Enhancement of Digestive Enzyme Activity in Enterococcus faecalis Using ARTP Mutagenesis
Abstract
1. Introduction
2. Materials and Methods
2.1. Strain and Culture Conditions
2.2. Growth Curve
2.3. Mutagenic Bacteria Suspension Preparation
2.4. Mutagenesis by ARTP
2.5. Pre-Screening and Re-Screening
2.5.1. Pre-Screening
2.5.2. Re-Screening
2.5.3. Overall Rating
× 100 × 0.4 + (neutral protease activity/maximum neutral protease activity) ×
100 × 0.4 + (lipase activity/maximum lipase activity) × 100 × 0.2
2.6. The Genetic Stability Analysis of the Mutant
2.7. Evaluation of Probiotic Characteristics
2.7.1. Auto-Aggregation of Selected Mutant Isolates
2.7.2. Cell Surface Hydrophobicity of Selected Mutant Isolates
2.7.3. Tolerance Analysis of Screened Strains
2.7.4. Determination of the Antioxidant Capacity of the Mutant Strains
2.8. Safety Evaluation
2.8.1. Hemolytic Activity
2.8.2. Mutagenic Strains Safety Testing
2.9. Statistics Analysis
3. Results
3.1. Growth Curve of E. faecalis
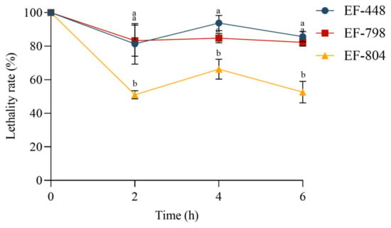
3.2. ARTP Mutagenic Lethality Rate
3.3. Pre-Screening
3.4. Re-Screening
3.5. The Genetic Stability
3.6. Hydrophobicity and Auto-Aggregation Ability of Mutant Strains
3.6.1. Auto-Aggregation
3.6.2. Hydrophobicity
3.7. Tolerance Analysis of Screened Strains
3.8. Antioxidant Capacity
3.9. Safety Evaluation
3.9.1. Hemolytic Activity
3.9.2. Mutagenic Strains Safety Testing
4. Discussion
5. Conclusions
Author Contributions
Funding
Institutional Review Board Statement
Data Availability Statement
Acknowledgments
Conflicts of Interest
References
- Hill, C.; Guarner, F.; Reid, G.; Gibson, G.R.; Merenstein, D.J.; Pot, B.; Morelli, L.; Canani, R.B.; Flint, H.J.; Salminen, S.; et al. The international scientific association for probiotics and prebiotics consensus statement on the scope and appropriate use of the term probiotic. Nat. Rev. Gastroenterol. Hepatol. 2014, 11, 506–514. [Google Scholar] [CrossRef] [PubMed]
- Ushakova, N.A.; Pravdin, V.G.; Kravtsova, L.Z.; Ponomarev, S.V.; Gridina, T.S.; Ponomareva, E.N.; Rudoy, D.V.; Chikindas, M.L. Complex bioactive supplements for aquaculture-evolutionary development of probiotic concepts. Probiotics Antimicrob. 2021, 13, 1696–1708. [Google Scholar] [CrossRef] [PubMed]
- Xie, M.X.; Li, M.; Hao, Q.; Olsen, R.E.; Ringo, E.; Yang, Y.L.; Zhang, Z.; Ran, C.; Zhou, Z.G. Effects of nuclease-treated fermentation product of Lactobacillus rhamnosus GCC-3 on growth, hepatic health and gut microbiota of zebrafish (Danio rerio) fed a high-fat diet. Aquacult. Rep. 2023, 29, 101529. [Google Scholar] [CrossRef]
- Hanifeh, M.; Spillmann, T.; Huhtinen, M.; Sclivagnotis, Y.S.; Gronthal, T.; Hynoenen, U. Ex-vivo adhesion of Enterococcus faecalis and Enterococcus faecium to the intestinal mucosa of healthy beagles. Animals 2021, 11, 3283. [Google Scholar] [CrossRef] [PubMed]
- Vogt, G. Synthesis of digestive enzymes, food processing, and nutrient absorption in decapod crustaceans: A comparison to the mammalian model of digestion. Zoology 2021, 147, 125945. [Google Scholar] [CrossRef]
- Zheng, C.C.; Wu, J.W.; Jin, Z.H.; Ye, Z.F.; Yang, S.; Sun, Y.Q.; Fei, H. Exogenous enzymes as functional additives in finfish aquaculture. Aquacult. Nutr. 2020, 26, 213–224. [Google Scholar] [CrossRef]
- Prakash, S.; Maas, R.M.; Horstmann, P.; Elbers, J.J.; Kokou, F.; Schrama, J.W.; Philip, A.J.P. Effect of dietary starch, amylase and ash on nutrient digestibility, faecal waste production and faecal characteristics of rainbow trout, (Oncorhynchus mykiss). Aquaculture 2024, 583, 740612. [Google Scholar] [CrossRef]
- Zhang, X.; Zhang, X.F.; Li, H.P.; Wang, L.Y.; Zhang, C.; Xing, X.H.; Bao, C.Y. Atmospheric and room temperature plasma (ARTP) as a new powerful mutagenesis tool. Appl. Microbiol. Biotechnol. 2014, 98, 5387–5396. [Google Scholar] [CrossRef]
- Ottenheim, C.; Nawrath, M.; Wu, J.C. Microbial mutagenesis by atmospheric and room-temperature plasma (ARTP): The latest development. Bioresour. Bioprocess. 2018, 5, 12. [Google Scholar] [CrossRef]
- Sánchez-Osuna, M.; Cortés, P.; Lee, M.; Smith, A.T.; Barbé, J.; Erill, I. Non-canonical LexA proteins regulate the SOS response in the Bacteroidetes. Nucleic Acids Res. 2021, 49, 11050–11066. [Google Scholar] [CrossRef]
- Zhang, N.; Jiang, Y.; Sun, Y.J.; Jiang, J.C.; Tong, Y.J. Breeding of a thermostable xylanase-producing strain of Myceliophthora thermophila by atmospheric room temperature plasma (ARTP) mutagenesis. Front. Bioeng. Biotechnol. 2023, 10, 1095323. [Google Scholar] [CrossRef] [PubMed]
- Zhang, C.Z.; Li, Y.; Zhang, T.S.; Zhao, H. Increasing chitosanase production in Bacillus cereus by a novel mutagenesis and screen method. Bioengineered 2021, 12, 266–277. [Google Scholar] [CrossRef] [PubMed]
- Meng, Y.J.; Zhang, X.; Zhai, Y.F.; Li, Y.; Shao, Z.H.; Liu, S.S.; Zhang, C.; Xing, X.H.; Zheng, H. Identification of the mutual gliding locus as a factor for gut colonization in non-native bee hosts using the ARTP mutagenesis. Microbiome 2024, 12, 93. [Google Scholar] [CrossRef] [PubMed]
- Xu, H.N.; Dai, C.H.; Tang, Y.X.; Xu, X.T.; Umego, E.C.; He, R.H.; Ma, H.L. The selective breeding and mutagenesis mechanism of high-yielding surfactin Bacillus subtilis strains with atmospheric and room temperature plasma. J. Sci. Food Agric. 2022, 102, 1851–1861. [Google Scholar] [CrossRef] [PubMed]
- Nyabako, B.A.; Fang, H.; Cui, F.J.; Liu, K.Y.; Tao, T.L.; Zan, X.Y.; Sun, W.J. Enhanced acid tolerance in Lactobacillus acidophilus by atmospheric and room temperature plasma (ARTP) coupled with adaptive laboratory evolution (ALE). Appl. Microbiol. Biotechnol. 2020, 191, 1499–1514. [Google Scholar] [CrossRef]
- Songnaka, N.; Nisoa, M.; Atipairin, A.; Wanganuttara, T.; Chinnawong, T. Enhanced antibacterial activity of Brevibacillus sp. SPR19 by atmospheric and room temperature plasma mutagenesis (ARTP). Sci. Pharm. 2022, 90, 23. [Google Scholar] [CrossRef]
- Bao, Z.J.; Wang, X.M.; Wang, Q.F.; Zou, L.; Peng, L.X.; Li, L.J.; Tu, W.Y.; Li, Q. A novel method of domestication combined with ARTP to improve the reduction ability of Bacillus velezensis to Cr (VI). J. Environ. 2023, 11, 109091. [Google Scholar] [CrossRef]
- Zhang, A.D.; Ma, Y.D.; Deng, Y.; Zhou, Z.W.; Cao, Y.; Yang, B.; Bai, J.; Sun, Q. Enhancing protease and amylase activities in Bacillus licheniformis XS-4 for traditional soy sauce fermentation using ARTP mutagenesis. Foods 2023, 12, 2381. [Google Scholar] [CrossRef]
- Ma, Y.F.; Yang, H.Q.; Chen, X.Z.; Sun, B.; Du, G.C.; Zhou, Z.M.; Song, J.N.; Fan, Y.; Shen, W. Significantly improving the yield of recombinant proteins in Bacillus subtilis by a novel powerful mutagenesis tool (ARTP): Alkaline α-amylase as a case study. Protein Expr. Purif. 2015, 114, 82–88. [Google Scholar] [CrossRef]
- Angmo, K.; Kumari, A.; Savitri; Bhalla, T.C. Probiotic characterization of lactic acid bacteria isolated from fermented foods and beverage of Ladakh. LWT Food Sci. Technol. 2016, 66, 428–435. [Google Scholar] [CrossRef]
- Jin, Y.M.; Luo, B.L.; Cai, J.J.; Yang, B.; Zhang, Y.; Tian, F.W.; Ni, Y.Q. Evaluation of indigenous lactic acid bacteria of raw mare milk from pastoral areas in Xinjiang, China, for potential use in probiotic fermented dairy products. J. Dairy Sci. 2021, 104, 5166–5184. [Google Scholar] [CrossRef] [PubMed]
- Shi, Z.H.; Li, X.F.; Fan, X.K.; Zeng, X.Q.; Zhang, T.; Wu, Z.; Wu, X.; Pan, D.D. The SlpX protein plays a crucial role in the intestinal juice tolerance of Lactobacillus acidophilus CICC6074. Food Biosci. 2024, 59, 103865. [Google Scholar] [CrossRef]
- Divisekera, D.; Samarasekera, J.; Hettiarachchi, C.; Maharjan, R.; Gooneratne, J.; Iqbal, C.M.; Gopalakrishnan, S.; Wahab, A.T.; Mazumdar, S.D. Oral toxicity evaluation of probiotic strains isolated from Finger millet [Eleusine coracana (L.) Gaertn.] in Wistar rat models (in vivo). Arch. Toxicol. 2021, 3, 91–102. [Google Scholar] [CrossRef]
- Cao, S.; Zhou, X.; Jin, W.B.; Wang, F.; Tu, R.J.; Han, S.F.; Chen, H.Y.; Chen, C.; Xie, G.J.; Ma, F. Improving of lipid productivity of the oleaginous microalgae Chlorella pyrenoidosa via atmospheric and room temperature plasma (ARTP). Bioresour. Technol. 2017, 244, 1400–1406. [Google Scholar] [CrossRef]
- Pan, J.; Zhang, J.; Wei, H.F.; Liu, Q.G.; Xu, W.H.; Bao, Y.H. Optimizing mycelial protein yield in Pleurotus djamor via ARTP mutagenesis and hybridization strategies. J. Biotechnol. 2024, 386, 64–71. [Google Scholar] [CrossRef]
- Shangguan, L.L.; Zhang, H.Y.; Liu, Z.X.; An, F.R.; Yang, Q.; Zhang, X.L.; Yao, L.; Yang, S.H.; Dai, J.; Chen, X. Improved glutamic acid production capacity of Corynebacterium glutamicum by the ARTP mutagenesis method. Fermentation 2023, 9, 599. [Google Scholar] [CrossRef]
- Liu, T.; Huang, Z.Y.; Gui, X.; Xiang, W.; Jin, Y.B.; Chen, J.; Zhao, J. Multiomics comparative analysis of streptomyces mutants obtained by iterative atmosphere and room-temperature plasma mutagenesis. Front. Microbiol. 2021, 11, 630309. [Google Scholar] [CrossRef]
- Zhang, C.X.; Rahimnejad, S.; Wang, Y.R.; Lu, K.L.; Song, K.; Wang, L.; Mai, K.S. Substituting fish meal with soybean meal in diets for Japanese seabass (Lateolabrax japonicus): Effects on growth, digestive enzymes activity, gut histology, and expression of gut inflammatory and transporter genes. Aquaculture 2018, 483, 173–182. [Google Scholar] [CrossRef]
- Ding, F.F.; Zhou, N.N.; Luo, Y.; Wang, T.; Li, W.J.; Qiao, F.; Du, Z.Y.; Zhang, M.L. Probiotic Pediococcus pentosaceus restored gossypol-induced intestinal barrier injury by increasing propionate content in Nile tilapia. J. Anim. Sci. Biotechnol. 2024, 15, 54. [Google Scholar] [CrossRef]
- Doan, H.V.; Hoseinifar, S.H.; Ringo, E.; Esteban, M.A.; Dadar, M.; Dawood, M.A.O.; Faggio, C. Host-associated probiotics: A key factor in sustainable aquaculture. Rev. Fish. Sci. Aquac. 2020, 28, 16–24. [Google Scholar] [CrossRef]
- Wu, J.J.; Yu, T.; Wang, Q.J.; Zhang, C.J.; Fu, D.B.; Liu, W.; Jiang, M.; Xu, L.; Zhou, Y.; Wu, J.P. Effects of dietary microbial protease on growth performance, nutrient apparent digestibility, hepatic antioxidant capacity, protease activities and intestinal microflora in juvenile genetically improved farmed tilapia, Oreochromis niloticus. Aquacult. Rep. 2024, 34, 101894. [Google Scholar] [CrossRef]
- Mock, T.S.; Francis, D.S.; Jago, M.K.; Glencross, B.D.; Smullen, R.P.; Keast, R.S.; Turchini, G.M. The impact of dietary protein: Lipid ratio on growth performance, fatty acid metabolism, product quality and waste output in atlantic salmon (Salmo salar). Aquaculture 2019, 501, 191–201. [Google Scholar] [CrossRef]
- Zhao, S.; Tan, M.Z.; Wang, R.X.; Ye, F.T.; Chen, Y.P.; Luo, X.M.; Feng, J.X. Combination of genetic engineering and random mutagenesis for improving production of raw-starch-degrading enzymes in Penicillium oxalicum. Microb. Cell Fact. 2022, 21, 272. [Google Scholar] [CrossRef]
- Shu, L.; Si, X.G.; Yang, X.D.; Ma, W.Y.; Sun, J.L.; Zhang, J.; Xue, X.L.; Wang, D.P.; Gao, Q. Enhancement of Acid Protease Activity of Aspergillus oryzae Using Atmospheric and Room Temperature Plasma. Front. Microbiol. 2020, 11, 1418. [Google Scholar] [CrossRef]
- Li, H.P.; Wang, L.Y.; Li, G.; Jin, L.H.; Le, P.S.; Zhao, H.X.; Xing, X.H.; Bao, C.Y. Manipulation of lipase activity by the helium radio-frequency, atmospheric-pressure glow discharge plasma jet. Plasma Process. Polym. 2011, 8, 224–229. [Google Scholar] [CrossRef]
- Jiang, Y.; Shang, Y.-P.; Li, H.; Zhang, C.; Pan, J.; Bai, Y.-P.; Li, C.-X.; Xu, J.-H. Enhancing transglutaminase production of Streptomyces mobaraensis by iterative mutagenesis breeding with atmospheric and room-temperature plasma (ARTP). Bioresour. Bioprocess. 2017, 4, 37. [Google Scholar] [CrossRef]
- Zhang, X.; Zhang, C.; Zhou, Q.Q.; Zhang, X.F.; Wang, L.Y.; Chang, H.B.; Li, H.P.; Oda, Y.; Xing, X.H. Quantitative evaluation of DNA damage and mutation rate by atmospheric and room-temperature plasma (ARTP) and conventional mutagenesis. Appl. Microbiol. Biotechnol. 2015, 99, 5639–5646. [Google Scholar] [CrossRef]
- Reuben, R.C.; Roy, P.C.; Sarkar, S.L.; Ul-Alam, A.; Jahid, I.K. Characterization and evaluation lactic acid bacteria from indigenous raw milk for potential probiotic properties. J. Dairy Sci. 2020, 103, 1223–1237. [Google Scholar] [CrossRef]
- Goh, Y.J.; Klaenhammer, T.R. Functional roles of aggregation-promoting-like factor in stress tolerance and adherence of Lactobacillus acidophilus NCFM. Appl. Environ. Microb. 2010, 76, 5005–5012. [Google Scholar] [CrossRef]
- Ebrahimi, M.; Sadeghi, A.; Rahimi, D.; Purabdolah, H.; Shahryari, S. Postbiotic and anti-aflatoxigenic capabilities of Lactobacillus kunkeei as the potential probiotic LAB isolated from the natural honey. Probiotics Antimicrob. Proteins 2021, 13, 343–355. [Google Scholar] [CrossRef]
- Rajoka, M.S.R.; Mehwish, H.M.; Siddiq, M.; Zhao, H.B.; Zhu, J.; Yan, L.; Shao, D.Y.; Xu, X.G.; Shi, J.L. Identification, characterization, and probiotic potential of Lactobacillus rhamnosus isolated from human milk. LWT-Food Sci. Technol. 2017, 84, 271–280. [Google Scholar] [CrossRef]
- Yang, J.F.; Sun, Y.; Lei, X.Y.; Zhao, L.X.; Luo, R.; Liu, W.J. Evaluation of novel isolates of Lacticaseibacillus rhamnosus Probio-M9 derived through space mutagenesis. Food Biosci. 2023, 52, 102456. [Google Scholar] [CrossRef]
- Xiao, L.Y.; Yang, Y.; Han, S.; Rui, X.; Ma, K.; Zhang, C.L.; Wang, G.X.; Li, W. Effects of genes required for exopolysaccharides biosynthesis in Lacticaseibacillus paracasei S-NB on cell surface characteristics and probiotic properties. Int. J. Biol. Macromol. 2023, 224, 292–305. [Google Scholar] [CrossRef]
- Cuffia, F.; George, G.; Godoy, L.; Vinderola, G.; Reinheimer, J.; Burns, P. In vivo study of the immunomodulatory capacity and the impact of probiotic strains on physicochemical and sensory characteristics: Case of pasta filata soft cheeses. Food Res. Int. 2019, 125, 108606. [Google Scholar] [CrossRef]
- Mohiuddin, M.; Kasahara, K. The emerging role of oxidative stress in complications of COVID-19 and potential therapeutic approach to diminish oxidative stress. Respir. Med. 2021, 187, 106605. [Google Scholar] [CrossRef]
- Ghiasi, F.; Hashemi, S.M.B.; Abedi, E. Effective enhancement of food oxidative stability induced by Lactobacillus strains: In vitro activity. Food Control 2023, 153, 109912. [Google Scholar] [CrossRef]
- Cárdenas, N.; Laiño, J.E.; Delgado, S.; Jiménez, E.; del Valle, M.J.; de Giori, G.S.; Sesma, F.; Mayo, B.; Fernández, L.; LeBlanc, J.G.; et al. Relationships between the genome and some phenotypical properties of Lactobacillus fermentum CECT 5716, a probiotic strain isolated from human milk. Appl. Microbiol. Biotechnol. 2015, 99, 4343–4353. [Google Scholar] [CrossRef]
- Lou, H.B.; Wang, J.; Wang, Y.P.; Gao, Y.D.; Wang, W. Comprehensive assessment of Enterococcus faecalis SN21-3: Probiotic features and safety evaluation for potential animal use. Food Biosci. 2024, 58, 103688. [Google Scholar] [CrossRef]
- Nataraj, B.H.; Behare, P.V.; Yadav, H.; Srivastava, A.K. Emerging pre-clinical safety assessments for potential probiotic strains: A review. Crit. Rev. Food Sci. Nutr. 2023, 64, 8155–8183. [Google Scholar] [CrossRef]







| Strains Number | α-Amylase(U/dL) | Neutral Protease (nmol/min/mL) | Lipase (U/mL) | Overall Score (%) |
|---|---|---|---|---|
| EF-513 | 43.07 ± 2.98 | 20.16 ± 0.85 | 0.53 ± 0.01 | 91.94 ± 0.99 |
| EF-804 | 43.03 ± 0.63 | 20.40 ± 0.43 | 0.50 ± 0.04 | 91.37 ± 1.50 |
| EF-494 | 40.68 ± 2.12 | 21.16 ± 1.10 | 0.45 ± 0.01 | 89.01 ± 3.98 |
| EF-798 | 40.50 ± 0.39 | 20.40 ± 0.35 | 0.46 ± 0.04 | 88.51 ± 1.41 |
| EF-783 | 49.27 ± 1.46 | 16.41 ± 0.29 | 0.43 ± 0.03 | 86.22 ± 1.62 |
| EF-448 | 44.66 ± 2.81 | 15.65 ± 1.26 | 0.50 ± 0.01 | 83.53 ± 4.64 |
| EF-812 | 45.56 ± 1.81 | 14.49 ± 0.80 | 0.48 ± 0.08 | 81.51 ± 2.65 |
| EF-536 | 47.07 ± 0.24 | 14.89 ± 0.82 | 0.43 ± 0.02 | 81.44 ± 1.97 |
| EF-782 | 49.45 ± 1.35 | 13.19 ± 0.13 | 0.46 ± 0.01 | 81.34 ± 1.16 |
| EF-816 | 49.63 ± 3.74 | 11.67 ± 0.16 | 0.51 ± 0.03 | 80.52 ± 3.33 |
| EF-534 | 43.75 ± 0.63 | 17.28 ± 0.88 | 0.35 ± 0.06 | 80.46 ± 0.86 |
| EF-811 | 43.39 ± 0.56 | 12.55 ± 0.28 | 0.54 ± 0.01 | 78.22 ± 1.16 |
| EF-502 | 40.50 ± 0.94 | 13.04 ± 1.26 | 0.54 ± 0.00 | 76.74 ± 2.51 |
| EF-807 | 44.29 ± 0.45 | 12.17 ± 0.33 | 0.47 ± 0.01 | 75.77 ± 1.26 |
| EF-454 | 41.22 ± 0.00 | 12.95 ± 0.21 | 0.49 ± 0.01 | 75.32 ± 0.76 |
| EF-775 | 41.31 ± 1.86 | 13.52 ± 0.43 | 0.43 ± 0.05 | 74.36 ± 3.01 |
| EF-795 | 44.48 ± 1.03 | 12.97 ± 1.19 | 0.43 ± 0.03 | 74.12 ± 3.44 |
| EF-452 | 47.32 ± 1.02 | 9.57 ± 0.50 | 0.48 ± 0.01 | 73.51 ± 1.15 |
| EF-808 | 44.20 ± 0.41 | 11.16 ± 0.67 | 0.45 ± 0.00 | 72.94 ± 0.53 |
| EF-531 | 41.76 ± 0.31 | 12.83 ± 0.13 | 0.41 ± 0.01 | 72.64 ± 0.32 |
| EF-453 | 40.68 ± 1.57 | 11.81 ± 0.15 | 0.47 ± 0.01 | 72.10 ± 1.45 |
| EF-778 | 42.85 ± 0.68 | 9.75 ± 0.92 | 0.51 ± 0.00 | 71.36 ± 1.06 |
| EF-800 | 44.20 ± 1.03 | 9.38 ± 2.27 | 0.48 ± 0.07 | 70.88 ± 2.61 |
| EF-451 | 43.12 ± 3.97 | 10.36 ± 0.36 | 0.45 ± 0.05 | 70.71 ± 3.24 |
| EF-450 | 41.22 ± 2.59 | 8.70 ± 0.11 | 0.53 ± 0.02 | 68.78 ± 2.23 |
| EF-449 | 41.85 ± 2.91 | 8.55 ± 0.96 | 0.52 ± 0.01 | 68.66 ± 1.80 |
| EF-781 | 41.76 ± 0.68 | 9.24 ± 1.44 | 0.48 ± 0.01 | 68.55 ± 2.53 |
| EF-828 | 44.84 ± 1.19 | 8.15 ± 0.25 | 0.44 ± 0.07 | 67.58 ± 2.20 |
| EF-505 | 43.75 ± 0.09 | 6.01 ± 0.96 | 0.55 ± 0.01 | 66.61 ± 1.49 |
| EF-788 | 43.84 ± 1.20 | 6.34 ± 0.40 | 0.49 ± 0.02 | 65.19 ± 0.83 |
| EF-791 | 40.41 ± 0.54 | 8.21 ± 0.35 | 0.47 ± 0.02 | 65.09 ± 0.34 |
| EF-797 | 41.40 ± 0.86 | 8.37 ± 0.25 | 0.45 ± 0.08 | 64.70 ± 2.41 |
| EF-799 | 41.40 ± 1.83 | 6.41 ± 0.75 | 0.47 ± 0.01 | 64.63 ± 0.95 |
| EF-792 | 40.41 ± 0.54 | 6.52 ± 0.23 | 0.52 ± 0.04 | 64.04 ± 1.29 |
| EF-784 | 46.19 ± 2.67 | 4.24 ± 0.06 | 0.50 ± 0.01 | 63.33 ± 1.99 |
| EF-785 | 40.23 ± 1.11 | 6.23 ± 0.45 | 0.53 ± 0.01 | 63.19 ± 0.56 |
| EF-516 | 40.41 ± 0.72 | 7.07 ± 0.06 | 0.47 ± 0.02 | 62.87 ± 0.08 |
| EF-805 | 40.59 ± 1.19 | 13.84 ± 0.49 | 0.07 ± 0.01 | 61.46 ± 1.43 |
| EF-564 | 40.59 ± 1.40 | 7.39 ± 1.07 | 0.40 ± 0.01 | 61.24 ± 2.50 |
| EF-532 | 41.76 ± 0.47 | 6.90 ± 0.28 | 0.40 ± 0.00 | 60.99 ± 0.79 |
| EF-375 | 40.05 ± 1.27 | 6.52 ± 0.87 | 0.45 ± 0.01 | 60.78 ± 2.16 |
| EF-771 | 41.31 ± 1.67 | 4.24 ± 0.23 | 0.52 ± 0.00 | 59.96 ± 1.09 |
| EF-780 | 42.76 ± 0.86 | 4.38 ± 0.49 | 0.45 ± 0.07 | 59.01 ± 2.41 |
| EF-383 | 40.41 ± 0.72 | 7.32 ± 0.19 | 0.35 ± 0.03 | 58.93 ± 1.78 |
| EF-794 | 40.50 ± 0.63 | 3.26 ± 0.06 | 0.44 ± 0.02 | 57.86 ± 0.74 |
| EF-786 | 48.09 ± 1.01 | - | 0.50 ± 0.05 | 56.95 ± 1.43 |
| EF-527 | 41.67 ± 0.24 | 3.75 ± 0.72 | 0.45 ± 0.01 | 56.94 ± 1.79 |
| EF-603 | 42.40 ± 2.25 | 4.75 ± 0.38 | 0.38 ± 0.02 | 56.88 ± 1.30 |
| EF-535 | 42.58 ± 0.41 | 3.70 ± 0.63 | 0.42 ± 0.02 | 56.66 ± 2.01 |
| EF-819 | 43.84 ± 1.27 | 0.76 ± 0.06 | 0.52 ± 0.01 | 55.59 ± 1.30 |
| EF-815 | 45.29 ± 1.59 | - | 0.52 ± 0.02 | 55.32 ± 1.81 |
| EF-263 | 40.32 ± 0.33 | 4.28 ± 1.13 | 0.40 ± 0.03 | 55.09 ± 3.08 |
| EF-774 | 40.23 ± 1.89 | 2.17 ± 0.50 | 0.50 ± 0.00 | 54.63 ± 2.46 |
| EF-824 | 46.46 ± 2.43 | - | 0.47 ± 0.03 | 54.37 ± 1.88 |
| EF-533 | 40.95 ± 1.65 | 3.32 ± 0.28 | 0.41 ± 0.01 | 54.14 ± 1.35 |
| EF-522 | 41.40 ± 0.59 | 2.12 ± 0.09 | 0.46 ± 0.01 | 54.00 ± 0.17 |
| EF-820 | 44.75 ± 0.72 | - | 0.49 ± 0.02 | 53.62 ± 0.24 |
| EF-823 | 43.93 ± 1.24 | - | 0.50 ± 0.01 | 53.39 ± 1.05 |
| EF-525 | 43.93 ± 1.03 | - | 0.49 ± 0.01 | 53.25 ± 1.20 |
| EF-790 | 43.75 ± 1.46 | - | 0.49 ± 0.04 | 52.96 ± 0.86 |
| EF-509 | 42.94 ± 0.86 | - | 0.50 ± 0.02 | 52.58 ± 0.27 |
| EF-793 | 40.95 ± 0.16 | 2.88 ± 0.09 | 0.40 ± 0.04 | 52.53 ± 0.93 |
| EF-827 | 45.02 ± 0.41 | - | 0.45 ± 0.04 | 52.44 ± 1.60 |
| EF-779 | 42.12 ± 1.42 | - | 0.51 ± 0.01 | 52.35 ± 1.38 |
| EF-810 | 43.66 ± 1.22 | - | 0.47 ± 0.06 | 52.32 ± 3.13 |
| EF-395 | 41.67 ± 1.04 | - | 0.52 ± 0.03 | 52.27 ± 1.43 |
| EF-832 | 44.20 ± 1.18 | - | 0.44 ± 0.01 | 51.64 ± 1.20 |
| EF-501 | 42.40 ± 2.09 | - | 0.48 ± 0.03 | 51.59 ± 0.80 |
| EF-796 | 42.22 ± 0.63 | - | 0.49 ± 0.02 | 51.14 ± 0.75 |
| EF-529 | 43.03 ± 1.84 | - | 0.44 ± 0.01 | 50.62 ± 1.33 |
| EF-530 | 43.12 ± 1.24 | - | 0.44 ± 0.01 | 50.62 ± 1.13 |
| EF-514 | 41.67 ± 1.42 | 0.87 ± 0.44 | 0.42 ± 0.05 | 50.53 ± 0.17 |
| EF (control) | 15.82 ± 1.81 | 13.12 ± 0.74 | 0.34 ± 0.05 | 49.82 ± 3.01 |
| EF-537 | 43.03 ± 1.19 | - | 0.41 ± 0.00 | 49.50 ± 0.68 |
| EF-528 | 41.22 ± 0.98 | - | 0.45 ± 0.01 | 49.44 ± 0.64 |
| EF-526 | 41.85 ± 0.77 | - | 0.43 ± 0.06 | 49.39 ± 1.89 |
| EF-366 | 42.94 ± 2.11 | - | 0.41 ± 0.02 | 49.35 ± 1.85 |
| EF-607 | 41.13 ± 1.82 | 2.07 ± 0.57 | 0.33 ± 0.03 | 49.12 ± 2.96 |
| EF-523 | 40.68 ± 0.16 | - | 0.45 ± 0.02 | 49.08 ± 0.56 |
| EF-770 | 40.77 ± 0.39 | - | 0.44 ± 0.04 | 48.80 ± 1.50 |
| EF-517 | 41.13 ± 0.94 | - | 0.43 ± 0.02 | 48.67 ± 1.12 |
| EF-226 | 40.77 ± 5.65 | - | 0.43 ± 0.02 | 48.24 ± 5.00 |
| EF-611 | 42.22 ± 1.01 | - | 0.34 ± 0.02 | 46.24 ± 1.06 |
| EF-379 | 40.59 ± 1.89 | - | 0.36 ± 0.03 | 45.70 ± 0.96 |
| Strain | Auto-Aggregation (%) | ||
|---|---|---|---|
| 2 h | 4 h | 24 h | |
| EF | 10.17 ± 0.72 | 14.27 ± 2.33 | 94.01 ± 0.72 |
| EF-448 | 9.18 ± 1.05 | 11.56 ± 1.01 | 93.05 ± 0.82 |
| EF-798 | 8.89 ± 0.66 | 13.77 ± 1.57 | 92.67 ± 0.47 |
| EF-804 | 9.78 ± 0.57 | 12.07 ± 0.44 | 91.03 ± 1.05 |
| Strain | Hydrophobicity (%) |
|---|---|
| EF | 93.98 ± 0.41 |
| EF-448 | 93.86 ± 0.33 |
| EF-798 | 94.59 ± 0.04 |
| EF-804 | 94.42 ± 0.07 |
| Strain | Concentration (CFU/mL) | Death Rate (%) |
|---|---|---|
| Sterile saline | - | 0 |
| EF-448 | 108 | 0 |
| 1010 | 0 | |
| EF-798 | 108 | 0 |
| 1010 | 0 | |
| EF-804 | 108 | 0 |
| 1010 | 0 |
Disclaimer/Publisher’s Note: The statements, opinions and data contained in all publications are solely those of the individual author(s) and contributor(s) and not of MDPI and/or the editor(s). MDPI and/or the editor(s) disclaim responsibility for any injury to people or property resulting from any ideas, methods, instructions or products referred to in the content. |
© 2024 by the authors. Licensee MDPI, Basel, Switzerland. This article is an open access article distributed under the terms and conditions of the Creative Commons Attribution (CC BY) license (https://creativecommons.org/licenses/by/4.0/).
Share and Cite
Yuan, M.; Li, Z.; Zhou, Q.; Zheng, X.; Sun, C.; Liu, B.; Wang, A.; Zhu, A. Enhancement of Digestive Enzyme Activity in Enterococcus faecalis Using ARTP Mutagenesis. Microorganisms 2024, 12, 2425. https://doi.org/10.3390/microorganisms12122425
Yuan M, Li Z, Zhou Q, Zheng X, Sun C, Liu B, Wang A, Zhu A. Enhancement of Digestive Enzyme Activity in Enterococcus faecalis Using ARTP Mutagenesis. Microorganisms. 2024; 12(12):2425. https://doi.org/10.3390/microorganisms12122425
Chicago/Turabian StyleYuan, Meng, Zhengzhong Li, Qunlan Zhou, Xiaochuan Zheng, Cunxin Sun, Bo Liu, Aimin Wang, and Aimin Zhu. 2024. "Enhancement of Digestive Enzyme Activity in Enterococcus faecalis Using ARTP Mutagenesis" Microorganisms 12, no. 12: 2425. https://doi.org/10.3390/microorganisms12122425
APA StyleYuan, M., Li, Z., Zhou, Q., Zheng, X., Sun, C., Liu, B., Wang, A., & Zhu, A. (2024). Enhancement of Digestive Enzyme Activity in Enterococcus faecalis Using ARTP Mutagenesis. Microorganisms, 12(12), 2425. https://doi.org/10.3390/microorganisms12122425

