appl. Environ. Microbiol. 2009, 75, 5536–5543. [Google Scholar] [CrossRef]
- Kwak, S.; Kim, S.R.; Xu, H.; Zhang, G.C.; Lane, S.; Kim, H.; Jin, Y.S. Enhanced isoprenoid production from xylose by engineered Saccharomyces cerevisiae. Biotechnol. Bioeng. 2017, 114, 2581–2591. [Google Scholar] [CrossRef]
- Yang, H.; Tong, J.; Lee, C.W.; Ha, S.; Eom, S.H.; Im, Y.J. Structural mechanism of ergosterol regulation by fungal sterol transcription factor Upc2. Nat. Commun. 2015, 6, 6129. [Google Scholar] [CrossRef]
- Dai, Z.; Liu, Y.; Huang, L.; Zhang, X. Production of miltiradiene by metabolically engineered Saccharomyces cerevisiae. Biotechnol. Bioeng. 2012, 109, 2845–2853. [Google Scholar] [CrossRef]
- Dong, H.; Chen, S.; Zhu, J.; Gao, K.; Zha, W.; Lin, P.; Zi, J. Enhance production of diterpenoids in yeast by overexpression of the fused enzyme of ERG20 and its mutant mERG20. J. Biotechnol. 2020, 307, 29–34. [Google Scholar] [CrossRef]
- Ma, B.-X.; Ke, X.; Tang, X.-L.; Zheng, R.-C.; Zheng, Y.-G. Rate-limiting steps in the Saccharomyces cerevisiae ergosterol pathway: Towards improved ergosta-5,7-dien-3β-ol accumulation by metabolic engineering. World J. Microbiol. Biotechnol. 2018, 34, 55. [Google Scholar] [CrossRef]
- Han, J.Y.; Seo, S.H.; Song, J.M.; Lee, H.; Choi, E.-S. High-level recombinant production of squalene using selected Saccharomyces cerevisiae strains. J. Ind. Microbiol. Biotechnol. 2018, 45, 239–251. [Google Scholar] [CrossRef]
- Song, Y.; Guan, Z.; van Merkerk, R.; Pramastya, H.; Abdallah, I.I.; Setroikromo, R.; Quax, W.J. Production of squalene in Bacillus subtilis by squalene synthase screening and metabolic engineering. J. Agric. Food. Chem. 2020, 68, 4447–4455. [Google Scholar] [CrossRef]
- Ma, Y.; Zu, Y.; Huang, S.; Stephanopoulos, G. Engineering a universal and efficient platform for terpenoid synthesis in yeast. Proc. Natl. Acad. Sci. USA 2023, 120, e2207680120. [Google Scholar] [CrossRef] [PubMed]
- Li, G.; Liang, H.; Gao, R.; Qin, L.; Xu, P.; Huang, M.; Zong, M.-H.; Cao, Y.; Lou, W.-Y. Yeast metabolism adaptation for efficient terpenoids synthesis via isopentenol utilization. Nat. Commun. 2024, 15, 9844. [Google Scholar] [CrossRef] [PubMed]
- Lin, X.; An, T.; Fu, D.; Duan, S.; Jin, H.-L.; Wang, H.-B. Optimization of central carbon metabolism by Warburg effect of human cancer cell improves triterpenes biosynthesis in yeast. Adv. Biotechnol. 2023, 1, 4. [Google Scholar] [CrossRef] [PubMed]
- Kim, J.-E.; Jang, I.-S.; Son, S.-H.; Ko, Y.-J.; Cho, B.-K.; Kim, S.C.; Lee, J.Y. Tailoring the Saccharomyces cerevisiae endoplasmic reticulum for functional assembly of terpene synthesis pathway. Metab. Eng. 2019, 56, 50–59. [Google Scholar] [CrossRef]
- Liu, G.-S.; Li, T.; Zhou, W.; Jiang, M.; Tao, X.-Y.; Liu, M.; Zhao, M.; Ren, Y.-H.; Gao, B.; Wang, F.-Q.; et al. The yeast peroxisome: A dynamic storage depot and subcellular factory for squalene overproduction. Metab. Eng. 2020, 57, 151–161. [Google Scholar] [CrossRef]
- Rasool, A.; Ahmed, M.S.; Li, C. Overproduction of squalene synergistically downregulates ethanol production in Saccharomyces cerevisiae. Chem. Eng. Sci. 2016, 152, 370–380. [Google Scholar] [CrossRef]
- Henry, K.W.; Nickels, J.T.; Edlind, T.D. ROX1 and ERG regulation in Saccharomyces cerevisiae: Implications for antifungal susceptibility. Eukaryot. Cell 2002, 1, 1041–1044. [Google Scholar] [CrossRef] [PubMed]
- Ollinger, T.L.; Vu, B.; Murante, D.; Parker, J.E.; Simonicova, L.; Doorley, L.; Stamnes, M.A.; Kelly, S.L.; Rogers, P.D.; Moye-Rowley, W.S.; et al. Loss-of-function ROX1 mutations suppress the fluconazole susceptibility of upc2AΔ mutation in Candida glabrata, implicating additional positive regulators of ergosterol biosynthesis. mSphere 2021, 6, e0083021. [Google Scholar] [CrossRef] [PubMed]
- Peng, B.; Plan, M.R.; Chrysanthopoulos, P.; Hodson, M.P.; Nielsen, L.K.; Vickers, C.E. A squalene synthase protein degradation method for improved sesquiterpene production in Saccharomyces cerevisiae. Metab. Eng. 2017, 39, 209–219. [Google Scholar] [CrossRef]
- Kamimura, N.; Hidaka, M.; Masaki, H.; Uozumi, T. Construction of squalene-accumulating Saccharomyces cerevisiae mutants by gene disruption through homologous recombination. Appl. Microbiol. Biotechnol. 1994, 42, 353–357. [Google Scholar] [CrossRef]
- Zhou, C.; Li, M.; Lu, S.; Cheng, Y.; Guo, X.; He, X.; Wang, Z.; He, X.P. Engineering of cis-element in Saccharomyces cerevisiae for efficient accumulation of value-added compound squalene via downregulation of the downstream metabolic flux. J. Agric. Food. Chem. 2021, 69, 12474–12484. [Google Scholar] [CrossRef]
- Manzoor, R.; Ahmed, M.; Riaz, N.; Kiani, B.H.; Kaleem, U.; Rashid, Y.; Nawaz, A.; Awan, M.U.F.; Khan, H.; Imtiaz, U.; et al. Self-redirection of metabolic flux toward squalene and ethanol pathways by engineered yeast. Metabolites 2020, 10, 56. [Google Scholar] [CrossRef]
- Jordá, T.; Martínez-Martín, A.; Martínez-Pastor, M.T.; Puig, S. Modulation of yeast Erg1 expression and terbinafine susceptibility by iron bioavailability. Microb. Biotechnol. 2022, 15, 2705–2716. [Google Scholar] [CrossRef]
- Moreira dos Santos, M.; Raghevendran, V.; Kötter, P.; Olsson, L.; Nielsen, J. Manipulation of malic enzyme in Saccharomyces cerevisiae for increasing NADPH production capacity aerobically in different cellular compartments. Metab. Eng. 2004, 6, 352–363. [Google Scholar] [CrossRef]
- Song, W.; Yan, S.; Li, Y.; Feng, S.; Zhang, J.J.; Li, J.R. Functional characterization of squalene epoxidase and NADPH-cytochrome P450 reductase in Dioscorea zingiberensis. Biochem. Biophys. Res. Commun. 2019, 509, 822–827. [Google Scholar] [CrossRef]
- Zhao, X.; Shi, F.; Zhan, W. Overexpression of ZWF1 and POS5 improves carotenoid biosynthesis in recombinant Saccharomyces cerevisiae. Lett. Appl. Microbiol. 2015, 61, 354–360. [Google Scholar] [CrossRef]
- Lu, Q.; McAlister-Henn, L. Peroxisomal localization and function of NADP+ -specific isocitrate dehydrogenases in yeast. Arch. Biochem. Biophys. 2010, 493, 125–134. [Google Scholar] [CrossRef]
- Darkes, M.J.; Scott, L.J.; Goa, K.L. Terbinafine: A review of its use in onychomycosis in adults. Am. J. Clin. Dermatol. 2003, 4, 39–65. [Google Scholar] [CrossRef]
- Ryder, N.S. Terbinafine: Mode of action and properties of the squalene epoxidase inhibition. Br. J. Dermatol. 1992, 126 (Suppl. S39), 2–7. [Google Scholar] [CrossRef]
- Son, S.-H.; Kim, J.-E.; Oh, S.S.; Lee, J.Y. Engineering cell wall integrity enables enhanced squalene production in yeast. J. Agric. Food. Chem. 2020, 68, 4922–4929. [Google Scholar] [CrossRef]
- Zhang, Y.; Wang, W.; Wei, W.; Xia, L.; Gao, S.; Zeng, W.; Liu, S.; Zhou, J. Regulation of ethanol assimilation for efficient accumulation of squalene in Saccharomyces cerevisiae. J. Agric. Food. Chem. 2023, 71, 6389–6397. [Google Scholar] [CrossRef] [PubMed]
- Son, S.-H.; Kim, J.-E.; Park, G.; Ko, Y.-J.; Sung, B.H.; Seo, J.; Oh, S.S.; Lee, J.Y. Metabolite trafficking enables membrane-impermeable-terpene secretion by yeast. Nat. Commun. 2022, 13, 2605. [Google Scholar] [CrossRef] [PubMed]
- Liu, J.; Wang, X.; Jin, K.; Liu, Y.; Li, J.; Du, G.; Lv, X.; Liu, L. In Silico prediction and mining of exporters for secretory bioproduction of terpenoids in Saccharomyces cerevisiae. ACS Synth. Biol. 2023, 12, 863–876. [Google Scholar] [CrossRef]
- Lu, C.; Zhang, C.; Zhao, F.; Li, D.; Lu, W. Biosynthesis of ursolic acid and oleanolic acid in Saccharomyces cerevisiae. AlChE J. 2018, 64, 3794–3802. [Google Scholar] [CrossRef]
- Jin, K.; Shi, X.; Liu, J.; Yu, W.; Liu, Y.; Li, J.; Du, G.; Lv, X.; Liu, L. Combinatorial metabolic engineering enables the efficient production of ursolic acid and oleanolic acid in Saccharomyces cerevisiae. Bioresour. Technol. 2023, 374, 128819. [Google Scholar] [CrossRef] [PubMed]
- Jia, N.; Li, J.; Zang, G.; Yu, Y.; Jin, X.; He, Y.; Feng, M.; Na, X.; Wang, Y.; Li, C. Engineering Saccharomyces cerevisiae for high-efficient production of ursolic acid via cofactor engineering and acetyl-CoA optimization. Biochem. Eng. J. 2024, 203, 109189. [Google Scholar] [CrossRef]
- Zhu, Y.; Yan, X.; Li, W.; Qiao, J.; Zhao, G.-R. Modular metabolic engineering of Saccharomyces cerevisiae for enhanced production of ursolic acid. J. Agric. Food. Chem. 2025, 73, 3580–3590. [Google Scholar] [CrossRef] [PubMed]
- Li, D.; Wu, Y.; Wei, P.; Gao, X.; Li, M.; Zhang, C.; Zhou, Z.; Lu, W. Metabolic engineering of Yarrowia lipolytica for heterologous oleanolic acid production. Chem. Eng. Sci. 2020, 218, 115529. [Google Scholar] [CrossRef]
- Tang, M.; Xu, X.; Liu, Y.; Li, J.; Du, G.; Lv, X.; Liu, L. Combinatorial metabolic engineering for improving betulinic acid biosynthesis in Saccharomyces cerevisiae. ACS Synth. Biol. 2024, 13, 1798–1808. [Google Scholar] [CrossRef]
- Tang, S.; Ji, W.; Zhao, Y.; Zhang, J.; Wei, D.; Wang, F.-Q. De novo biosynthesis of betulinic acid in engineered Saccharomyces cerevisiae. Bioorg. Chem. 2024, 152, 107737. [Google Scholar] [CrossRef]
- Wang, P.; Wei, W.; Ye, W.; Li, X.; Zhao, W.; Yang, C.; Li, C.; Yan, X.; Zhou, Z. Synthesizing ginsenoside Rh2 in Saccharomyces cerevisiae cell factory at high-efficiency. Cell Discov. 2019, 5, 5. [Google Scholar] [CrossRef]
- Zhuang, Y.; Yang, G.Y.; Chen, X.; Liu, Q.; Zhang, X.; Deng, Z.; Feng, Y. Biosynthesis of plant-derived ginsenoside Rh2 in yeast via repurposing a key promiscuous microbial enzyme. Metab. Eng. 2017, 42, 25–32. [Google Scholar] [CrossRef]
- Zhang, W.; Zhang, J.; Zhao, X.; Zhang, Z.; He, S.; Bian, X.; Wang, H.; Zhang, C.; Lu, W. Efficient production of ginsenoside Rh2 from xylose by remodeling metabolism in Saccharomyces cerevisiae. Chem. Eng. J. 2024, 494, 153120. [Google Scholar] [CrossRef]
- Liu, X.-B.; Liu, M.; Tao, X.-Y.; Zhang, Z.-X.; Wang, F.-Q.; Wei, D.-Z. Metabolic engineering of Pichia pastoris for the production of dammarenediol-II. J. Biotechnol. 2015, 216, 47–55. [Google Scholar] [CrossRef]
- Byun, J.Y.; Nguyen, T.T.; Cho, B.K.; Park, S.H.; Kim, S.C. Rap1 overexpression boosts triterpenoid saponin production in yeast by enhancing precursor supply and heterologous gene expression. Microb. Cell Fact. 2025, 24, 47. [Google Scholar] [CrossRef] [PubMed]
- Qu, G.; Song, Y.; Xu, X.; Liu, Y.; Li, J.; Du, G.; Liu, L.; Li, Y.; Lv, X. De novo biosynthesis of mogroside V by multiplexed engineered yeasts. Metab. Eng. 2025, 88, 160–171. [Google Scholar] [CrossRef] [PubMed]
- Yin, X.; Zhang, Y.; Wei, W.; Zhao, X.; Xu, S.; Gao, S.; Zhou, J. Overproduction of cucurbitadienol through modular metabolic engineering and fermentation optimization in Saccharomyces cerevisiae. J. Agric. Food. Chem. 2025, 73, 718–726. [Google Scholar] [CrossRef] [PubMed]
- Guo, X.-J.; Xiao, W.-H.; Wang, Y.; Yao, M.-D.; Zeng, B.-X.; Liu, H.; Zhao, G.-R.; Yuan, Y.-J. Metabolic engineering of Saccharomyces cerevisiae for 7-dehydrocholesterol overproduction. Biotechnol. Biofuels 2018, 11, 192. [Google Scholar] [CrossRef]
- Guo, X.J.; Yao, M.D.; Xiao, W.H.; Wang, Y.; Zhao, G.R.; Yuan, Y.J. Compartmentalized reconstitution of post-squalene pathway for 7-dehydrocholesterol overproduction in Saccharomyces cerevisiae. Front. Microbiol. 2021, 12, 663973. [Google Scholar] [CrossRef]
- Qu, L.; Xiu, X.; Sun, G.; Zhang, C.; Yang, H.; Liu, Y.; Li, J.; Du, G.; Lv, X.; Liu, L. Engineered yeast for efficient de novo synthesis of 7-dehydrocholesterol. Biotechnol. Bioeng. 2022, 119, 1278–1289. [Google Scholar] [CrossRef]
- Wei, W.; Gao, S.; Yi, Q.; Liu, A.; Yu, S.; Zhou, J. Reengineering of 7-dehydrocholesterol biosynthesis in Saccharomyces cerevisiae using combined pathway and organelle strategies. Front. Microbiol. 2022, 13, 978074. [Google Scholar] [CrossRef]
- Xiu, X.; Sun, Y.; Wu, Y.; Jin, K.; Qu, L.; Liu, Y.; Li, J.; Du, G.; Lv, X.; Liu, L. Modular remodeling of sterol metabolism for overproduction of 7-dehydrocholesterol in engineered yeast. Bioresour. Technol. 2022, 360, 127572. [Google Scholar] [CrossRef]
- Ye, Z.; Xu, X.; Wu, Y.; Liu, Y.; Li, J.; Du, G.; Liu, L.; Lv, X. Efficient 7-Dehydrocholesterol production by multiple metabolic engineering of diploid Saccharomyces cerevisiae. J. Agric. Food Chem. 2024, 72, 25186–25196. [Google Scholar] [CrossRef]
- Bi, K.; Wang, W.; Tang, D.; Shi, Z.; Tian, S.; Huang, L.; Lian, J.; Xu, Z. Engineering sub-organelles of a diploid Saccharomyces cerevisiae to enhance the production of 7-dehydrocholesterol. Metab. Eng. 2024, 84, 169–179. [Google Scholar] [CrossRef]
- Xiu, X.; Xu, X.; Wu, Y.; Liu, Y.; Li, J.; Du, G.; Chen, J.; Lv, X.; Liu, L. Hyperproduction of 7-dehydrocholesterol by rewiring the post-squalene module in lipid droplets of Saccharomyces cerevisiae. Metab. Eng. 2024, 86, 147–156. [Google Scholar] [CrossRef] [PubMed]
- Xiao, F.; Li, D.; Pan, Y.; Lv, B.; Gao, J.; Zuo, Y.; Huang, L.; Lian, J. Establishing Komagataella phaffii as a cell factory for efficient production of cholesterol sulfate. ACS Sustainable Chem. Eng. 2025, 13, 174–186. [Google Scholar] [CrossRef]
- Winegar, P.H.; Hudson, G.A.; Dell, L.B.; Astolfi, M.C.T.; Reed, J.; Payet, R.D.; Ombredane, H.C.J.; Iavarone, A.T.; Chen, Y.; Gin, J.W.; et al. Verazine biosynthesis from simple sugars in engineered Saccharomyces cerevisiae. Metab. Eng. 2024, 85, 145–158. [Google Scholar] [CrossRef]
- Cheng, X.; Pang, Y.; Ban, Y.; Cui, S.; Shu, T.; Lv, B.; Li, C. Application of multiple strategies to enhance oleanolic acid biosynthesis by engineered Saccharomyces cerevisiae. Bioresour. Technol. 2024, 401, 130716. [Google Scholar] [CrossRef]
- Dale, M.P.; Moses, T.; Johnston, E.J.; Rosser, S.J. A systematic comparison of triterpenoid biosynthetic enzymes for the production of oleanolic acid in Saccharomyces cerevisiae. PLoS ONE 2020, 15, e0231980. [Google Scholar] [CrossRef] [PubMed]
- Wang, D.; Wang, B.B.; Liu, Y.; Shi, M.Y.; Xiao, D.G.; Huang, L.Q.; Dai, Z.B.; Zhang, X.L. Optimization of synthetic pathway and fermentation process of yeast cell factories for production of oleanoic acid. Zhongguo Zhong Yao Za Zhi 2014, 39, 2640–2645. [Google Scholar]
- Zhao, Y.; Fan, J.; Wang, C.; Feng, X.; Li, C. Enhancing oleanolic acid production in engineered Saccharomyces cerevisiae. Bioresour. Technol. 2018, 257, 339–343. [Google Scholar] [CrossRef]
- Chu, L.L.; Huy, N.Q.; Tung, N.H. Microorganisms for ginsenosides biosynthesis: Recent progress, challenges, and perspectives. Molecules 2023, 28, 1437. [Google Scholar] [CrossRef]
- Li, M.; Ma, M.; Wu, Z.; Liang, X.; Zheng, Q.; Li, D.; An, T.; Wang, G. Advances in the biosynthesis and metabolic engineering of rare ginsenosides. Appl. Microbiol. Biotechnol. 2023, 107, 3391–3404. [Google Scholar] [CrossRef]
- Li, Y.; Li, J.; Diao, M.; Peng, L.; Huang, S.; Xie, N. Characterization of a group of UDP-Glycosyltransferases involved in the biosynthesis of triterpenoid saponins of Panax notoginseng. ACS Synth. Biol. 2022, 11, 770–779. [Google Scholar] [CrossRef]
- Su, W.; Xiao, W.-H.; Wang, Y.; Liu, D.; Zhou, X.; Yuan, Y.-J. Alleviating redox imbalance enhances 7-dehydrocholesterol production in engineered Saccharomyces cerevisiae. PLoS ONE 2015, 10, e0130840. [Google Scholar] [CrossRef] [PubMed]
- Piet, M.; Paduch, R. Ursolic and oleanolic acids in combination therapy inhibit migration of colon cancer cells through down-regulation of the uPA/uPAR-dependent MMPs pathway. Chem. Biol. Interact. 2022, 368, 110202. [Google Scholar] [CrossRef] [PubMed]
- Vilkickyte, G.; Petrikaite, V.; Marksa, M.; Ivanauskas, L.; Jakstas, V.; Raudone, L. Fractionation and characterization of triterpenoids from vaccinium vitis-idaea l. Cuticular Waxes and Their Potential as Anticancer Agents. Antioxidants 2023, 12, 465. [Google Scholar] [CrossRef] [PubMed]
- Chen, H.; Yang, H.; Fan, D.; Deng, J. The anticancer activity and mechanisms of ginsenosides: An updated review. eFood 2020, 1, 226–241. [Google Scholar] [CrossRef]
- Fang, Z.; Zhang, J.; Huang, J.; Cen, S. Research progress on anti-aging effects and mechanisms of the new ginsenoside Compound K. J. Dermatol. Sci. Cosmet. Technol. 2025, 2, 100072. [Google Scholar] [CrossRef]
- Feng, S.; Li, T.; Wei, X.; Zheng, Y.; Zhang, Y.; Li, G.; Zhao, Y. The antioxidant and anti-fatigue effects of rare ginsenosides and γ-aminobutyric acid in fermented ginseng and germinated brown rice puree. Int. J. Mol. Sci. 2024, 25, 10359. [Google Scholar] [CrossRef]
- Irfan, M.; Kwak, Y.-S.; Han, C.-K.; Hyun, S.H.; Rhee, M.H. Adaptogenic effects of Panax ginseng on modulation of cardiovascular functions. J. Ginseng Res. 2020, 44, 538–543. [Google Scholar] [CrossRef]
- Son, S.-H.; Kim, J.-E.; Moon, S.Y.; Jang, I.-S.; Yu, B.J.; Lee, J.Y. Metabolic recycling of storage lipids promotes squalene biosynthesis in yeast. Biotechnol. Biofuels Bioprod. 2022, 15, 108. [Google Scholar] [CrossRef]
- Xu, M.; Yang, N.; Pan, J.; Hua, Q.; Li, C.-X.; Xu, J.-H. Remodeling the homologous recombination mechanism of Yarrowia lipolytica for high-level biosynthesis of squalene. J. Agric. Food. Chem. 2024, 72, 9984–9993. [Google Scholar] [CrossRef]
- Huang, Y.-Y.; Jian, X.-X.; Lv, Y.-B.; Nian, K.-Q.; Gao, Q.; Chen, J.; Wei, L.-J.; Hua, Q. Enhanced squalene biosynthesis in Yarrowia lipolytica based on metabolically engineered acetyl-CoA metabolism. J. Biotechnol. 2018, 281, 106–114. [Google Scholar] [CrossRef]




| Plant Origin | Squalene Content (mg/100 g) | References |
|---|---|---|
| Olive oil | 250–850 | [17] |
| Amaranth seeds | Up to 470 | [16,20,24] |
| Pumpkin seeds oil | Up to 747 | [15,21] |
| Argan oil | Up to 313 | [19] |
| Tea leaves | 28.9–368.2 | [23] |
| Rice bran oil | Up to 320 | [22] |
| Product | Yield | References | |
|---|---|---|---|
| Shaking Flask | Fermentation | ||
| Ursolic acid | / | 123.27 mg/L | [111] |
| 692.3 mg/L | 1132.9 mg/L | [112] | |
| / | 2.33 g/L | [113] | |
| 1083.62 mg/L | 8.59 g/L | [114] | |
| Oleanolic acid | / | 155.58 mg/L | [111] |
| 253.4 mg/L | 433.9 mg/L | [112] | |
| / | 540.7 mg/L | [115] | |
| Betulinic acid | / | 682.29 mg/L | [116] |
| / | 205.74 mg/L | [117] | |
| Rh2 | / | 2.25 g/L | [118] |
| / | 300 mg/L | [119] | |
| / | 1.47 g/L | [120] | |
| Dammarenediol-II | / | 37.5-fold | [121] |
| Compound K | / | 4.5-fold | [122] |
| MG-V | 10.25 mg/L | 28.62 mg/L | [123] |
| Cucurbitadienol | / | 6.19 g /L | [124] |
| 7-DHC | / | 1.07 g/L | [125] |
| 360.6 mg/L | [126] | ||
| / | 1.328 g/L | [127] | |
| / | 2.0 g/L | [128] | |
| / | 2.87 g/L | [129] | |
| / | 867.6 mg/L | [130] | |
| 640.77 mg/L | 4.28 g/L | [131] | |
| / | 5.1 g/L | [132] | |
| Cholesterol sulfate | / | 545 mg/L | [133] |
| Verazine | 83 μg/L | [134] | |
Disclaimer/Publisher’s Note: The statements, opinions and data contained in all publications are solely those of the individual author(s) and contributor(s) and not of MDPI and/or the editor(s). MDPI and/or the editor(s) disclaim responsibility for any injury to people or property resulting from any ideas, methods, instructions or products referred to in the content. |
© 2025 by the authors. Licensee MDPI, Basel, Switzerland. This article is an open access article distributed under the terms and conditions of the Creative Commons Attribution (CC BY) license (https://creativecommons.org/licenses/by/4.0/).
Share and Cite
Zuo, S.; Tan, X.; Mao, J.; Hu, F.; Chen, J.; Fan, L.; Lu, Q.; Zhao, Y.; Wang, Y.; Xiao, Z.; et al. Metabolic Engineering of Yeasts for the Production of the Triterpene Squalene: Current Status and Future Prospective. Microorganisms 2025, 13, 2422. https://doi.org/10.3390/microorganisms13112422
Zuo S, Tan X, Mao J, Hu F, Chen J, Fan L, Lu Q, Zhao Y, Wang Y, Xiao Z, et al. Metabolic Engineering of Yeasts for the Production of the Triterpene Squalene: Current Status and Future Prospective. Microorganisms. 2025; 13(11):2422. https://doi.org/10.3390/microorganisms13112422
Chicago/Turabian StyleZuo, Shasha, Xinjia Tan, Jiwei Mao, Fanglin Hu, Jiaxu Chen, Liusha Fan, Qiyuan Lu, Yifei Zhao, Yongtong Wang, Zhiqiang Xiao, and et al. 2025. "Metabolic Engineering of Yeasts for the Production of the Triterpene Squalene: Current Status and Future Prospective" Microorganisms 13, no. 11: 2422. https://doi.org/10.3390/microorganisms13112422
APA StyleZuo, S., Tan, X., Mao, J., Hu, F., Chen, J., Fan, L., Lu, Q., Zhao, Y., Wang, Y., Xiao, Z., Zhang, S., Shan, Y., Liu, J., & Fu, F. (2025). Metabolic Engineering of Yeasts for the Production of the Triterpene Squalene: Current Status and Future Prospective. Microorganisms, 13(11), 2422. https://doi.org/10.3390/microorganisms13112422

