Specific Mycobacterium tuberculosis Strain Circulating in Prison Revealed by Cost-Effective Amplicon Sequencing
Abstract
1. Introduction
2. Materials and Methods
2.1. Samples
2.2. Multiplex Amplification
2.3. Library Construction and Sequencing
2.4. Bioinformatics Analysis
3. Results
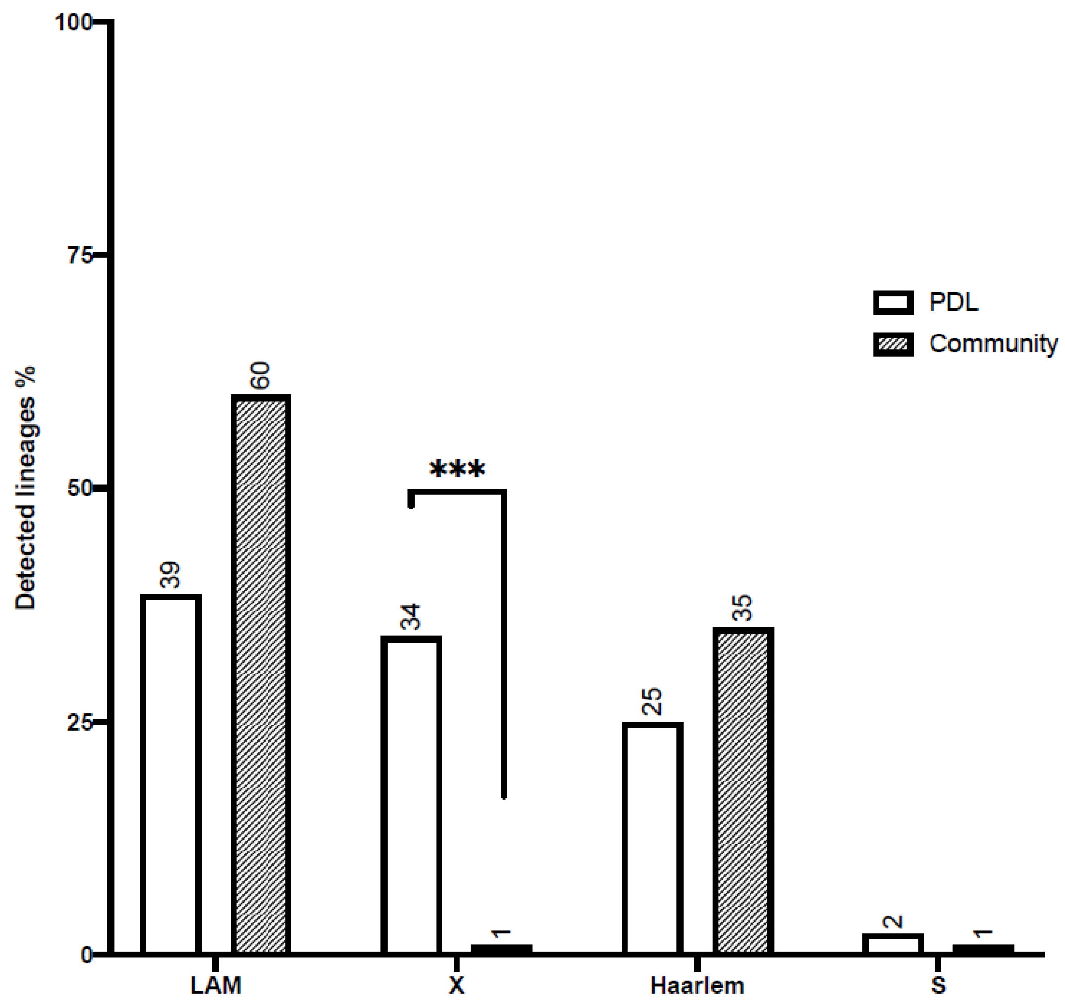
3.1. Circulating Lineages among PDL
3.2. Drug Resistant Profile
4. Discussion
Supplementary Materials
Author Contributions
Funding
Data Availability Statement
Conflicts of Interest
References
- Charalambous, S.; Velen, K.; Rueda, Z.; Croda, J.; Herce, M.E.; Shenoi, S.V.; Altice, F.L.; Muyoyeta, M.; Telisinghe, L.; Grandjean, L.; et al. Scaling up evidence-based approaches to tuberculosis screening in prisons. Lancet Public. Health 2023, 8, e305–e310. [Google Scholar] [CrossRef] [PubMed]
 - Walter, K.S.; Martinez, L.; Arakaki-Sanchez, D.; Sequera, V.G.; Sanabria, G.E.; Cohen, T.; Ko, A.I.; García-Basteiro, A.L.; Rueda, Z.V.; López-Olarte, R.A.; et al. The escalating tuberculosis crisis in central and South American prisons. Lancet 2021, 397, 1591–1596. [Google Scholar] [CrossRef] [PubMed]
 - WHO. Status Paper on Prisons and Tuberculosis; World Health Organization: Copenhagen, Denmark, 2007. [Google Scholar]
 - Salazar-De La Cuba, A.L.; Ardiles-Paredes, D.F.; Araujo-Castillo, R.V.; Maguiña, J.L. High prevalence of self-reported tuberculosis and associated factors in a nation-wide census among prison inmates in Peru. Trop. Med. Int. Health 2018, 24, 328–338. [Google Scholar] [CrossRef] [PubMed]
 - Abascal, E.; Herranz, M.; Acosta, F.; Agapito, J.; Cabibbe, A.M.; Monteserin, J.; Serrano, M.J.R.; Gijón, P.; Fernández-González, F.; Lozano, N.; et al. Screening of inmates transferred to Spain reveals a Peruvian prison as a reservoir of persistent Mycobacterium tuberculosis MDR strains and mixed infections. Sci. Rep. 2020, 10, 2704. [Google Scholar] [CrossRef] [PubMed]
 - Busatto, C.; Mespaque, J.; Schwarzbold, P.; de Souza, C.D.; Jarczewski, C.A.; Meucci, R.D.; Andrews, J.; Croda, J.; da Silva, P.E.A.; Ramis, I.B.; et al. Tuberculosis in prison inmates in Southern Brazil: Investigating the epidemiological and operational indicators. Rev. Soc. Bras. Med. Trop. 2022, 55, e0052-2022. [Google Scholar] [CrossRef] [PubMed]
 - Sanabria, G.E.; Sequera, G.; Aguirre, S.; Méndez, J.; dos Santos, P.C.P.; Gustafson, N.W.; Godoy, M.; Ortiz, A.; Cespedes, C.; Martínez, G.; et al. Phylogeography and transmission of Mycobacterium tuberculosis spanning prisons and surrounding communities in Paraguay. Nat. Commun. 2023, 14, 303. [Google Scholar] [CrossRef] [PubMed]
 - de Almeida Crispim, J.; Arroyo, L.H.; Berra, T.Z.; dos Santos, F.L.; Souza, L.L.L.; Alves, Y.M.; Ramos, A.C.V.; Bruce, A.T.I.; Yamamura, M.; Scholze, A.R.; et al. Risk factors associated with drug-resistant tuberculosis in prisons in Sāo Paulo State, Brazil (2006–2016). J. Infect. Dev. Ctries 2021, 15, 1661–1669. [Google Scholar] [CrossRef]
 - Walter, K.S.; dos Santos, P.C.P.; Gonçalves, T.O.; da Silva, B.O.; Santos, A.D.S.; Leite, A.D.C.; da Silva, A.M.; Moreira, F.M.F.; de Oliveira, R.D.; Lemos, E.F.; et al. The role of prisons in disseminating tuberculosis in Brazil: A genomic epidemiology study. Lancet Reg. Health Am. 2022, 9, 100186. [Google Scholar] [CrossRef] [PubMed]
 - Saita, N.M.; Andrade, R.L.D.P.; Bossonário, P.A.; Bonfim, R.O.; Nogueira, J.D.A.; Netto, A.R.; Arcêncio, R.A.; Villa, T.C.S.; Monroe, A.A. Determinants of coinfection tuberculosis and HIV in prisons in Brazil. J. Infect. Dev. Ctries 2021, 15, 263–269. [Google Scholar] [CrossRef]
 - Hurtado, J.; Coitinho, C.; Nin, N.; Buroni, M.; Hurtado, F.J.; Robello, C.; Greif, G. Clinical and epidemiological features of tuberculosis isolated from critically ill patients. Rev. Argent Microbiol. 2022, 54, 43–47. [Google Scholar] [CrossRef]
 - Comín, J.; Cebollada, A.; Ibarz, D.; Viñuelas, J.; Vitoria, M.A.; Iglesias, M.J.; Samper, S. A whole-genome sequencing study of an X-family tuberculosis outbreak focus on transmission chain along 25 years. Tuberculosis 2020, 126, 102022. [Google Scholar] [CrossRef] [PubMed]
 - Coll, F.; McNerney, R.; Guerra-Assunção, J.A.; Glynn, J.R.; Perdigão, J.; Viveiros, M.; Portugal, I.; Pain, A.; Martin, N.; Clark, T.G.; et al. A robust SNP barcode for typing Mycobacterium tuberculosis complex strains. Nat. Commun. 2014, 5, 4812. [Google Scholar] [CrossRef] [PubMed]
 - Brown, S.S.; Chen, Y.-W.; Wang, M.; Clipson, A.; Ochoa, E.; Du, M.-Q. PrimerPooler: Automated primer pooling to prepare library for targeted sequencing. Biol. Methods Protoc. 2017, 2, bpx006. [Google Scholar] [CrossRef] [PubMed]
 - Joshi, N.; Fass, J. Sickle: A Sliding-Window, Adaptive, Quality-Based Trimming Tool for FastQ Files (Version 1.33) [Software]. 2011. Available online: https://github.com/najoshi/sickle (accessed on 18 March 2024).
 - Jung, Y.; Han, D. BWA-MEME: BWA-MEM emulated with a machine learning approach. Bioinformatics 2022, 38, 2404–2413. [Google Scholar] [CrossRef] [PubMed]
 - Li, H.; Handsaker, B.; Wysoker, A.; Fennell, T.; Ruan, J.; Homer, N.; Marth, G.; Abecasis, G.; Durbin, R.; 1000 Genome Project Data Processing Subgroup. The Sequence Alignment/Map format and SAMtools. Bioinformatics 2009, 25, 2078–2079. [Google Scholar] [CrossRef] [PubMed]
 - Danecek, P.; Bonfield, J.K.; Liddle, J.; Marshall, J.; Ohan, V.; Pollard, M.O.; Whitwham, A.; Keane, T.; McCarthy, S.A.; Davies, R.M. Twelve years of SAMtools and BCFtools. Gigascience 2021, 10, 1–4. [Google Scholar] [CrossRef] [PubMed]
 - Thorvaldsdóttir, H.; Robinson, J.T.; Mesirov, J.P. Integrative Genomics Viewer (IGV): High-performance genomics data visualization and exploration. Brief. Bioinform. 2013, 14, 178–192. [Google Scholar] [CrossRef] [PubMed]
 - Feuerriegel, S.; Schleusener, V.; Beckert, P.; Kohl, T.A.; Miotto, P.; Cirillo, D.M.; Cabibbe, A.M.; Niemann, S.; Fellenberg, K. PhyResSE: A Web Tool Delineating Mycobacterium tuberculosis Antibiotic Resistance and Lineage from Whole-Genome Sequencing Data. J. Clin. Microbiol. 2015, 53, 1908–1914. [Google Scholar] [CrossRef]
 - Weniger, T.; Krawczyk, J.; Supply, P.; Niemann, S.; Harmsen, D. MIRU-VNTRplus: A web tool for polyphasic genotyping of Mycobacterium tuberculosis complex bacteria. Nucleic Acids Res. 2010, 38, W326–W331. [Google Scholar] [CrossRef][Green Version]
 - Dale, J.W.; Brittain, D.; Cataldi, A.A.; Cousins, D.; Crawford, J.T.; Driscoll, J.; Heersma, H.; Lillebaek, T.; Quitugua, T.; Rastogi, N.; et al. Spacer oligonucleotide typing of bacteria of the Mycobacterium tuberculosis complex: Recommendations for standardised nomenclature. Int. J. Tuberc. Lung Dis. 2001, 5, 216–219. [Google Scholar]
 - Greif, G.; Coitinho, C.; Rivas, C.; Van Ingen, J.; Robello, C. Molecular analysis of isoniazid-resistant Mycobacterium tuberculosis isolates in Uruguay. Int. J. Tuberc. Lung Dis. 2012, 16, 947–949. [Google Scholar] [CrossRef] [PubMed]
 - WHO. WHO Catalogue. 2023. Available online: https://github.com/GTB-tbsequencing/mutation-catalogue-2023/ (accessed on 5 May 2024).
 - Cabibbe, A.M.; Spitaleri, A.; Battaglia, S.; Colman, R.E.; Suresh, A.; Uplekar, S.; Rodwell, T.C.; Cirillo, D.M. Application of Targeted Next-Generation Sequencing Assay on a Portable Sequencing Platform for Culture-Free Detection of Drug-Resistant Tuberculosis from Clinical Samples. J. Clin. Microbiol. 2020, 58, e00632-20. [Google Scholar] [CrossRef] [PubMed]
 - Napier, G.; Campino, S.; Merid, Y.; Abebe, M.; Woldeamanuel, Y.; Aseffa, A.; Hibberd, M.L.; Phelan, J.; Clark, T.G. Robust barcoding and identification of Mycobacterium tuberculosis lineages for epidemiological and clinical studies. Genome Med. 2020, 12, 114. [Google Scholar] [CrossRef] [PubMed]
 - Shitikov, E.; Bespiatykh, D. A revised SNP-based barcoding scheme for typing Mycobacterium tuberculosis complex isolates. mSphere 2023, 8, e0016923. [Google Scholar] [CrossRef]
 - Warren, J.L.; Grandjean, L.; Moore, D.A.J.; Lithgow, A.; Coronel, J.; Sheen, P.; Zelner, J.L.; Andrews, J.R.; Cohen, T. Investigating spillover of multidrug-resistant tuberculosis from a prison: A spatial and molecular epidemiological analysis. BMC Med. 2018, 16, 122. [Google Scholar] [CrossRef]
 - Singh, R.; Dwivedi, S.P.; Gaharwar, U.S.; Meena, R.; Rajamani, P.; Prasad, T. Recent Updates on Drug Resistance in Myco-bacterium Tuberculosis. J. Appl. Microbiol. 2020, 128, 1547–1567. [Google Scholar] [CrossRef]
 

| Sample ID | Coverage Pool-L  | Genotype SNP | Genotype Phyresse/MIRU-VNTR * | 
|---|---|---|---|
| 1 | 104 | LAM | LAM | 
| 2 | 1713 | LAM | LAM | 
| 3 | 317 | X | X | 
| 4 | 188 | LAM | LAM | 
| 5 | 348 | Haarlem | |
| 6 | 96 | X | X | 
| 7 | 8081 | X | X | 
| 8 | - | - | |
| 9 | 2103 | Haarlem | |
| 10 | 187 | X | X | 
| 11 | 3470 | LAM | LAM | 
| 12 | 203 | LAM ** | /LAM | 
| 13 | 303 | Haarlem | |
| 14 | 399 | LAM ** | /LAM | 
| 15 | 2051 | X | X | 
| 16 | 143 | Haarlem | |
| 17 | 413 | Haarlem | |
| 18 | 281 | X | |
| 19 | 1984 | Haarlem | |
| 20 | 281 | X | |
| 21 | 187 | Haarlem | |
| 22 | 360 | S | S | 
| 23 | 1725 | LAM | LAM | 
| 24 | 771 | X | |
| 25 | 176 | LAM | LAM | 
| 26 | 367 | X | X/Haarlem | 
| 27 | 6437 | - | |
| 28 | 14,413 | Haarlem | Haarlem | 
| 29 | 178 | X | |
| 30 | 915 | X | |
| 31 | 557 | LAM | LAM LAM  | 
| 32 | 444 | LAM | |
| 33 | 153 | LAM ** | /LAM | 
| 34 | 526 | LAM ** | /LAM | 
| 35 | 271 | LAM | LAM | 
| 36 | 346 | Haarlem | |
| 37 | 82 | X | |
| 38 | 23 | X | X | 
| 39 | 1559 | LAM | LAM | 
| 40 | 555 | X | |
| 41 | 88 | - | |
| 42 | 382 | Haarlem | |
| 43 | 234 | LAM | LAM | 
| 44 | 310 | LAM | LAM | 
| 45 | 167 | LAM | LAM | 
| 46 | 99 | X | |
| 47 | 1200 | X | X | 
| Gene | Genome Position | Samples (n) | SNP | Codon Change | Amino Acid Change | Previous Reported | 
|---|---|---|---|---|---|---|
| gyrA | 7362 | 30 | G/C | GAG/CAG | Glu62Gln | Not reported | 
| gyrA | 7585 | 28 | G/C | AGC/ACC | Ser95Thr | Reported [24] * | 
| gyrA | 8040 | 4 | G/A | GGC/AGC | Gly247Ser | Reported [24] * | 
| gyrA | 9304 | 27 | G/A | CGC/GAC | Gly668Asp | Reported [24] * | 
| gyrB | 6438 | 1 | C/G | CCC/CGC | Pro400Arg | Not reported | 
| gyrB | 6034 | 1 | C/T | AAC/AAT | Asn265Asn | Not reported | 
| katG | 2,154,279 | 2 | G/A | CTC/CTT | Leu611Leu | Not reported | 
| katG | 2,154,015 | 1 | C/G | GGG/GGC | Gly699Gly | Not reported | 
| pncA | 2,289,017 | 17 | A/G | GGT/GGC | Gly75Gly | Not reported | 
| rpoB | 760,106 | 2 | G/A | TCG/TCA | Ser100Ser | Not reported | 
| rpoB | 760,115 | 10 | C/T | GAC/GAT | Asp103Asp | Not reported | 
| rpoB | 760,629 | 1 | C/G | CTG/GTG | Leu275Val | Not reported | 
| rpoB | 760,852 | 1 | T/C | ATG/ACG | Met349Thr | Not reported | 
| rrs | 1,472,337 | 3 | C/T | Ribosomal | c492t | Streptomicin [25] | 
| rrs | 1,473,314 | 4 | A/C | ribosomal | a1549c | Not reported | 
Disclaimer/Publisher’s Note: The statements, opinions and data contained in all publications are solely those of the individual author(s) and contributor(s) and not of MDPI and/or the editor(s). MDPI and/or the editor(s) disclaim responsibility for any injury to people or property resulting from any ideas, methods, instructions or products referred to in the content.  | 
© 2024 by the authors. Licensee MDPI, Basel, Switzerland. This article is an open access article distributed under the terms and conditions of the Creative Commons Attribution (CC BY) license (https://creativecommons.org/licenses/by/4.0/).
Share and Cite
Hurtado, J.; Bentancor, M.N.; Laserra, P.; Coitinho, C.; Greif, G. Specific Mycobacterium tuberculosis Strain Circulating in Prison Revealed by Cost-Effective Amplicon Sequencing. Microorganisms 2024, 12, 999. https://doi.org/10.3390/microorganisms12050999
Hurtado J, Bentancor MN, Laserra P, Coitinho C, Greif G. Specific Mycobacterium tuberculosis Strain Circulating in Prison Revealed by Cost-Effective Amplicon Sequencing. Microorganisms. 2024; 12(5):999. https://doi.org/10.3390/microorganisms12050999
Chicago/Turabian StyleHurtado, Joaquín, María Noel Bentancor, Paula Laserra, Cecilia Coitinho, and Gonzalo Greif. 2024. "Specific Mycobacterium tuberculosis Strain Circulating in Prison Revealed by Cost-Effective Amplicon Sequencing" Microorganisms 12, no. 5: 999. https://doi.org/10.3390/microorganisms12050999
APA StyleHurtado, J., Bentancor, M. N., Laserra, P., Coitinho, C., & Greif, G. (2024). Specific Mycobacterium tuberculosis Strain Circulating in Prison Revealed by Cost-Effective Amplicon Sequencing. Microorganisms, 12(5), 999. https://doi.org/10.3390/microorganisms12050999
        
