SARS-CoV-2 Molecular Evolution: A Focus on Omicron Variants in Umbria, Italy
Abstract
1. Introduction
2. Materials and Methods
2.1. Sample Collection
2.2. Sequencing
2.3. Sequence Analysis
2.4. Data Sharing and Analysis
2.5. Statistical Analysis
3. Results
3.1. Demographic Data
3.2. Vaccination Doses in Patients Admitted to the ICU and Immunocompromised Patients
3.3. Prevalence of SARS-CoV-2 in Umbria vs. Italy
3.4. Phylogenetic Evolution of Omicron Lineages over Time
3.5. SARS-CoV-2 Lineages Detected in Umbria from 2022 to 2023
3.5.1. SARS-CoV-2 Variant Dynamics during the Study Period
3.5.2. Evolution of BA.2 Sublineages
3.5.3. Prevalence of Recombinant Lineages
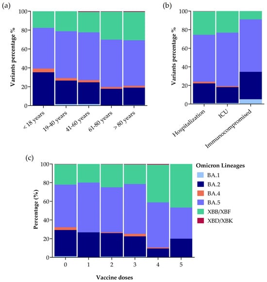
3.6. The Prevalence of Omicron Lineages in Different Patient Groups
4. Discussion
Author Contributions
Funding
Institutional Review Board Statement
Data Availability Statement
Acknowledgments
Conflicts of Interest
References
- WHO Coronavirus (COVID-19) Dashboard. Available online: https://covid19.who.int (accessed on 4 September 2023).
- Choi, J.Y.; Smith, D.M. SARS-CoV-2 Variants of Concern. Yonsei Med. J. 2021, 62, 961–968. [Google Scholar] [CrossRef] [PubMed]
- Classification of Omicron (B.1.1.529): SARS-CoV-2 Variant of Concern. Available online: https://www.who.int/news/item/26-11-2021-classification-of-omicron-(b.1.1.529)-sars-cov-2-variant-of-concern (accessed on 15 January 2024).
- CDC Coronavirus Disease 2019 (COVID-19). Available online: https://www.cdc.gov/coronavirus/2019-ncov/variants/variant-classifications.html (accessed on 22 January 2024).
- Chatterjee, S.; Bhattacharya, M.; Nag, S.; Dhama, K.; Chakraborty, C. A Detailed Overview of SARS-CoV-2 Omicron: Its Sub-Variants, Mutations and Pathophysiology, Clinical Characteristics, Immunological Landscape, Immune Escape, and Therapies. Viruses 2023, 15, 167. [Google Scholar] [CrossRef] [PubMed]
- Markov, P.V.; Ghafari, M.; Beer, M.; Lythgoe, K.; Simmonds, P.; Stilianakis, N.I.; Katzourakis, A. The Evolution of SARS-CoV-2. Nat. Rev. Microbiol. 2023, 21, 361–379. [Google Scholar] [CrossRef] [PubMed]
- Naqvi, A.A.T.; Fatima, K.; Mohammad, T.; Fatima, U.; Singh, I.K.; Singh, A.; Atif, S.M.; Hariprasad, G.; Hasan, G.M.; Hassan, M.I. Insights into SARS-CoV-2 Genome, Structure, Evolution, Pathogenesis and Therapies: Structural Genomics Approach. Biochim. Biophys. Acta Mol. Basis Dis. 2020, 1866, 165878. [Google Scholar] [CrossRef] [PubMed]
- IRIDA-ARIES. Available online: https://irida.iss.it/ (accessed on 24 January 2024).
- I Primi Due Casi Confermati in Italia. Available online: https://www.iss.it/covid-19-primo-piano/-/asset_publisher/yX1afjCDBkWH/content/i-primi-due-casi-confermati-in-italia (accessed on 17 January 2024).
- Qing, E.; Gallagher, T. Adaptive Variations in SARS-CoV-2 Spike Proteins: Effects on Distinct Virus-Cell Entry Stages. mBio 2023, 14, e00171-23. [Google Scholar] [CrossRef] [PubMed]
- Perez-Gomez, R. The Development of SARS-CoV-2 Variants: The Gene Makes the Disease. J. Dev. Biol. 2021, 9, 58. [Google Scholar] [CrossRef] [PubMed]
- Nextclade. Available online: https://clades.nextstrain.org (accessed on 22 January 2024).
- Aksamentov, I.; Roemer, C.; Hodcroft, E.; Neher, R. Nextclade: Clade Assignment, Mutation Calling and Quality Control for Viral Genomes. J. Open Source Softw. 2021, 6, 3773. [Google Scholar] [CrossRef]
- GISAID Initiative. Available online: https://www.epicov.org/epi3/frontend#3e5f1e (accessed on 25 January 2024).
- Rito, T.; Fernandes, P.; Duarte, R.; Soares, P. Evaluating Data Sharing of SARS-CoV-2 Genomes for Molecular Epidemiology across the COVID-19 Pandemic. Viruses 2023, 15, 560. [Google Scholar] [CrossRef] [PubMed]
- Come Funziona il Monitoraggio delle Varianti in Italia? Available online: https://www.iss.it/cov19-faq-varianti/-/asset_publisher/yJS4xO2fauqM/content/come-funziona-il-monitoraggio-delle-varianti-in-italia-1 (accessed on 6 February 2024).
- SARS-CoV-2 V4.1 Update for Omicron Variant—Laboratory. Available online: https://community.artic.network/t/sars-cov-2-v4-1-update-for-omicron-variant/342 (accessed on 6 February 2024).
- COG-UK. Available online: https://pangolin.cog-uk.io/ (accessed on 25 January 2024).
- Italia. Available online: https://prolea.shinyapps.io/covid19aie/ (accessed on 18 January 2024).
- EpiCentro Sorveglianza Integrata COVID-19: I Principali Dati Nazionali. Available online: https://www.epicentro.iss.it/coronavirus/sars-cov-2-sorveglianza-dati (accessed on 9 February 2024).
- First Adapted COVID-19 Booster Vaccines Recommended for Approval in the EU | European Medicines Agency. Available online: https://www.ema.europa.eu/en/news/first-adapted-covid-19-booster-vaccines-recommended-approval-eu (accessed on 9 February 2024).
- Salute, M. Della Covid-19—Situazione in Italia. Available online: https://www.salute.gov.it/portale/nuovocoronavirus/dettaglioContenutiNuovoCoronavirus.jsp?lingua=italiano&id=5351&area=nuovoCoronavirus&menu=vuoto (accessed on 25 January 2024).
- Andrews, N.; Stowe, J.; Kirsebom, F.; Toffa, S.; Rickeard, T.; Gallagher, E.; Gower, C.; Kall, M.; Groves, N.; O’Connell, A.-M.; et al. Covid-19 Vaccine Effectiveness against the Omicron (B.1.1.529) Variant. N. Engl. J. Med. 2022, 386, 1532–1546. [Google Scholar] [CrossRef]
- EMA and ECDC Statement on Updating COVID-19 Vaccines to Target New SARS-CoV-2 Virus Variants | European Medicines Agency. Available online: https://www.ema.europa.eu/en/news/ema-and-ecdc-statement-updating-covid-19-vaccines-target-new-sars-cov-2-virus-variants (accessed on 25 January 2024).
- Indicatori Demografici. Available online: http://dati.istat.it/Index.aspx?DataSetCode=DCIS_INDDEMOG1 (accessed on 12 February 2024).
- Dhama, K.; Nainu, F.; Frediansyah, A.; Yatoo, M.I.; Mohapatra, R.K.; Chakraborty, S.; Zhou, H.; Islam, M.R.; Mamada, S.S.; Kusuma, H.I.; et al. Global Emerging Omicron Variant of SARS-CoV-2: Impacts, Challenges and Strategies. J. Infect. Public Health 2023, 16, 4–14. [Google Scholar] [CrossRef] [PubMed]
- Wang, Q.; Iketani, S.; Li, Z.; Liu, L.; Guo, Y.; Huang, Y.; Bowen, A.D.; Liu, M.; Wang, M.; Yu, J.; et al. Alarming Antibody Evasion Properties of Rising SARS-CoV-2 BQ and XBB Subvariants. Cell 2023, 186, 279–286.e8. [Google Scholar] [CrossRef] [PubMed]
- Mencacci, A.; Gili, A.; Camilloni, B.; Bicchieraro, G.; Spaccapelo, R.; Bietta, C.; Stracci, F. Immediate Reinfection with Omicron Variant after Clearance of a Previous SARS-CoV-2 Infection. J. Infect. Public Health 2022, 15, 983–985. [Google Scholar] [CrossRef]
- Carabelli, A.M.; Peacock, T.P.; Thorne, L.G.; Harvey, W.T.; Hughes, J.; de Silva, T.I.; Peacock, S.J.; Barclay, W.S.; de Silva, T.I.; Towers, G.J.; et al. SARS-CoV-2 Variant Biology: Immune Escape, Transmission and Fitness. Nat. Rev. Microbiol. 2023, 21, 162–177. [Google Scholar] [CrossRef] [PubMed]
- Lasrado, N.; Collier, A.Y.; Hachmann, N.P.; Miller, J.; Rowe, M.; Schonberg, E.D.; Rodrigues, S.L.; LaPiana, A.; Patio, R.C.; Anand, T.; et al. Neutralization Escape by SARS-CoV-2 Omicron Subvariant BA.2.86. Vaccine 2023, 41, 6904–6909. [Google Scholar] [CrossRef] [PubMed]
- Wang, Q.; Guo, Y.; Liu, L.; Schwanz, L.T.; Li, Z.; Nair, M.S.; Ho, J.; Zhang, R.M.; Iketani, S.; Yu, J.; et al. Antigenicity and Receptor Affinity of SARS-CoV-2 BA.2.86 Spike. Nature 2023, 624, 639–644. [Google Scholar] [CrossRef]
- Yahav, D.; Yelin, D.; Eckerle, I.; Eberhardt, C.S.; Wang, J.; Cao, B.; Kaiser, L. Definitions for Coronavirus Disease 2019 Reinfection, Relapse and PCR Re-Positivity. Clin. Microbiol. Infect. 2021, 27, 315–318. [Google Scholar] [CrossRef] [PubMed]
- Choi, B.; Choudhary, M.C.; Regan, J.; Sparks, J.A.; Padera, R.F.; Qiu, X.; Solomon, I.H.; Kuo, H.-H.; Boucau, J.; Bowman, K.; et al. Persistence and Evolution of SARS-CoV-2 in an Immunocompromised Host. N. Engl. J. Med. 2020, 383, 2291–2293. [Google Scholar] [CrossRef]
- Schiaroli, E.; Gidari, A.; Brachelente, G.; Bicchieraro, G.; Spaccapelo, R.; Bastianelli, S.; Pierucci, S.; Busti, C.; Pallotto, C.; Malincarne, L.; et al. Impaired Neutralizing Antibody Efficacy of Tixagevimab-Cilgavimab 150+150 Mg as Pre-Exposure Prophylaxis against Omicron BA.5. A Real-World Experience in Booster Vaccinated Immunocompromised Patients. J. Clin. Virol. 2023, 168, 105584. [Google Scholar] [CrossRef] [PubMed]
- Igari, H.; Sakao, S.; Ishige, T.; Saito, K.; Murata, S.; Yahaba, M.; Taniguchi, T.; Suganami, A.; Matsushita, K.; Tamura, Y.; et al. Dynamic Diversity of SARS-CoV-2 Genetic Mutations in a Lung Transplantation Patient with Persistent COVID-19. Nat. Commun. 2024, 15, 3604. [Google Scholar] [CrossRef] [PubMed]
- Tang, D.; Comish, P.; Kang, R. The Hallmarks of COVID-19 Disease. PLoS Pathog. 2020, 16, e1008536. [Google Scholar] [CrossRef] [PubMed]






| Total (n = 3300) | Patient Samples per Year | |||
|---|---|---|---|---|
| 2022 (n = 1798) | 2023 (n = 1502) | |||
| Sex | Male | 1571 | 828 | 743 |
| Female | 1729 | 970 | 759 | |
| Province | Perugia | 2430 | 1364 | 1066 |
| Terni | 870 | 434 | 436 | |
| Age group | ≤18 | 153 | 113 | 40 |
| 19–40 | 268 | 169 | 99 | |
| 41–60 | 567 | 357 | 210 | |
| 61–80 | 1062 | 537 | 525 | |
| >80 | 1250 | 622 | 628 | |
| Reason for genotyping | ICU | 99 | 53 | 46 |
| Hospitalization | 741 | 425 | 316 | |
| Immunocompromised | 78 | 59 | 19 | |
| Reinfection | 115 | 65 | 50 | |
| Random choice | 2267 | 1196 | 1071 | |
| Vaccine doses at time of infection | 0 | 329 | 207 | 122 |
| 1 | 30 | 19 | 11 | |
| 2 | 259 | 154 | 105 | |
| 3 | 1850 | 1180 | 670 | |
| 4 | 571 | 177 | 394 | |
| 5 | 15 | 0 | 15 | |
| Unknown | 246 | 61 | 185 | |
| ICU (n = 99) | Immunocompromised (n = 78) | Hospitalized (Severe COVID-19 Symptoms) (n = 588) | ||
|---|---|---|---|---|
| Sex | Male | 49 | 47 | 309 |
| Female | 50 | 31 | 279 | |
| Vaccine doses at time of infection | 0 | 16 | 3 | 54 |
| 1 | 1 | 0 | 7 | |
| 2 | 5 | 4 | 48 | |
| 3 | 52 | 47 | 377 | |
| 4 | 22 | 16 | 96 | |
| 5 | 0 | 2 | 4 | |
| Unknown | 3 | 6 | 0 | |
| Mean age (range) | 77.5 (12–99) | 70.3 (29–92) | 77.7 (0–100) | |
| Average number of days between last dose of vaccine and infection (range) | 347.0 (52–746) | 260.8 (31–729) | 313.6 (24–728) | |
Disclaimer/Publisher’s Note: The statements, opinions and data contained in all publications are solely those of the individual author(s) and contributor(s) and not of MDPI and/or the editor(s). MDPI and/or the editor(s) disclaim responsibility for any injury to people or property resulting from any ideas, methods, instructions or products referred to in the content. |
© 2024 by the authors. Licensee MDPI, Basel, Switzerland. This article is an open access article distributed under the terms and conditions of the Creative Commons Attribution (CC BY) license (https://creativecommons.org/licenses/by/4.0/).
Share and Cite
Bicchieraro, G.; Ciurnelli, R.; Graziani, A.; Wong, A.Y.W.; Camilloni, B.; Mencacci, A.; Spaccapelo, R. SARS-CoV-2 Molecular Evolution: A Focus on Omicron Variants in Umbria, Italy. Microorganisms 2024, 12, 1330. https://doi.org/10.3390/microorganisms12071330
Bicchieraro G, Ciurnelli R, Graziani A, Wong AYW, Camilloni B, Mencacci A, Spaccapelo R. SARS-CoV-2 Molecular Evolution: A Focus on Omicron Variants in Umbria, Italy. Microorganisms. 2024; 12(7):1330. https://doi.org/10.3390/microorganisms12071330
Chicago/Turabian StyleBicchieraro, Giulia, Raffaella Ciurnelli, Alessandro Graziani, Alicia Yoke Wei Wong, Barbara Camilloni, Antonella Mencacci, and Roberta Spaccapelo. 2024. "SARS-CoV-2 Molecular Evolution: A Focus on Omicron Variants in Umbria, Italy" Microorganisms 12, no. 7: 1330. https://doi.org/10.3390/microorganisms12071330
APA StyleBicchieraro, G., Ciurnelli, R., Graziani, A., Wong, A. Y. W., Camilloni, B., Mencacci, A., & Spaccapelo, R. (2024). SARS-CoV-2 Molecular Evolution: A Focus on Omicron Variants in Umbria, Italy. Microorganisms, 12(7), 1330. https://doi.org/10.3390/microorganisms12071330

