Phenotypic Timeline Kinetics, Integrative Networks, and Performance of T- and B-Cell Subsets Associated with Distinct Clinical Outcome of Severe COVID-19 Patients
Abstract
1. Introduction
2. Material and Methods
2.1. Study Population and Design
2.2. Ex Vivo Immunophenotyping of Peripheral Blood Samples by Flow Cytometry
2.3. Statistical Analysis and Graphical Representation
3. Results
3.1. Phenotypic Profile of T- and B-Cells in Severe COVID-19 Patients at Baseline (D0)
3.2. Phenotypic Profile of T- and B-Cells in Severe COVID-19 Patients at Baseline (D0) According to Disease Outcome
3.3. Timeline Kinetics Signature and Cell Phenotype Profile in Severe COVID-19 Patients
3.4. Timeline Kinetics Signature in Severe COVID-19 Patients According to Disease Outcome
3.5. Integrative Network of T- and B-Cell Subsets in Severe COVID-19 Patients at Baseline (D0)
3.6. Performance Indices and Binary Logistic Regression Analysis of Cell Phenotypes
4. Discussion
Supplementary Materials
, n = 87) and healthy controls (
, HC, n = 13). Immunophenotypic staining was carried out as described in Material and Methods. Data are shown as scattering distribution of individual values over bar charts representing the median percentage (%) of gated cells. Comparative analyses between COVID-19 vs. HC were performed by Mann-Whitney test and significant differences are indicated by connecting lines and asterisks for p < 0.01 (**) and p < 0.05 (*). Colored backgrounds underscore decreased (
), increased (
) or unaltered (
) percentages of cell subsets in COVID-19 as compared to HC; Figure S3: Phenotypic Profile of CD4+ and CD8+ T-cell Memory Subsets in Severe COVID-19 Patients at Baseline (D0) According to Disease Outcome. Phenotypic profile of CD4+ and CD8+ memory T-cell subsets (naïve/CD45RO−CD27+, early effector/CD45RO−CD27−, central memory/CD45RO+CD27+ and effector memory/CD45RO+CD27−) was assessed in peripheral blood samples collected from COVID-19 patients at baseline (n = 71) further categorized according to disease outcome to Discharge (
, n = 38) or Death (
, n = 33) and compared with the reference range (25th–75th interquartile) of healthy controls (HC, n = 13, dashed lines). Immunophenotypic staining was carried out as described in Section 2. Data are shown bar charts representing the median percentage (%, 95% IC) of gated cells. Comparative analysis amongst COVID-19 subgroups and HC were performed by Kruskal-Wallis test followed by Dunn’s post-test for multiple comparisons. Significant differences are underscored by # for comparisons with HC and by connecting lines and asterisks for comparative analysis between COVID-19 subgroups at p < 0.001 (***), p < 0.01 (**) and p < 0.05 (*). Color backgrounds underscore decreased (
), increased (
) or unaltered (
) percentages of cell subsets in COVID-19 subgroups as compared to HC. Color frames highlight decreased (
) or increased (
) percentages of cell subsets in COVID-19 patients progressing to Death as compared to those evolving to Discharge; Figure S4: Kinetics Timeline Signatures and Cell Phenotype Rhythm in Severe COVID-19 Patients According to Days of Symptoms at Admission. The timeline kinetics profile of ex vivo phenotypic features of T-cells, B-cells and T-cell subsets was assessed in peripheral blood samples collected from COVID-19 patients at distinct time points according to days of symptoms at admission, referred to as: “3–10 Days” and “11–24 Days” after symptoms onset. Timeline kinetics profile was assessed at baseline (D0, n = 17 and n = 18, respectively), seven days (D7, n = 16 and n = 15, respectively) and 14–28 days (D14-28, n = 9 and n = 18, respectively) after inclusion in the study and compared with healthy controls (HC, n = 13). Data analyses were carried out by converting the median percentage of gated cells into Z-score as described in Material and Methods. Heatmaps were assembled to underscore the cell subsets with Z-score below or above 0.5 according to the color key provided in the figure. The number of cell subsets with Z-score above 0.5 was calculated and data were shown in line charts to illustrate the cell phenotype rhythm along the days after inclusion. Colored backgrounds underscore decreased (
) or increased (
) numbers of cell subsets in COVID-19 as compared to the reference values observed in HC (continuous line); Figure S5: Common Profile of Cell Phenotype Subsets Along the Kinetics Timeline in Severe COVID-19 Patients According to Disease Outcome. The timeline kinetics signature profile of ex vivo phenotypic features of T-cells, B-cells and T-cell subsets were used to construct volcano plots. Data analyses were carried out by Fisher’s Exact test and p values were expressed in negative log10 (−log10p). Delta was calculated by the comparisons between HC vs outcome subgroups Discharge and Death (ΔHC). Cell phenotypes above the cut-off (1.3 −log10p) were highlighted by green (
) and red (
) dots representing decrease and increase of ΔHC values, respectively. Grey dots (
) were used to identify cell phenotypes below the cut-off. The cell phenotypes that are exclusive for each time point are in bold and underlined text. The cell phenotypes that are common in more than one time point are presented in grey color, and the cell phenotypes that are common between all the time points are listed below the graphs in green (decrease) and red (increase); Table S1: Hematological profile of COVID-19 patients at baseline (D0) according to disease outcome; Table S2: Overall performance of cellular phenotypes from COVID-19 patients along the timeline kinetics; Table S3: Overall performance of cellular phenotypes from COVID-19 patients along the timeline kinetics according to disease outcome.Author Contributions
Funding
Institutional Review Board Statement
Data Availability Statement
Acknowledgments
Conflicts of Interest
References
- Vardhana, S.A.; Wolchok, J.D. The Many Faces of the Anti-COVID Immune Response. J. Exp. Med. 2020, 217, e20200678. [Google Scholar] [CrossRef] [PubMed]
- Wang, Y.; Wang, Y.; Chen, Y.; Qin, Q. Unique Epidemiological and Clinical Features of the Emerging 2019 Novel Coronavirus Pneumonia (COVID-19) Implicate Special Control Measures. J. Med. Virol. 2020, 92, 568–576. [Google Scholar] [CrossRef] [PubMed]
- Bornstein, S.R.; Dalan, R.; Hopkins, D.; Mingrone, G.; Boehm, B.O. Endocrine and Metabolic Link to Coronavirus Infection. Nat. Rev. Endocrinol. 2020, 16, 297–298. [Google Scholar] [CrossRef] [PubMed]
- Gharebakhshi, F.; Abbasian, S.; Shariati Sough, M.; Zaremoghadam, E.; Zandiyeh, F.; Abdolmohammadi, G.; Zarei, A.; Tavassoli, Z.; Kalirad, A.; Belali Kharaji, M. Pulmonary Radiologic Findings Based on Warrick Score as a Predictor of COVID-19 Patients’ Outcomes. Immunopathol. Persa 2023, 62, 17–98. [Google Scholar] [CrossRef]
- Kragstrup, T.W.; Singh, H.S.; Grundberg, I.; Nielsen, A.L.-L.; Rivellese, F.; Mehta, A.; Goldberg, M.B.; Filbin, M.R.; Qvist, P.; Bibby, B.M. Plasma ACE2 Predicts Outcome of COVID-19 in Hospitalized Patients. PLoS ONE 2021, 16, e0252799. [Google Scholar] [CrossRef]
- Jarjour, N.N.; Masopust, D.; Jameson, S.C. T Cell Memory: Understanding COVID-19. Immunity 2021, 54, 14–18. [Google Scholar] [CrossRef] [PubMed]
- Herrmann, M.; Schulte, S.; Wildner, N.H.; Wittner, M.; Brehm, T.T.; Ramharter, M.; Woost, R.; Lohse, A.W.; Jacobs, T.; Schulze zur Wiesch, J. Analysis of Co-Inhibitory Receptor Expression in COVID-19 Infection Compared to Acute Plasmodium Falciparum Malaria: LAG-3 and TIM-3 Correlate with T Cell Activation and Course of Disease. Front. Immunol. 2020, 11, 1870. [Google Scholar] [CrossRef] [PubMed]
- Hanna, S.J.; Codd, A.S.; Gea-Mallorqui, E.; Scourfield, D.O.; Richter, F.C.; Ladell, K.; Borsa, M.; Compeer, E.B.; Moon, O.R.; Galloway, S.A.E.; et al. T Cell Phenotypes in COVID-19—A Living Review. Oxf. Open Immunol. 2021, 2, iqaa007. [Google Scholar] [CrossRef] [PubMed]
- Diao, B.; Wang, C.; Tan, Y.; Chen, X.; Liu, Y.; Ning, L.; Chen, L.; Li, M.; Liu, Y.; Wang, G.; et al. Reduction and Functional Exhaustion of T Cells in Patients with Coronavirus Disease 2019 (COVID-19). Front Immunol. 2020, 11, 827. [Google Scholar] [CrossRef]
- Tarique, M.; Suhail, M.; Naz, H.; Muhammad, N.; Tabrez, S.; Zughaibi, T.A.; Abuzenadah, A.M.; Hashem, A.M.; Shankar, H.; Saini, C.; et al. Where Do T Cell Subsets Stand in SARS-CoV-2 Infection: An Update. Front. Cell Infect. Microbiol. 2022, 12, 964265. [Google Scholar] [CrossRef]
- Modabber, Z.; Shahbazi, M.; Akbari, R.; Bagherzadeh, M.; Firouzjahi, A.; Mohammadnia-Afrouzi, M. TIM-3 as a Potential Exhaustion Marker in CD4+ T Cells of COVID-19 Patients. Immun. Inflamm. Dis. 2021, 9, 1707–1715. [Google Scholar] [CrossRef] [PubMed]
- Bobcakova, A.; Barnova, M.; Vysehradsky, R.; Petriskova, J.; Kocan, I.; Diamant, Z.; Jesenak, M. Activated CD8+CD38+ Cells Are Associated with Worse Clinical Outcome in Hospitalized COVID-19 Patients. Front. Immunol. 2022, 13, 861666. [Google Scholar] [CrossRef]
- Tarbiah, N.I.; Alkhattabi, N.A.; Alsahafi, A.J.; Aljahdali, H.S.; Joharjy, H.M.; Al-Zahrani, M.H.; Sabban, A.M.; Alghamdi, R.A.; Balgoon, M.J.; Khalifa, R.A. T Cells Immunophenotyping and CD38 Overexpression as Hallmarks of the Severity of COVID-19 and Predictors of Patients’ Outcomes. J. Clin. Med. 2023, 12, 710. [Google Scholar] [CrossRef] [PubMed]
- Wang, L.; Chen, J.; Zhao, J.; Li, F.; Lu, S.; Liu, P.; Liu, X.; Huang, Q.; Wang, H.; Xu, Q.; et al. The Predictive Role of Lymphocyte Subsets and Laboratory Measurements in COVID-19 Disease: A Retrospective Study. Ther. Adv. Respir. Dis. 2021, 15, 17534666211049739. [Google Scholar] [CrossRef] [PubMed]
- Niedźwiedzka-Rystwej, P.; Majchrzak, A.; Aksak-Wąs, B.; Serwin, K.; Czajkowski, Z.; Grywalska, E.; Korona-Głowniak, I.; Roliński, J.; Parczewski, M. Programmed Cell Death-1/Programmed Cell Death-1 Ligand as Prognostic Markers of Corona virus Disease 2019 Severity. Cells 2022, 11, 1978. [Google Scholar] [CrossRef] [PubMed]
- Li, S.; Wang, Y.; Feng, L.; People’s Hospital, N.; Jiang, Z.; Chen, Y.; Dai, Z.; Liu, S.; Zhu, S.; Fei, Z.; et al. Chemokine Receptor Inhibitor VMIP-II Promoting Lymphocytes in COVID-19 Patients and Its Related Mechanism In Vitro. Res. Sq. 2020. preprint (Version 1). [Google Scholar] [CrossRef]
- Su, Y.; Chen, D.; Yuan, D.; Lausted, C.; Choi, J.; Dai, C.L.; Voillet, V.; Duvvuri, V.R.; Scherler, K.; Troisch, P.; et al. Multi-Omics Resolves a Sharp Disease-State Shift between Mild and Moderate COVID-19. Cell 2020, 183, 1479–1495.e20. [Google Scholar] [CrossRef] [PubMed]
- Chen, Z.; John Wherry, E. T Cell Responses in Patients with COVID-19. Nat. Rev. Immunol. 2020, 20, 529–536. [Google Scholar] [CrossRef] [PubMed]
- Kalpakci, Y.; Hacibekiroglu, T.; Trak, G.; Karacaer, C.; Demirci, T.; Kocayigit, H.; Sunu, C.; Varim, C.; Falay, M. Comparative Evaluation of Memory T Cells in COVID-19 Patients and the Predictive Role of CD4+CD8+ Double Positive T Lymphocytes as a New Marker. Rev. Assoc. Med. Bras. 2020, 66, 1666–1672. [Google Scholar] [CrossRef]
- Sosa-Hernández, V.A.; Torres-Ruíz, J.; Cervantes-Díaz, R.; Romero-Ramírez, S.; Páez-Franco, J.C.; Meza-Sánchez, D.E.; Juárez-Vega, G.; Pérez-Fragoso, A.; Ortiz-Navarrete, V.; Ponce-de-León, A.; et al. B Cell Subsets as Severity-Associated Signatures in COVID-19 Patients. Front. Immunol. 2020, 11, 611004. [Google Scholar] [CrossRef]
- Sallusto, F.; Geginat, J.; Lanzavecchia, A. Central memory and effector memory T cell subsets: Function, generation, and maintenance. Annu. Rev. Immunol. 2004, 22, 745–763. [Google Scholar] [CrossRef] [PubMed]
- Marín, N.D.; París, S.C.; Rojas, M.; García, L.F. Reduced frequency of memory T cells and increased Th17 responses in patients with active tuberculosis. Clin. Vaccine Immunol. 2012, 19, 1667–1676. [Google Scholar] [CrossRef] [PubMed]
- Moura, R.A.; Quaresma, C.; Vieira, A.R.; Gonçalves, M.J.; Polido-Pereira, J.; Romão, V.C.; Martins, N.; Canhão, H.; Fonseca, J.E. B-cell phenotype and IgD-CD27- memory B cells are affected by TNF-inhibitors and tocilizumab treatment in rheumatoid arthritis. PLoS ONE 2017, 8, e0182927. [Google Scholar] [CrossRef]
- Castleman, M.J.; Santos, A.L.; Lesteberg, K.E.; Maloney, J.P.; Janssen, W.J.; Mould, K.J.; Beckham, J.D.; Pelanda, R.; Torres, R.M. Activation and pro-inflammatory cytokine production by unswitched memory B cells during SARS-CoV-2 infection. Front. Immunol. 2023, 10, 1213344. [Google Scholar] [CrossRef] [PubMed]
- Gonçalves, J.J.; da Mata, C.P.S.M.; Lourenço, A.A.; Ribeiro, Á.L.; Ferreira, G.M.; Fraga-Silva, T.F.d.C.; de Souza, F.M.; Almeida, V.E.S.; Batista, I.A.; D’Avila-Mesquita, C.; et al. Timeline Kinetics of Systemic and Airway Immune Mediator Storm for Comprehensive Analysis of Disease Outcome in Critically Ill COVID-19 Patients. Front. Immunol. 2022, 13, 903903. [Google Scholar] [CrossRef] [PubMed]
- Röltgen, K.; Powell, A.E.; Wirz, O.F.; Stevens, B.A.; Hogan, C.A.; Najeeb, J.; Hunter, M.; Wang, H.; Sahoo, M.K.; Huang, C.; et al. Defining the features and duration of antibody responses to SARS-CoV-2 infection associated with disease severity and outcome. Sci. Immunol. 2020, 7, eabe0240. [Google Scholar] [CrossRef] [PubMed]
- Mathew, D.; Giles, J.R.; Baxter, A.E.; Oldridge, D.A.; Greenplate, A.R.; Wu, J.E.; Alanio, C.; Kuri-Cervantes, L.; Pampena, M.B.; D’Andrea, K.; et al. Deep Immune Profiling of COVID-19 Patients Reveals Distinct Immunotypes with Therapeutic Implications. Science 2020, 369, eabc8511. [Google Scholar] [CrossRef] [PubMed]
- Delshad, M.; Tavakolinia, N.; Pourbagheri-Sigaroodi, A.; Safaroghli-Azar, A.; Bagheri, N.; Bashash, D. The Contributory Role of Lymphocyte Subsets, Pathophysiology of Lymphopenia and Its Implication as Prognostic and Therapeutic Opportunity in COVID-19. Int. Immunopharmacol. 2021, 95, 107586. [Google Scholar] [CrossRef] [PubMed]
- Lee, J.; Park, S.-S.; Kim, T.Y.; Lee, D.-G.; Kim, D.-W. Lymphopenia as a Biological Predictor of Outcomes in COVID-19 Patients: A Nationwide Cohort Study. Cancers 2021, 13, 471. [Google Scholar] [CrossRef]
- Suryawanshi, P.; Takbhate, B.; Athavale, P.; Jali, P.; Memane, N.; Mirza, S.; Karandikar, M.; Kakrani, A.L.; Kanitkar, S.; Gandham, N.; et al. Lymphopenia with Altered T Cell Subsets in Hospitalized COVID-19 Patients in Pune, India. Viral Immunol. 2023, 36, 163–175. [Google Scholar] [CrossRef]
- Trøseid, M.; Dahl, T.B.; Holter, J.C.; Kildal, A.B.; Murphy, S.L.; Yang, K.; Quiles-Jiménez, A.; Heggelund, L.; Müller, K.E.; Tveita, A.; et al. Persistent T-cell Exhaustion in Relation to Prolonged Pulmonary Pathology and Death after Severe COVID-19: Results from Two Norwegian Cohort Studies. J. Intern. Med. 2022, 292, 816–828. [Google Scholar] [CrossRef] [PubMed]
- Govender, M.; Hopkins, F.R.; Göransson, R.; Svanberg, C.; Shankar, E.M.; Hjorth, M.; Nilsdotter-Augustinsson, Å.; Sjöwall, J.; Nyström, S.; Larsson, M. T Cell Perturbations Persist for at Least 6 Months Following Hospitalization for COVID-19. Front. Immunol. 2022, 13, 931039. [Google Scholar] [CrossRef] [PubMed]
- Mitsuyama, Y.; Yamakawa, K.; Kayano, K.; Maruyama, M.; Wada, T.; Fujimi, S. Prolonged Enhancement of Cytotoxic T Lymphocytes in the Post-Recovery State of Severe COVID-19. J. Intensive Care 2021, 9, 76. [Google Scholar] [CrossRef] [PubMed]
- Tan, X.; Grice, L.F.; Tran, M.; Mulay, O.; Monkman, J.; Blick, T.; Vo, T.; Simões, A.C.; Almeida, F.; Da, J.; et al. A Robust Platform for Integrative Spatial Multi-Omics Analysis to Map Immune Responses to SARS-CoV-2 Infection in Lung Tissues. Immunology 2023, 170, 401–418. [Google Scholar] [CrossRef] [PubMed]
- Lesteberg, K.E.; Araya, P.; Waugh, K.A.; Chauhan, L.; Espinosa, J.M.; Beckham, J.D. Severely Ill and High-Risk COVID-19 Patients Exhibit Increased Peripheral Circulation of CD62L+ and Perforin+ T Cells. Front. Immunol. 2023, 14, 401–418. [Google Scholar] [CrossRef] [PubMed]
- Onodera, T.; Sax, N.; Sato, T.; Adachi, Y.; Kotaki, R.; Inoue, T.; Shinnakasu, R.; Nakagawa, T.; Fukushi, S.; Terooatea, T.; et al. CD62L Expression Marks SARS-CoV-2 Memory B Cell Subset with Preference for Neutralizing Epitopes. Sci. Adv. 2023, 9, eadf0661. [Google Scholar] [CrossRef] [PubMed]
- Mansourabadi, A.H.; Aghamajidi, A.; Dorfaki, M.; Keshavarz, F.; Shafeghat, Z.; Moazzeni, A.; Arab, F.L.; Rajabian, A.; Roozbehani, M.; Falak, R.; et al. B Lymphocytes in COVID-19: A Tale of Harmony and Discordance. Arch. Virol. 2023, 168, 148. [Google Scholar] [CrossRef] [PubMed]
- Wang, F.; Nie, J.; Wang, H.; Zhao, Q.; Xiong, Y.; Deng, L.; Song, S.; Ma, Z.; Mo, P.; Zhang, Y. Characteristics of Peripheral Lymphocyte Subset Alteration in COVID-19 Pneumonia. J. Infect. Dis. 2020, 221, 1762–1769. [Google Scholar] [CrossRef]
- Cox, R.J.; Brokstad, K.A. Not just antibodies: B cells and T cells mediate immunity to COVID-19. Nat. Rev. Immunol. 2020, 20, 581–582. [Google Scholar] [CrossRef]
- Zhao, B.; Zhong, M.; Yang, Q.; Hong, K.; Xia, J.; Li, X.; Liu, Y.; Chen, Y.-Q.; Yang, J.; Huang, C.; et al. Alterations in Phenotypes and Responses of T Cells Within 6 Months of Recovery from COVID-19: A Cohort Study. Virol. Sin. 2021, 36, 859–868. [Google Scholar] [CrossRef]
- Tripathy, A.; Trimbake, D.; Suryawanshi, P.; Tripathy, S.; Gurav, Y.; Potdar, V.; Chaudhary, M.; Athavale, P.; Mokashi, N.; Patsute, S.; et al. Peripheral Lymphocyte Subset Alteration in Patients with COVID-19 Having Differential Clinical Manifestations. Indian J. Med. Res. 2022, 155, 136. [Google Scholar] [CrossRef]
- Yang, J.; Zhong, M.; Zhang, E.; Hong, K.; Yang, Q.; Zhou, D.; Xia, J.; Chen, Y.-Q.; Sun, M.; Zhao, B.; et al. Broad Phenotypic Alterations and Potential Dysfunction of Lymphocytes in Individuals Clinically Recovered from COVID-19. J. Mol. Cell Biol. 2021, 13, 197–209. [Google Scholar] [CrossRef]
- Kaaijk, P.; Olivo Pimentel, V.; Emmelot, M.E.; Poelen, M.C.M.; Cevirgel, A.; Schepp, R.M.; den Hartog, G.; Reukers, D.F.M.; Beckers, L.; van Beek, J.; et al. Children and Adults with Mild COVID-19: Dynamics of the Memory T Cell Response up to 10 Months. Front. Immunol. 2022, 13, 817876. [Google Scholar] [CrossRef]
- Yang, J.; Zhang, E.; Zhong, M.; Yang, Q.; Hong, K.; Shu, T.; Zhou, D.; Xiang, J.; Xia, J.; Zhou, X.; et al. Longitudinal Characteristics of T Cell Responses in Asymptomatic SARS-CoV-2 Infection. Virol. Sin. 2020, 35, 838–841. [Google Scholar] [CrossRef]
- Yang, J.; Zhong, M.; Hong, K.; Yang, Q.; Zhang, E.; Zhou, D.; Xia, J.; Chen, Y.; Sun, M.; Zhao, B.; et al. Characteristics of T-cell Responses in COVID-19 Patients with Prolonged SARS-CoV-2 Positivity—A Cohort Study. Clin. Transl. Immunol. 2021, 10, e1259. [Google Scholar] [CrossRef]
- Notarbartolo, S.; Ranzani, V.; Bandera, A.; Gruarin, P.; Bevilacqua, V.; Putignano, A.R.; Gobbini, A.; Galeota, E.; Manara, C.; Bombaci, M.; et al. Integrated Longitudinal Immunophenotypic, Transcriptional, and Repertoire Analyses Delineate Immune Responses in Patients with COVID-19. Sci. Immunol. 2021, 6, eabg5021. [Google Scholar] [CrossRef]
- Rha, M.-S.; Shin, E.-C. Activation or Exhaustion of CD8+ T Cells in Patients with COVID-19. Cell Mol. Immunol. 2021, 18, 2325–2333. [Google Scholar] [CrossRef]
- Sun, Y.; Luo, B.; Liu, Y.; Wu, Y.; Chen, Y. Immune damage mechanisms of COVID-19 and novel strategies in prevention and control of epidemic. Front. Immunol. 2023, 7, 1130398. [Google Scholar] [CrossRef]
, n = 87) and healthy controls (
, HCs, n = 13). Immunophenotypic staining was carried out as described in Material and Methods. Data are shown as a scattering distribution of individual values over bar charts representing the median percentage (%) of gated cells. Comparative analysis between COVID-19 and HCs was performed by the Mann–Whitney test, and the p values for significant differences are provided in the figure. Color backgrounds underscore decreased (
), increased (
), or unaltered (
) percentages of cell subsets in COVID-19 as compared to HCs.
, n = 87) and healthy controls (
, HCs, n = 13). Immunophenotypic staining was carried out as described in Material and Methods. Data are shown as a scattering distribution of individual values over bar charts representing the median percentage (%) of gated cells. Comparative analysis between COVID-19 and HCs was performed by the Mann–Whitney test, and the p values for significant differences are provided in the figure. Color backgrounds underscore decreased (
), increased (
), or unaltered (
) percentages of cell subsets in COVID-19 as compared to HCs.
, n = 87) and healthy controls (
, HCs, n = 13). Immunophenotypic staining was carried out as described in Material and Methods. Data are shown as a scattering distribution of individual values over bar charts representing the median percentage (%) of gated cells. Comparative analysis between COVID-19 and HCs was performed by the Mann–Whitney test, and the p values for significant differences are provided in the figure. Color backgrounds underscore decreased (
), increased (
), or unaltered (
) percentages of cell subsets in COVID-19 as compared to HCs.
, n = 87) and healthy controls (
, HCs, n = 13). Immunophenotypic staining was carried out as described in Material and Methods. Data are shown as a scattering distribution of individual values over bar charts representing the median percentage (%) of gated cells. Comparative analysis between COVID-19 and HCs was performed by the Mann–Whitney test, and the p values for significant differences are provided in the figure. Color backgrounds underscore decreased (
), increased (
), or unaltered (
) percentages of cell subsets in COVID-19 as compared to HCs.
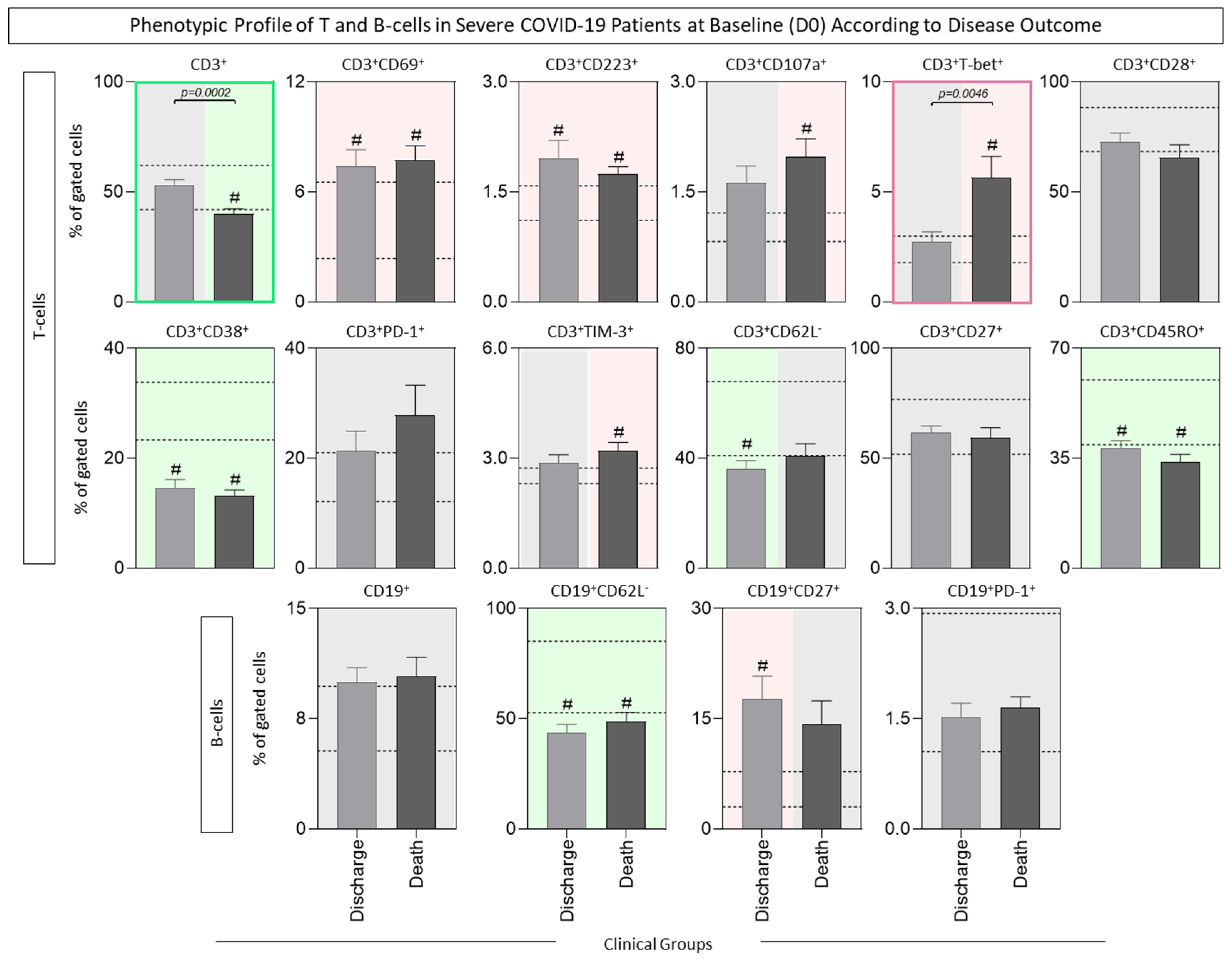
, n = 38) or Death (
, n = 33) groups and compared with the reference range (25th–75th interquartile) of healthy controls (HCs, n = 13, dashed lines). Immunophenotypic staining was carried out as described in Material and Methods. Data are shown as bar charts representing the median percentage (%, 95% CI) of gated cells. Comparative analyses amongst COVID-19 subgroups and HCs were performed using the Kruskal–Wallis test, followed by Dunn’s post-test for multiple comparisons. Significant differences are underscored by # for comparisons with HCs. Significant differences between COVID-19 subgroups were identified by connecting lines, and the p values for significant differences are provided in the figure. Color backgrounds underscore decreased (
), increased (
), or unaltered (
) percentages of cell subsets in the COVID-19 subgroups as compared to HCs. Color frames highlight decreased (
) or increased (
) percentages of cell subsets in COVID-19 patients progressing to Death compared to those evolving to Discharge.
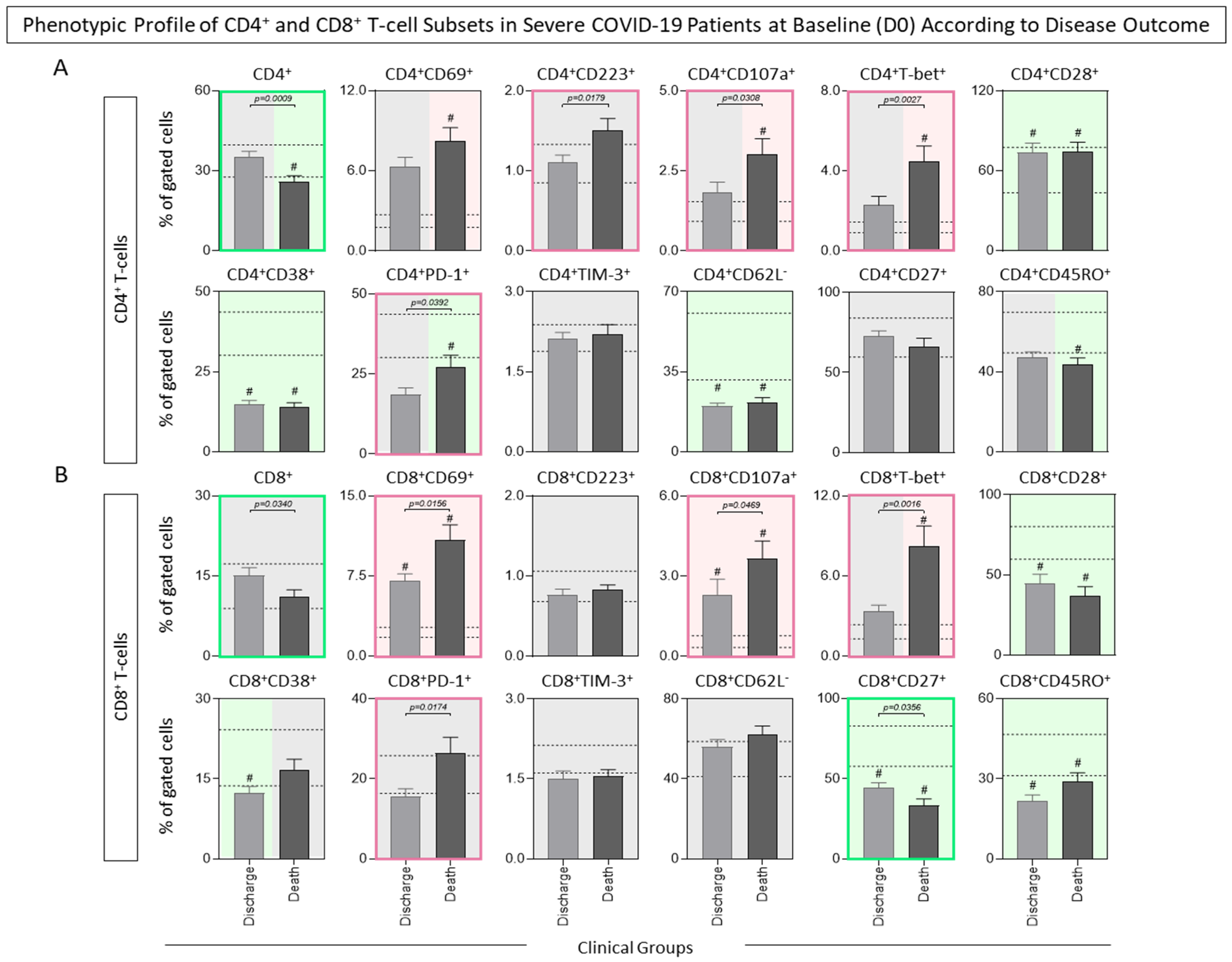
, n = 38) or Death (
, n = 33) groups and compared with the reference range (25th–75th interquartile) of healthy controls (HCs, n = 13, dashed lines). Immunophenotypic staining was carried out as described in Material and Methods. Data are shown as bar charts representing the median percentage (%, 95% CI) of gated cells. Comparative analyses amongst COVID-19 subgroups and HCs were performed using the Kruskal–Wallis test, followed by Dunn’s post-test for multiple comparisons. Significant differences are underscored by # for comparisons with HCs. Significant differences between COVID-19 subgroups were identified by connecting lines, and the p values for significant differences are provided in the figure. Color backgrounds underscore decreased (
), increased (
), or unaltered (
) percentages of cell subsets in the COVID-19 subgroups as compared to HCs. Color frames highlight decreased (
) or increased (
) percentages of cell subsets in COVID-19 patients progressing to Death compared to those evolving to Discharge.
, n = 38) or Death (
, n = 33) groups, then compared with the reference range (25th–75th interquartile) of healthy controls (HCs, n = 13, dashed lines). Immunophenotypic staining was carried out as described in Material and Methods. Data are shown as bar charts representing the median percentage (%, 95% CI) of gated cells. Comparative analyses amongst COVID-19 subgroups and HCs were performed using the Kruskal–Wallis test, followed by Dunn’s post-test for multiple comparisons. Significant differences are underscored by # for comparisons with HCs. Significant differences between COVID-19 subgroups were identified by connecting lines, and the p values for significant differences are provided in the figure. Color backgrounds underscore decreased (
), increased (
), or unaltered (
) percentages of cell subsets in COVID-19 subgroups as compared to HCs. Color frames highlight decreased (
) or increased (
) percentages of cell subsets in COVID-19 patients progressing to Death compared to those evolving to Discharge.
, n = 38) or Death (
, n = 33) groups, then compared with the reference range (25th–75th interquartile) of healthy controls (HCs, n = 13, dashed lines). Immunophenotypic staining was carried out as described in Material and Methods. Data are shown as bar charts representing the median percentage (%, 95% CI) of gated cells. Comparative analyses amongst COVID-19 subgroups and HCs were performed using the Kruskal–Wallis test, followed by Dunn’s post-test for multiple comparisons. Significant differences are underscored by # for comparisons with HCs. Significant differences between COVID-19 subgroups were identified by connecting lines, and the p values for significant differences are provided in the figure. Color backgrounds underscore decreased (
), increased (
), or unaltered (
) percentages of cell subsets in COVID-19 subgroups as compared to HCs. Color frames highlight decreased (
) or increased (
) percentages of cell subsets in COVID-19 patients progressing to Death compared to those evolving to Discharge.
, D0, n = 87), seven days (
, D7, n = 37) and 14–28 days (
, D14–28, n = 30) after inclusion in the study and compared with healthy controls (
, HCs, n = 13). (A) Data analyses were carried out by converting the continuous variables measurements (percentage of gated cells) into categorical data reported as the proportion (%) of subjects with results above the global median cut-off (median values of all datasets), as described in Material and Methods. Color backgrounds underscore the cell subsets with the proportion of subjects below (
) or above (
) 50% (dashed line). (B) Color maps were assembled to underscore the cell subsets with the proportion of subjects below or above 50% according to the color key provided in the figure. (C) The number (#) of cell subsets with a proportion above 50% was calculated and data are shown in line charts to illustrate the cell phenotype profile along the days after inclusion. Color backgrounds underscore decreased (
) or increased (
) numbers of cell subsets in COVID-19 as compared to the reference values observed in HCs (continuous line).
, D0, n = 87), seven days (
, D7, n = 37) and 14–28 days (
, D14–28, n = 30) after inclusion in the study and compared with healthy controls (
, HCs, n = 13). (A) Data analyses were carried out by converting the continuous variables measurements (percentage of gated cells) into categorical data reported as the proportion (%) of subjects with results above the global median cut-off (median values of all datasets), as described in Material and Methods. Color backgrounds underscore the cell subsets with the proportion of subjects below (
) or above (
) 50% (dashed line). (B) Color maps were assembled to underscore the cell subsets with the proportion of subjects below or above 50% according to the color key provided in the figure. (C) The number (#) of cell subsets with a proportion above 50% was calculated and data are shown in line charts to illustrate the cell phenotype profile along the days after inclusion. Color backgrounds underscore decreased (
) or increased (
) numbers of cell subsets in COVID-19 as compared to the reference values observed in HCs (continuous line).
, HCs, n = 13). Biological samples were obtained at distinct time points, including at D0 (
, Discharge D0, n = 38; Death D0, n = 33), seven days (
, Discharge D7, n = 14; Death D7, n = 14), and 14–28 days (
, Discharge D14–28, n = 11; Death D14–28, n = 11) after inclusion in the study. Data analyses were carried out by converting the continuous variables measurements (percentage of gated cells) into categorical data reported as the proportion (%) of subjects with results above the global median cut-off (median values of all datasets), as described in Material and Methods. Color backgrounds underscore the cell subsets with the proportion of subjects below (
) or above (
) 50% (dashed line).
, HCs, n = 13). Biological samples were obtained at distinct time points, including at D0 (
, Discharge D0, n = 38; Death D0, n = 33), seven days (
, Discharge D7, n = 14; Death D7, n = 14), and 14–28 days (
, Discharge D14–28, n = 11; Death D14–28, n = 11) after inclusion in the study. Data analyses were carried out by converting the continuous variables measurements (percentage of gated cells) into categorical data reported as the proportion (%) of subjects with results above the global median cut-off (median values of all datasets), as described in Material and Methods. Color backgrounds underscore the cell subsets with the proportion of subjects below (
) or above (
) 50% (dashed line).
, Discharge D0, n = 38; Death D0, n = 33), seven days (
, Discharge D7, n = 14; Death D7, n = 14), and 14–28 days (
, Discharge D14–28, n = 11; Death D14–28, n = 11) after inclusion in the study. Data analyses were carried out by converting the continuous variables measurements (percentage of gated cells) into categorical data to estimate the proportion (%) of subjects with results above the global median cut-off (median values of all datasets), as described in Material and Methods. (A) Color maps were assembled to underscore the cell subsets with the proportion of subjects below or above 50% according to the color key provided in the figure. (B) The number (#) of cell subsets with a proportion above 50% was calculated, and data were shown in line charts to illustrate the cell phenotype profile along the days after inclusion. Color backgrounds underscore decreased (
) or increased (
) numbers of cell subsets in COVID-19 as compared to the reference values observed in HCs (continuous line).
, Discharge D0, n = 38; Death D0, n = 33), seven days (
, Discharge D7, n = 14; Death D7, n = 14), and 14–28 days (
, Discharge D14–28, n = 11; Death D14–28, n = 11) after inclusion in the study. Data analyses were carried out by converting the continuous variables measurements (percentage of gated cells) into categorical data to estimate the proportion (%) of subjects with results above the global median cut-off (median values of all datasets), as described in Material and Methods. (A) Color maps were assembled to underscore the cell subsets with the proportion of subjects below or above 50% according to the color key provided in the figure. (B) The number (#) of cell subsets with a proportion above 50% was calculated, and data were shown in line charts to illustrate the cell phenotype profile along the days after inclusion. Color backgrounds underscore decreased (
) or increased (
) numbers of cell subsets in COVID-19 as compared to the reference values observed in HCs (continuous line).
), CD19+ B-cells (
), CD4+ (
) and CD8+ (
) T-cell subsets. Node border thickness is proportional to the number of strong correlations. Connecting edges (black lines) were used to link pairs of cell phenotypes displaying significant correlations. The number of strong correlations observed for each network is provided in the figure and used for comparative analysis between the COVID-19, HCs, and COVID-19 subgroups. The circular background area is proportional to the number of strong correlations of each cluster within the respective network. (B) Color map constructs were assembled to illustrate the overall connectivity between cell phenotypes in the COVID-19, HCs, and COVID-19 subgroups. A color key was employed to underscore the cell phenotypes with strong correlations.
), CD19+ B-cells (
), CD4+ (
) and CD8+ (
) T-cell subsets. Node border thickness is proportional to the number of strong correlations. Connecting edges (black lines) were used to link pairs of cell phenotypes displaying significant correlations. The number of strong correlations observed for each network is provided in the figure and used for comparative analysis between the COVID-19, HCs, and COVID-19 subgroups. The circular background area is proportional to the number of strong correlations of each cluster within the respective network. (B) Color map constructs were assembled to illustrate the overall connectivity between cell phenotypes in the COVID-19, HCs, and COVID-19 subgroups. A color key was employed to underscore the cell phenotypes with strong correlations.
), CD19+ B-cells (
), CD4+ (
), and CD8+ (
) T-cell subsets. Node border thickness is proportional to the number of strong correlations. Connecting edges (black lines) were used to link pairs of cell phenotypes displaying significant correlations. The number of strong correlations observed for each network is provided in the figure and used for comparative analysis between COVID-19 and COVID-19 subgroups according to disease outcome. The circular background area is proportional to the number of strong correlations of each cluster within the respective network. (B) Color map constructs were assembled to illustrate the overall connectivity between cell phenotypes in the COVID-19 and COVID-19 subgroups. A color key was employed to underscore the cell phenotypes with strong correlations.
), CD19+ B-cells (
), CD4+ (
), and CD8+ (
) T-cell subsets. Node border thickness is proportional to the number of strong correlations. Connecting edges (black lines) were used to link pairs of cell phenotypes displaying significant correlations. The number of strong correlations observed for each network is provided in the figure and used for comparative analysis between COVID-19 and COVID-19 subgroups according to disease outcome. The circular background area is proportional to the number of strong correlations of each cluster within the respective network. (B) Color map constructs were assembled to illustrate the overall connectivity between cell phenotypes in the COVID-19 and COVID-19 subgroups. A color key was employed to underscore the cell phenotypes with strong correlations.
), CD62L− (
), CD27+ (
), and CD45RO+ (
)] is illustrated in the dotted clusters and the frequencies are represented in the UMAP x vs. UMAP y axes.
), CD62L− (
), CD27+ (
), and CD45RO+ (
)] is illustrated in the dotted clusters and the frequencies are represented in the UMAP x vs. UMAP y axes.
), early Effector/CD45RO−CD27− (
), Central Memory/CD45RO+CD27+ (
), Effector Memory/CD45RO+CD27− (
)] and the combined clusters off all memory subsets are illustrated in the dotted clusters, while the numbers of frequencies are represented in the UMAP x vs. UMAP y axes.
), early Effector/CD45RO−CD27− (
), Central Memory/CD45RO+CD27+ (
), Effector Memory/CD45RO+CD27− (
)] and the combined clusters off all memory subsets are illustrated in the dotted clusters, while the numbers of frequencies are represented in the UMAP x vs. UMAP y axes.
| Disease Outcome—Death vs. Discharge | |||
|---|---|---|---|
| Timeline | Cell Subset | Odds Ratio (CI 95%) | p Value * |
| D0 | CD3+ | 0.94 (0.91–0.98) | 0.000 |
| CD4+ | 0.94 (0.90–0.98) | 0.002 | |
| CD4+CD107a+ | 1.27 (1.00–1.61) | 0.031 | |
| CD4+T-bet+ | 1.23 (1.03–1.48) | 0.009 | |
| CD4+CD45RO+CD27+ | 0.96 (0.93–0.99) | 0.017 | |
| CD4+CD45RO−CD27+ | 0.97 (0.95–0.99) | 0.005 | |
| CD4+CD45RO−CD27− | 1.04 (1.01–1.07) | 0.001 | |
| CD8+CD69+ | 1.11 (1.01–1.23) | 0.011 | |
| CD8+T-bet+ | 1.17 (1.04–1.31) | 0.001 | |
| CD8+CD27+ | 0.98 (0.95–0.99) | 0.037 | |
| CD8+CD45RO−CD27+ | 0.97 (0.95–0.99) | 0.011 | |
| D7 | CD4+CD45RO+ | 0.94 (0.89–0.99) | 0.017 |
| CD4+CD45RO+CD27+ | 0.94 (0.89–0.99) | 0.003 | |
| CD8+ | 0.89 (0.81–0.99) | 0.021 | |
| D14–28 | CD4+ | 0.86 (0.76–0.98) | 0.006 |
Disclaimer/Publisher’s Note: The statements, opinions and data contained in all publications are solely those of the individual author(s) and contributor(s) and not of MDPI and/or the editor(s). MDPI and/or the editor(s) disclaim responsibility for any injury to people or property resulting from any ideas, methods, instructions or products referred to in the content. |
© 2024 by the authors. Licensee MDPI, Basel, Switzerland. This article is an open access article distributed under the terms and conditions of the Creative Commons Attribution (CC BY) license (https://creativecommons.org/licenses/by/4.0/).
Share and Cite
de Oliveira, G.; Costa-Rocha, I.A.; Oliveira-Carvalho, N.; dos Santos, T.M.A.F.; Campi-Azevedo, A.C.; Peruhype-Magalhães, V.; Miranda, V.H.S.; Prado, R.O.; Pereira, A.A.S.; Alves, C.C.; et al. Phenotypic Timeline Kinetics, Integrative Networks, and Performance of T- and B-Cell Subsets Associated with Distinct Clinical Outcome of Severe COVID-19 Patients. Microorganisms 2024, 12, 2272. https://doi.org/10.3390/microorganisms12112272
de Oliveira G, Costa-Rocha IA, Oliveira-Carvalho N, dos Santos TMAF, Campi-Azevedo AC, Peruhype-Magalhães V, Miranda VHS, Prado RO, Pereira AAS, Alves CC, et al. Phenotypic Timeline Kinetics, Integrative Networks, and Performance of T- and B-Cell Subsets Associated with Distinct Clinical Outcome of Severe COVID-19 Patients. Microorganisms. 2024; 12(11):2272. https://doi.org/10.3390/microorganisms12112272
Chicago/Turabian Stylede Oliveira, Gabriela, Ismael Artur Costa-Rocha, Nani Oliveira-Carvalho, Tâmilla Mayane Alves Fidelis dos Santos, Ana Carolina Campi-Azevedo, Vanessa Peruhype-Magalhães, Vitor Hugo Simões Miranda, Roberta Oliveira Prado, Agnes Antônia Sampaio Pereira, Clarice Carvalho Alves, and et al. 2024. "Phenotypic Timeline Kinetics, Integrative Networks, and Performance of T- and B-Cell Subsets Associated with Distinct Clinical Outcome of Severe COVID-19 Patients" Microorganisms 12, no. 11: 2272. https://doi.org/10.3390/microorganisms12112272
APA Stylede Oliveira, G., Costa-Rocha, I. A., Oliveira-Carvalho, N., dos Santos, T. M. A. F., Campi-Azevedo, A. C., Peruhype-Magalhães, V., Miranda, V. H. S., Prado, R. O., Pereira, A. A. S., Alves, C. C., Brito-de-Sousa, J. P., Reis, L. R., Costa-Pereira, C., da Mata, C. P. S. M., Almeida, V. E. S., dos Santos, L. M., Almeida, G. G., Antonelli, L. R. d. V., Coelho-dos-Reis, J. G., ... Martins-Filho, O. A. (2024). Phenotypic Timeline Kinetics, Integrative Networks, and Performance of T- and B-Cell Subsets Associated with Distinct Clinical Outcome of Severe COVID-19 Patients. Microorganisms, 12(11), 2272. https://doi.org/10.3390/microorganisms12112272

