Unveiling Emerging Opportunistic Fish Pathogens in Aquaculture: A Comprehensive Seasonal Study of Microbial Composition in Mediterranean Fish Hatcheries
Abstract
1. Introduction
2. Materials and Methods
2.1. Samples Overview and Hatcheries Involved in the Study
2.2. Sampling Method
2.3. DNA Extraction and 16S rRNA Sequencing
2.4. Bioinformatics and Bio-Statistics Analysis
3. Results
3.1. Sequencing, Quality Filtering, and Samples Richness
3.2. Diversity, Prevalence, and Core Bacteriome of the Live-Feed Cultures Bacteriome
3.3. Relative Abundance of the Predominant Marine Bacteria in the Live-Feed Cultures
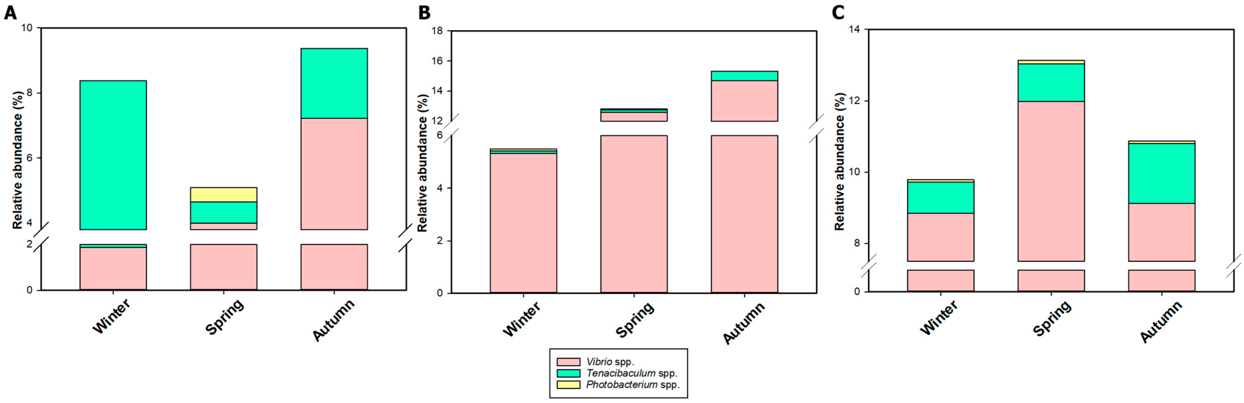
3.4. Correlation of Putative Opportunistic Fish Pathogenic Bacteria with Sampling Points and Hatcheries
3.5. Source Tracking of Putative Opportunistic Pathogens Among Sampling Points
4. Discussion
4.1. The Diversity of Microbiota of Fish Hatchery Live Feeds Is Distinctive and Depends on Multiple Factors
4.2. Towards a Common Mediterranean Live-Feed Bacteriome
4.3. Putative Opportunistic Fish Pathogenic Genera Abundance Depends on Different Hatchery Strategies and Protocols
5. Conclusions
Supplementary Materials
Author Contributions
Funding
Data Availability Statement
Conflicts of Interest
References
- Almeida, D.B.; Magalhães, C.; Sousa, Z.; Borges, M.T.; Silva, E.; Blanquet, I.; Mucha, A.P. Microbial community dynamics in a hatchery recirculating aquaculture system (RAS) of sole (Solea senegalensis). Aquaculture 2021, 539, 736592. [Google Scholar] [CrossRef]
- Bugten, A.V.; Attramadal, K.J.K.; Fossmark, R.O.; Rosten, T.W.; Vadstein, O.; Bakke, I. Changes in rearing water microbiomes in RAS induced by membrane filtration alters the hindgut microbiomes of Atlantic salmon (Salmo salar) parr. Aquaculture 2022, 548, 737661. [Google Scholar] [CrossRef]
- Lillehaug, A.; Santi, N.; Østvik, A. Practical Biosecurity in Atlantic Salmon Production. J. Appl. Aquac. 2015, 27, 249–262. [Google Scholar] [CrossRef]
- Padrós, F.; Caggiano, M.; Toffan, A.; Constenla, M.; Zarza, C.; Ciulli, S. Integrated Management Strategies for Viral Nervous Necrosis (VNN) Disease Control in Marine Fish Farming in the Mediterranean. Pathogens 2022, 11, 330. [Google Scholar] [CrossRef] [PubMed]
- Stankus, A. State of world aquaculture 2020 and regional reviews: FAO webinar series. FAO Aquac. Newsl. 2021, 63, 17–18. [Google Scholar]
- Zapata, A.; Diez, B.; Cejalvo, T.; Frías, C.G.-D.; Cortés, A. Ontogeny of the immune system of fish. Fish Shellfish Immunol. 2006, 20, 126–136. [Google Scholar] [CrossRef]
- Conceição, L.E.; Yúfera, M.; Makridis, P.; Morais, S.; Dinis, M.T. Live feeds for early stages of fish rearing. Aquac. Res. 2010, 41, 613–640. [Google Scholar] [CrossRef]
- Paulo, M.C.; Cardoso, C.; Coutinho, J.; Castanho, S.; Bandarra, N.M. Microalgal solutions in the cultivation of rotifers and artemia: Scope for the modulation of the fatty acid profile. Heliyon 2020, 6, e05415. [Google Scholar] [CrossRef]
- Nakase, G.; Nakagawa, Y.; Miyashita, S.; Nasu, T.; Senoo, S.; Matsubara, H.; Eguchi, M. Association between bacterial community structures and mortality of fish larvae in intensive rearing systems. Fish. Sci. 2007, 73, 784–791. [Google Scholar] [CrossRef]
- Infante-Villamil, S.; Huerlimann, R.; Jerry, D.R. Microbiome diversity and dysbiosis in aquaculture. Rev. Aquac. 2021, 13, 1077–1096. [Google Scholar] [CrossRef]
- Bentzon-Tilia, M.; Sonnenschein, E.C.; Gram, L. Monitoring and managing microbes in aquaculture–Towards a sustainable industry. Microb. Biotechnol. 2016, 9, 576–584. [Google Scholar] [CrossRef]
- Llewellyn, M.S.; Boutin, S.; Hoseinifar, S.H.; Derome, N. Teleost microbiomes: The state of the art in their characterization, manipulation and importance in aquaculture and fisheries. Front. Microbiol. 2014, 5, 207. [Google Scholar] [CrossRef] [PubMed]
- Romero, J.; Navarrete, P. 16S rDNA-based analysis of dominant bacterial populations associated with early life stages of coho salmon (Oncorhynchus kisutch). Microb. Ecol. 2006, 51, 422–430. [Google Scholar] [CrossRef] [PubMed]
- Dittmann, K.K.; Rasmussen, B.B.; Melchiorsen, J.; Sonnenschein, E.C.; Gram, L.; Bentzon-Tilia, M. Changes in the microbiome of mariculture feed organisms after treatment with a potentially probiotic strain of Phaeobacter inhibens. Appl. Environ. Microbiol. 2020, 86, e00499-20. [Google Scholar] [CrossRef]
- Wikfors, G.H.; Ohno, M. Impact of algal research in aquaculture. J. Phycol. 2001, 37, 968–974. [Google Scholar] [CrossRef]
- Uren Webster, T.M.; Rodriguez-Barreto, D.; Castaldo, G.; Gough, P.; Consuegra, S.; Garcia de Leaniz, C. Environmental plasticity and colonization history in the Atlantic salmon microbiome: A translocation experiment. Mol. Ecol. 2020, 29, 886–898. [Google Scholar] [CrossRef]
- Odom, A.R.; Faits, T.; Castro-Nallar, E.; Crandall, K.A.; Johnson, W.E. Metagenomic profiling pipelines improve taxonomic classification for 16S amplicon sequencing data. Sci. Rep. 2023, 13, 13957. [Google Scholar] [CrossRef] [PubMed]
- Levican, A.; Fisher, J.C.; McLellan, S.L.; Avendaño-Herrera, R. Microbial communities associated with farmed Genypterus chilensis: Detection in water prior to bacterial outbreaks using culturing high-throughput sequencing. Animals 2020, 10, 1055. [Google Scholar] [CrossRef]
- Goldberg, C.S.; Turner, C.R.; Deiner, K.; Klymus, K.E.; Thomsen, P.F.; Murphy, M.A.; Spear, S.F.; McKee, A.; Oyler-McCance, S.J.; Cornman, R.S.; et al. Critical considerations for the application of environmental DNA methods to detect aquatic species. Methods Ecol. Evol. 2016, 7, 1299–1307. [Google Scholar] [CrossRef]
- Cowart, D.A.; Murphy, K.R.; Cheng, C.H.C. Metagenomic sequencing of environmental DNA reveals marine faunal assemblages from the West Antarctic Peninsula. Mar. Genom. 2018, 37, 148–160. [Google Scholar] [CrossRef]
- Natarajan, V.P.; Zhang, X.; Morono, Y.; Inagaki, F.; Wang, F. A modified SDS-based DNA extraction method for high quality environmental DNA from seafloor environments. Front. Microbiol. 2016, 7, 986. [Google Scholar] [CrossRef] [PubMed]
- Klindworth, A.; Pruesse, E.; Schweer, T.; Peplies, J.; Quast, C.; Horn, M.; Glöckner, F.O. Evaluation of general 16S ribosomal RNA gene PCR primers for classical and next-generation sequencing-based diversity studies. Nucleic Acids Res. 2013, 41, e1. [Google Scholar] [CrossRef] [PubMed] [PubMed Central]
- Bolyen, E.; Rideout, J.R.; Dillon, M.R.; Bokulich, N.A.; Abnet, C.C.; Al-Ghalith, G.A.; Alexander, H.; Alm, E.J.; Arumugam, M.; Asnicar, F.; et al. Reproducible, interactive, scalable and extensible microbiome data science using QIIME 2. Nat. Biotechnol. 2019, 37, 852–857. [Google Scholar] [CrossRef]
- Callahan, B.J.; McMurdie, P.J.; Rosen, M.J.; Han, A.W.; Johnson, A.J.A.; Holmes, S.P. DADA2: High-resolution sample inference from Illumina amplicon data. Nat. Methods 2016, 13, 581–583. [Google Scholar] [CrossRef]
- Callahan, B.J.; McMurdie, P.J.; Holmes, S.P. Exact sequence variants should replace operational taxonomic units in marker-gene data analysis. ISME J. 2017, 11, 2639–2643. [Google Scholar] [CrossRef] [PubMed]
- Altschul, S.F.; Gish, W.; Miller, W.; Myers, E.W.; Lipman, D.J. Basic local alignment search tool. J. Mol. Biol. 1990, 215, 403–410. [Google Scholar] [CrossRef]
- Bokulich, N.A.; Kaehler, B.D.; Rideout, J.R.; Dillon, M.; Bolyen, E.; Knight, R.; Huttley, G.A.; Gregory Caporaso, J. Optimizing taxonomic classification of marker-gene amplicon sequences with QIIME 2’s q2-feature-classifier plugin. Microbiome 2018, 6, 90. [Google Scholar] [CrossRef]
- Weiss, S.; Xu, Z.Z.; Peddada, S.; Amir, A.; Bittinger, K.; Gonzalez, A.; Lozupone, C.; Zaneveld, J.R.; Vázquez-Baeza, Y.; Birmingham, A.; et al. Normalization and microbial differential abundance strategies depend upon data characteristics. Microbiome 2017, 5, 27. [Google Scholar] [CrossRef]
- McMurdie, J.P.; Holmes, S. phyloseq: An R package for reproducible interactive analysis and graphics of microbiome census data. PLoS ONE. 2013, 8, e61217. [Google Scholar] [CrossRef]
- Oksanen, J.; Blanchet, F.G.; Friendly, M.; Kindt, R.; Legendre, P.; McGlinn, D.; Minchin, P.R.; O’Hara, R.B.; Simpson, G.L.; Solymos, P.; et al. vegan: Community Ecology Package. R Package Version 2.5-4. 2019. Computer Software. Available online: https://cran.r-project.org/web/packages/vegan/index.html (accessed on 2 September 2022).
- Knights, D.; Kuczynski, J.; Charlson, E.S.; Zaneveld, J.; Mozer, M.C.; Collman, R.G.; Bushman, F.D.; Knight, R.; Kelley, S.T. Bayesian community-wide culture-independent microbial source tracking. Nat. Methods 2011, 8, 761–763. [Google Scholar] [CrossRef]
- Tackmann, J.; Rodrigues, J.F.M.; von Mering, C. Rapid inference of direct interactions in large-scale ecological networks from heterogeneous microbial sequencing data. Cell Syst. 2019, 9, 286–296. [Google Scholar] [CrossRef] [PubMed]
- Shetty, S.A.; Lahti, L. Microbiome data science. J. Biosci. 2019, 44, 115. [Google Scholar] [CrossRef]
- Vendramin, N.; Zrncic, S.; Padrós, F.; Oraic, D.; Le Breton, A.; Zarza, C.; Olesen, N.J. Fish health in Mediterranean Aquaculture, past mistakes and future challenges. Bull. Eur. Assoc. Fish Pathol. 2016, 36, 38–44. [Google Scholar]
- Ringø, E.; Olsen, R.E. The effect of diet on aerobic bacterial flora associated with intestine of Arctic charr (Salvelinus alpinus L.). J. Appl. Microbiol. 1999, 86, 22–28. [Google Scholar] [CrossRef] [PubMed]
- Egerton, S.; Culloty, S.; Whooley, J.; Stanton, C.; Ross, R.P. The gut microbiota of marine fish. Front. Microbiol. 2018, 9, 873. [Google Scholar] [CrossRef]
- Salvesen, I.; Reitan, K.I.; Skjermo, J.; Òie, G. Microbial environments in marine larviculture: Impacts of algal growth rates on the bacterial load in six microalgae. Aquac. Int. 2000, 8, 275–287. [Google Scholar] [CrossRef]
- Najafpour, B.; Pinto, P.I.; Sanz, E.C.; Martinez-Blanch, J.F.; Canario, A.V.; Moutou, K.A.; Power, D.M. Core microbiome profiles and their modification by environmental, biological, and rearing factors in aquaculture hatcheries. Mar. Pollut. Bull. 2023, 193, 115218. [Google Scholar] [CrossRef]
- Almeida, D.B.; Semedo, M.; Magalhães, C.; Blanquet, I.; Mucha, A.P. Sole microbiome progression in a hatchery life cycle, from egg to juvenile. Front. Microbiol. 2023, 14, 1188876. [Google Scholar] [CrossRef]
- Hong, S.H.; Bunge, J.; Jeon, S.O.; Epstein, S.S. Predicting microbial species richness. Proc. Natl. Acad. Sci. USA 2006, 103, 117–122. [Google Scholar] [CrossRef]
- Pommier, T.; Neal, P.R.; Gasol, J.M.; Coll, M.; Acinas, S.G.; Pedrós-Alió, C. Spatial patterns of bacterial richness and evenness in the NW Mediterranean Sea explored by pyrosequencing of the 16S rRNA. Aquat. Microb. Ecol. 2010, 61, 221–233. [Google Scholar] [CrossRef]
- Kerfahi, D.; Hall-Spencer, J.M.; Tripathi, B.M.; Milazzo, M.; Lee, J.; Adams, J.M. Shallow water marine sediment bacterial community shifts along a natural CO2 gradient in the Mediterranean Sea off Vulcano, Italy. Microb. Ecol. 2014, 67, 819–828. [Google Scholar] [CrossRef]
- Pop Ristova, P.; Wenzhöfer, F.; Ramette, A.; Felden, J.; Boetius, A. Spatial scales of bacterial community diversity at cold seeps (Eastern Mediterranean Sea). ISME J. 2015, 9, 1306–1318. [Google Scholar] [CrossRef]
- Luna, G.M. Diversity of marine microbes in a changing Mediterranean Sea. Rend. Lincei 2015, 26, 49–58. [Google Scholar] [CrossRef]
- Bakke, I.; Coward, E.; Andersen, T.; Vadstein, O. Selection in the host structures the microbiota associated with developing cod larvae (Gadus morhua). Environ. Microbiol. 2015, 17, 3914–3924. [Google Scholar] [CrossRef] [PubMed]
- Califano, G.; Castanho, S.; Soares, F.; Ribeiro, L.; Cox, C.J.; Mata, L.; Costa, R. Molecular taxonomic profiling of bacterial communities in a gilthead seabream (Sparus aurata) hatchery. Front. Microbiol. 2017, 8, 204. [Google Scholar] [CrossRef] [PubMed]
- Mestre, M.; Höfer, J.; Sala, M.M.; Gasol, J.M. Seasonal variation of bacterial diversity along the marine particulate matter continuum. Front. Microbiol. 2020, 11, 1590. [Google Scholar] [CrossRef]
- López-Pérez, M.; Gonzaga, A.; Martin-Cuadrado, A.B.; Onyshchenko, O.; Ghavidel, A.; Ghai, R.; Rodriguez-Valera, F. Genomes of surface isolates of Alteromonas macleodii: The life of a widespread marine opportunistic copiotroph. Sci. Rep. 2012, 2, 696. [Google Scholar] [CrossRef]
- Xu, F.; Cha, Q.Q.; Zhang, Y.Z.; Chen, X.L. Degradation and utilization of alginate by marine Pseudoalteromonas: A Review. Appl. Environ. Microbiol. 2021, 87, e00368-21. [Google Scholar] [CrossRef] [PubMed]
- Nam, Y.D.; Chang, H.W.; Park, J.R.; Kwon, H.Y.; Quan, Z.X.; Park, Y.H.; Lee, J.S.; Yoon, J.H.; Bae, J.W. Pseudoalteromonas marina sp. nov., a marine bacterium isolated from tidal flats of the Yellow Sea, and reclassification of Pseudoalteromonas sagamiensis as Algicola sagamiensis comb. nov. Int. J. Syst. Evol. Microbiol. 2007, 57, 12–18. [Google Scholar] [CrossRef]
- Yan, J.; Wu, Y.H.; Meng, F.X.; Wang, C.S.; Xiong, S.L.; Zhang, X.Y.; Zhang, Y.Z.; Xu, X.W.; Zhang, D.M. Pseudoalteromonas gelatinilytica sp. nov., isolated from surface seawater. Int. J. Syst. Evol. Microbiol. 2016, 66, 3538–3545. [Google Scholar] [CrossRef] [PubMed]
- Pujalte, M.J.; Macián, M.C.; Arahal, D.R.; Ludwig, W.; Schleifer, K.H.; Garay, E. Nereida ignava gen. nov., sp. nov., a novel aerobic marine α-proteobacterium that is closely related to uncultured Prionitis (alga) gall symbionts. Int. J. Syst. Evol. Microbiol. 2005, 55, 631–636. [Google Scholar] [CrossRef] [PubMed]
- Sonnenschein, E.C.; Jimenez, G.; Castex, M.; Gram, L. The Roseobacter-group bacterium Phaeobacter as a safe probiotic solution for aquaculture. Appl. Environ. Microbiol. 2021, 87, e02581-20. [Google Scholar] [CrossRef] [PubMed]
- Breider, S.; Freese, H.M.; Spröer, C.; Simon, M.; Overmann, J.; Brinkhoff, T. Phaeobacter porticola sp. nov., an antibiotic-producing bacterium isolated from a sea harbour. Int. J. Syst. Evol. Microbiol. 2017, 67, 2153–2159. [Google Scholar] [CrossRef]
- Sonnenschein, E.C.; Phippen, C.B.W.; Nielsen, K.F.; Mateiu, R.V.; Melchiorsen, J.; Gram, L.; Overmann, J.; Freese, H.M. Phaeobacter piscinae sp. nov., a species of the Roseobacter group and potential aquaculture probiont. Int. J. Syst. Evol. Microbiol. 2017, 67, 4559–4564. [Google Scholar] [CrossRef] [PubMed]
- Henriksen, N.N.; Lindqvist, L.L.; Wibowo, M.; Sonnenschein, E.C.; Bentzon-Tilia, M.; Gram, L. Role is in the eye of the beholder—The multiple functions of the antibacterial compound tropodithietic acid produced by marine Rhodobacteraceae. FEMS Microbiol. Rev. 2022, 46, fuac007. [Google Scholar] [CrossRef]
- D’Alvise, P.W.; Lillebø, S.; Prol-Garcia, M.J.; Wergeland, H.I.; Nielsen, K.F.; Bergh, Ø.; Gram, L. Phaeobacter gallaeciensis reduces Vibrio anguillarum in cultures of microalgae and rotifers, and prevents vibriosis in cod larvae. PLoS ONE 2012, 7, e43996. [Google Scholar] [CrossRef]
- Roager, L.; Athena-Vasileiadi, D.; Gram, L.; Sonnenschein, E.C. Antagonistic activity of Phaeobacter piscinae against the emerging fish pathogen Vibrio crassostreae in aquaculture feed algae. Appl. Environ. Microbiol. 2024, 90, e01439-23. [Google Scholar] [CrossRef]
- Prol-García, M.J.; Gómez, M.; Sánchez, L.; Pintado, J. Phaeobacter grown in biofilters: A new strategy for the control of Vibrionaceae in aquaculture. Aquac. Res. 2014, 45, 1012–1025. [Google Scholar] [CrossRef]
- Colwell, R.R.; Grimes, D.J. Vibrio diseases of marine fish populations. Helgoländer Meeresunters. 1984, 37, 265–287. [Google Scholar] [CrossRef]
- Onarheim, A.M.; Wiik, R.; Burghardt, J.; Stackebrandt, E. Characterization and identification of two Vibrio species indigenous to the intestine of fish in cold sea water; description of Vibrio iliopiscarius sp. nov. Syst. Appl. Microbiol. 1994, 17, 370–379. [Google Scholar] [CrossRef]
- Raguénès, G.; Christen, R.; Guezennec, J.; Pignet, P.; Barbier, G. Vibrio diabolicus sp. nov., a new polysaccharide-secreting organism isolated from a deep-sea hydrothermal vent polychaete annelid, Alvinella pompejana. Int. J. Syst. Evol. Microbiol. 1997, 47, 989–995. [Google Scholar]
- Zhao, Z.; Chen, C.; Hu, C.Q.; Ren, C.H.; Zhao, J.J.; Zhang, L.P.; Jiang, X.; Luo, P.; Wang, Q.B. The type III secretion system of Vibrio alginolyticus induces rapid apoptosis, cell rounding and osmotic lysis of fish cells. Microbiology 2010, 156, 2864–2872. [Google Scholar] [CrossRef]
- Oh, E.G.; Son, K.T.; Yu, H.; Lee, T.S.; Lee, H.J.; Shin, S.; Kwon, J.Y.; Park, K.; Kim, J. Antimicrobial resistance of Vibrio parahaemolyticus and Vibrio alginolyticus strains isolated from farmed fish in Korea from 2005 through 2007. J. Food Prot. 2011, 74, 380–386. [Google Scholar] [CrossRef] [PubMed]
- Mustapha, S.; Mustapha, E.M.; Nozha, C. Vibrio alginolyticus: An emerging pathogen of foodborne diseases. Int. J. Sci. Technol. 2013, 2, 302–309. [Google Scholar]
- Austin, B.; Austin, D.A. Characteristics of the pathogens: Gram-negative bacteria. In Bacterial Fish Pathogens: Diseases of Farmed and Wild Fish; Springer: Dordrecht, The Netherlands, 2007; pp. 81–150. [Google Scholar]
- Triga, A.; Smyrli, M.; Katharios, P. Pathogenic and opportunistic Vibrio spp. associated with vibriosis incidences in the Greek aquaculture: The role of Vibrio harveyi as the principal cause of vibriosis. Microorganisms 2023, 11, 1197. [Google Scholar] [CrossRef]
- Su, Y.C.; Liu, C. Vibrio parahaemolyticus: A concern of seafood safety. Food Microbiol. 2007, 24, 549–558. [Google Scholar] [CrossRef]
- Beaz-Hidalgo, R.; Diéguez, A.L.; Cleenwerck, I.; Balboa, S.; Doce, A.; De Vos, P.; Romalde, J.L. Vibrio celticus sp. nov., a new Vibrio species belonging to the Splendidus clade with pathogenic potential for clams. Syst. Appl. Microbiol. 2010, 33, 311–315. [Google Scholar] [CrossRef]
- Giubergia, S.; Machado, H.; Mateiu, R.V.; Gram, L. Vibrio galatheae sp. nov., a member of the family Vibrionaceae isolated from a mussel. Int. J. Syst. Evol. Microbiol. 2016, 66, 347–352. [Google Scholar] [CrossRef]
- Evans, D.; Millar, Z.; Harding, D.; Pham, P.H.; LePage, V.; Lumsden, J.S. Lipoid liver disease in Hippocampus erectus Perry with Vibrio fortis-induced dermatitis and enteritis. J. Fish Dis. 2022, 45. [Google Scholar] [CrossRef]
- Thompson, F.L.; Li, Y.; Gomez-Gil, B.; Thompson, C.C.; Hoste, B.; Vandemeulebroecke, K.; Rupp, G.S.; Pereira, A.; De Bem, M.M.; Sorgeloos, P.; et al. Vibrio neptunius sp. nov., Vibrio brasiliensis sp. nov. and Vibrio xuii sp. nov., isolated from the marine aquaculture environment (bivalves, fish, rotifers and shrimps). Int. J. Syst. Evol. Microbiol. 2003, 53, 245–252. [Google Scholar] [CrossRef]
- Rivas, A.J.; Lemos, M.L.; Osorio, C.R. Photobacterium damselae subsp. damselae, a bacterium pathogenic for marine animals and humans. Front. Microbiol. 2013, 4, 283. [Google Scholar] [CrossRef] [PubMed]
- Miyake, S.; Soh, M.; Ding, Y.; Seedorf, H. Complete genome sequence of sponge-associated Tenacibaculum mesophilum DSM 13764T. Microbiol. Resour. Announc. 2019, 8, e00517-19. [Google Scholar] [CrossRef] [PubMed]
- Heindl, H.; Wiese, J.; Imhoff, J.F. Tenacibaculum adriaticum sp. nov., from a bryozoan in the Adriatic Sea. Int. J. Syst. Evol. Microbiol. 2008, 58, 542–547. [Google Scholar] [CrossRef] [PubMed]
- Park, S.; Choi, S.J.; Won, S.M.; Yoon, J.H. Tenacibaculum aestuariivivum sp. nov., isolated from a tidal flat. Int. J. Syst. Evol. Microbiol. 2017, 67, 4612–4618. [Google Scholar] [CrossRef] [PubMed]
- Wynne, J.W.; Thakur, K.K.; Slinger, J.; Samsing, F.; Milligan, B.; Powell, J.F.; McKinnon, A.; Nekouei, O.; New, D.; Richmond, Z.; et al. Microbiome profiling reveals a microbial dysbiosis during a natural outbreak of tenacibaculosis (Yellow mouth) in Atlantic salmon. Front. Microbiol. 2020, 11, 586387. [Google Scholar] [CrossRef]
- Debroas, D.; Hochart, C.; Galand, P.E. Seasonal microbial dynamics in the ocean inferred from assembled and unassembled data: A view on the unknown biosphere. ISME Commun. 2022, 2, 87. [Google Scholar] [CrossRef]
- Kobiyama, A.; Rashid, J.; Reza, M.S.; Ikeda, Y.; Yamada, Y.; Kudo, T.; Mizusawa, N.; Yanagisawa, S.; Ikeda, D.; Sato, S.; et al. Seasonal and annual changes in the microbial communities of Ofunato Bay, Japan, based on metagenomics. Sci. Rep. 2021, 11, 17277. [Google Scholar] [CrossRef]
- Kumar, G.R.; Babu, D.E. Effect of light, temperature and salinity on the growth of Artemia. Int. J. Eng. Sci. Invent. 2015, 4, 7–14. [Google Scholar]
- Lee, M.C.; Yoon, D.S.; Park, J.C.; Choi, H.; Shin, K.H.; Hagiwara, A.; Lee, J.S.; Park, H.G. Effects of salinity and temperature on reproductivity and fatty acid synthesis in the marine rotifer Brachionus rotundiformis. Aquaculture 2022, 546, 737282. [Google Scholar] [CrossRef]
- Pan, Y.; Dahms, H.; Hwang, J.; Souissi, S. Recent Trends in Live Feeds for Marine Larviculture: A Mini Review. Front. Mar. Sci. 2022, 9, 864165. [Google Scholar] [CrossRef]
- Lahnsteiner, F. Effect of disinfection of non-hardened Salmo trutta eggs with Chloramine T®, Wofasteril®, and hydrogen peroxide on embryo and larvae viability, microorganism load, lipid peroxidation, and protein carbonylation. Aquac. Int. 2021, 29, 1949–1962. [Google Scholar] [CrossRef]
- Elgendy, M.Y.; Ali, S.E.; Abbas, W.T.; Algammal, A.M.; Abdelsalam, M. The role of marine pollution on the emergence of fish bacterial diseases. Chemosphere 2023, 344, 140366. [Google Scholar] [CrossRef] [PubMed]
- Natrah, F.M.; Bossier, P.; Sorgeloos, P.; Yusoff, F.M.; Defoirdt, T. Significance of microalgal–bacterial interactions for aquaculture. Rev. Aquac. 2014, 6, 48–61. [Google Scholar] [CrossRef]
- Dhont, J.; Dierckens, K.; Støttrup, J.; Van Stappen, G.; Wille, M.; Sorgeloos, P. Rotifers, Artemia and copepods as live feeds for fish larvae in aquaculture. In Advances in Aquaculture Hatchery Technology; Woodhead Publishing: Sawston, UK, 2013; pp. 157–202. [Google Scholar]
- Gram, L.; Melchiorsen, J.; Spanggaard, B.; Huber, I.; Nielsen, T.F. Inhibition of Vibrio anguillarum by Pseudomonas fluorescens AH2, a possible probiotic treatment of fish. Appl. Environ. Microbiol. 1999, 65, 969–973. [Google Scholar] [CrossRef] [PubMed]
- Long, R.A.; Rowley, D.C.; Zamora, E.; Liu, J.; Bartlett, D.H.; Azam, F. Antagonistic interactions among marine bacteria impede the proliferation of Vibrio cholerae. Appl. Environ. Microbiol. 2005, 71, 8531–8536. [Google Scholar] [CrossRef]
- Del Castillo, C.S.; Wahid, M.I.; Yoshikawa, T.; Sakaia, T. Isolation and inhibitory effect of anti-Vibrio substances from Pseudoalteromonas sp. A1-J11 isolated from the coastal sea water of Kagoshima Bay. Fish. Sci. 2008, 74, 174–179. [Google Scholar] [CrossRef]
- Morya, V.K.; Choi, W.; Kim, E.K. Isolation and characterization of Pseudoalteromonas sp. from fermented Korean food, as an antagonist to Vibrio harveyi. Appl. Microbiol. Biotechnol. 2014, 98, 1389–1395. [Google Scholar] [CrossRef]
- Shen, H.; Song, T.; Lu, J.; Qiu, Q.; Chen, J.; Xiong, J. Shrimp AHPND causing Vibrio anguillarum infection: Quantitative diagnosis and identifying antagonistic bacteria. Mar. Biotechnol. 2021, 23, 964–975. [Google Scholar] [CrossRef]
- Hansen, G.H.; Olafsen, J.A. Bacterial interactions in early life stages of marine cold water fish. Microb. Ecol. 1999, 38, 1–26. [Google Scholar] [CrossRef]
- Burgin, J.; Ahamed, A.; Cummins, C.; Devraj, R.; Gueye, K.; Gupta, D.; Gupta, V.; Haseeb, M.; Ihsan, M.; Ivanov, E.; et al. The European Nucleotide Archive in 2022. Nucleic Acids Res. 2023, 51, D121–D125. [Google Scholar] [CrossRef]










| Inlet Water | Rotifer | Artemia | Microalgae | Outlet Water | |||||||||||
|---|---|---|---|---|---|---|---|---|---|---|---|---|---|---|---|
| pH | S (‰) | T (°C) | pH | S (‰) | T (°C) | pH | S (‰) | T (°C) | pH | S (‰) | T (°C) | pH | S (‰) | T (°C) | |
| HCMR hatchery | 7.4 | 34 | 19 | 7.5 | 25 | 25 | 7.3–7.8 | 25–28 | 25 | 7.5 | 34 | 26.5–29 | 7.5 | 34 | 19–20 |
| Hatchery A | 7.1 | 36 | 19 | 7.8–8.5 | 36 | 20 | 7.5 | 25 | 25 | 7.5 | 36 | 25 | 7 | 36 | 19 |
| Hatchery B | 7.9–8.2 | 40 | 14–28 | 7.8–8.4 | 40 | 22–24 | 7.6 | 20 | 26–28 | 7.5 | 40 | 28 | 7.7–8 | 40 | 14–28 |
| Hatchery Name | Live Feed Water Supply | Cultivated Microalgae Species | Type of Hatchery | Main Cultivated Fish Species |
|---|---|---|---|---|
| HCMR hatchery | Borehole water | Chlorella minutissima | Research | Gilthead seabream, European seabass, meagre, greater amberjack |
| Hatchery A | Borehole water | Isochrisis sp. | Commercial | Gilthead seabream, European seabass |
| Hatchery B | Sea Water | Tetraselmis sp. | Commercial | Gilthead seabream, European seabass |
| Phylum | Class | Order | Family | Genus | |
|---|---|---|---|---|---|
| Proteobacteria | Gammaproteobacteria | Alteromonadales | Pseudoalteromonadaceae | Pseudoalteromonas | HCMR HATCHERY |
| Proteobacteria | Gammaproteobacteria | Alteromonadales | Alteromonadaceae | Alteromonas | |
| Bacteroidetes | Flavobacteriia | Flavobacteriales | Flavobacteriaceae | Olleya | |
| Actinobacteria | Actinomycetia | Micrococcales | Micrococcaceae | Glutamicibacter | |
| Proteobacteria | Gammaproteobacteria | Alteromonadales | Alteromonadaceae | Marisediminitalea | |
| Proteobacteria | Alphaproteobacteria | Rhodobacterales | Rhodobacteraceae | Tritonibacter | |
| Proteobacteria | Alphaproteobacteria | Rhodobacterales | Roseobacteraceae | Nereida | |
| Proteobacteria | Alphaproteobacteria | Rhodobacterales | Roseobacteraceae | Phaeobacter | |
| Proteobacteria | Gammaproteobacteria | Vibrionales | Vibrionaceae | Vibrio | |
| Bacteroidetes | Bacteroidia | Flavobacteriales | Flavobacteriaceae | N/A | HATCHERY A |
| Bacteroidetes | Bacteroidia | Marinilabiliales | Prolixibacteraceae | Sunxiuqinia | |
| Proteobacteria | Alphaproteobacteria | Rhodobacterales | Roseobacteraceae | Phaeobacter | |
| Proteobacteria | Gammaproteobacteria | Vibrionales | Vibrionaceae | Vibrio | |
| Proteobacteria | Alphaproteobacteria | Rhodobacterales | Roseobacteraceae | Roseovarius | |
| Proteobacteria | Gammaproteobacteria | Alteromonadales | Alteromonadaceae | Alteromonas | |
| Proteobacteria | Alphaproteobacteria | Rhodobacterales | Roseobacteraceae | Nereida | |
| Proteobacteria | Alphaproteobacteria | Rhodobacterales | Roseobacteraceae | Roseovarius | |
| Patescibacteria | Gracilibacteria | JGI_0000069-P22 | JGI_0000069-P22 | JGI 0000069-P22 | |
| Bacteroidetes | Bacteroidia | Flavobacteriales | Flavobacteriaceae | N/A | |
| Proteobacteria | Gammaproteobacteria | Alteromonadales | Pseudoalteromonadaceae | Pseudoalteromonas | |
| Proteobacteria | Gammaproteobacteria | Alteromonadales | Idiomarinaceae | Pseudidiomarina | |
| Proteobacteria | Gammaproteobacteria | Vibrionales | Vibrionaceae | Catenococcus | HATCHERY B |
| Proteobacteria | Gammaproteobacteria | Vibrionales | Vibrionaceae | Vibrio | |
| Proteobacteria | Alphaproteobacteria | Rhodobacterales | Roseobacteraceae | Nereida | |
| Proteobacteria | Gammaproteobacteria | Alteromonadales | Alteromonadaceae | Alteromonas | |
| Bacteroidetes | Flavobacteriia | Flavobacteriales | Flavobacteriaceae | Maribacter | |
| Proteobacteria | Alphaproteobacteria | Rhodobacterales | Rhodobacteraceae | Tritonibacter | |
| Proteobacteria | Gammaproteobacteria | Alteromonadales | Pseudoalteromonadaceae | Pseudoalteromonas | |
| Bacteroidetes | Flavobacteriia | Flavobacteriales | Flavobacteriaceae | Tenacibaculum | |
| Proteobacteria | Alphaproteobacteria | Rhodobacterales | Roseobacteraceae | Phaeobacter | |
| Proteobacteria | Alphaproteobacteria | Rhodobacterales | Roseobacteraceae | Roseovarius | |
| Proteobacteria | Alphaproteobacteria | Rhodobacterales | Roseobacteraceae | Donghicola | |
| Proteobacteria | Gammaproteobacteria | Oceanospirillales | Oceanospirillaceae | Marinomonas | |
| Proteobacteria | Gammaproteobacteria | Alteromonadales | Alteromonadaceae | Alteromonas |
Disclaimer/Publisher’s Note: The statements, opinions and data contained in all publications are solely those of the individual author(s) and contributor(s) and not of MDPI and/or the editor(s). MDPI and/or the editor(s) disclaim responsibility for any injury to people or property resulting from any ideas, methods, instructions or products referred to in the content. |
© 2024 by the authors. Licensee MDPI, Basel, Switzerland. This article is an open access article distributed under the terms and conditions of the Creative Commons Attribution (CC BY) license (https://creativecommons.org/licenses/by/4.0/).
Share and Cite
Skliros, D.; Kostakou, M.; Kokkari, C.; Tsertou, M.I.; Pavloudi, C.; Zafeiropoulos, H.; Katharios, P.; Flemetakis, E. Unveiling Emerging Opportunistic Fish Pathogens in Aquaculture: A Comprehensive Seasonal Study of Microbial Composition in Mediterranean Fish Hatcheries. Microorganisms 2024, 12, 2281. https://doi.org/10.3390/microorganisms12112281
Skliros D, Kostakou M, Kokkari C, Tsertou MI, Pavloudi C, Zafeiropoulos H, Katharios P, Flemetakis E. Unveiling Emerging Opportunistic Fish Pathogens in Aquaculture: A Comprehensive Seasonal Study of Microbial Composition in Mediterranean Fish Hatcheries. Microorganisms. 2024; 12(11):2281. https://doi.org/10.3390/microorganisms12112281
Chicago/Turabian StyleSkliros, Dimitrios, Maria Kostakou, Constantina Kokkari, Maria Ioanna Tsertou, Christina Pavloudi, Haris Zafeiropoulos, Pantelis Katharios, and Emmanouil Flemetakis. 2024. "Unveiling Emerging Opportunistic Fish Pathogens in Aquaculture: A Comprehensive Seasonal Study of Microbial Composition in Mediterranean Fish Hatcheries" Microorganisms 12, no. 11: 2281. https://doi.org/10.3390/microorganisms12112281
APA StyleSkliros, D., Kostakou, M., Kokkari, C., Tsertou, M. I., Pavloudi, C., Zafeiropoulos, H., Katharios, P., & Flemetakis, E. (2024). Unveiling Emerging Opportunistic Fish Pathogens in Aquaculture: A Comprehensive Seasonal Study of Microbial Composition in Mediterranean Fish Hatcheries. Microorganisms, 12(11), 2281. https://doi.org/10.3390/microorganisms12112281

