Characterization of Phytoplankton Composition in Lake Maggiore: Integrated Chemotaxonomy for Enhanced Cyanobacteria Detection
Abstract
1. Introduction
2. Methods
2.1. Field Sample Collection
2.2. HPLC Pigment Dataset
2.3. Methods in Data Analysis
2.3.1. HPLC Dataset Quality
2.3.2. Biomass of Individual Plankton Groups
2.3.3. Hierarchical Cluster Analysis (HCA)
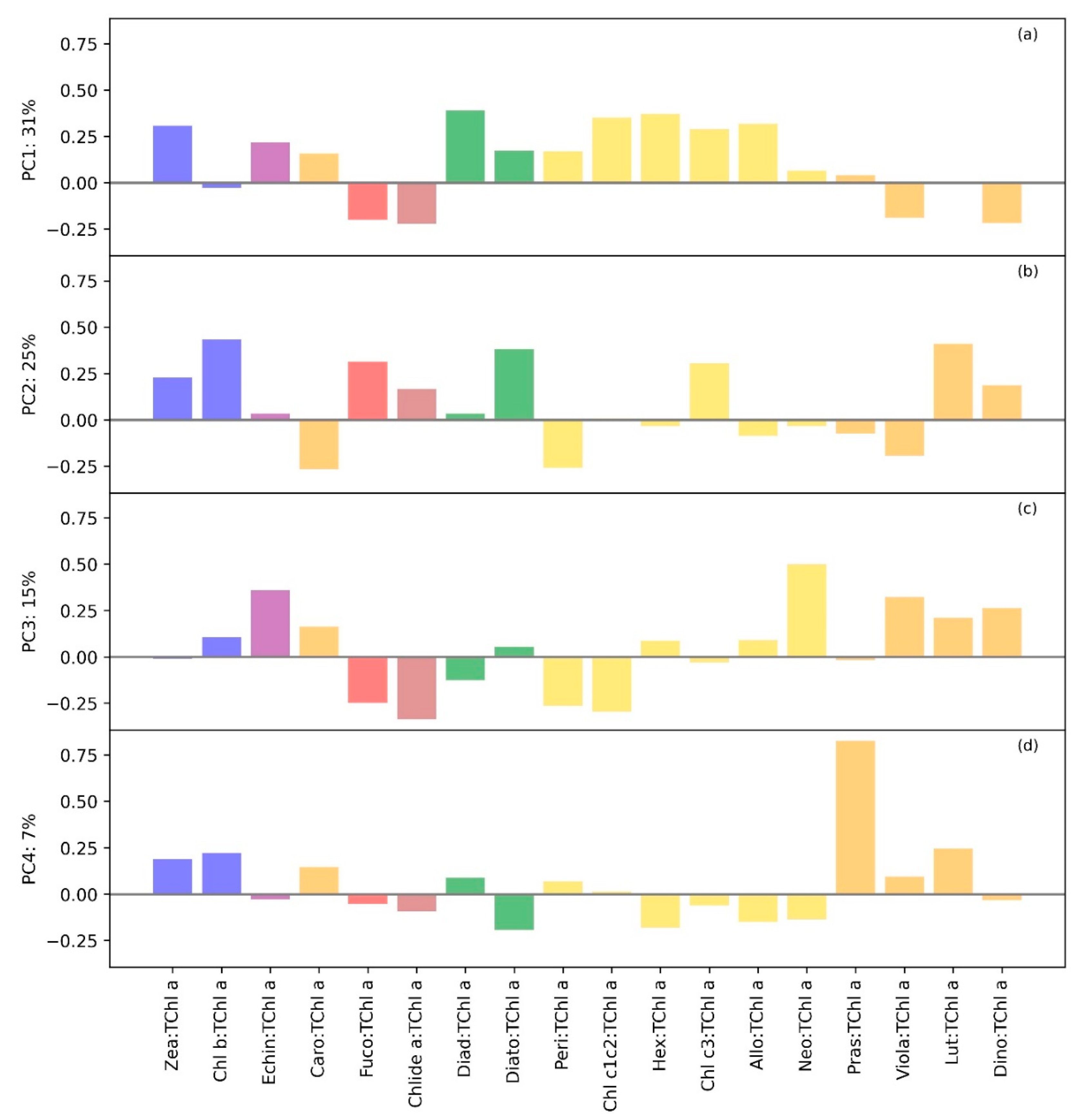
2.3.4. Principal Component Analysis (PCA)
2.3.5. Network Community Detection Analysis (NCA)
2.3.6. Microscopy Phytoplankton Determination
3. Results
Dataset Overview
4. Discussion
5. Conclusions
Supplementary Materials
Author Contributions
Funding
Data Availability Statement
Acknowledgments
Conflicts of Interest
References
- Mishra, S.; Stumpf, R.; Schaeffer, B.; Werdell, P.; Loftin, K.; Andrew, M. Measurement of Cyanobacterial Bloom Magnitude using Satellite Remote Sensing. Sci. Rep. 2019, 9, 18310. [Google Scholar] [CrossRef] [PubMed]
- Havens, K.E. Cyanobacteria blooms: Effects on aquatic ecosystems. In Cyanobacterial Harmful Algal Blooms: State of the Science and Research Needs; Hudnell, H.K., Ed.; Advances in Experimental Medicine and Biology; Springer: New York, NY, USA, 2008; Volume 619. [Google Scholar] [CrossRef]
- Dörnhöfer, K.; Klinger, P.; Heege, T.; Oppelt, N. Multi-sensor satellite and in situ monitoring of phytoplankton development in a eutrophic-mesotrophic lake. Sci. Total Environ. 2018, 612, 1200–1214. [Google Scholar] [CrossRef] [PubMed]
- Bresciani, M.; Giardino, C.; Lauceri, R.; Matta, E.; Cazzaniga, I.; Pinardi, M.; Lami, A.; Austoni, M.; Viaggiu, E.; Congestri, R.; et al. Earth observation for monitoring and mapping of cyanobacteria blooms. Case studies on five Italian lakes. J. Limnol. 2016, 76. [Google Scholar] [CrossRef]
- Mosello, R.; Ambrosetti, W.; Arisci, S.; Bettinetti, R.; Buzzi, F.; Calderoni, A.; Carrara, E.; de Bernardi, R.; Galassi, S.; Garibaldi, L.; et al. Trend of water quality of the deep subalpine lakes in relation to anthropic pressure and climate - Evoluzione recente della qualità delle acque dei laghi profondi sudalpini (Maggiore, Lugano, Como, Iseo e Garda) in risposta alle pressioni antropiche e alle variazioni climatiche. Biol. Ambient. 2010, 24, 167–177. [Google Scholar]
- Salmaso, N.; Capelli, C.; Shams, S.; Cerasino, L. Expansion of bloom-forming Dolichospermum lemmermannii (Nostocales, Cyanobacteria) to the deep lakes south of the Alps: Colonization patterns, driving forces and implications for water use. Harmful Algae 2015, 50, 76–87. [Google Scholar] [CrossRef]
- Salmaso, N.; Boscaini, A.; Pindo, M. Unraveling the Diversity of Eukaryotic Microplankton in a Large and Deep Perialpine Lake Using a High Throughput Sequencing Approach. Front. Microbiol. 2020, 11, 789. [Google Scholar] [CrossRef]
- Mosello, R.; Ruggiu, D. Nutrient load, trophic conditions and restoration prospects of Lake Maggiore. Int. Rev. Ges. Hydrobiol. Hydrogr. 1985, 70, 63–75. [Google Scholar] [CrossRef]
- Ruggiu, D.; Morabito, G.; Panzani, P.; Pugnetti, A. Trends and relations among basic phytoplankton characteristics in the course of the long-term oligotrophication of Lake Maggiore (Italy). Hydrobiologia 1998, 369, 243–257. [Google Scholar] [CrossRef]
- Marziali, L.; Guzzella, L.; Salerno, F.; Marchetto, M.; Valsecchi, L.; Tasselli, S.; Roscioli, C.; Schiavon, A. Twenty-year sediment contamination trends in some tributaries of Lake Maggiore (Northern Italy): Relation with anthropogenic factors. Environ. Sci. Pollut. Res. 2021, 28, 38193–38208. [Google Scholar] [CrossRef]
- CIPAIS (Commissione Internazionale per la Protezione delle Acque Italo-Svizzere); CNR-IRSA. Ricerche Sull’evoluzione del Lago Maggiore; Aspetti Limnologici. Programma Triennale 2022–2024. Campagna 2022; Commissione Internazionale per la Protezione Delle Acque Italo-Svizzere, Ed.; Sede di Verbania: Verbania Pallanza, VB, Italy, 2023; p. 109. (In Italian) [Google Scholar]
- Kamenir, Y.; Morabito, G. Lago Maggiore oligotrophication as seen from the long-term evolution of its phytoplankton taxonomic size structure. J. Limnol. 2009, 68, 146–161. [Google Scholar] [CrossRef]
- Morabito, G.; Oggioni, A.; Austoni, M. Resource ratio and human impact: How diatom assemblages in Lake Maggiore responded to oligotrophication and climatic variability. In Phytoplankton Responses to Human Impacts at Different Scales; Developments in Hydrobiology; Salmaso, N., Naselli-Flores, L., Cerasino, L., Flaim, G., Tolotti, M., Padisák, J., Eds.; Springer: Dordrecht, The Netherlands, 2012; Volume 221. [Google Scholar] [CrossRef]
- Austoni, M.; Marchetto, A. Struttura delle Associazioni Fitoplanctoniche nel Lago Maggiore e loro Modificazioni in Relazione a Fattori di Controllo Trofici e Climatici in CNR IRSA; Sede di Verbania. 2019. Ricerche Sull’evoluzione del Lago Maggiore. Aspetti Limnologici. Programma Triennale 2016–2018. Campagna 2018 e Rapporto Triennale 2016–2018; Commissione Internazionale per la Protezione Delle Acque Italo-Svizzere, Ed.; Sede di Verbania: Verbania, Italy, 2019; pp. 55–59. [Google Scholar]
- HELCOME. Guidelines for Monitoring of Phytoplankton Species Composition, Abundance and Biomass; HELCOM: Helsinki, Finland, 2023; p. 22. [Google Scholar] [CrossRef]
- Vidussi, F.; Claustre, H.; Manca, B.B.; Luchetta, A.; Marty, J.C. Phytoplankton pigment distribution in relation to upper thermocline circulation in the eastern Mediterranean Sea during winter. J. Geophys. Res. 2001, 106, 19939–19956. [Google Scholar] [CrossRef]
- Uitz, J.; Claustre, H.; Morel, A.; Hooker, S.B. Vertical distribution of phytoplankton communities in open ocean: An assessment based on surface chlorophyll. J. Geophys. Res. 2006, 111, C08005. [Google Scholar] [CrossRef]
- Hirata, T.; Hardman-Mountford, N.J.; Brewin, R.J.W.; Aiken, J.; Barlow, R.G.; Suzuki, K.; Isada, T.; Howell, E.; Hashioka, T.; Noguci-Aita, M.; et al. Synoptic relationships between surface chlorophyll-a and diagnostic pigments specific to phytoplankton functional types. Biogeosciences 2011, 8, 311–327. [Google Scholar] [CrossRef]
- Schlüter, L.; Garde, K.; Kaas, H. Detection of the toxic cyanobacteria Nodularia spumigena by means of a 4-keto-myxoxanthophyll-like pigment in the Baltic Sea. Mar. Ecol. Prog. Ser. 2004, 275, 69–78. [Google Scholar] [CrossRef]
- Schlüter, L.; Behl, B.; Striebel, M.; Stibor, H. Comparing microscopic counts and pigment analyses in 46 phytoplankton communities from lakes of different trophic state. Freshw. Biol. 2016, 61, 1627–1639. [Google Scholar] [CrossRef]
- Lauceri, R.; Bresciani, M.; Lami, A.; Morabito, G. Chlorophyll a interference in phycocyanin and allophycocyanin spectrophotometric quantication. J. Limnol. 2018, 77, 169–177. [Google Scholar] [CrossRef]
- Wojtasiewicz, B.; Stoń-Egiert, J. Bio-optical characterization of selected cyanobacteria strains present in marine and freshwater ecosystems. J. Appl. Phycol. 2016, 28, 2299–2314. [Google Scholar] [CrossRef]
- Roy, S.; Llewellyn, C.A.; Egeland, E.S.; Johnsen, G. Phytoplankton Pigments, Characterization, Chemotaxonomy and Applications in Oceanography; Cambridge University Press: Cambridge, UK, 2011; p. 845. [Google Scholar]
- Mackey, M.; Mackey, D.; Higgins, H.W.; Wright, S.W. CHEMTAX—A program for estimating class abundances from chemical markers: Application to HPLC measurements of phytoplankton. Mar. Ecol. Prog. Ser. 1996, 144, 265–283. [Google Scholar] [CrossRef]
- Buchaca, T.; Felip, M.; Catalan, J. A comparison of HPLC pigment analyses and biovolume estimates of phytoplankton groups in an oligotrophic lake. J. Plankton Res. 2005, 27, 91–101. [Google Scholar] [CrossRef]
- Guisande, C.; Barreiro, A.; Acuna, A.; Marciales, L.J.; Hernandez, E.; Torres, A.M.; Aranguren, N.; López, W.; Duque, S.R.; Gallo, L.J.; et al. Testing of the CHEMTAX program in contrasting Neotropical lakes, lagoons, and swamps. Limnol. Oceanogr.-Methods 2008, 6, 643–652. [Google Scholar] [CrossRef][Green Version]
- Lauridsen, T.L.; Schlüter, L.; Johansson, L.S. Determining algal assemblages in oligotrophic lakes and streams: Comparing information from newly developed pigment/chlorophyll a ratios with direct microscopy. Freshw. Biol. 2011, 56, 1638–1651. [Google Scholar] [CrossRef]
- Goela, P.C.; Danchenko, S.; Icely, J.D.; Lubian, L.M.; Cristina, S.; Newton, A. Using CHEMTAX to evaluate seasonal and interannual dynamics of the phytoplankton community off the south-west coast of Portugal. Estuarine. Coast. Shelf Sci. 2014, 151, 112–123. [Google Scholar] [CrossRef]
- Agirbas, E.; Feyzioglu, A.M.; Kopuz, U.; Llewellyn, C.A. Phytoplankton community composition in the south-eastern Black Sea determined with pigments measured by HPLC-CHEMTAX analyses and microscopy cell counts. J. Mar. Biol. Assoc. UK 2015, 95, 35–52. [Google Scholar] [CrossRef]
- Lee, M.; Won, N.-I.; Baek, S.H. Comparison of HPLC Pigment Analysis and Microscopy in Phytoplankton Assessment in the Seomjin River Estuary, Korea. Sustainability 2020, 12, 1675. [Google Scholar] [CrossRef]
- Saggiomo, M.; Bolinesi, F.; Brunet, C.; Passarelli, A.; Margiotta, F.; Saggiomo, V.; Mangoni, O. A CHEMTAX-derived phytoplankton community structure during 12-year observations in the Gulf of Naples (LTER-MC). Mar. Ecol. 2023, 44. [Google Scholar] [CrossRef]
- Irigoien, X.; Meyer, B.; Harris, R.; Harbour, D. Using HPLC pigment analysis to investigate phytoplankton taxonomy: The importance of knowing your species. Helgol. Mar. Res. 2004, 58, 77–82. [Google Scholar] [CrossRef]
- Tamm, M.; Freiberg, R.; Tõnno, I.; Nõges, P.; Nõges, T. Pigment-based chemotaxonomy—A quick alternative to determine algal assemblages in large shallow eutrophic lake? PLoS ONE 2015, 10, e0122526. [Google Scholar] [CrossRef] [PubMed]
- Simmons, L.; Sandgren, C.; Berges, J. Problems and pitfalls in using HPLC pigment analysis to distinguish Lake Michigan phytoplankton taxa. J. Great Lakes Res. 2016, 42, 397–404. [Google Scholar] [CrossRef]
- Hernández-Avilés, J.S.; Callieri, C.; Bertoni, R.; Morabito, G.; Leoni, B.; Lepori, F.; Buzzi, F.; Salmaso, N. Prokaryoplankton and phytoplankton community compositions in five large deep perialpine lakes. Hydrobiologia 2018, 824, 71–92. [Google Scholar] [CrossRef]
- Morabito, G.; Austoni, M. Caratteristiche Strutturali delle Associazioni Fitoplanctoniche nel Lago Maggiore ed Evoluzione Stagionale dei Popolamenti-C.N.R.-I.S.E.; Ricerche Sull’evoluzione del Lago Maggiore. Aspetti Limnologici. Programma Triennale 2013–2015. Campagna 2015 e Rapporto triennale 2013–2015; Commissione Internazionale per la Protezione Delle Acque Italo-Svizzere, Ed.; Sede di Verbania: Verbania Pallanza, VB, Italy, 2016; pp. 41–45. [Google Scholar]
- Rogora, M.; Austoni, M.; Caroni, R.; Giacomotti, P.; Kamburska, L.; Marchetto, A.; Mosello, R.; Orru’, A.; Tartari, G.; Dresti, C. Temporal changes in nutrients in a deep oligomictic lake: The role of external loads versus internal processes. J. Limnol. 2021, 80. [Google Scholar] [CrossRef]
- IOCCG. Observation of Harmful Algal Blooms with Ocean Colour Radiometry; Bernard, S., Kudela, R., Robertson Lain, L., Pitcher, G.C., Eds.; IOCCG Report Series, No. 20; International Ocean Colour Coordinating Group: Dartmouth, NS, Canada, 2021. [Google Scholar]
- Kutser, T.; Metsamaa, L.; Strömbeck, N.; Vahtmäe, E. Monitoring cyanobacterial blooms by satellite remote sensing. Estuar. Coast. Shelf Sci. 2006, 67, 303–312. [Google Scholar] [CrossRef]
- Simis, S.G.H.; Peters, S.; Gons, H.J. Remote sensing of the cyanobacterial pigment phycocyanin in turbid inland water. Limnol. Oceanogr. 2005, 50, 237–245. [Google Scholar] [CrossRef]
- Ambrosetti, W.; Barbanti, L. Deep water warming in lakes: An indicator of climatic change. J. Limnol. 1999, 58, 1–9. [Google Scholar] [CrossRef]
- Ambrosetti, W.; Barbanti, L.; Rolla, A.; Castellano, L.; Sala, N. Hydraulic paths and estimation of the real residence time of the water in Lago Maggiore (N Italy): Application of massless markerstransported in 3D motion fields. J. Limnol. 2012, 71, 23–33. [Google Scholar] [CrossRef]
- Fenocchi, A.; Rogora, M.; Sibilla, S.; Ciampittiello, M.; Dresti, C. Forecasting the evolution in the mixing regime of a deep subalpine lake under climate change scenarios through numerical modelling (Lake Maggiore, Northern Italy/Southern Switzerland). Clim. Dyn. 2018, 51, 3521–3536. [Google Scholar] [CrossRef]
- Rogora, M.; Buzzi, F.; Dresti, C.; Leoni, B.; Lepori, F.; Mosello, R.; Patelli, M.; Salmaso, N. Climatic effects on vertical mixing and deep-water oxygen content in the subalpine lakes in Italy. Hydrobiologia 2018, 824, 33–50. [Google Scholar] [CrossRef]
- Van Heukelem, L.; Thomas, C.S. Computer-assisted high-performance liquid chromatography method development with applications to the isolation and analysis of phytoplankton pigments. J. Chromatogr. A 2001, 910, 31–49. [Google Scholar] [CrossRef]
- Canuti, E. Phytoplankton pigment in situ measurements uncertainty evaluation: An HPLC interlaboratory comparison with a European-scale dataset. Front. Mar. Sci. 2023, 10, 1197311. [Google Scholar] [CrossRef]
- Hooker, S.B.; Van Heukelem, L.; Thomas, C.S.; Claustre, H.; Ras, J.; Barlow, R.; Sessions, H.; Schluter, L.; Perl, J.; Trees, C.; et al. The Second SeaWIFS HPLC Analysis Round-Robin Experiment/SeaHARRE-2; NASA/TM-2005-212785. 2005. Available online: https://oceancolor.gsfc.nasa.gov/fsg/hplc/SH2_TM2005_212785.pdf (accessed on 25 October 2024).
- Brewin, R.J.W.; Sathyendranath, S.; Hirata, T.; Lavender, S.J.; Barciela, R.M.; Hardman-Mountford, N.J. A three-component model of phytoplankton size class for the Atlantic Ocean. Ecol. Model. 2010, 221, 1472–1483. [Google Scholar] [CrossRef]
- Punginelli, C.; Wilson, A.; Routaboul, J.M.; Kirilovsky, D. Influence of zeaxanthin and echinenone binding on the activity of the Orange Carotenoid Protein. Biochim. Biophys. Acta (BBA)-Bioenerg. 2009, 1787, 280–288. [Google Scholar] [CrossRef]
- Takaichi, S.; Mochimaru, M. Carotenoids and carotenogenesis in cyanobacteria: Unique ketocarotenoids and carotenoid glycosides. Cell. Mol. Life Sci. 2007, 64, 2607–2619. [Google Scholar] [CrossRef] [PubMed]
- Callieri, C.; Bertoni, R.; Contesini, M.; Bertoni, F. Lake level fluctuations boost toxic cyanobacterial “oligotrophic blooms”. PLoS ONE 2014, 9, e109526. [Google Scholar] [CrossRef] [PubMed]
- Aiken, J.; Pradhan, Y.; Barlow, R.; Lavender, S.; Poulton, A.; Holligan, P.; Hardman-Mountford, N. Phytoplankton pigments and functional types in the Atlantic Ocean: A decadal assessment, 1995–2005. Deep. Sea Res. Part II Top. Stud. Oceanogr. 2009, 56, 899–917. [Google Scholar] [CrossRef]
- Trees, C.C.; Clark, D.K.; Bidigare, R.R.; Ondrusek, M.E.; Mueller, J.L. Accessory pigments versus chlorophyll a concentrations within the euphotic zone: A ubiquitous relationship. Limnol. Oceanogr. 2000, 45, 1130–1143. [Google Scholar] [CrossRef]
- Latasa, M.; Bidigare, R.R. A comparison of phytoplankton populations of the Arabian Sea during the Spring Intermonsoon and Southwest Monsoon of 1995 as described by HPLC-analyzed pigments. Deep. Sea Res. Part II Top. Stud. Oceanogr. 1998, 45, 2133–2170. [Google Scholar] [CrossRef]
- Catlett, D.; Siegel, D.A. Phytoplankton pigment communities can be modeled using unique relationships with spectral absorption signatures in a dynamic coastal environment. J. Geophys. Res. Ocean. 2018, 123, 246–264. [Google Scholar] [CrossRef]
- Anderson, C.R.; Siegel, D.A.; Brzeniski, M.A.; Guillocheau, N. Controls on temporal patterns in phytoplankton community structure in the Santa Barbara Channel, California. J. Geophys. Res. 2008, 113, C04038. [Google Scholar] [CrossRef]
- Kramer, S.J.; Siegel, D.A. How can phytoplankton pigments be best used to characterize surface ocean phytoplankton groups for ocean color remote sensing algorithms? J. Geophys. Res. Ocean. 2019, 124, 7557–7574. [Google Scholar] [CrossRef]
- Kramer, S.J.; Siegel, D.A.; Graff, J.R. Phytoplankton Community Composition Determined From Co-variability Among Phytoplankton Pigments From the NAAMES Field Campaign. Front. Mar. Sci. 2020, 7. [Google Scholar] [CrossRef]
- Canuti, E.; Penna, A. Dynamics of Phytoplankton Communities in the Baltic Sea: Insights from a Multi-dimensional Analysis of Pigment and Spectral Data: Part I, Pigment Dataset. Front. Mar. Sci. Sec. Ocean. Obs. 2024, 11, 1425347. [Google Scholar] [CrossRef]
- Zhang, B.; Horvath, S. A general framework for weighted gene co-expression network analysis. Stat. Appl. Genet. Mol. Biol. 2005, 4, 17. [Google Scholar] [CrossRef] [PubMed]
- Blondel, V.; Guillaume, J.-L.; Lambiotte, R.; Lefebvre, E. Fast unfolding of communities in large networks. J. Stat. Mech. Theory Exp. 2008. [CrossRef]
- Utermöhl, H. Zur vervollkommnung der quantitativen phytoplankton-methodik. Mitt. Int. Verein. Limnol. 1958, 9, 1–38. [Google Scholar] [CrossRef]
- Lund, J.W.G.; Kipling, C.; Le Cren, E.D. The inverted microscope method of estimating algal number and the statistical basis of estimations by counting. Hydrobiologia 1958, 11, 143–170. [Google Scholar] [CrossRef]
- CEN/TC 15204:2006; Water Quality-Guidance Standard on the Enumeration of Phytoplankton Using Inverted Microscopy (Utermöhl Technique). CEN: Brussels, Belgium, 2006; p. 46.
- Hillebrand, H.; Dürselen, C.C.-D.; Kirschtel, D.; Pollingher, U.; Zohary, T. Biovolume calculation for pelagic and benthic microalgae. J. Phycol. 1999, 35, 403–424. [Google Scholar] [CrossRef]
- Sun, J.; Liu, D. Geometric models for calculating cell biovolume and surface area for phytoplankton. J. Plankton Res. 2003, 25, 1331–1346. [Google Scholar] [CrossRef]
- CEN/TC 230. EN 16695:2015; Water Quality-Guidance on the Estimation of Phytoplankton Biovolume. CEN: Brussels, Belgium, 2015.
- Salmaso, N. Factors affecting the seasonality and distribution of cyanobacteria and chlorophytes: A case study from the large lakes south of the Alps, with special reference to Lake Garda. Hydrobiologia 2000, 438, 43–63. [Google Scholar] [CrossRef]
- Austoni, M.; Giacomotti, P.; Kamburska, L.; Lami, A.; Manca, D.; Marchetto, A. Struttura delle Associazioni Fitoplanctoniche nel Lago Maggiore e loro Modificazioni in Relazione a Fattori di Controllo Trofici e Climatici in CNR IRSA; Sede di Verbania. 2023. Ricerche Sull’evoluzione del Lago Maggiore. Aspetti Limnologici. Programma Triennale 2022–2024. Campagna 2022; Commissione Internazionale per la Protezione Delle Acque Italo-Svizzere, Ed.; Sede di Verbania: Verbania Pallanza, VB, Italy, 2022; pp. 68–75. [Google Scholar]
- Giardino, C.; Bresciani, M.; Stroppiana, D.; Oggioni, A.; Morabito, G. Optical remote sensing of lakes: An overview on Lake Maggiore. J. Limnol. 2014, 73, 210–214. [Google Scholar] [CrossRef]









| Microcystis aeruginosa | Anabaena PCC 7120 | |||||
|---|---|---|---|---|---|---|
| Amount [ng/inj] | Ratio%: TChl a | Ratio%: β Caro | Amount [ng/inj] | Ratio%: TChl a | Ratio%: β-caro | |
| Myxo | 6.3 | 3.0 | 37.3 | 2.4 | 1.3 | 8.3 | 
| Zea | 27.1 | 12.9 | 160.4 | 2.1 | 1.1 | 7.2 | 
| Gyro | 2.1 | 1.0 | 12.4 | 3.1 | 1.6 | 10.7 | 
| Echin | 5.2 | 2.5 | 30.8 | 22.4 | 11.7 | 77.2 | 
| β-caro | 16.9 | 8.1 | 100 | 29 | 15.2 | 100.0 | 
| TChl a | 209.2 | 100 | 190.8 | 100 | ||
| Parameters | Mean | CV% | Max | Min | Below Detection Limit | 
|---|---|---|---|---|---|
| TChl a [mg/m3] | 2.933 | 54.7 | 6.901 | 1.133 | - | 
| TChl b [mg/m3] | 0.078 | 42. | 0.155 | 0.024 | - | 
| TChl c [mg/m3] | 0.197 | 55.2 | 0.442 | 0.077 | - | 
| Fuco [mg/m3] | 0.513 | 55.9 | 1.101 | 0.145 | - | 
| Zea [mg/m3] | 0.199 | 42.6 | 0.404 | 0.097 | - | 
| Peri [mg/m3] | 0.136 | 95.2 | 0.491 | 0 | 1 | 
| Allo [mg/m3] | 0.146 | 52.3 | 0.336 | 0.023 | - | 
| Diato [mg/m3] | 0.040 | 58.1 | 0.08 | 0 | 4 | 
| Caro [mg/m3] | 0.195 | 55.9 | 0.509 | 0.076 | - | 
| Echin [mg/m3] | 0.038 | 54.2 | 0.071 | 0 | 2 | 
| SPM [g/m3] | 0.011 | 38.9 | 0.025 | 0.007 | |
| T [°C] | 20.53 | 17.02 | 25.62 | 15.5 | |
| Depth [m] | 222.6 | 49.7 | 383 | 60 | |
| LAT | 45.559 | 45.48186 | |||
| LON | 8.347 | 8.30507 | 
| Variable | ANOVA F-Value | ANOVA p-Value | Tukey Significant Differences (p < 0.05) | 
|---|---|---|---|
| TChl a | 6.31 | 0.0063 | Fall vs. Spring (p = 0.0045) | 
| TChl b | 0.9 | 0.4204 | None | 
| TChl c | 11.38 | 0.0003 | Fall vs. Spring (p = 0.0003), Fall vs. Summer (p = 0.0492), Spring vs. Summer (p = 0.0297) | 
| Fuco | 3.54 | 0.045 | Fall vs. Spring (p = 0.0357) | 
| Zea | 8.39 | 0.0017 | Fall vs. Spring (p = 0.0015) | 
| Peri | 13.28 | 0.0001 | Fall vs. Spring (p = 0.0001), Fall vs. Summer (p = 0.0216), Spring vs. Summer (p = 0.0267) | 
| Allo | 7.92 | 0.0023 | Fall vs. Spring (p = 0.0165), Spring vs. Summer (p = 0.0041) | 
| Diato | 1.19 | 0.3221 | None | 
| Caro | 8.44 | 0.0017 | Fall vs. Spring (p = 0.0014) | 
| Echin | 4.18 | 0.0276 | Fall vs. Spring (p = 0.0250) | 
| SPM | 2.16 | 0.1369 | None | 
| Chl c1 | Peri | Fuco | Neo | Viola | Allo | Lut | Zea | Echin | TChl_b | |
|---|---|---|---|---|---|---|---|---|---|---|
| Diatoms | 0.021 | 0.000 | 0.039 | 0.000 | 0.000 | 0.000 | 0.000 | 0.005 | 0.000 | 0.000 | 
| Chlorophyceae | 0.000 | 0.000 | 0.000 | 0.030 | 0.025 | 0.000 | 0.099 | 0.001 | 0.000 | 0.172 | 
| Cyanophytes | 0.000 | 0.000 | 0.000 | 0.000 | 0.000 | 0.000 | 0.000 | 0.284 | 0.055 | 0.000 | 
| Crysophytes | 0.000 | 0.000 | 0.207 | 0.000 | 0.094 | 0.000 | 0.000 | 0.001 | 0.000 | 0.000 | 
| Dinophyceae | 0.000 | 0.334 | 0.000 | 0.000 | 0.000 | 0.000 | 0.000 | 0.000 | 0.000 | 0.000 | 
| Cryptophytes | 0.000 | 0.000 | 0.000 | 0.000 | 0.000 | 0.143 | 0.000 | 0.000 | 0.000 | 0.000 | 
| Disclaimer/Publisher’s Note: The statements, opinions and data contained in all publications are solely those of the individual author(s) and contributor(s) and not of MDPI and/or the editor(s). MDPI and/or the editor(s) disclaim responsibility for any injury to people or property resulting from any ideas, methods, instructions or products referred to in the content. | 
© 2024 by the authors. Licensee MDPI, Basel, Switzerland. This article is an open access article distributed under the terms and conditions of the Creative Commons Attribution (CC BY) license (https://creativecommons.org/licenses/by/4.0/).
Share and Cite
Canuti, E.; Austoni, M. Characterization of Phytoplankton Composition in Lake Maggiore: Integrated Chemotaxonomy for Enhanced Cyanobacteria Detection. Microorganisms 2024, 12, 2211. https://doi.org/10.3390/microorganisms12112211
Canuti E, Austoni M. Characterization of Phytoplankton Composition in Lake Maggiore: Integrated Chemotaxonomy for Enhanced Cyanobacteria Detection. Microorganisms. 2024; 12(11):2211. https://doi.org/10.3390/microorganisms12112211
Chicago/Turabian StyleCanuti, Elisabetta, and Martina Austoni. 2024. "Characterization of Phytoplankton Composition in Lake Maggiore: Integrated Chemotaxonomy for Enhanced Cyanobacteria Detection" Microorganisms 12, no. 11: 2211. https://doi.org/10.3390/microorganisms12112211
APA StyleCanuti, E., & Austoni, M. (2024). Characterization of Phytoplankton Composition in Lake Maggiore: Integrated Chemotaxonomy for Enhanced Cyanobacteria Detection. Microorganisms, 12(11), 2211. https://doi.org/10.3390/microorganisms12112211
 
        

 
       