Evaluation of Bacillus velezensis F9 for Cucumber Growth Promotion and Suppression of Fusarium wilt Disease
Abstract
1. Introduction
2. Materials and Methods
2.1. Fungal Pathogens, Biocontrol Strains and Plants
2.2. Plant Growth Promotion (PGP) Traits Evaluation
2.2.1. Indole-3-Acetic Acid Production
2.2.2. Siderophore Production
2.2.3. Potassium Solubilization
2.2.4. Biological Nitrogen Fixation
2.3. Biofilm Formation
2.4. Molecular Identification of Functional Bacteria
2.5. Effects of Bacterial Seed Treatment on the Growth of Cucumber Plants
2.6. The Biocontrol Efficacy of Strain F9 against Cucumber Wilt Disease in Pot and Plot Experiments
2.7. Measurement of Defense Enzyme Activities in Cucumber Leaves in Plots
2.8. Measurement of Soil Enzyme Activities in Plots
2.9. Statistical Analyses
3. Results
3.1. Evaluation of the Antagonistic and Plant Growth-Promoting Characteristics of Strain F9
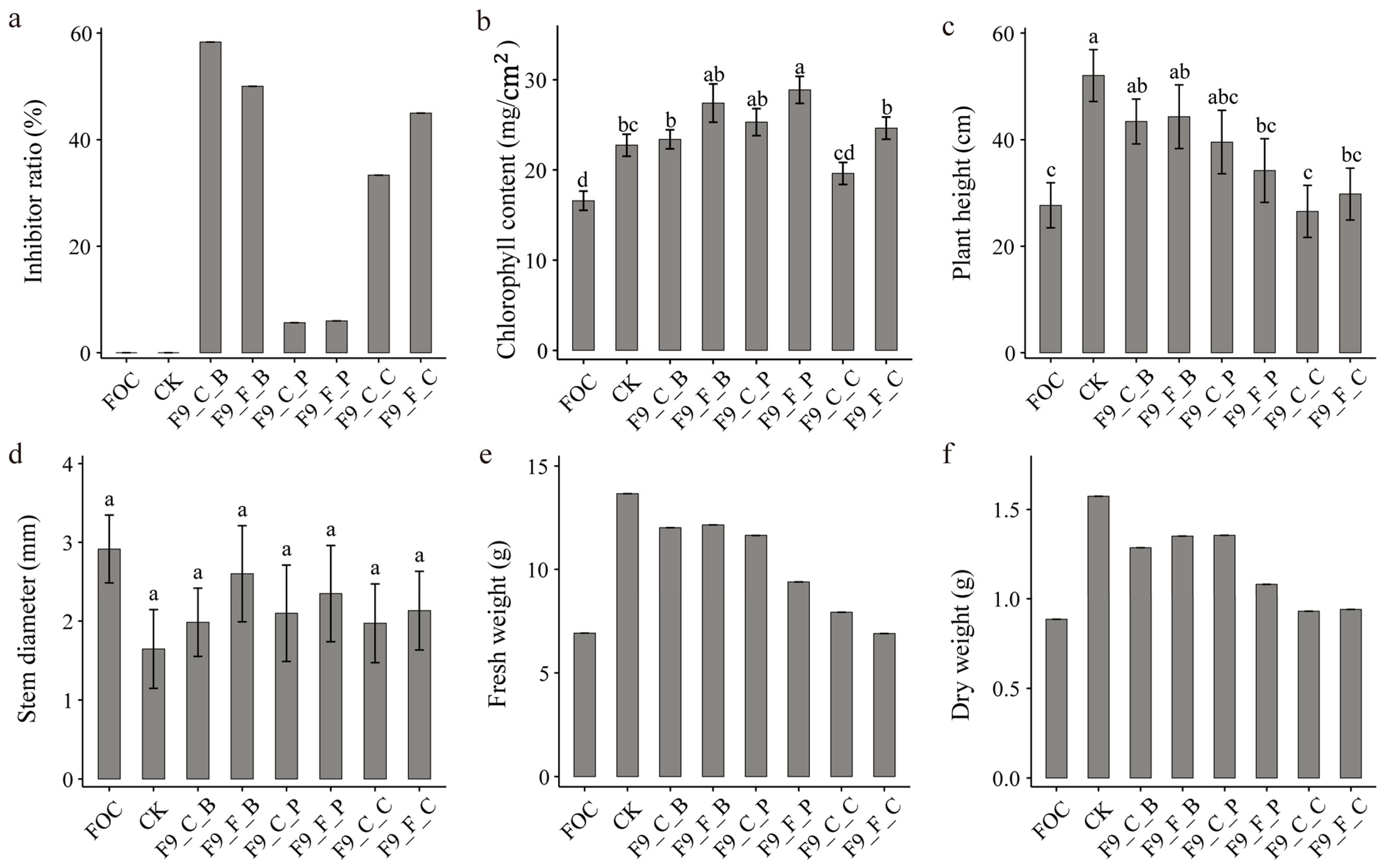
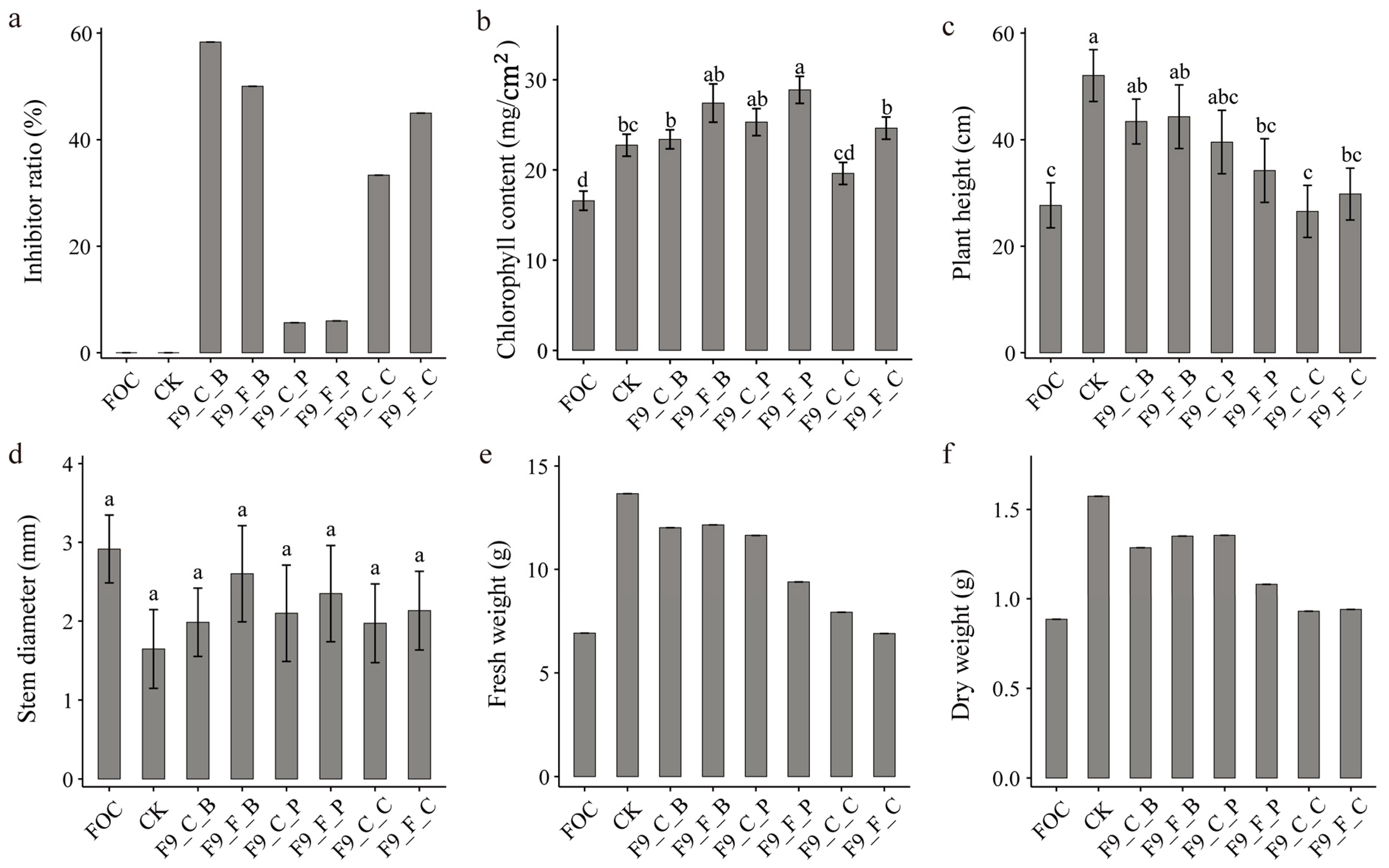
3.2. Growth Promotion Efficiency of Strain F9 on Cucumber In Vitro
3.3. Biocontrol Efficiency of Strain F9 on Cucumber Fusarium Wilt in Pots
3.4. Biocontrol Efficiency of Strain F9 on Cucumber Fusarium Wilt in Plots
3.5. Correlation Analysis
4. Discussion
Author Contributions
Funding
Data Availability Statement
Conflicts of Interest
References
- Huang, S.; Li, R.; Zhang, Z.; Li, L.; Gu, X.; Fan, W.; Lucas, W.J.; Wang, X.; Xie, B.; Ni, P.; et al. The genome of the cucumber, Cucumis sativus L. Nat. Genet. 2009, 41, 1275–1281. [Google Scholar] [CrossRef] [PubMed]
- Liu, Z.; Fan, C.; Xiao, J.; Sun, S.; Gao, T.; Zhu, B.; Zhang, D. Metabolomic and transcriptome analysis of the inhibitory effects of Bacillus subtilis strain Z-14 against Fusarium oxysporum causing Vascular Wilt diseases in cucumber. J. Agric. Food Chem. 2023, 71, 2644–2657. [Google Scholar] [CrossRef] [PubMed]
- Cao, M.; Li, S.; Deng, Q.; Wang, H.; Yang, R. Identification of a major-effect QTL associated with pre-harvest sprouting in cucumber (Cucumis sativus L.) using the QTL-seq method. BMC Genom. 2021, 22, 249. [Google Scholar] [CrossRef]
- Xu, J.; Zhang, N.; Wang, K.; Xian, Q.; Dong, J.; Qi, X.; Chen, X. Chitinase Chi 2 positively regulates cucumber resistance against Fusarium oxysporum f. sp. cucumerinum. Genes 2022, 13, 62. [Google Scholar] [CrossRef]
- Wang, X.; Wang, C.; Li, Q.; Zhang, J.; Ji, C.; Sui, J.; Liu, Z.; Song, X.; Liu, X. Isolation and characterization of antagonistic bacteria with the potential for biocontrol of soil-borne wheat diseases. J. Appl. Microbiol. 2018, 125, 1868–1880. [Google Scholar] [CrossRef]
- Han, S.; Chen, J.; Zhao, Y.; Cai, H.; Guo, C. Bacillus subtilis HSY21 can reduce soybean root rot and inhibit the expression of genes related to the pathogenicity of Fusarium oxysporum. Pestic. Biochem. Physiol. 2021, 178, 104916. [Google Scholar] [CrossRef]
- Liu, Z.; Zhang, J.; Fan, C.; Sun, S.; An, X.; Sun, Y.; Gao, T.; Zhang, D. Influence of Bacillus subtilis strain Z-14 on microbial ecology of cucumber rhizospheric vermiculite infested with Fusarium oxysporum f. sp. cucumerinum. Pestic. Biochem. Physiol. 2024, 201, 105875. [Google Scholar] [CrossRef] [PubMed]
- Li, L.; Ma, J.; Li, Y.; Wang, Z.; Gao, T.; Wang, Q. Screening and partial characterization of Bacillus with potential applications in biocontrol of cucumber Fusarium wilt. Crop Prot. 2012, 35, 29–35. [Google Scholar] [CrossRef]
- Xu, W.; Yang, Q.; Yang, F.; Xie, X.; Goodwin, P.H.; Deng, X.; Tian, B.; Yang, L. Evaluation and genome analysis of Bacillus subtilis YB-04 as a potential biocontrol agent against Fusarium Wilt and growth promotion agent of cucumber. Front. Microbiol. 2022, 13, 885430. [Google Scholar] [CrossRef]
- Wang, H.; Cai, X.-Y.; Xu, M.; Tian, F. Enhanced biocontrol of cucumber Fusarium Wilt by combined application of new antagonistic bacteria Bacillus amyloliquefaciens B2 and phenolic acid-degrading fungus Pleurotus ostreatus P5. Front. Microbiol. 2021, 12, 700142. [Google Scholar] [CrossRef]
- Han, L.; Wang, Z.; Li, N.; Wang, Y.; Feng, J.; Zhang, X. Bacillus amyloliquefaciens B1408 suppresses Fusarium wilt in cucumber by regulating the rhizosphere microbial community. Appl. Soil Ecol. 2019, 136, 55–66. [Google Scholar] [CrossRef]
- Shao, J.; Xu, Z.; Zhang, N.; Shen, Q.; Zhang, R. Contribution of indole-3-acetic acid in the plant growth promotion by the rhizospheric strain Bacillus amyloliquefaciens SQR9. Biol. Fertil. Soils 2015, 51, 321–330. [Google Scholar] [CrossRef]
- Yang, F.; Jiang, H.; Ma, K.; Wang, X.; Liang, S.; Cai, Y.; Jing, Y.; Tian, B.; Shi, X. Genome sequencing and analysis of Bacillus velezensis VJH504 reveal biocontrol mechanism against cucumber Fusarium wilt. Front. Microbiol. 2023, 14, 1279695. [Google Scholar] [CrossRef] [PubMed]
- Luo, W.; Liu, L.; Qi, G.; Yang, F.; Shi, X.; Zhao, X. Embedding Bacillus velezensis NH-1 in microcapsules for biocontrol of cucumber Fusarium Wilt. Appl. Environ. Microbiol. 2019, 85, e03128-18. [Google Scholar] [CrossRef]
- Xue, J.; Tong, T.; Wang, R.; Qiu, Y.; Gu, Y.; Sun, L.; Xu, H.; Lei, P. Secretion of poly-γ-glutamic acid by Bacillus atrophaeus NX-12 enhanced its root colonization and biocontrol activity. Front. Microbiol. 2022, 13, 972393. [Google Scholar] [CrossRef]
- Zhou, L.; Wang, J.; Wu, F.; Yin, C.; Kim, K.H.; Zhang, Y. Termite nest associated Bacillus siamensis YC-9 mediated biocontrol of Fusarium oxysporum f. sp. cucumerinum. Front. Microbiol. 2022, 13, 893393. [Google Scholar] [CrossRef]
- Borah, A.; Thakur, D. Phylogenetic and functional characterization of culturable endophytic actinobacteria associated with Camellia spp. for growth promotion in commercial tea cultivars. Front. Microbiol. 2020, 11, 318. [Google Scholar] [CrossRef]
- Schwyn, B.; Neilands, J.B. Universal chemical assay for the detection and determination of siderophores. Anal. Biochem. 1987, 160, 47–56. [Google Scholar] [CrossRef]
- Sarikhani, M.R.; Oustan, S.; Ebrahimi, M.; Aliasgharzad, N. Isolation and identification of potassium-releasing bacteria in soil and assessment of their ability to release potassium for plants. Eur. J. Soil Sci. 2018, 69, 1078–1086. [Google Scholar] [CrossRef]
- Gao, M.; Yang, H.; Zhao, J.; Liu, J.; Sun, Y.-h.; Wang, Y.-j.; Sun, J.-g. Paenibacillus brassicae sp. nov., isolated from cabbage rhizosphere in Beijing, China. Antonie van Leeuwenhoek 2013, 103, 647–653. [Google Scholar] [CrossRef]
- Shemesh, M.; Chai, Y. A combination of glycerol and manganese promotes biofilm formation in Bacillus subtilis via histidine kinase kinD signaling. J. Bacteriol. 2013, 195, 2747–2754. [Google Scholar] [CrossRef] [PubMed]
- Meloni, D.A.; Oliva, M.A.; Martinez, C.A.; Cambraia, J. Photosynthesis and activity of superoxide dismutase, peroxidase and glutathione reductase in cotton under salt stress. Environ. Exp. Bot. 2003, 49, 69–76. [Google Scholar] [CrossRef]
- Berendsen, R.L.; Pieterse, C.M.J.; Bakker, P.A.H.M. The rhizosphere microbiome and plant health. Trends Plant Sci. 2012, 17, 478–486. [Google Scholar] [CrossRef]
- Jang, S.; Choi, S.-K.; Zhang, H.; Zhang, S.; Ryu, C.-M.; Kloepper, J.W. History of a model plant growth-promoting rhizobacterium, Bacillus velezensis GB03: From isolation to commercialization. Front. Plant Sci. 2023, 14, 1279896. [Google Scholar] [CrossRef] [PubMed]
- Palaniyandi, S.A.; Yang, S.H.; Zhang, L.; Suh, J.-W. Effects of actinobacteria on plant disease suppression and growth promotion. Appl. Microbiol. Biotechnol. 2013, 97, 9621–9636. [Google Scholar] [CrossRef]
- Sumi, C.D.; Yang, B.W.; Yeo, I.-C.; Hahm, Y.T. Antimicrobial peptides of the genus Bacillus: A new era for antibiotics. Can. J. Microbiol. 2015, 61, 93–103. [Google Scholar] [CrossRef] [PubMed]
- Su, T.; Shen, B.; Hu, X.; Teng, Y.; Weng, P.; Wu, Z.; Liu, L. Research advance of Bacillus velezensis: Bioinformatics, characteristics, and applications. Food Sci. Hum. Wellness 2024, 13, 1756–1766. [Google Scholar] [CrossRef]
- Wang, L.-T.; Lee, F.-L.; Tai, C.-J.; Kuo, H.-P. Bacillus velezensis is a later heterotypic synonym of Bacillus amyloliquefaciens. Int. J. Syst. Evol. Microbiol. 2008, 58, 671–675. [Google Scholar] [CrossRef]
- Top, E.M.; Springael, D. The role of mobile genetic elements in bacterial adaptation to xenobiotic organic compounds. Curr. Opin. Biotechnol. 2003, 14, 262–269. [Google Scholar] [CrossRef]
- Wang, D.; Xu, Z.; Zhang, G.; Xia, L.; Dong, X.; Li, Q.; Liles, M.R.; Shao, J.; Shen, Q.; Zhang, R. A genomic island in a plant beneficial rhizobacterium encodes novel antimicrobial fatty acids and a self-protection shield to enhance its competition. Environ. Microbiol. 2019, 21, 3455–3471. [Google Scholar] [CrossRef]
- Ruiz-García, C.; Béjar, V.; Martínez-Checa, F.; Llamas, I.; Quesada, E. Bacillus velezensis sp. nov., a surfactant-producing bacterium isolated from the river Vélez in Málaga, southern Spain. Int. J. Syst. Evol. Microbiol. 2005, 55, 191–195. [Google Scholar] [CrossRef] [PubMed]
- Tong, W.; Wang, H.; Li, J.; Zhang, L.; Huang, Z.; Yang, Y.; Qiao, Z.; Luo, H.; Huang, D. Strengthening the microbial community and flavor structure of jiupei by simulating strong-aroma baijiu fermentation with Bacillus velezensis DQA21. J. Sci. Food Agric. 2024, 104, 5338–5349. [Google Scholar] [CrossRef] [PubMed]
- He, G.; Dong, Y.; Huang, J.; Wang, X.; Zhang, S.; Wu, C.; Jin, Y.; Zhou, R. Alteration of microbial community for improving flavor character of Daqu by inoculation with Bacillus velezensis and Bacillus subtilis. LWT 2019, 111, 1–8. [Google Scholar] [CrossRef]
- Zhu La, A.L.T.; Wen, Q.; Xiao, Y.; Hu, D.; Liu, D.; Guo, Y.; Hu, Y. A New Bacillus velezensis strain CML532 improves chicken growth performance and reduces intestinal Clostridium perfringens colonization. Microorganisms 2024, 12, 771. [Google Scholar] [CrossRef]
- Yi, Y.; Zhang, Z.; Zhao, F.; Liu, H.; Yu, L.; Zha, J.; Wang, G. Probiotic potential of Bacillus velezensis JW: Antimicrobial activity against fish pathogenic bacteria and immune enhancement effects on Carassius auratus. Fish Shellfish Immunol. 2018, 78, 322–330. [Google Scholar] [CrossRef]
- Yin, J.; Wei, X.; Hu, F.; Cheng, C.; Zhuang, X.; Song, M.; Zhuang, G.; Wang, F.; Ma, A. Halotolerant Bacillus velezensis sustainably enhanced oil recovery of low permeability oil reservoirs by producing biosurfactant and modulating the oil microbiome. Chem. Eng. J. 2023, 453, 139912. [Google Scholar] [CrossRef]
- Sun, X.; Xu, Z.; Xie, J.; Hesselberg-Thomsen, V.; Tan, T.; Zheng, D.; Strube, M.L.; Dragoš, A.; Shen, Q.; Zhang, R.; et al. Bacillus velezensis stimulates resident rhizosphere Pseudomonas stutzeri for plant health through metabolic interactions. ISME J. 2022, 16, 774–787. [Google Scholar] [CrossRef]
- Myo, E.M.; Liu, B.; Ma, J.; Shi, L.; Jiang, M.; Zhang, K.; Ge, B. Evaluation of Bacillus velezensis NKG-2 for bio-control activities against fungal diseases and potential plant growth promotion. Biol. Control 2019, 134, 23–31. [Google Scholar] [CrossRef]
- Dhouib, H.; Zouari, I.; Ben Abdallah, D.; Belbahri, L.; Taktak, W.; Triki, M.A.; Tounsi, S. Potential of a novel endophytic Bacillus velezensis in tomato growth promotion and protection against Verticillium wilt disease. Biol. Control 2019, 139, 104092. [Google Scholar] [CrossRef]
- Bayisa, R.A. Enhancing resistance of against Alternaria sesami through Bacillus velezensis AR1. Pest Manag. Sci. 2020, 76, 3577–3586. [Google Scholar] [CrossRef]
- Huang, T.; Zhang, Y.; Yu, Z.; Zhuang, W.; Zeng, Z. Bacillus velezensis BV01 Has broad-spectrum biocontrol potential and the ability to promote plant growth. Microorganisms 2023, 11, 2627. [Google Scholar] [CrossRef] [PubMed]
- Qiu, M.; Zhang, R.; Xue, C.; Zhang, S.; Li, S.; Zhang, N.; Shen, Q. Application of bio-organic fertilizer can control Fusarium wilt of cucumber plants by regulating microbial community of rhizosphere soil. Biol. Fertil. Soils 2012, 48, 807–816. [Google Scholar] [CrossRef]
- Ye, M.; Tang, X.; Yang, R.; Zhang, H.; Li, F.; Tao, F.; Li, F.; Wang, Z. Characteristics and application of a novel species of Bacillus: Bacillus velezensis. ACS Chem. Biol. 2018, 13, 500–505. [Google Scholar] [CrossRef] [PubMed]
- Etesami, H.; Alikhani, H.A.; Hosseini, H.M. Indole-3-acetic acid (IAA) production trait, a useful screening to select endophytic and rhizosphere competent bacteria for rice growth promoting agents. MethodsX 2015, 2, 72–78. [Google Scholar] [CrossRef] [PubMed]
- Loaces, I.; Ferrando, L.; Fernández Scavino, A. Dynamics, diversity and function of endophytic siderophore-producing bacteria in rice. Microb. Ecol. 2011, 61, 606–618. [Google Scholar] [CrossRef]
- Gu, S.; Wei, Z.; Shao, Z.; Friman, V.-P.; Cao, K.; Yang, T.; Kramer, J.; Wang, X.; Li, M.; Mei, X.; et al. Competition for iron drives phytopathogen control by natural rhizosphere microbiomes. Nat. Microbiol. 2020, 5, 1002–1010. [Google Scholar] [CrossRef]
- Branda, S.S.; Vik, Å.; Friedman, L.; Kolter, R. Biofilms: The matrix revisited. Trends Microbiol. 2005, 13, 20–26. [Google Scholar] [CrossRef] [PubMed]
- Huang, L.; Li, Q.-C.; Hou, Y.; Li, G.-Q.; Yang, J.-Y.; Li, D.-W.; Ye, J.-R. Bacillus velezensis strain HYEB5-6 as a potential biocontrol agent against anthracnose on Euonymus japonicus. Biocontrol Sci. Technol. 2017, 27, 636–653. [Google Scholar] [CrossRef]
- Mohammadi, M.; Kazemi, H. Changes in peroxidase and polyphenol oxidase activities in susceptible and resistant wheat heads inoculated with Fusarium graminearum and induced resistance. Plant Sci. 2002, 162, 491–498. [Google Scholar] [CrossRef]
- Liu, N.; Lin, Z.; Guan, L.; Gaughan, G.; Lin, G. Antioxidant enzymes regulate reactive oxygen species during pod elongation in Pisum sativum and Brassica chinensis. PLoS ONE 2014, 9, e87588. [Google Scholar] [CrossRef]
- Gajera, H.P.; Katakpara, Z.A.; Patel, S.V.; Golakiya, B.A. Antioxidant defense response induced by Trichoderma viride against Aspergillus niger Van Tieghem causing collar rot in groundnut (Arachis hypogaea L.). Microb. Pathog. 2016, 91, 26–34. [Google Scholar] [CrossRef] [PubMed]
- Zhou, Y.; Yang, L.; Wang, J.; Guo, L.; Huang, J. Synergistic Effect between Trichoderma virens and Bacillus velezensis on the control of tomato bacterial wilt disease. Horticulturae 2021, 7, 439. [Google Scholar] [CrossRef]









| Strain | F9 | ||
|---|---|---|---|
| Name | Fungi Semi-Diameter (cm) | Inhibitory Rate (%) | Zone Width (cm) |
| R. solani | 1.51 ± 0.04 | 66.39 ± 0.79 | 0.35 ± 0.05 |
| S. sclerotiorum | 0.49 ± 0.23 | 88.18 ± 5.53 | 1.33 ± 0.63 |
| B. cinerea | 0.53 ± 0.1 | 85.24 ± 2.87 | 1.08 ± 0.35 |
| G. graminsis | 0.69 ± 0.15 | 82.03 ± 4.00 | 0.77 ± 0.22 |
| A. alternate | 1.06 ± 0.07 | 66.80 ± 2.17 | 0.61 ± 0.29 |
| B. berengeriana | 1.3 ± 0.08 | 66.55 ± 2.04 | 0.66 ± 0.17 |
| F. oxysporum f. sp. niveum | 1.48 ± 0.12 | 62.66 ± 2.95 | 0.30 ± 0.10 |
| F. oxysporum f. sp. cucumerinum | 1.36 ± 0.15 | 64.07 ± 3.84 | 0.35 ± 0.20 |
| Strain | IAA (µg/mL) | Siderophore (mm) | Nitrogen Fixation | Dissolved Organic Phosphorus | Decomposing Potassium |
|---|---|---|---|---|---|
| F9 | 5.97 ± 1.75 | 2 | + | − | − |
| Treatment | IR (%) | Plant Height (cm) | Stem Diameter (mm) | Fresh Weight (g) | Dry Weight (g) |
|---|---|---|---|---|---|
| FOC | - | 144.62 ± 66.36 b | 6.01 ± 0.73 a | 73.97 ± 60.13 b | 9.97 ± 5.67 b |
| F9-FOC | 44.95 | 257.56 ± 68.55 a | 6.05 ± 0.9 a | 146.45 ± 82.34 a | 15.64 ± 6.46 a |
| CK | - | 226.43 ± 74.49 a | 5.91 ± 0.87 a | 147.97 ± 76.49 a | 13.8 ± 6.55 ab |
| Treatment | IR (%) | Plant Height (cm) | Stem Diameter (mm) | Fresh Weight (g) | Dry Weight (g) |
|---|---|---|---|---|---|
| FOC | - | 38.29 ± 7.78 b | 3.39 ± 0.24 b | 3.38 ± 0.27 b | 7.49 ± 3.07 b |
| F9-FOC | 33.99 | 87.59 ± 63.02 a | 4.41 ± 1.42 a | 4.43 ± 1.32 a | 28.41 ± 30.32 a |
| CK | - | 120.39 ± 33.09 a | 4.19 ± 0.81 ab | 4.19 ± 0.81 a | 42.7 ± 17.64 a |
| Treatment | Central Phosphatase (U/g) | Sucrase (U/g) | Urease (U/g) |
|---|---|---|---|
| CK | 2.19 ± 0.75 a | 18.23 ± 4.46 a | 0.08 ± 0.01 a |
| FOC | 2.11 ± 0.87 a | 18.95 ± 6.29 a | 0.08 ± 0.01 a |
| F9_FOC | 2.58 ± 0.88 a | 17.38 ± 4.78 a | 0.09 ± 0.01 a |
| Time | Treatment | SOD (U/g) | POD (U/g) |
|---|---|---|---|
| 2021.06 | CK | 2.06 ± 0.30 a | 16,366.00 ± 14,088.36 b |
| F9_FOC | 2.13 ± 0.28 a | 15,127.64 ± 8515.44 b | |
| FOC | 1.94 ± 0.12 a | 26,575.29 ± 9369.72 a | |
| 2021.07 | CK | 1.98 ± 0.32 a | 30,426.77 ± 21,226.04 a |
| F9_FOC | 2.08 ± 0.26 a | 18,106.94 ± 8853.32 b | |
| FOC | 1.96 ± 0.09 a | 32,085.20 ± 16,453.86 a |
Disclaimer/Publisher’s Note: The statements, opinions and data contained in all publications are solely those of the individual author(s) and contributor(s) and not of MDPI and/or the editor(s). MDPI and/or the editor(s) disclaim responsibility for any injury to people or property resulting from any ideas, methods, instructions or products referred to in the content. |
© 2024 by the authors. Licensee MDPI, Basel, Switzerland. This article is an open access article distributed under the terms and conditions of the Creative Commons Attribution (CC BY) license (https://creativecommons.org/licenses/by/4.0/).
Share and Cite
Ta, Y.; Fu, S.; Liu, H.; Zhang, C.; He, M.; Yu, H.; Ren, Y.; Han, Y.; Hu, W.; Yan, Z.; et al. Evaluation of Bacillus velezensis F9 for Cucumber Growth Promotion and Suppression of Fusarium wilt Disease. Microorganisms 2024, 12, 1882. https://doi.org/10.3390/microorganisms12091882
Ta Y, Fu S, Liu H, Zhang C, He M, Yu H, Ren Y, Han Y, Hu W, Yan Z, et al. Evaluation of Bacillus velezensis F9 for Cucumber Growth Promotion and Suppression of Fusarium wilt Disease. Microorganisms. 2024; 12(9):1882. https://doi.org/10.3390/microorganisms12091882
Chicago/Turabian StyleTa, Yongquan, Shaowei Fu, Hui Liu, Caiyun Zhang, Mengru He, Hang Yu, Yihua Ren, Yunfei Han, Wenqiong Hu, Zhiqiang Yan, and et al. 2024. "Evaluation of Bacillus velezensis F9 for Cucumber Growth Promotion and Suppression of Fusarium wilt Disease" Microorganisms 12, no. 9: 1882. https://doi.org/10.3390/microorganisms12091882
APA StyleTa, Y., Fu, S., Liu, H., Zhang, C., He, M., Yu, H., Ren, Y., Han, Y., Hu, W., Yan, Z., & Wang, Y. (2024). Evaluation of Bacillus velezensis F9 for Cucumber Growth Promotion and Suppression of Fusarium wilt Disease. Microorganisms, 12(9), 1882. https://doi.org/10.3390/microorganisms12091882

