Exiguolysin, a Novel Thermolysin (M4) Peptidase from Exiguobacterium oxidotolerans
Abstract
1. Introduction
2. Materials and Methods
2.1. Sample Collection and Bacterial Isolation
2.2. Azocasein Hydrolysis Assay
2.3. Growth Conditions, and 16S rRNA Identification
2.4. Phylogenetic Analysis
2.5. Protease Characterization and Caseinolytic Activity
2.6. Protease Purification by Hydrophobic Interaction Chromatography (HIC)
2.7. Temperature and pH Profiling
2.8. Extraction of Exiguolysin from Solid Growth Media
2.9. Bio-Assay-Guided Fractionation and Activity Verification
2.10. Assessment of Peptidase Specificity
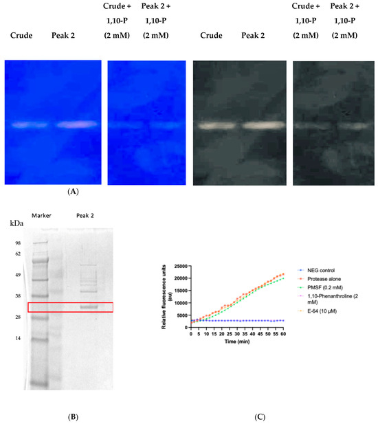
2.11. Zymographic Analysis of Protease Activity
2.12. BLASTn and Sequence Similarity Analysis
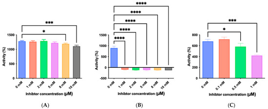
2.13. Inhibitor Screening and Ki Value Determination
2.14. Calcium Mobilization Assay
2.15. AlphaFold v3 Protein Structure Prediction and Visualization
2.16. Statistical Analysis
3. Results
3.1. Isolation and Screening of Protease-Producing Bacteria
3.2. Identification of Exiguobacterium oxidotolerans BW26
3.3. Inhibition Studies and Specificity of the Protease
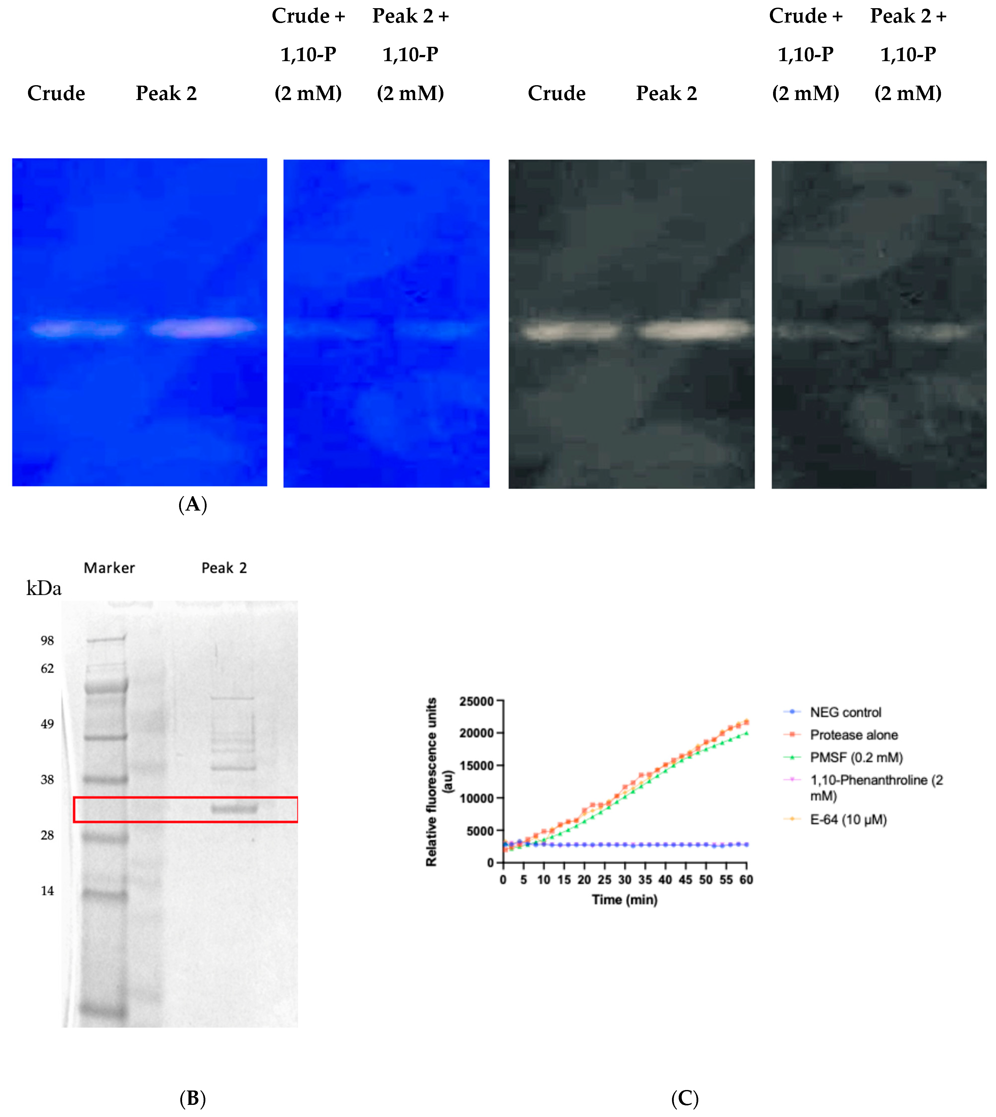
3.4. Zymography and Protease Purification

3.5. Protease pH and Temperature Profiling
3.6. Protein Sequencing, Structural Analysis, and BLAST Analysis
3.7. Inhibitor Screening and Ki Determination
| Inhibitor | True Ki (μM) |
|---|---|
| Me-Met-Tyr-NH2 | 1.95 |
| Me-Met-Lys-NH2 | 3.10 |
| Me-Val-Val-NH2 | 3.21 |
| Me-Pro-Arg-NH2 | 3.97 |
| Me-Asn-Trp-NH2 | 4.35 |
| Me-Tyr-Phe-NH2 | 5.52 |
| Me-Asn-Tyr-NH2 | 5.71 |
| Me-Ile-Val-NH2 | 8.33 |
| Me-Ile-Ile-NH2 | 11.22 |
| Me-Asn-Lys-NH2 | 20.86 |
3.8. Calcium Mobilization in PC-3 and HCT15 Cells
4. Discussion
4.1. Classification of Exiguolysin as a Metallopeptidase and Determination of Inhibition Profile
4.2. Protease Purification and Substrate Specificity
4.3. Structural Insights and Phylogenetic Analysis
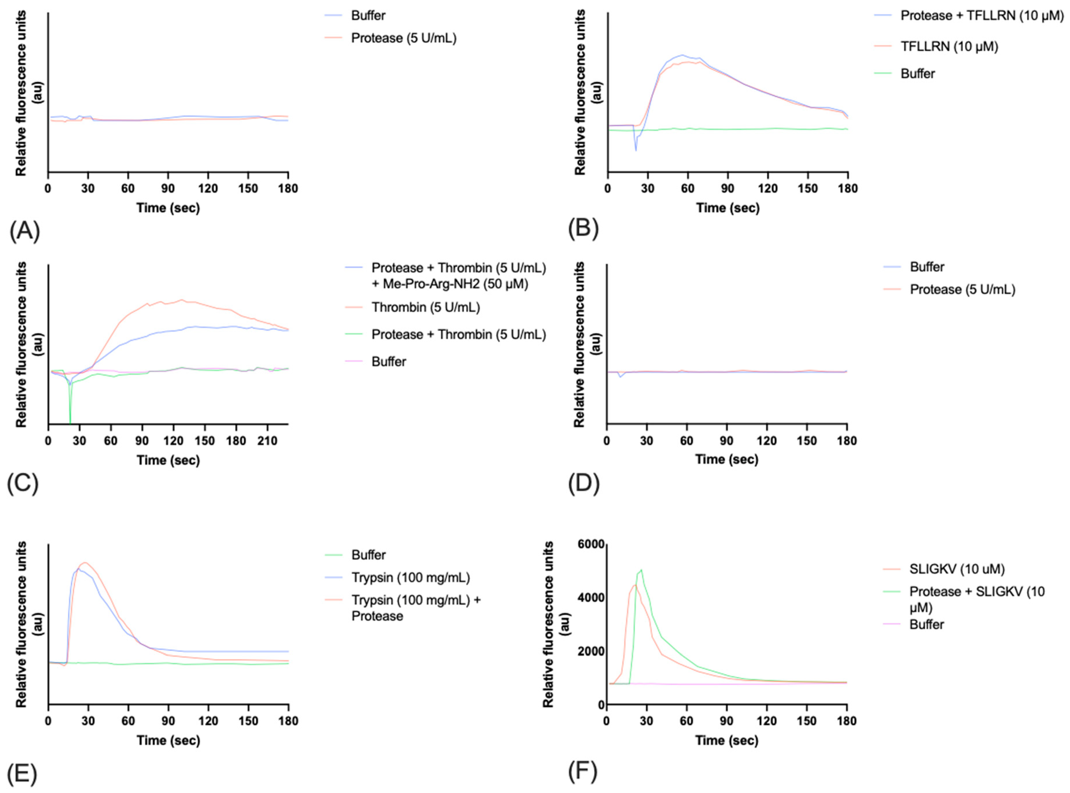
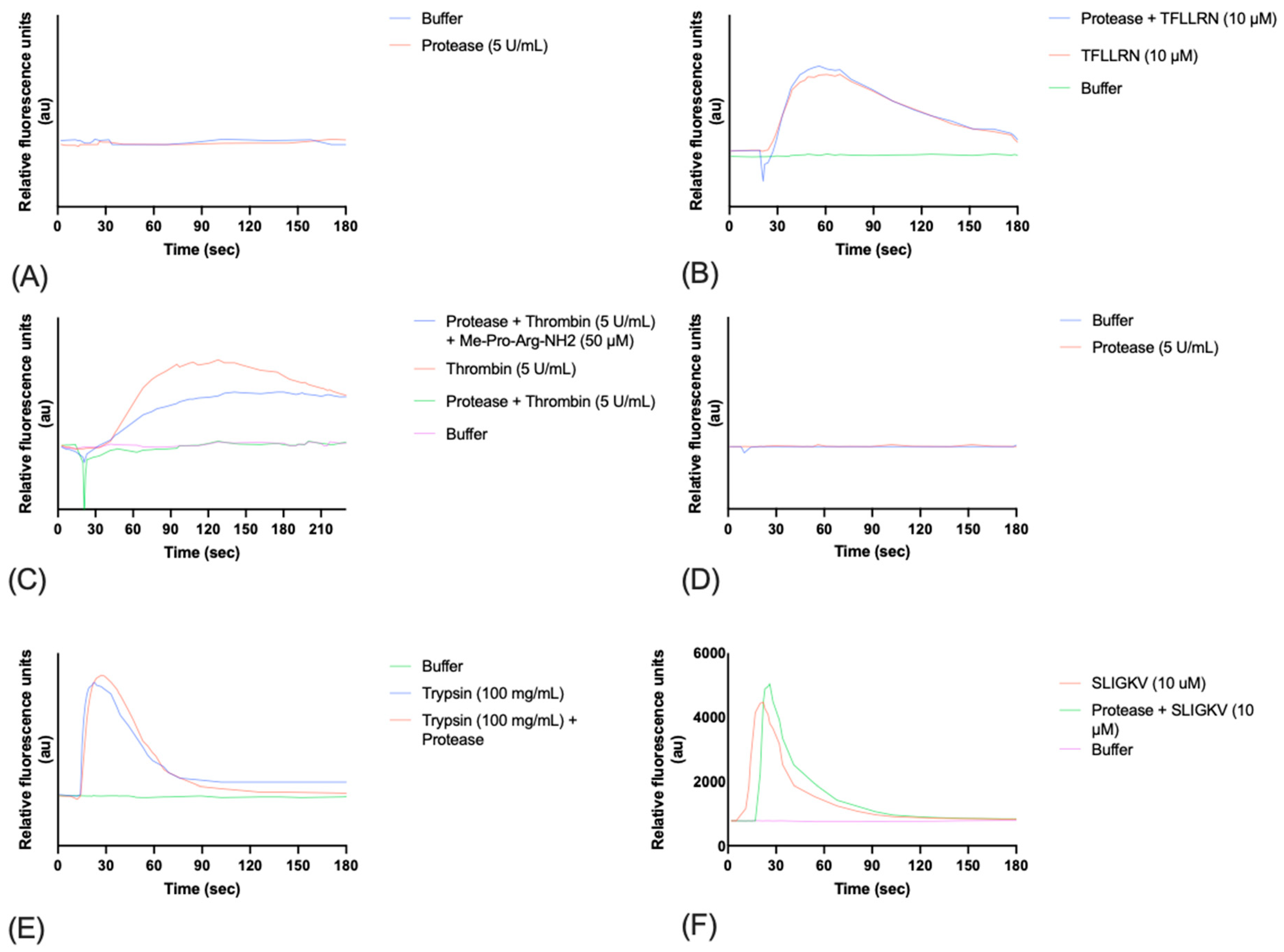
4.4. Disarming of PAR-1, but Not PAR2, by Exiguolysin—A Role in Virulence?
5. Conclusions
Supplementary Materials
Author Contributions
Funding
Data Availability Statement
Conflicts of Interest
Abbreviations
| Abz | Aminobenzoic acid |
| Dap | Diaminopropionic acid |
| Dnp | 2,4-Dinitrophenyl |
| Fluo | 4 AM-Fluorescent Calcium Indicator Acetoxymethyl Ester |
| HIC | Hydrophobic Interaction Chromatography |
| Mca | 7-methoxycoumarin |
| MMP | Matrix Metalloproteinase |
| PAR | Protease-Activated Receptor |
| PBS | Phosphate-Buffered Saline |
| PCR | Polymerase Chain Reaction |
| SDS-PAGE | Sodium Dodecyl Sulphate Polyacrylamide Gel Electrophoresis |
| TFA | Trifluoroacetic Acid |
References
- Collins, M.; Lund, B.; Farrow, J.; Schleifer, K. Chemotaxonomic study of an alkalophilic bacterium, Exiguobacterium aurantiacum gen. nov., sp. nov. Microbiology 1983, 129, 2037–2042. [Google Scholar] [CrossRef]
- Vishnivetskaya, T.A.; Kathariou, S.; Tiedje, J.M. The Exiguobacterium genus: Biodiversity and biogeography. Extremophiles 2009, 13, 541–555. [Google Scholar] [CrossRef] [PubMed]
- Kasana, R.C.; Pandey, C. Exiguobacterium: An overview of a versatile genus with potential in industry and agriculture. Crit. Rev. Biotechnol. 2018, 38, 141–156. [Google Scholar] [CrossRef] [PubMed]
- Funke, G.; von Graevenitz, A.; Clarridge, J., 3rd; Bernard, K.A. Clinical microbiology of coryneform bacteria. Clin. Microbiol. Rev. 1997, 10, 125–159. [Google Scholar] [CrossRef]
- Kim, I.-G.; Lee, M.-H.; Jung, S.-Y.; Song, J.J.; Oh, T.-K.; Yoon, J.-H. Exiguobacterium aestuarii sp. nov. and Exiguobacterium marinum sp. nov., isolated from a tidal flat of the Yellow Sea in Korea. Int. J. Syst. Evol. Microbiol. 2005, 55, 885–889. [Google Scholar] [CrossRef]
- Dastager, S.G.; Mawlankar, R.; Sonalkar, V.V.; Thorat, M.N.; Mual, P.; Verma, A.; Krishnamurthi, S.; Tang, S.-K.; Li, W.-J. Exiguobacterium enclense sp. nov., isolated from sediment. Int. J. Syst. Evol. Microbiol. 2015, 65, 1611–1616. [Google Scholar] [CrossRef] [PubMed]
- Rodrigues, D.F.; Ivanova, N.; He, Z.; Huebner, M.; Zhou, J.; Tiedje, J.M. Architecture of thermal adaptation in an Exiguobacterium sibiricum strain isolated from 3 million year old permafrost: A genome and transcriptome approach. BMC Genom. 2008, 9, 547. [Google Scholar] [CrossRef]
- Chaturvedi, P.; Shivaji, S. Exiguobacterium indicum sp. nov., a psychrophilic bacterium from the Hamta glacier of the Himalayan mountain ranges of India. Int. J. Syst. Evol. Microbiol. 2006, 56, 2765–2770. [Google Scholar] [CrossRef]
- Alam, M.Z.; Malik, A. Chromate resistance, transport and bioreduction by Exiguobacterium sp. ZM-2 isolated from agricultural soil irrigated with tannery effluent. J. Basic Microbiol. 2008, 48, 416–420. [Google Scholar] [CrossRef]
- Crapart, S.; Fardeau, M.-L.; Cayol, J.-L.; Thomas, P.; Sery, C.; Ollivier, B.; Combet-Blanc, Y. Exiguobacterium profundum sp. nov., a moderately thermophilic, lactic acid-producing bacterium isolated from a deep-sea hydrothermal vent. Int. J. Syst. Evol. Microbiol. 2007, 57, 287–292. [Google Scholar] [CrossRef]
- Kelly, S.A.; Moody, T.S.; Gilmore, B.F. Biocatalysis in seawater: Investigating a halotolerant ω-transaminase capable of converting furfural in a seawater reaction medium. Eng. Life Sci. 2019, 19, 721–725. [Google Scholar] [CrossRef] [PubMed]
- Gallo, G.; Aulitto, M. Advances in Extremophile Research: Biotechnological Applications through Isolation and Identification Techniques. Life 2024, 14, 1205. [Google Scholar] [CrossRef] [PubMed]
- Espina, G.; Muñoz-Ibacache, S.A.; Cáceres-Moreno, P.; Amenabar, M.J.; Blamey, J.M. From the discovery of Extremozymes to an enzymatic product: Roadmap based on their applications. Front. Bioeng. Biotechnol. 2022, 9, 752281. [Google Scholar] [CrossRef] [PubMed]
- Yang, Y.; Yang, J.; Wu, W.-M.; Zhao, J.; Song, Y.; Gao, L.; Yang, R.; Jiang, L. Biodegradation and mineralization of polystyrene by plastic-eating mealworms: Part 2. Role of gut microorganisms. Environ. Sci. Technol. 2015, 49, 12087–12093. [Google Scholar] [CrossRef] [PubMed]
- Cheng, J.-H.; Zhang, X.-Y.; Wang, Z.; Zhang, X.; Liu, S.-C.; Song, X.-Y.; Zhang, Y.-Z.; Ding, J.-M.; Chen, X.-L.; Xu, F. Potential of thermolysin-like protease A69 in preparation of bovine collagen peptides with moisture-retention ability and antioxidative activity. Mar. Drugs 2021, 19, 676. [Google Scholar] [CrossRef]
- Hemsinli, A.; Gurkok, S. Evaluation of a novel purified and characterized alkaline protease from the extremophile Exiguobacterium alkaliphilum VLP1 as a detergent additive. Biotechnol. J. 2024, 19, 2300441. [Google Scholar] [CrossRef]
- Srivastava, N.; Shiburaj, S.; Khare, S.K. Pan-genomic comparison of a potential solvent-tolerant alkaline protease-producing Exiguobacterium sp. TBG-PICH-001 isolated from a marine habitat. 3 Biotech 2023, 13, 371. [Google Scholar] [CrossRef]
- Srivastava, N.; Shiburaj, S.; Khare, S.K. Improved production of alkaline and solvent-stable proteases from a halotolerant Exiguobacterium isolate through heterologous expression. Int. J. Biol. Macromol. 2024, 260, 129507. [Google Scholar] [CrossRef]
- Salwan, R.; Sharma, V.; Kasana, R.C.; Gulati, A. Bioprospecting psychrotrophic bacteria for serine-type proteases from the cold areas of Western Himalayas. Curr. Microbiol. 2020, 77, 795–806. [Google Scholar] [CrossRef]
- Di Leo, R.; Cuffaro, D.; Rossello, A.; Nuti, E. Bacterial Zinc Metalloenzyme Inhibitors: Recent Advances and Future Perspectives. Molecules 2023, 28, 4378. [Google Scholar] [CrossRef]
- Zijnge, V.; Harmsen, H.; Kleinfelder, J.; Van Der Rest, M.; Degener, J.; Welling, G. Denaturing gradient gel electrophoresis analysis to study bacterial community structure in pockets of periodontitis patients. Oral Microbiol. Immunol. 2003, 18, 59–65. [Google Scholar] [CrossRef] [PubMed]
- Keynan, Y.; Weber, G.; Sprecher, H. Molecular identification of Exiguobacterium acetylicum as the aetiological agent of bacteraemia. J. Med. Microbiol. 2007, 56, 563–564. [Google Scholar] [CrossRef] [PubMed]
- Pitt, T.L.; Malnick, H.; Shah, J.; Chattaway, M.A.; Keys, C.; Cooke, F.; Shah, H. Characterisation of Exiguobacterium aurantiacum isolates from blood cultures of six patients. Clin. Microbiol. Infect. 2007, 13, 946–948. [Google Scholar] [CrossRef]
- Gusman, V.P.; Medić, D.D.; Trudić, A.D.; Banović, P.Z.; Nikolić, N.M. First Isolation of Exiguobacterium aurantiacum in Serbia. Pol. J. Microbiol. 2021, 70, 405–407. [Google Scholar] [CrossRef]
- Tena, D.; Martínez, N.M.; Casanova, J.; García, J.L.; Román, E.; Medina, M.J.; Saez-Nieto, J.A. Possible Exiguobacterium sibiricum skin infection in human. Emerg. Infect. Dis. 2014, 20, 2178. [Google Scholar] [CrossRef] [PubMed]
- Chen, X.; Wang, L.; Zhou, J.; Wu, H.; Li, D.; Cui, Y.; Lu, B. Exiguobacterium sp. A1b/GX59 isolated from a patient with community-acquired pneumonia and bacteremia: Genomic characterization and literature review. BMC Infect. Dis. 2017, 17, 508. [Google Scholar] [CrossRef]
- Vadadoriya, N.; Sajeevan, S.; Bhojani, G.; Patel, N.; Haldar, S.; Chatterjee, S. Antibiotic resistance pattern of bacterial strains emerged using frequent hand sanitizers during corona pandemic. Environ. Monit. Assess. 2024, 196, 868. [Google Scholar] [CrossRef]
- Yumoto, I.; Hishinuma-Narisawa, M.; Hirota, K.; Shingyo, T.; Takebe, F.; Nodasaka, Y.; Matsuyama, H.; Hara, I. Exiguobacterium oxidotolerans sp. nov., a novel alkaliphile exhibiting high catalase activity. Int. J. Syst. Evol. Microbiol. 2004, 54, 2013–2017. [Google Scholar] [CrossRef]
- Chocolatewala, N.; Chaturvedi, P.; Desale, R. The role of bacteria in oral cancer. Indian J. Med. Paediatr. Oncol. 2010, 31, 126–131. [Google Scholar] [CrossRef]
- Zhang, Z.; Wang, T.; Xu, M.; Zhang, Z.; Wang, H.; Xue, J.; Wang, W. Deciphering the pancreatic cancer microbiome in Mainland China: Impact of Exiguobacterium/Bacillus ratio on tumor progression and prognostic significance. Pharmacol. Res. 2024, 204, 107197. [Google Scholar] [CrossRef]
- Adekoya, O.A.; Sylte, I. The thermolysin family (M4) of enzymes: Therapeutic and biotechnological potential. Chem. Biol. Drug Des. 2009, 73, 7–16. [Google Scholar] [CrossRef]
- Cathcart, G.R.; Gilmore, B.F.; Greer, B.; Harriott, P.; Walker, B. Inhibitor profiling of the Pseudomonas aeruginosa virulence factor LasB using N-alpha mercaptoamide template-based inhibitors. Bioorg. Med. Chem. Lett. 2009, 19, 6230–6232. [Google Scholar] [CrossRef]
- Cathcart, G.R.; Quinn, D.; Greer, B.; Harriott, P.; Lynas, J.F.; Gilmore, B.F.; Walker, B. Novel inhibitors of the Pseudomonas aeruginosa virulence factor LasB: A potential therapeutic approach for the attenuation of virulence mechanisms in pseudomonal infection. Antimicrob. Agents Chemother. 2011, 55, 2670–2678. [Google Scholar] [CrossRef]
- Pietrocola, G.; Nobile, G.; Rindi, S.; Speziale, P. Staphylococcus aureus manipulates innate immunity through own and host-expressed proteases. Front. Cell. Infect. Microbiol. 2017, 7, 166. [Google Scholar] [CrossRef]
- Carson, L.; Cathcart, G.R.; Scott, C.J.; Hollenberg, M.D.; Walker, B.; Ceri, H.; Gilmore, B.F. Comprehensive inhibitor profiling of the Proteus mirabilis metalloprotease virulence factor ZapA (mirabilysin). Biochimie 2011, 93, 1824–1827. [Google Scholar] [CrossRef]
- Carson, L.; Cathcart, G.R.; Ceri, H.; Walker, B.; Gilmore, B.F. Comparison of the binding specificity of two bacterial metalloproteases, LasB of Pseudomonas aeruginosa and ZapA of Proteus mirabilis, using N-alpha mercaptoamide template-based inhibitor analogues. Biochem. Biophys. Res. Commun. 2012, 422, 316–320. [Google Scholar] [CrossRef]
- Loomes, L.; Senior, B.; Kerr, M. A proteolytic enzyme secreted by Proteus mirabilis degrades immunoglobulins of the immunoglobulin A1 (IgA1), IgA2, and IgG isotypes. Infect. Immun. 1990, 58, 1979–1985. [Google Scholar] [CrossRef]
- Tamura, K.; Stecher, G.; Kumar, S. MEGA11: Molecular evolutionary genetics analysis version 11. Mol. Biol. Evol. 2021, 38, 3022–3027. [Google Scholar] [CrossRef]
- Beynon, R.; Bond, J.S. (Eds.) Proteolytic Enzymes: A Practical Approach; Oxford University Press: Oxford, UK, 2001. [Google Scholar]
- Vassallo, R.R., Jr.; Kieber-Emmons, T.; Cichowski, K.; Brass, L. Structure-function relationships in the activation of platelet thrombin receptors by receptor-derived peptides. J. Biol. Chem. 1992, 267, 6081–6085. [Google Scholar] [CrossRef]
- Kirkland, J.G.; Cottrell, G.S.; Bunnett, N.W.; Corvera, C.U. Agonists of protease-activated receptors 1 and 2 stimulate electrolyte secretion from mouse gallbladder. Am. J. Physiol.-Gastrointest. Liver Physiol. 2007, 293, G335–G346. [Google Scholar] [CrossRef]
- Jongeneel, C.V.; Bouvier, J.; Bairoch, A. A unique signature identifies a family of zinc-dependent metallopeptidases. FEBS Lett. 1989, 242, 211–214. [Google Scholar] [CrossRef]
- Nielsen, H.; Teufel, F.; Brunak, S.; von Heijne, G. SignalP: The Evolution of a Web Server. In Protein Bioinformatics; Springer: Berlin/Heidelberg, Germany, 2024; pp. 331–367. [Google Scholar]
- Teufel, F.; Almagro Armenteros, J.J.; Johansen, A.R.; Gíslason, M.H.; Pihl, S.I.; Tsirigos, K.D.; Winther, O.; Brunak, S.; von Heijne, G.; Nielsen, H. SignalP 6.0 predicts all five types of signal peptides using protein language models. Nat. Biotechnol. 2022, 40, 1023–1025. [Google Scholar] [CrossRef]
- Yeats, C.; Rawlings, N.D.; Bateman, A. The PepSY domain: A regulator of peptidase activity in the microbial environment? Trends Biochem. Sci. 2004, 29, 169–172. [Google Scholar] [CrossRef]
- Wang, J.; Su, Y.; Jia, F.; Jin, H. Characterization of casein hydrolysates derived from enzymatic hydrolysis. Chem. Cent. J. 2013, 7, 62. [Google Scholar] [CrossRef]
- Raeeszadeh-Sarmazdeh, M.; Do, L.D.; Hritz, B.G. Metalloproteinases and their inhibitors: Potential for the development of new therapeutics. Cells 2020, 9, 1313. [Google Scholar] [CrossRef]
- Granato, M.Q.; de Araújo Massapust, P.; Rozental, S.; Alviano, C.S.; dos Santos, A.L.S.; Kneipp, L.F. 1, 10-phenanthroline inhibits the metallopeptidase secreted by Phialophora verrucosa and modulates its growth, morphology and differentiation. Mycopathologia 2015, 179, 231–242. [Google Scholar] [CrossRef]
- Solanki, P.; Putatunda, C.; Kumar, A.; Bhatia, R.; Walia, A. Microbial proteases: Ubiquitous enzymes with innumerable uses. 3 Biotech 2021, 11, 428. [Google Scholar] [CrossRef]
- Barzkar, N.; Homaei, A.; Hemmati, R.; Patel, S. Thermostable marine microbial proteases for industrial applications: Scopes and risks. Extremophiles 2018, 22, 335–346. [Google Scholar] [CrossRef]
- Breidenbach, J.; Bartz, U.; Gütschow, M. Coumarin as a structural component of substrates and probes for serine and cysteine proteases. Biochim. Et Biophys. Acta (BBA)-Proteins Proteom. 2020, 1868, 140445. [Google Scholar] [CrossRef]
- Markert, Y.; Köditz, J.; Ulbrich-Hofmann, R.; Arnold, U. Proline versus charge concept for protein stabilization against proteolytic attack. Protein Eng. 2003, 16, 1041–1046. [Google Scholar] [CrossRef]
- Yu, H.; Zhao, Y.; Guo, C.; Gan, Y.; Huang, H. The role of proline substitutions within flexible regions on thermostability of luciferase. Biochim. Et Biophys. Acta (BBA)-Proteins Proteom. 2015, 1854, 65–72. [Google Scholar] [CrossRef] [PubMed]
- Shao, L.; Wang, J.; Hu, H.; Xu, X.; Wang, H. The interaction of an effector protein Hap secreted by Aeromonas salmonicida and myofibrillar protein of meat: Possible mechanisms from structural changes to sites of molecular docking. Food Chem. 2023, 424, 136365. [Google Scholar] [CrossRef] [PubMed]
- Rawlings, N.D.; Barrett, A.J.; Thomas, P.D.; Huang, X.; Bateman, A.; Finn, R.D. The MEROPS database of proteolytic enzymes, their substrates and inhibitors in 2017 and a comparison with peptidases in the PANTHER database. Nucleic Acids Res. 2018, 46, D624–D632. [Google Scholar] [CrossRef] [PubMed]
- Xiao, Y.P.; Morice, A.H.; Compton, S.J.; Sadofsky, L. N-linked glycosylation regulates human proteinase-activated receptor-1 cell surface expression and disarming via neutrophil proteinases and thermolysin. J. Biol. Chem. 2011, 286, 22991–23002. [Google Scholar] [CrossRef]










| (1) | ![]() | (2) | ![]() |
| (3) | ![]() | (4) | ![]() |
| (5) | ![]() | (6) | ![]() |
| (7) | ![]() | (8) | ![]() |
| (9) | ![]() | (10) | ![]() |
Disclaimer/Publisher’s Note: The statements, opinions and data contained in all publications are solely those of the individual author(s) and contributor(s) and not of MDPI and/or the editor(s). MDPI and/or the editor(s) disclaim responsibility for any injury to people or property resulting from any ideas, methods, instructions or products referred to in the content. |
© 2024 by the authors. Licensee MDPI, Basel, Switzerland. This article is an open access article distributed under the terms and conditions of the Creative Commons Attribution (CC BY) license (https://creativecommons.org/licenses/by/4.0/).
Share and Cite
Gilmore, B.F.; White, T.A.; Busetti, A.; McAteer, M.I.; Maggs, C.A.; Thompson, T.P. Exiguolysin, a Novel Thermolysin (M4) Peptidase from Exiguobacterium oxidotolerans. Microorganisms 2024, 12, 2311. https://doi.org/10.3390/microorganisms12112311
Gilmore BF, White TA, Busetti A, McAteer MI, Maggs CA, Thompson TP. Exiguolysin, a Novel Thermolysin (M4) Peptidase from Exiguobacterium oxidotolerans. Microorganisms. 2024; 12(11):2311. https://doi.org/10.3390/microorganisms12112311
Chicago/Turabian StyleGilmore, Brendan F., Tracy A. White, Alessandro Busetti, Matthew I. McAteer, Christine A. Maggs, and Thomas P. Thompson. 2024. "Exiguolysin, a Novel Thermolysin (M4) Peptidase from Exiguobacterium oxidotolerans" Microorganisms 12, no. 11: 2311. https://doi.org/10.3390/microorganisms12112311
APA StyleGilmore, B. F., White, T. A., Busetti, A., McAteer, M. I., Maggs, C. A., & Thompson, T. P. (2024). Exiguolysin, a Novel Thermolysin (M4) Peptidase from Exiguobacterium oxidotolerans. Microorganisms, 12(11), 2311. https://doi.org/10.3390/microorganisms12112311











