Harnessing Phosphorous (P) Fertilizer-Insensitive Bacteria to Enhance Rhizosphere P Bioavailability in Legumes
Abstract
1. Introduction
2. Materials and Methods
2.1. Plant and Soil Material, Fertilizer Characteristics, and Growth Conditions for Legumes
2.2. Rhizosphere Soil Collection and Plant Sampling
2.3. Nutrient Analysis
2.4. Soil Microbial DNA Extraction
2.5. 16S Amplicon Sequencing with Minion Flow Cells
2.6. Statistical Analysis
3. Results
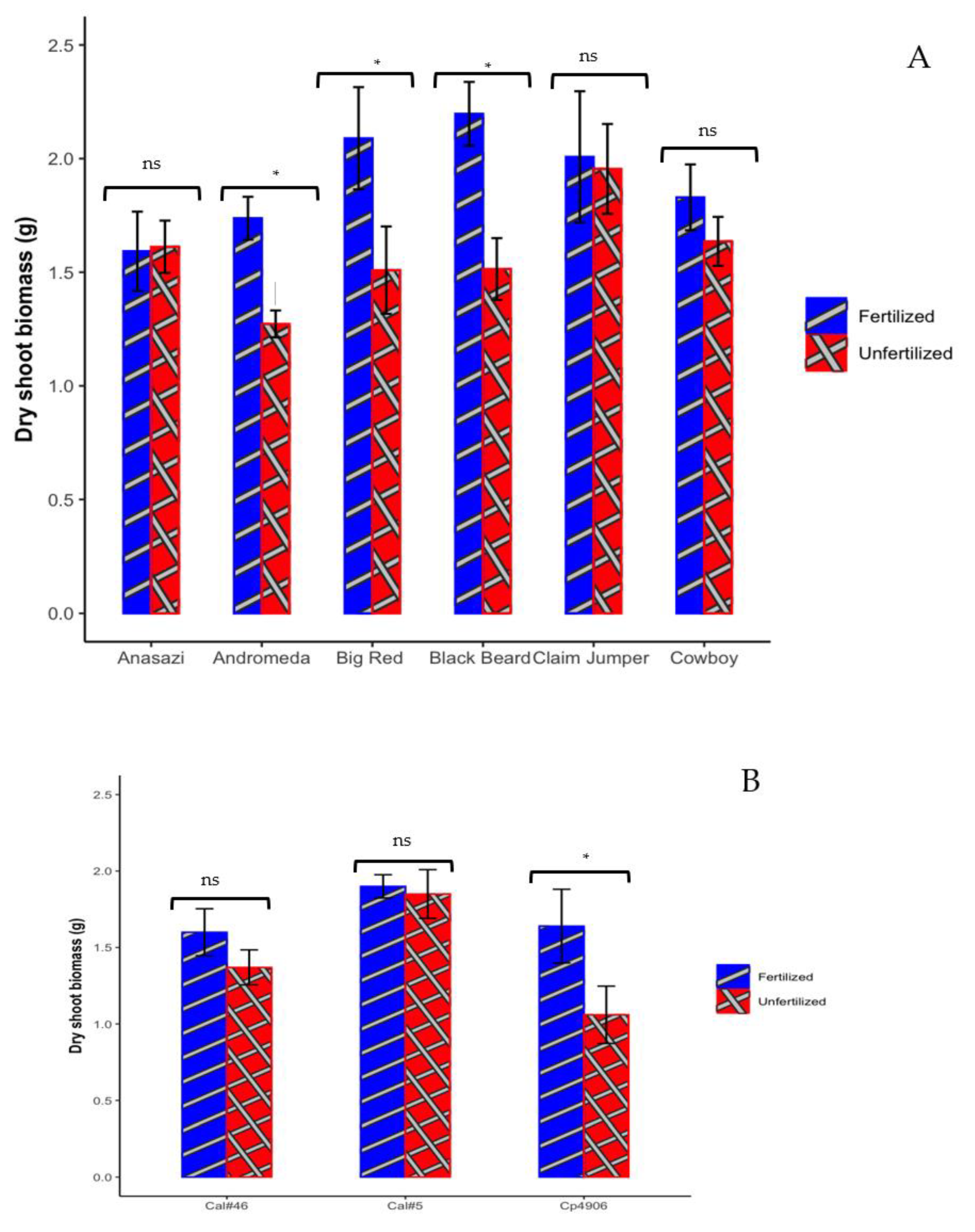
3.1. Dry Shoot Biomass
3.2. Rhizosphere Microbiome of Legume Crop Varieties under Phosphorus Treatments
3.3. Selection of Varieties with Low-P Stress Adaptation
3.4. P Utilization and Bulk Soil P Concentration
3.4.1. Common Bean (Phaseolus vulgaris)
3.4.2. Cowpeas (Vigna unguiculata)
3.4.3. Peas (Pisum sativum)
3.5. Differential Abundance Analysis of Bacteria for Selected Unfertilized Varieties
3.5.1. Common Beans (Phaseolus vulgaris)
3.5.2. Cowpeas (Vigna unguiculata)
3.5.3. Peas (Pisum sativum)
3.6. Effect of P Fertilization on the Microbiomes of Anasazi, California #5, and Vail
4. Discussion
4.1. The Impact of Phosphorus Solubilization on Microbial Community Composition in P-Insensitive Varieties
4.2. Impact of the Phosphorus Application on Beneficial Phosphorus-Solubilizing Bacteria in P-Insensitive Varieties of Anasazi, California #5, and Vail
5. Conclusions
Supplementary Materials
Author Contributions
Funding
Data Availability Statement
Acknowledgments
Conflicts of Interest
References
- Jasinski, S.M. Mineral Resource of the Month: Phosphate Rock. Earth 2013. Available online: https://www.earthmagazine.org/article/mineral-resource-month-phosphate-rock (accessed on 22 January 2024).
- Gao, X.; Shi, D.; Lv, A.; Wang, S.; Yuan, S.; Zhou, P.; An, Y. Increase Phosphorus Availability from the Use of Alfalfa (Medicago Sativa L) Green Manure in Rice (Oryza Sativa L.) Agroecosystem. Sci. Rep. 2016, 6, 36981. [Google Scholar] [CrossRef]
- Gatiboni, L.; Brunetto, G.; Pavinato, P.S.; George, T.S. Editorial: Legacy Phosphorus in Agriculture: Role of Past Management and Perspectives for the Future. Front. Earth Sci. 2020, 8, 619935. [Google Scholar] [CrossRef]
- Garg, S.; Bahl, G.S. Phosphorus Availability to Maize as Influenced by Organic Manures and Fertilizer P Associated Phosphatase Activity in Soils. Bioresour. Technol. 2008, 99, 5773–5777. [Google Scholar] [CrossRef]
- Pantigoso, H.A.; Manter, D.K.; Vivanco, J.M. Differential Effects of Phosphorus Fertilization on Plant Uptake and Rhizosphere Microbiome of Cultivated and Non-Cultivated Potatoes. Microb. Ecol. 2020, 80, 169–180. [Google Scholar] [CrossRef]
- Afkairin, A.; Ippolito, J.A.; Stromberger, M.; Davis, J.G. Solubilization of Organic Phosphorus Sources by Cyanobacteria and a Commercially Available Bacterial Consortium. Appl. Soil Ecol. 2021, 162, 103900. [Google Scholar] [CrossRef]
- Sattari, S.Z.; Bouwman, A.F.; Giller, K.E.; van Ittersum, M.K. Residual Soil Phosphorus as the Missing Piece in the Global Phosphorus Crisis Puzzle. Proc. Natl. Acad. Sci. USA 2012, 109, 6348–6353. [Google Scholar] [CrossRef] [PubMed]
- Condron, L.M.; Spears, B.M.; Haygarth, P.M.; Turner, B.L.; Richardson, A.E. Role of Legacy Phosphorus in Improving Global Phosphorus-Use Efficiency. Environ. Dev. 2013, 8, 147–148. [Google Scholar] [CrossRef]
- Kaleem Abbasi, M.; Manzoor, M. Biosolubilization of Phosphorus from Rock Phosphate and Other P Fertilizers in Response to Phosphate Solubilizing Bacteria and Poultry Manure in a Silt Loam Calcareous Soil. J. Plant Nutr. Soil Sci. 2018, 181, 345–356. [Google Scholar] [CrossRef]
- Nisha, K.; Devi, P. Role of Phosphorous Solubilizing Microorganisms to Eradicate P-Deficiency in Plants: A Review. Int. J. Sci. Res. 2014, 4, 1–5. [Google Scholar]
- Prabhu, N.; Borkar, S.; Garg, S. Chapter 11—Phosphate Solubilization by Microorganisms: Overview, Mechanisms, Applications and Advances. In Advances in Biological Science Research; Meena, S.N., Naik, M.M., Eds.; Academic Press: Cambridge, MA, USA, 2019; pp. 161–176. ISBN 978-0-12-817497-5. [Google Scholar]
- Canarini, A.; Kaiser, C.; Merchant, A.; Richter, A.; Wanek, W. Root Exudation of Primary Metabolites: Mechanisms and Their Roles in Plant Responses to Environmental Stimuli. Front. Plant Sci. 2019, 10, 157. [Google Scholar] [CrossRef] [PubMed]
- Elhaissoufi, W.; Ghoulam, C.; Barakat, A.; Zeroual, Y.; Bargaz, A. Phosphate Bacterial Solubilization: A Key Rhizosphere Driving Force Enabling Higher P Use Efficiency and Crop Productivity. J. Adv. Res. 2022, 38, 13–28. [Google Scholar] [CrossRef] [PubMed]
- Pantigoso, H.A.; He, Y.; Manter, D.K.; Fonte, S.J.; Vivanco, J.M. Phosphorus-Solubilizing Bacteria Isolated from the Rhizosphere of Wild Potato Solanum Bulbocastanum Enhance Growth of Modern Potato Varieties. Bull. Natl. Res. Cent. 2022, 46, 224. [Google Scholar] [CrossRef]
- Afkairin, A.; Stromberger, M.; Storteboom, H.; Wickham, A.; Sterle, D.G.; Davis, J.G. Soil microbial community responses to cyanobacteria versus traditional organic fertilizers. Agriculture 2023, 13, 1902. [Google Scholar] [CrossRef]
- Chaparro, J.M.; Badri, D.V.; Bakker, M.G.; Sugiyama, A.; Manter, D.K.; Vivanco, J.M. Root exudation of phytochemicals in arabidopsis follows specific patterns that are developmentally programmed and correlate with soil microbial functions. PLoS ONE 2013, 8, e55731. [Google Scholar] [CrossRef]
- Yuan, J.; Chaparro, J.M.; Manter, D.K.; Zhang, R.; Vivanco, J.M.; Shen, Q. Roots from distinct plant developmental stages are capable of rapidly selecting their own microbiome without the influence of environmental and soil Edaphic factors. Soil Biol. Biochem. 2015, 89, 206–209. [Google Scholar] [CrossRef]
- Richardson, A.E.; Lynch, J.P.; Ryan, P.R.; Delhaize, E.; Smith, F.A.; Smith, S.E.; Harvey, P.R.; Ryan, M.H.; Veneklaas, E.J.; Lambers, H.; et al. Plant and Microbial Strategies to Improve the Phosphorus Efficiency of Agriculture. Plant Soil 2011, 349, 121–156. [Google Scholar] [CrossRef]
- Zahran, H.H. Rhizobium-Legume Symbiosis and Nitrogen Fixation under Severe Conditions and in an Arid Climate. Microbiol. Mol. Biol. Rev. 1999, 63, 968–989. [Google Scholar] [CrossRef]
- Wang, X.; Yan, X.; Liao, H. Genetic Improvement for Phosphorus Efficiency in Soybean: A Radical Approach. Ann. Bot. 2010, 106, 215–222. [Google Scholar] [CrossRef]
- Mitran, T.; Meena, R.S.; Lal, R.; Layek, J.; Kumar, S.; Datta, R. Role of Soil Phosphorus on Legume Production. In Legumes for Soil Health and Sustainable Management; Meena, R.S., Das, A., Yadav, G.S., Lal, R., Eds.; Springer: Singapore, 2018; pp. 487–510. ISBN 9789811302534. [Google Scholar]
- Veneklaas, E.J.; Stevens, J.; Cawthray, G.R.; Turner, S.; Grigg, A.M.; Lambers, H. Chickpea and White Lupin Rhizosphere Carboxylates Vary with Soil Properties and Enhance Phosphorus Uptake. Plant Soil 2003, 248, 187–197. [Google Scholar] [CrossRef]
- Nuruzzaman, M.; Lambers, H.; Bolland, M.D.; Veneklaas, E.J. Phosphorus Benefits of Different Legume Crops to Subsequent Wheat Grown in Different Soils of Western Australia. Plant Soil 2005, 271, 175–187. [Google Scholar] [CrossRef]
- Guy, D.S. Soil Science|Natural Resources Conservation Service. Available online: https://www.nrcs.usda.gov/conservation-basics/natural-resource-concerns/soil/soil-science (accessed on 30 January 2024).
- Davis, J.G.; Brick, M.A. Fertilizing Dry Beans-0.539. Available online: https://extension.colostate.edu/topic-areas/agriculture/fertilizing-dry-beans-0-539/ (accessed on 1 January 2024).
- Urbaniaka, G.C.; Plous, S. Research Randomizer. Available online: https://www.randomizer.org/ (accessed on 28 January 2024).
- Huang, C.L.; Schulte, E.E. Digestion of Plant Tissue for Analysis by ICP Emission Spectroscopy. Commun. Soil Sci. Plant Anal. 1985, 16, 943–958. [Google Scholar] [CrossRef]
- Olsen, S.R. Estimation of Available Phosphorus in Soils by Extraction with Sodium Bicarbonate; U.S. Department of Agriculture: Washington, DC, USA, 1954. [Google Scholar]
- Muyzer, G.; Teske, A.; Wirsen, C.O.; Jannasch, H.W. Phylogenetic Relationships of Thiomicrospira Species and Their Identification in Deep-Sea Hydrothermal Vent Samples by Denaturing Gradient Gel Electrophoresis of 16S rDNA Fragments. Arch. Microbiol. 1995, 164, 165–172. [Google Scholar] [CrossRef] [PubMed]
- Klindworth, A.; Pruesse, E.; Schweer, T.; Peplies, J.; Quast, C.; Horn, M.; Glöckner, F.O. Evaluation of General 16S Ribosomal RNA Gene PCR Primers for Classical and Next-Generation Sequencing-Based Diversity Studies. Nucleic Acids Res. 2013, 41, e1. [Google Scholar] [CrossRef] [PubMed]
- Manter, D.K.; Hamm, A.K.; Deel, H.L. Community Structure and Abundance of ACC Deaminase Containing Bacteria in Soils with 16S-PICRUSt2 Inference or Direct acdS Gene Sequencing. J. Microbiol. Methods 2023, 211, 106740. [Google Scholar] [CrossRef]
- Lenth, R.; Singmann, H.; Love, J.; Buerkner, P.; Herve, M. Emmeans: Estimated Marginal Means, Aka Least-Squares Means (Version 1.3.4). 2019. Available online: https://CRAN.R-project.org/package=emmeans (accessed on 22 June 2023).
- Robinson, M.D.; McCarthy, D.J.; Smyth, G.K. edgeR: A Bioconductor Package for Differential Expression Analysis of Digital Gene Expression Data. Bioinformatics 2010, 26, 139–140. [Google Scholar] [CrossRef] [PubMed]
- Siles, J.A.; Starke, R.; Martinovic, T.; Parente Fernandes, M.L.; Orgiazzi, A.; Bastida, F. Distribution of Phosphorus Cycling Genes across Land Uses and Microbial Taxonomic Groups Based on Metagenome and Genome Mining. Soil Biol. Biochem. 2022, 174, 108826. [Google Scholar] [CrossRef]
- Bais, H.P.; Weir, T.L.; Perry, L.G.; Gilroy, S.; Vivanco, J.M. The Role of Root Exudates in Rhizosphere Interactions with Plants and Other Organisms. Annu. Rev. Plant Biol. 2006, 57, 233–266. [Google Scholar] [CrossRef]
- Smith, S.E.; Smith, F.A. Roles of Arbuscular Mycorrhizas in Plant Nutrition and Growth: New Paradigms from Cellular to Ecosystem Scales. Annu. Rev. Plant Biol. 2011, 62, 227–250. [Google Scholar] [CrossRef]
- Cardinale, M.; Suarez, C.; Steffens, D.; Ratering, S.; Schnell, S. Effect of Different Soil Phosphate Sources on the Active Bacterial Microbiota Is Greater in the Rhizosphere than in the Endorhiza of Barley (Hordeum vulgare L.). Microb. Ecol. 2019, 77, 689–700. [Google Scholar] [CrossRef]
- Liao, X.; Zhao, J.; Yi, Q.; Li, J.; Li, Z.; Wu, S.; Zhang, W.; Wang, K. Metagenomic Insights into the Effects of Organic and Inorganic Agricultural Managements on Soil Phosphorus Cycling. Agric. Ecosyst. Environ. 2023, 343, 108281. [Google Scholar] [CrossRef]
- Yu, H.; Wang, F.; Shao, M.; Huang, L.; Xie, Y.; Xu, Y.; Kong, L. Effects of Rotations With Legume on Soil Functional Microbial Communities Involved in Phosphorus Transformation. Front. Microbiol. 2021, 12, 661100. [Google Scholar] [CrossRef] [PubMed]
- Wei, X.; Hu, Y.; Razavi, B.S.; Zhou, J.; Shen, J.; Nannipieri, P.; Wu, J.; Ge, T. Rare Taxa of Alkaline Phosphomonoesterase-Harboring Microorganisms Mediate Soil Phosphorus Mineralization. Soil Biol. Biochem. 2019, 131, 62–70. [Google Scholar] [CrossRef]
- Richardson, A.E.; Barea, J.-M.; McNeill, A.M.; Prigent-Combaret, C. Acquisition of Phosphorus and Nitrogen in the Rhizosphere and Plant Growth Promotion by Microorganisms. Plant Soil 2009, 321, 305–339. [Google Scholar] [CrossRef]
- Rajput, V.D.; Minkina, T.; Ranjan, A.; Joshi, A.; Kumari, A.; Chauhan, P.K.; Upadhya, S.K.; Sushkova, S.; Mandzhieva, S.; Arora, J. Chapter 9—Unraveling the Role of Nanoparticles and Rhizosphere Microbiome for Crop Production under Stress Condition. In The Impact of Nanoparticles on Agriculture and Soil; Chauhan, N.S., Gill, S.S., Eds.; Nanomaterial-Plant Interactions; Academic Press: Cambridge, MA, USA, 2023; pp. 161–181. ISBN 978-0-323-91703-2. [Google Scholar]
- Tian, J.; Lu, X.; Chen, Q.; Kuang, X.; Liang, C.; Deng, L.; Lin, D.; Cai, K.; Tian, J. Phosphorus Fertilization Affects Soybean Rhizosphere Phosphorus Dynamics and the Bacterial Community in Karst Soils. Plant Soil 2022, 475, 137–152. [Google Scholar] [CrossRef]
- Lidbury, I.D.E.A.; Scanlan, D.J.; Murphy, A.R.J.; Christie-Oleza, J.A.; Aguilo-Ferretjans, M.M.; Hitchcock, A.; Daniell, T.J. A Widely Distributed Phosphate-Insensitive Phosphatase Presents a Route for Rapid Organophosphorus Remineralization in the Biosphere. Proc. Natl. Acad. Sci. USA 2022, 119, e2118122119. [Google Scholar] [CrossRef]








| Parameter | Value |
|---|---|
| pH | 8.4 |
| Soluble salts (dS m−1) | 0.47 |
| Organic Matter LOI, % | 0.9 |
| Nitrate-N (mg kg−1) | 3.9 |
| Total P (mg kg−1) | 371 |
| Olsen P (mg kg−1) | 2.6 |
| Water holding capacity (%) | 12.0 |
Disclaimer/Publisher’s Note: The statements, opinions and data contained in all publications are solely those of the individual author(s) and contributor(s) and not of MDPI and/or the editor(s). MDPI and/or the editor(s) disclaim responsibility for any injury to people or property resulting from any ideas, methods, instructions or products referred to in the content. |
© 2024 by the authors. Licensee MDPI, Basel, Switzerland. This article is an open access article distributed under the terms and conditions of the Creative Commons Attribution (CC BY) license (https://creativecommons.org/licenses/by/4.0/).
Share and Cite
Afkairin, A.; Dixon, M.M.; Buchanan, C.; Ippolito, J.A.; Manter, D.K.; Davis, J.G.; Vivanco, J.M. Harnessing Phosphorous (P) Fertilizer-Insensitive Bacteria to Enhance Rhizosphere P Bioavailability in Legumes. Microorganisms 2024, 12, 353. https://doi.org/10.3390/microorganisms12020353
Afkairin A, Dixon MM, Buchanan C, Ippolito JA, Manter DK, Davis JG, Vivanco JM. Harnessing Phosphorous (P) Fertilizer-Insensitive Bacteria to Enhance Rhizosphere P Bioavailability in Legumes. Microorganisms. 2024; 12(2):353. https://doi.org/10.3390/microorganisms12020353
Chicago/Turabian StyleAfkairin, Antisar, Mary M. Dixon, Cassidy Buchanan, James A. Ippolito, Daniel K. Manter, Jessica G. Davis, and Jorge M. Vivanco. 2024. "Harnessing Phosphorous (P) Fertilizer-Insensitive Bacteria to Enhance Rhizosphere P Bioavailability in Legumes" Microorganisms 12, no. 2: 353. https://doi.org/10.3390/microorganisms12020353
APA StyleAfkairin, A., Dixon, M. M., Buchanan, C., Ippolito, J. A., Manter, D. K., Davis, J. G., & Vivanco, J. M. (2024). Harnessing Phosphorous (P) Fertilizer-Insensitive Bacteria to Enhance Rhizosphere P Bioavailability in Legumes. Microorganisms, 12(2), 353. https://doi.org/10.3390/microorganisms12020353

