Diversity and Composition of Soil Acidobacterial Communities in Different Temperate Forest Types of Northeast China
Abstract
1. Introduction
2. Materials and Methods
2.1. Experimental Site
2.2. Soil Sampling
2.3. Soil Physicochemical Properties
2.4. Soil DNA Extraction and 16S rDNA Sequencing
2.5. Bioinformatics and Statistical Analysis
3. Results
3.1. Soil Properties
3.2. Soil Acidobacterial Diversity in Five Forest Types
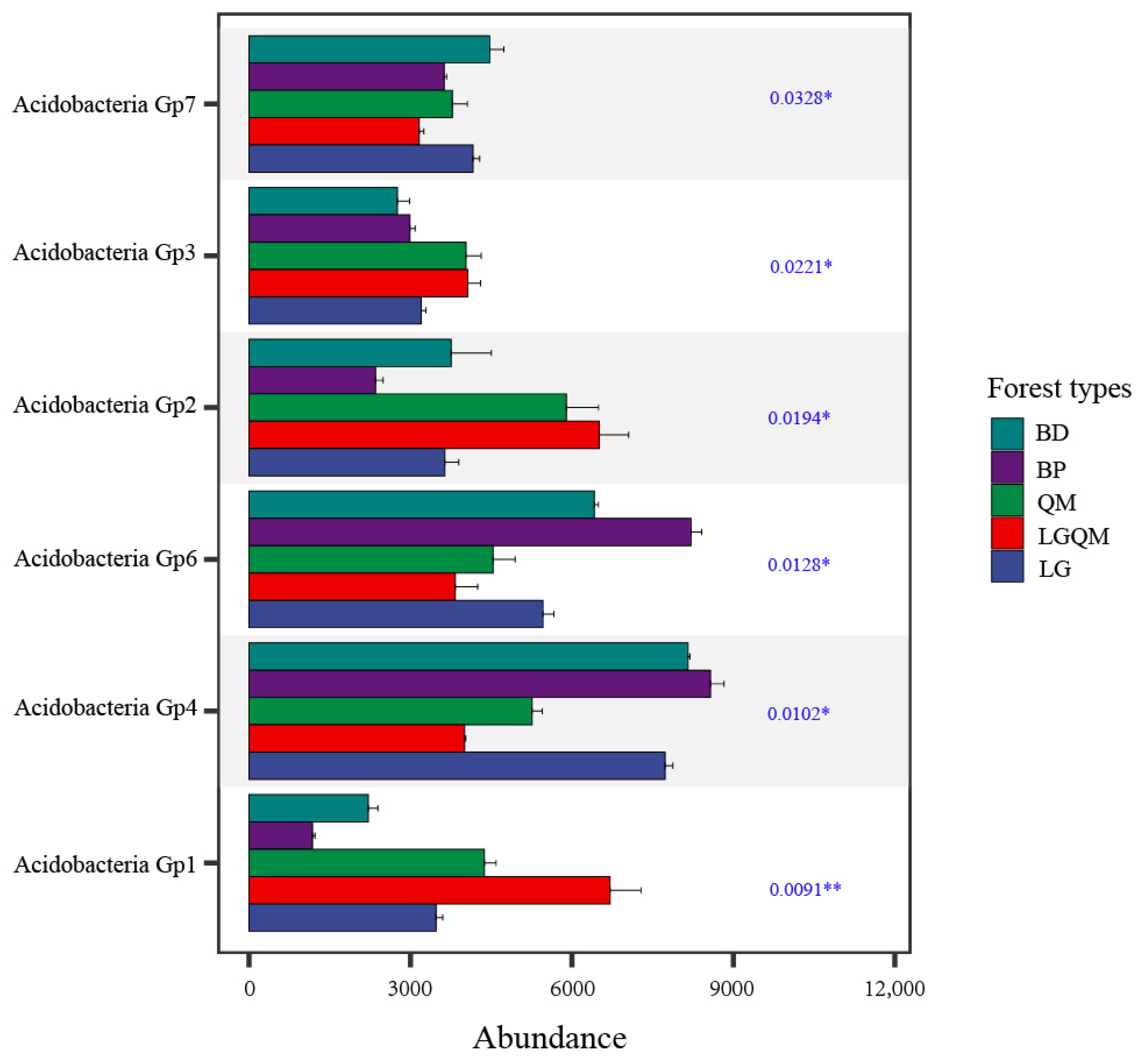
3.3. Differences in Soil Acidobacterial Composition in Five Forest Types
3.4. Effect of Soil Physicochemical Properties on Soil Acidobacterial Communities in Five Forest Types
4. Discussion
4.1. Effects of Forests on Soil Acidobacterial Diversity and Composition
4.2. Mantel Analyses Correlation between Soil Physicochemical Properties and Soil Acidobacterial Composition in Different Forest Types
5. Conclusions
Author Contributions
Funding
Data Availability Statement
Conflicts of Interest
References
- Laco, I. Assessment of the Selected Regulating Ecosystem Services Using Ecosystem Services Matrix in Two Model Areas: Special Nature Reserve Obedska Bara (Serbia) and Protected Landscape Area Dunajske Luhy (Slovakia). Land 2021, 10, 1401. [Google Scholar] [CrossRef]
- Yuan, Z.; Ali, A.; Loreau, M.; Ding, F.; Liu, S.; Sanaei, A.; Zhou, W.; Ye, J.; Lin, F.; Fang, S.; et al. Divergent above- and below-Ground Biodiversity Pathways Mediate Disturbance Impacts on Temperate Forest Multifunctionality. Glob. Change Biol. 2021, 27, 2883–2894. [Google Scholar] [CrossRef] [PubMed]
- Gen-wei, C.; Xu-yang, L.; Xiao-dan, W.; Jian, S. Rebirth after Death: Forest Succession Dynamics in Response to Climate Change on Gongga Mountain, Southwest China. J. Mt. Sci. 2018, 15, 1671–1681. [Google Scholar] [CrossRef]
- Zhang-Quan, Z.; Hong, T.; Qing, H.; Si-Long, W.; Minghong, L.; Rui, Y.; Yandong, N.; Can-Ming, Z. Tree Biomass Distribution Patterns with a Forest Succession in Subtropical China. Agron. J. 2021, 113, 706–710. [Google Scholar] [CrossRef]
- Federman, S.; Zankowski, P. Strategic Science Planning for Responsible Stewardship and Plant Protection at the U. S. Department of Agriculture. Plants People Planet 2020, 2, 53–56. [Google Scholar] [CrossRef]
- Smietanka, T. Protection of Air and Groundwater in Polish Municipalities of Varying Wealth as Adaptation to Climate Change. Civ. Environ. Eng. Rep. 2022, 32, 440–458. [Google Scholar] [CrossRef]
- Tirivayi, N.; Nennen, L.; Tesfaye, W.; Ma, Q. The Benefits of Collective Action: Exploring the Role of Forest Producer Organizations in Social Protection. For. Policy Econ. 2018, 90, 106–114. [Google Scholar] [CrossRef]
- Kjucukov, P. Key factors for the forest biodiversity protection in central europe: Review. Rep. For. Res.-Zpravy Lesn. Vyzk. 2023, 68, 93–106. [Google Scholar] [CrossRef]
- Navarrete, A.; Venturini, A.; Meyer, K.; Klein, A.; Tiedje, J.; Bohannan, B.; Nüsslein, K.; Tsai, S.; Rodrigues, J. Differential Response of Acidobacteria Subgroups to Forest-to-Pasture Conversion and Their Biogeographic Patterns in the Western Brazilian Amazon. Front. Microbiol. 2015, 6, 1443. [Google Scholar] [CrossRef] [PubMed]
- Edwards, K.R.; Bárta, J.; Mastný, J.; Picek, T. Multiple Environmental Factors, but Not Nutrient Addition, Directly Affect Wet Grassland Soil Microbial Community Structure: A Mesocosm Study. FEMS Microbiol. Ecol. 2023, 99, fiad070. [Google Scholar] [CrossRef]
- Sui, X.; Frey, B.; Yang, L.; Liu, Y.; Zhang, R.; Ni, H.; Li, M.-H. Soil Acidobacterial Community Composition Changes Sensitively with Wetland Degradation in Northeastern of China. Front. Microbiol. 2022, 13, 1052161. [Google Scholar] [CrossRef] [PubMed]
- de Vries, F.T.; Shade, A. Controls on Soil Microbial Community Stability under Climate Change. Front. Microbiol. 2013, 4, 265. [Google Scholar] [CrossRef] [PubMed]
- Catao, E.C.P.; Lopes, F.A.C.; Araújo, J.F.; de Castro, A.P.; Barreto, C.C.; Bustamante, M.M.C.; Quirino, B.F.; Krüger, R.H. Soil Acidobacterial 16S rRNA Gene Sequences Reveal Subgroup Level Differences between Savanna-Like Cerrado and Atlantic Forest Brazilian Biomes. Int. J. Microbiol. 2014, 2014, 156341. [Google Scholar] [CrossRef] [PubMed]
- Naether, A.; Foesel, B.U.; Naegele, V.; Wuest, P.K.; Weinert, J.; Bonkowski, M.; Alt, F.; Oelmann, Y.; Polle, A.; Lohaus, G.; et al. Environmental Factors Affect Acidobacterial Communities below the Subgroup Level in Grassland and Forest Soils. Appl. Environ. Microbiol. 2012, 78, 7398–7406. [Google Scholar] [CrossRef] [PubMed]
- Campanharo, J.C.; Kielak, A.M.; Luque Castellane, T.C.; Kuramae, E.E.; de Macedo Lemos, E.G. Optimized Medium Culture for Acidobacteria Subdivision 1 Strains. FEMS Microbiol. Lett. 2016, 363, fnw245. [Google Scholar] [CrossRef] [PubMed]
- Sait, M.; Davis, K.E.R.; Janssen, P.H. Effect of pH on Isolation and Distribution of Members of Subdivision 1 of the Phylum Acidobacteria Occurring in Soil. Appl. Environ. Microbiol. 2006, 72, 1852–1857. [Google Scholar] [CrossRef] [PubMed]
- Li, Y.; Gong, J.; Liu, J.; Hou, W.; Moroenyane, I.; Liu, Y.; Jin, J.; Liu, J.; Xiong, H.; Cheng, C.; et al. Effects of Different Land Use Types and Soil Depth on Soil Nutrients and Soil Bacterial Communities in a Karst Area, Southwest China. Soil Syst. 2022, 6, 20. [Google Scholar] [CrossRef]
- Debnath, R.; Yadav, A.; Gupta, V.K.; Singh, B.P.; Handique, P.J.; Saikia, R. Rhizospheric Bacterial Community of Endemic Rhododendron arboreum Sm. ssp. Delavayi along Eastern Himalayan Slope in Tawang. Front. Plant Sci. 2016, 7, 1345. [Google Scholar] [CrossRef] [PubMed]
- Sahrawat, K.L. Soil and Plant Testing for Iron: An Appraisal. Commun. Soil Sci. Plant Anal. 2016, 47, 280–283. [Google Scholar] [CrossRef]
- Wang, K.; Zhang, J.; Yi, Q.; Wang, X.; Yi, Y. Metals in Sediments and Their Accumulation in Zostera japonica in Different Sediment Habitats of the Yellow River Estuary. J. Soils Sediments 2021, 21, 1539–1549. [Google Scholar] [CrossRef]
- Spohn, M. Microbial Respiration per Unit Microbial Biomass Depends on Litter Layer Carbon-to-Nitrogen Ratio. Biogeosciences 2015, 12, 817–823. [Google Scholar] [CrossRef]
- Li, Y.; Xu, C.; Da, Z.; Hu, R.; Sun, C. Alpine Meadow Degradation Changed Soil Nitrogen Characteristics in the Eastern Qilian Mountains Area, Northwest China. Commun. Soil Sci. Plant Anal. 2024, 55, 564–578. [Google Scholar] [CrossRef]
- Cui, Q.; Li, Z.; Feng, Q.; Zhang, B.; Gui, J. The Effect of Climate Factors on Soil Total Phosphorus in the Three River Headwaters Region Is Regulated by Soil Layers. J. Soil Sci. Plant Nutr. 2023, 23, 5159–5176. [Google Scholar] [CrossRef]
- Li, Y.; Li, Y.; Zhang, Q.; Xu, G.; Liang, G.; Kim, D.-G.; Carmona, C.R.; Yang, M.; Xue, J.; Xiang, Y.; et al. Enhancing Soil Carbon and Nitrogen through Grassland Conversion from Degraded Croplands in China: Assessing Magnitudes and Identifying Key Drivers of Phosphorus Reduction. Soil Tillage Res. 2024, 236, 105943. [Google Scholar] [CrossRef]
- Lee, S.-H.; Ka, J.-O.; Cho, J.-C. Members of the Phylum Acidobacteria Are Dominant and Metabolically Active in Rhizosphere Soil. FEMS Microbiol. Lett. 2008, 285, 263–269. [Google Scholar] [CrossRef] [PubMed]
- Osborn, E.D.; McBride, S.G.; Kupper, J.V.; Nelson, J.A.; McNear, D.H., Jr.; McCulley, R.L.; Barrett, J.E. Accurate Detection of Soil Microbial Community Responses to Environmental Change Requires the Use of Multiple Methods. Soil Biol. Biochem. 2022, 169, 108685. [Google Scholar] [CrossRef]
- Kalahroudi, Z.H.; Zadeh, M.M.; Mahini, A.S.; Kiani, F.; Najafinejad, A. Impacts of Tourist Trampling and Topography on Soil Quality Characteristics in Recreational Trails. Soil Environ. 2023, 42, 77–88. [Google Scholar] [CrossRef]
- Telatin, A. Qiime Artifact eXtractor (Qax): A Fast and Versatile Tool to Interact with Qiime2 Archives. Biotech 2021, 10, 5. [Google Scholar] [CrossRef] [PubMed]
- Sekiguchi, H.; Hasegawa, H.; Okada, H.; Kushida, A.; Takenaka, S. Comparative Analysis of Environmental Variability and Fungal Community Structure in Soils between Organic and Conventional Commercial Farms of Cherry Tomato in Japan. Microbes Environ. 2008, 23, 57–65. [Google Scholar] [CrossRef] [PubMed][Green Version]
- Sun, G.-D.; Xu, Y.; Liu, Y.; Liu, Z. Microbial Community Dynamics of Soil Mesocosms Using Orychophragmus violaceus Combined with Rhodococcus ruber Em1 for Bioremediation of Highly PAH-Contaminated Soil. Appl. Microbiol. Biotechnol. 2014, 98, 10243–10253. [Google Scholar] [CrossRef] [PubMed]
- Qin, X.; Huang, Q.; Liu, Y.; Zhao, L.; Xu, Y.; Liu, Y. Effects of Sepiolite and Biochar on Microbial Diversity in Acid Red Soil from Southern China. Chem. Ecol. 2019, 35, 846–860. [Google Scholar] [CrossRef]
- Bellino, A.; Baldantoni, D.; Picariello, E.; Morelli, R.; Alfani, A.; De Nicola, F. Role of Different Microorganisms in Remediating PAH-Contaminated Soils Treated with Compost or Fungi. J. Environ. Manag. 2019, 252, 109675. [Google Scholar] [CrossRef] [PubMed]
- Wassan, J.T.; Wang, H.; Zheng, H. Developing a New Phylogeny-Driven Random Forest Model for Functional Metagenomics. IEEE Trans. Nanobiosci. 2023, 22, 763–770. [Google Scholar] [CrossRef] [PubMed]
- Chukwuneme, C.F.; Ayangbenro, A.S.; Babalola, O.O.; Kutu, F.R. Functional Diversity of Microbial Communities in Two Contrasting Maize Rhizosphere Soils. Rhizosphere 2021, 17, 100282. [Google Scholar] [CrossRef]
- Li, P.; Zhang, J.; Wang, S.; Zhang, P.; Chen, W.; Ding, S.; Xi, J. Changes in the Distribution Preference of Soil Microbial Communities During Secondary Succession in a Temperate Mountain Forest. Front. Microbiol. 2022, 13, 923346. [Google Scholar] [CrossRef] [PubMed]
- Franklin, R.B.; Mills, A.L. Importance of Spatially Structured Environmental Heterogeneity in Controlling Microbial Community Composition at Small Spatial Scales in an Agricultural Field. Soil Biol. Biochem. 2009, 41, 1833–1840. [Google Scholar] [CrossRef]
- Wang, S.; Wang, X.; Han, X.; Deng, Y. Higher Precipitation Strengthens the Microbial Interactions in Semi-Arid Grassland Soils. Glob. Ecol. Biogeogr. 2018, 27, 570–580. [Google Scholar] [CrossRef]
- Santos, E.C.; Armas, E.D.; Crowley, D.; Lambais, M.R. Artificial Neural Network Modeling of Microbial Community Structures in the Atlantic Forest of Brazil. Soil Biol. Biochem. 2014, 69, 101–109. [Google Scholar] [CrossRef]
- Chen, F.; Yu, G.; Sun, Y.; Zhang, H.-L.; Tian, X.; Xia, B. Characteristics of Microbial Community Structure in the Surrounding Farmlands of a Mercury Mining Area and Its Environmental Driving Factors. Huan Jing Ke Xue 2022, 43, 4342–4352. [Google Scholar] [CrossRef] [PubMed]
- Khan, A.; Jiang, H.; Bu, J.; Adnan, M.; Gillani, S.W.; Hussain, M.A.; Zhang, M. Untangling the Rhizosphere Bacterial Community Composition and Response of Soil Physiochemical Properties to Different Nitrogen Applications in Sugarcane Field. Front. Microbiol. 2022, 13, 856078. [Google Scholar] [CrossRef] [PubMed]
- Qu, Z.-L.; Liu, B.; Ma, Y.; Xu, J.; Sun, H. The Response of the Soil Bacterial Community and Function to Forest Succession Caused by Forest Disease. Funct. Ecol. 2020, 34, 2548–2559. [Google Scholar] [CrossRef]
- Ren, J.; Huang, K.; Xu, F.; Zhang, Y.; Yuan, B.; Chen, H.; Shi, F. The Changes in Soil Microbial Communities and Assembly Processes along Vegetation Succession in a Subtropical Forest. Forests 2024, 15, 242. [Google Scholar] [CrossRef]
- Sardans, J.; Penuelas, J. Climate and Taxonomy Underlie Different Elemental Concentrations and Stoichiometries of Forest Species: The Optimum “Biogeochemical Niche”. Plant Plant Ecol. 2014, 215, 441–455. [Google Scholar] [CrossRef]
- Zhang, Q.; Pei, X.; Xu, L.; Lu, X.; Wen, B.; Li, Y.; Wang, L.; Dong, G.; Shi, W.; Hu, X.; et al. Genetic Improvement of Betula platyphylla Suk. in China: A Review. Phyton-Int. J. Exp. Bot. 2022, 91, 1585–1599. [Google Scholar] [CrossRef]
- Mannisto, M.K.; Kurhela, E.; Tiirola, M.; Haggblom, M.M. Acidobacteria Dominate the Active Bacterial Communities of Arctic Tundra with Widely Divergent Winter-Time Snow Accumulation and Soil Temperatures. FEMS Microbiol. Ecol. 2013, 84, 47–59. [Google Scholar] [CrossRef] [PubMed]
- Foesel, B.U.; Naegele, V.; Naether, A.; Wuest, P.K.; Weinert, J.; Bonkowski, M.; Lohaus, G.; Polle, A.; Alt, F.; Oelmann, Y.; et al. Determinants of Acidobacteria Activity Inferred from the Relative Abundances of 16S rRNA Transcripts in German Grassland and Forest Soils. Environ. Microbiol. 2014, 16, 658–675. [Google Scholar] [CrossRef] [PubMed]
- Sui, X.; Li, M.; Frey, B.; Wang, M.; Weng, X.; Wang, X.; Chen, F.; Li, X.; Du, Z.; Yang, L.; et al. Climax Forest Has a Higher Soil Bacterial Diversity but Lower Soil Nutrient Contents than Degraded Forests in Temperate Northern China. Ecol. Evol. 2022, 12, e9535. [Google Scholar] [CrossRef] [PubMed]
- Brocklehurst, N.; Day, M.O.; Froebisch, J. Accounting for Differences in Species Frequency Distributions when Calculating Beta Diversity in the Fossil Record. Methods Ecol. Evol. 2018, 9, 1409–1420. [Google Scholar] [CrossRef]
- Hofmann, R.; Hautmann, M.; Bucher, H. Diversity Partitioning in Permian and Early Triassic Benthic Ecosystems of the Western USA: A Comparison. Hist. Biol. 2017, 29, 918–930. [Google Scholar] [CrossRef]
- Li, H.; Liu, F.; Liu, G.; Wang, S.; Guo, X.; Jing, J. Molecular Cloning and Expression Analysis of 13 MADS-Box Genes in Betula platyphylla. Plant Mol. Biol. Report. 2012, 30, 149–157. [Google Scholar] [CrossRef]
- Zhang, R.; Wang, Y.; Wang, C.; Wei, Z.; Xia, D.; Wang, Y.; Liu, G.; Yang, C. Temporal Expression of Genes Involved in the Biosynthesis of Gibberellins in Birch (Betula platyphylla). Afr. J. Biotechnol. 2011, 10, 13046–13050. [Google Scholar]
- Su, Y.; Hu, Y.; Zi, H.; Chen, Y.; Deng, X.; Hu, B.; Jiang, Y. Contrasting Assembly Mechanisms and Drivers of Soil Rare and Abundant Bacterial Communities in 22-Year Continuous and Non-Continuous Cropping Systems. Sci. Rep. 2022, 12, 3264. [Google Scholar] [CrossRef] [PubMed]
- Chen, J.; Liu, X.; Li, L.; Zheng, J.; Qu, J.; Zheng, J.; Zhang, X.; Pan, G. Consistent Increase in Abundance and Diversity but Variable Change in Community Composition of Bacteria in Topsoil of Rice Paddy under Short Term Biochar Treatment across Three Sites from South China. Appl. Soil Ecol. 2015, 91, 68–79. [Google Scholar] [CrossRef]
- Kim, H.-S.; Lee, S.-H.; Jo, H.Y.; Finneran, K.T.; Kwon, M.J. Diversity and Composition of Soil Acidobacteria and Proteobacteria Communities as a Bacterial Indicator of Past Land-Use Change from Forest to Farmland. Sci. Total Environ. 2021, 797, 148944. [Google Scholar] [CrossRef] [PubMed]
- Chen, T.; Hu, R.; Zheng, Z.; Yang, J.; Fan, H.; Deng, X.; Yao, W.; Wang, Q.; Peng, S.; Li, J. Soil Bacterial Community in the Multiple Cropping System Increased Grain Yield within 40 Cultivation Years. Front. Plant Sci. 2021, 12, 804527. [Google Scholar] [CrossRef] [PubMed]
- Wu, Z.; Liu, Q.; Li, Z.; Cheng, W.; Sun, J.; Guo, Z.; Li, Y.; Zhou, J.; Meng, D.; Li, H.; et al. Environmental Factors Shaping the Diversity of Bacterial Communities That Promote Rice Production. BMC Microbiol. 2018, 18, 51. [Google Scholar] [CrossRef] [PubMed]
- Li, X.; Pang, H.; Zhao, Y.; Sun, M.; Zhang, X.; Xu, N.; He, G.; Zhang, H.; Sun, G. Shifts in the Bacterial Community Structure and Function along a Vegetation Gradient in the Great Xing’an Mountains. Scand. J. For. Res. 2018, 33, 103–113. [Google Scholar] [CrossRef]
- Gong, L.; Wang, H.; Xiang, X.; Qiu, X.; Liu, Q.; Wang, R.; Zhao, R.; Wang, C. pH Shaping the Composition of sqhC-Containing Bacterial Communities. Geomicrobiol. J. 2015, 32, 433–444. [Google Scholar] [CrossRef]
- Liu, H.; Yang, Y.; Yang, Y.; Zhong, X.; Lv, J. Dynamics of Fungal and Bacterial Communities in Different Types of Soil Ageing with Different Dosages of Cadmium. Ecotoxicol. Environ. Saf. 2022, 242, 113860. [Google Scholar] [CrossRef] [PubMed]
- Kampe, H.; Dziallas, C.; Grossart, H.-P.; Kamjunke, N. Similar Bacterial Community Composition in Acidic Mining Lakes with Different pH and Lake Chemistry. Microb. Ecol. 2010, 60, 618–627. [Google Scholar] [CrossRef] [PubMed]
- Zhang, Y.; Cong, J.; Lu, H.; Li, G.; Qu, Y.; Su, X.; Zhou, J.; Li, D. Community Structure and Elevational Diversity Patterns of Soil Acidobacteria. J. Environ. Sci. 2014, 26, 1717–1724. [Google Scholar] [CrossRef] [PubMed]
- Wang, C.; Zhou, X.; Guo, D.; Zhao, J.; Yan, L.; Feng, G.; Gao, Q.; Yu, H.; Zhao, L. Soil pH Is the Primary Factor Driving the Distribution and Function of Microorganisms in Farmland Soils in Northeastern China. Ann. Microbiol. 2019, 69, 1461–1473. [Google Scholar] [CrossRef]
- Huber, K.J.; Vieira, S.; Sikorski, J.; Wuest, P.K.; Foesel, B.U.; Groengroeft, A.; Overmann, J. Differential Response of Acidobacteria to Water Content, Soil Type, and Land Use During an Extended Drought in African Savannah Soils. Front. Microbiol. 2022, 13, 750456. [Google Scholar] [CrossRef] [PubMed]
- Llado, S.; Zifcakova, L.; Vetrovsky, T.; Eichlerova, I.; Baldrian, P. Functional Screening of Abundant Bacteria from Acidic Forest Soil Indicates the Metabolic Potential of Acidobacteria Subdivision 1 for Polysaccharide Decomposition. Biol. Fertil. Soils 2016, 52, 251–260. [Google Scholar] [CrossRef]








| Variable | BD | BP | QM | LGQM | LG |
|---|---|---|---|---|---|
| pH | 4.61 ± 0.39 c | 5.27 ± 0.06 b | 5.43 ± 0.15 ab | 5.86 ± 0.34 a | 5.49 ± 0.13 ab |
| TC (g·kg−1) | 53.97 ± 3.53 a | 76.17 ± 2.04 b | 108.40 ± 0.00 a | 49.87 ± 3.95 a | 60.28 ± 3.48 c |
| TN (g·kg−1) | 3.47 ± 0.34 b | 4.27 ± 0.15 a | 4.20 ± 0.10 a | 2.76 ± 0.13 c | 4.12 ± 0.13 a |
| C/N | 15.59 ± 0.76 c | 17.86 ± 0.35 b | 25.82 ± 0.61 a | 18.07 ± 1.58 b | 14.66 ± 1.29 c |
| TP (g·kg−1) | 2.07 ± 0.06 bc | 2.33 ± 0.15 ab | 2.60 ± 0.20 a | 2.17 ± 0.29 b | 1.77 ± 0.15 c |
| AN (mg·kg−1) | 78.67 ± 2.96 b | 83.75 ± 2.22 a | 87.34 ± 1.59 a | 38.59 ± 2.18 c | 24.63 ± 2.60 d |
| AP (mg·kg−1) | 36.17 ± 1.23 b | 37.28 ± 0.42 b | 41.25 ± 1.40 a | 35.86 ± 0.00 b | 27.43 ± 0.81 c |
| Forest Type | Richness | Chao1 | ACE | Shannon | Evenness |
|---|---|---|---|---|---|
| BD | 3687.3 ± 154.1 a | 4444.1 ± 159.8 a | 4591.5 ± 127.1 a | 10.1 ± 0.0 a | 0.9 ± 0.0 a |
| BP | 3661.6 ± 71.9 a | 4412.6 ± 14.9 a | 4568.6 ± 31.0 a | 10.2 ± 0.0 a | 0.9 ± 0.0 a |
| QM | 3235.6 ± 94.7 c | 3896.5 ± 104.2 c | 4010.1 ± 146.9 c | 9.9 ± 0.0 b | 0.9 ± 0.0 b |
| LGQM | 3055.0 ± 31.7 c | 3749.3 ± 43.3 c | 3876.7 ± 60.7 c | 9.7 ± 0.0 c | 0.8 ± 0.0 c |
| LG | 3436.6 ± 103.5 b | 4164.5 ± 18.1 b | 4284.3 ± 43.5 b | 9.9 ± 0.0 b | 0.9 ± 0.0 b |
Disclaimer/Publisher’s Note: The statements, opinions and data contained in all publications are solely those of the individual author(s) and contributor(s) and not of MDPI and/or the editor(s). MDPI and/or the editor(s) disclaim responsibility for any injury to people or property resulting from any ideas, methods, instructions or products referred to in the content. |
© 2024 by the authors. Licensee MDPI, Basel, Switzerland. This article is an open access article distributed under the terms and conditions of the Creative Commons Attribution (CC BY) license (https://creativecommons.org/licenses/by/4.0/).
Share and Cite
Jiao, F.; Qian, L.; Wu, J.; Zhang, D.; Zhang, J.; Wang, M.; Sui, X.; Zhang, X. Diversity and Composition of Soil Acidobacterial Communities in Different Temperate Forest Types of Northeast China. Microorganisms 2024, 12, 963. https://doi.org/10.3390/microorganisms12050963
Jiao F, Qian L, Wu J, Zhang D, Zhang J, Wang M, Sui X, Zhang X. Diversity and Composition of Soil Acidobacterial Communities in Different Temperate Forest Types of Northeast China. Microorganisms. 2024; 12(5):963. https://doi.org/10.3390/microorganisms12050963
Chicago/Turabian StyleJiao, Feng, Lili Qian, Jinhua Wu, Dongdong Zhang, Junying Zhang, Mingyu Wang, Xin Sui, and Xianbang Zhang. 2024. "Diversity and Composition of Soil Acidobacterial Communities in Different Temperate Forest Types of Northeast China" Microorganisms 12, no. 5: 963. https://doi.org/10.3390/microorganisms12050963
APA StyleJiao, F., Qian, L., Wu, J., Zhang, D., Zhang, J., Wang, M., Sui, X., & Zhang, X. (2024). Diversity and Composition of Soil Acidobacterial Communities in Different Temperate Forest Types of Northeast China. Microorganisms, 12(5), 963. https://doi.org/10.3390/microorganisms12050963

