Strategic Carbon Source Selection Enhances Biomass and Paramylon Yields in Mixotrophic Euglena gracilis Cultivation
Abstract
1. Introduction
2. Materials and Methods
2.1. Experimental Design
2.1.1. Algae Strains and Culture Medium
2.1.2. Carbon Source Addition and Sterilization
2.1.3. Culture Conditions
2.2. Evaluation of Cell Growth of E. gracilis
2.3. Determination of pH of E. gracilis Medium
2.4. Evaluation of Cell Morphology of E. gracilis
2.5. Determination of Photosynthetic Pigments of E. gracilis
2.6. Determination of Chlorophyll Fluorescence Parameters of E. gracilis
2.7. Quantification of β-1,3-Glucan in E. gracilis
2.8. Statistical Analysis
3. Results and Discussion
3.1. Effects of Organic Carbon Sources on the Growth, Dry Weight and pH of E. gracilis
3.2. Effects of Different Organic Carbon Sources on the Cell Morphology of E. gracilis
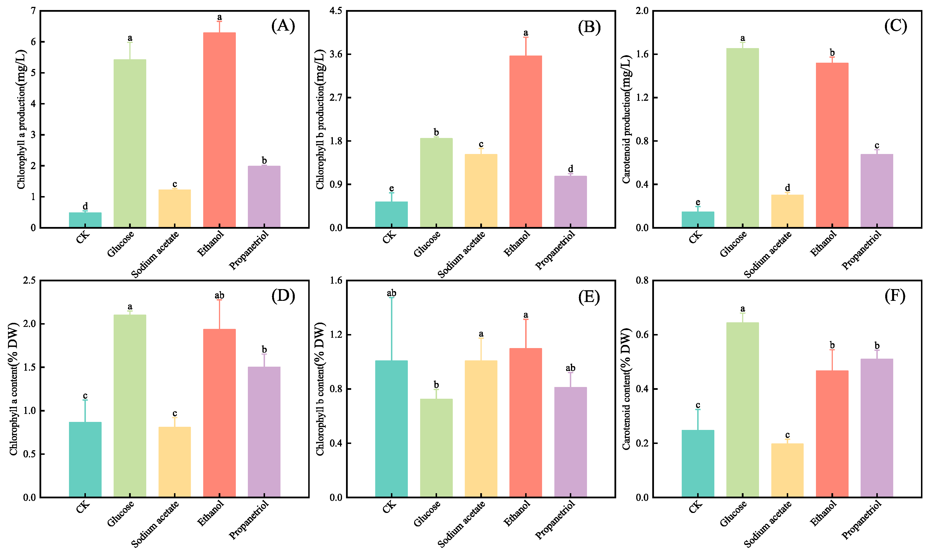
3.3. Effects of Different Organic Carbon Sources on Photosynthetic Pigments of E. gracilis
3.4. Effects of Different Organic Carbon Sources on Chlorophyll Fluorescence of E. gracilis
3.5. Effects of Different Organic Carbon Sources on the Content of β-1,3-Glucan in E. gracilis
4. Conclusions
Author Contributions
Funding
Institutional Review Board Statement
Informed Consent Statement
Data Availability Statement
Conflicts of Interest
References
- Lin, T.; Wu, J. Effect of carbon sources on growth and lipid accumulation of newly isolated microalgae cultured under mixotrophic condition. Bioresour. Technol. 2015, 184, 100–107. [Google Scholar] [CrossRef]
- Farjallah, A.; Guéguen, C. Untargeted metabolomic analysis of heterotrophic Euglena gracilis cells in response to the organic carbon source. Algal Res. 2023, 76, 103305. [Google Scholar] [CrossRef]
- Gao, P.; Guo, L.; Zhao, Y.; Jin, C.; She, Z.; Gao, M. Enhancing microalgae growth and product accumulation with carbon source regulation: New perspective for the coordination between photosynthesis and aerobic respiration. Chemosphere 2021, 278, 130435. [Google Scholar] [CrossRef]
- Abreu, A.P.; Morais, R.C.; Teixeira, J.A.; Nunes, J. A comparison between microalgal autotrophic growth and metabolite accumulation with heterotrophic, mixotrophic and photoheterotrophic cultivation modes. Renew. Sustain. Energy Rev. 2022, 159, 112247. [Google Scholar] [CrossRef]
- Bhukya, G.; Pilli, S.; Chinthala, S.; Tyagi, R.D. Pre-treated crude glycerol a valuable green energy source in the era of circular bioeconomy—A review. Circ. Econ. Sustain. 2024, 4, 877–904. [Google Scholar] [CrossRef]
- Nguyen, M.L.T.; Lin, C.Y.; Lay, C.H. Microalgae cultivation using biogas and digestate carbon sources. Biomass Bioenergy 2019, 122, 426–432. [Google Scholar] [CrossRef]
- Farjallah, A.; Fillion, M.; Guéguen, C. Metabolic responses of Euglena gracilis under photoheterotrophic and heterotrophic conditions. Protist 2024, 175, 126035. [Google Scholar] [CrossRef] [PubMed]
- Inwongwan, S.; Sriwari, S.; Pumas, C. Metabolomic insights into the adaptations and biotechnological potential of Euglena gracilis under different trophic conditions. Plants 2025, 14, 1580. [Google Scholar] [CrossRef] [PubMed]
- Gulk, E.; Zamyatkina, E.; Birkemeyer, C.; Tarakhovskaya, E. Biochemical composition of Euglena gracilis cells during mixotrophic growth in the presence of various organic substrates. Russ. J. Plant Physiol. 2023, 70, 21. [Google Scholar] [CrossRef]
- Feregrino-Mondragón, R.D.; Vega-Segura, A.; Sánchez-Thomas, R.; Silva-Flores, M.; Rodríguez-Zavala, J.S.; Marín-Hernández, Á.; Pérez-Torres, I.; Torres-Márquez, M.E.; Moreno-Sánchez, R.; Jasso-Chávez, R. The essential role of mitochondria in the consumption of waste-organic matter and production of metabolites of biotechnological interest in Euglena gracilis. Algal Res. 2021, 56, 102302. [Google Scholar] [CrossRef]
- Gupta, P.L.; Choi, H.J.; Pawar, R.R.; Jung, S.P.; Lee, S.M. Enhanced biomass production through optimization of carbon source and utilization of wastewater as a nutrient source. J. Environ. Manag. 2016, 184 Pt 3, 585–595. [Google Scholar] [CrossRef]
- Xue, L.L.; Chen, H.H.; Jiang, J.G. Implications of glycerol metabolism for lipid production. Prog. Lipid Res. 2017, 68, 12–25. [Google Scholar] [CrossRef]
- Lei, C.; Nakagawa, Y.; Nagasaka, Y.; Ding, T.; Kanno, H.; Toyokawa, C.; Niizuma, K.; Suzuki, K.; Li, M.; Sunna, A.; et al. High-throughput optical imaging technology for large-scale single-cell analysis of live Euglena gracilis. TrAC Trends Anal. Chem. 2024, 180, 117938. [Google Scholar] [CrossRef]
- Hasan, M.T.; Sun, A.; Khatiwada, B.; McQuade, L.; Mirzaei, M.; Te’o, J.; Hobba, G.; Sunna, A.; Nevalainen, H. Comparative proteomics investigation of central carbon metabolism in Euglena gracilis grown under predominantly phototrophic, mixotrophic and heterotrophic cultivations. Algal Res. 2019, 43, 101638. [Google Scholar] [CrossRef]
- Padilla, G.M.; James, T.W. Synchronization of cell division in Astasia longa on a chemically defined medium. Exp. Cell Res. 1960, 20, 401–415. [Google Scholar] [CrossRef]
- Zhu, J.; Wakisaka, M. Effect of two lignocellulose related sugar alcohols on the growth and metabolites biosynthesis of Euglena gracilis. Bioresour. Technol. 2020, 303, 122950. [Google Scholar] [CrossRef]
- Zhu, J.; Wakisaka, M. Application of lignosulfonate as the growth promotor for freshwater microalga Euglena gracilis to increase productivity of biomass and lipids. Fuel 2021, 283, 118920. [Google Scholar] [CrossRef]
- Jeon, M.S.; Oh, J.J.; Kim, J.Y.; Han, S.I.; Sim, S.J.; Choi, Y.E. Enhancement of growth and paramylon production of Euglena gracilis by co-cultivation with Pseudoalteromonas sp. MEBiC 03485. Bioresour. Technol. 2019, 288, 121513. [Google Scholar] [CrossRef] [PubMed]
- Lichtenthaler, H.K.; Wellburn, A.R. Determinations of total carotenoids and chlorophylls a and b of leaf extracts in different solvents. Biochem. Soc. Trans. 1983, 11, 591–592. [Google Scholar] [CrossRef]
- Koblížek, M.; Ciscato, M.; Komenda, J.; Kopencký, J.; Šiffel, P.; Masojídek, J. Photoadaptation in the green alga Spongiochloris sp.: A three-fluorometer study. Photosynthetica 1999, 37, 307–323. [Google Scholar] [CrossRef]
- Barsanti, L.; Vismara, R.; Passarelli, V.; Gualtieri, P. Paramylon (β-1,3-glucan) content in wild type and WZSL mutant of Euglena gracilis. Effects of growth conditions. J. Appl. Phycol. 2001, 13, 59–65. [Google Scholar] [CrossRef]
- Dai, D.; Qv, M.; Liu, D.; Liu, D.; Wang, H.; Tang, C.; Zhu, L. Different organic carbon sources affect microalgal growth and extracellular polymeric substances synthesis to trigger biomass flocculation process. Sep. Purif. Technol. 2025, 356, 129846. [Google Scholar] [CrossRef]
- Zhang, J.; Wang, Q.; Gong, Q.; Gao, X. Symbiotic bacteria diversity and metabolome analyses of Nostoc sphaeroides grown under different organic carbon sources. Algal Res. 2024, 81, 103592. [Google Scholar] [CrossRef]
- Li, M.; Xu, F.; Zhao, Y.; Sun, D.; Liu, J.; Yin, X.; Li, Z.; Zhao, J.; Li, H.; Bao, X. High-efficient production of cellulosic ethanol from corn fiber based on the suitable C5/C6 co-fermentation Saccharomyces cerevisiae strain. Fermentation 2023, 9, 743. [Google Scholar] [CrossRef]
- Niekerk, K.; Pott, R.W. The effect of carbon source on the growth and lipopeptide production of Bacillus circulans. Biocatal. Agric. Biotechnol. 2023, 53, 102841. [Google Scholar] [CrossRef]
- Mokrosnop, V.; Polishchuk, A.; Zolotareva, E. Accumulation of α-tocopherol and β-carotene in Euglena gracilis cells under autotrophic and mixotrophic culture conditions. Appl. Biochem. Microbiol. 2016, 52, 216–221. [Google Scholar] [CrossRef]
- Wang, J.; Fang, H.; Li, S.; Yu, H. Delving into the impacts of different easily degradable carbon sources on the degradation characteristics of 2, 4, 6-trichlorophenol and microbial community properties. Water 2024, 16, 974. [Google Scholar] [CrossRef]
- Sánchez-Clemente, R.; Guijo, M.I.; Nogales, J.; Blasco, R. Carbon source influence on extracellular pH changes along bacterial cell-growth. Genes 2020, 11, 1292. [Google Scholar] [CrossRef] [PubMed]
- Kim, E.; Lee, D.; Sakamoto, S.; Jo, J.Y.; Vargas, M.; Ishizaki, A.; Minagawa, J.; Kim, H. Network analysis with quantum dynamics clarifies why photosystem II exploits both chlorophyll a and b. Sci. Adv. 2025, 11, eads0327. [Google Scholar] [CrossRef]
- Yamane, Y.I.; Utsunomiya, T.; Watanabe, M.; Sasaki, K. Biomass production in mixotrophic culture of Euglena gracilis under acidic condition and its growth energetics. Biotechnol. Lett. 2001, 23, 1223–1228. [Google Scholar] [CrossRef]
- Los, S.I.; Fomishina, R.N. Variability of the pigment apparatus in Cyanophyta depending on carbon nutrition conditions. Int. J. Algae 2000, 2, 31–40. [Google Scholar] [CrossRef]
- Joun, J.; Sirohi, R.; Sim, S.J. The effects of acetate and glucose on carbon fixation and carbon utilization in mixotrophy of Haematococcus pluvialis. Bioresour. Technol. 2023, 367, 128218. [Google Scholar] [CrossRef]
- Wu, G.; Lu, F.; Wu, G.; Wu, M. Insights into the physiology, biochemistry, and metabolic pathways of ethanol-resistant marine microalgae in phytoplankton. Algal Res. 2024, 81, 103580. [Google Scholar] [CrossRef]
- Gauthier, M.R.; Senhorinho, G.N.A.; Scott, J.A. Microalgae under environmental stress as a source of antioxidants. Algal Res. 2020, 52, 102104. [Google Scholar] [CrossRef]
- Xu, L.; Yong, H.; Tu, X.; Wang, Q.; Fan, J. Physiological and proteomic analysis of Nostoc flagelliforme in response to alkaline pH shift for polysaccharide accumulation. Algal Res. 2019, 39, 101444. [Google Scholar] [CrossRef]
- César, P.; Eduardo, F.; Francisca, F.; Francisco, L. Acclimation of photosynthetic pigments and photosynthesis of the cyanobacterium Nostoc sp. strain UAM 206 to combined fluctuations of irradiance, pH, and inorganic carbon availability. J. Plant Physiol. 2001, 158, 1455–1461. [Google Scholar] [CrossRef]
- Tan, L.; Xu, W.; He, X.; Wang, J. The feasibility of Fv/Fm on judging nutrient limitation of marine algae through indoor simulation and in situ experiment. Estuar. Coast. Shelf Sci. 2019, 229, 106411. [Google Scholar] [CrossRef]
- Afiukwa, C.A.; Ogbonna, J.C. Effects of mixed substrates on growth and vitamin production by Euglena gracilis. Afr. J. Biotechnol. 2007, 6, 2612–2615. [Google Scholar] [CrossRef]






| Treatment Group | Sample Size (Number) | Average Aspect Ratio | Standard Deviation | The Difference with CK (p Value) | Median |
|---|---|---|---|---|---|
| CK | 50 | 2.513 | 0.340 | —— | 2.288 |
| Glucose | 50 | 3.697 | 0.729 | p < 0.01 | 3.606 |
| Sodium acetate | 50 | 1.541 | 0.341 | p < 0.01 | 1.168 |
| Ethanol | 50 | 4.224 | 1.104 | p < 0.01 | 4.367 |
| Propanetriol | 50 | 3.593 | 0.975 | p < 0.05 | 3.287 |
Disclaimer/Publisher’s Note: The statements, opinions and data contained in all publications are solely those of the individual author(s) and contributor(s) and not of MDPI and/or the editor(s). MDPI and/or the editor(s) disclaim responsibility for any injury to people or property resulting from any ideas, methods, instructions or products referred to in the content. |
© 2025 by the authors. Licensee MDPI, Basel, Switzerland. This article is an open access article distributed under the terms and conditions of the Creative Commons Attribution (CC BY) license (https://creativecommons.org/licenses/by/4.0/).
Share and Cite
Xiao, X.; He, R.; Guo, X.; Zhao, X.; Yang, Z.; Yin, Y.; Wakisaka, M.; Zhu, J. Strategic Carbon Source Selection Enhances Biomass and Paramylon Yields in Mixotrophic Euglena gracilis Cultivation. Microorganisms 2025, 13, 2339. https://doi.org/10.3390/microorganisms13102339
Xiao X, He R, Guo X, Zhao X, Yang Z, Yin Y, Wakisaka M, Zhu J. Strategic Carbon Source Selection Enhances Biomass and Paramylon Yields in Mixotrophic Euglena gracilis Cultivation. Microorganisms. 2025; 13(10):2339. https://doi.org/10.3390/microorganisms13102339
Chicago/Turabian StyleXiao, Xue, Rui He, Xinyue Guo, Xinxin Zhao, Zhengfei Yang, Yongqi Yin, Minato Wakisaka, and Jiangyu Zhu. 2025. "Strategic Carbon Source Selection Enhances Biomass and Paramylon Yields in Mixotrophic Euglena gracilis Cultivation" Microorganisms 13, no. 10: 2339. https://doi.org/10.3390/microorganisms13102339
APA StyleXiao, X., He, R., Guo, X., Zhao, X., Yang, Z., Yin, Y., Wakisaka, M., & Zhu, J. (2025). Strategic Carbon Source Selection Enhances Biomass and Paramylon Yields in Mixotrophic Euglena gracilis Cultivation. Microorganisms, 13(10), 2339. https://doi.org/10.3390/microorganisms13102339

