Effects of Different Additives and Ratios on Broom Sorghum Straw Silage Characteristics and Bacterial Communities
Abstract
1. Background
2. Materials and Methods
2.1. Silage Feed Preparation
2.2. Microbial Counts, Nutritional Quality and Fermentation Parameters
2.3. DNA Extraction, PCR and Sequencing
2.4. Bacterial Community Sequencing Analysis
2.5. Data Analysis
3. Results and Analysis
3.1. Effects of Additives and Their Proportion on Nutritional Quality of Broom Sorghum Straw
Overview of Raw Materials of Broom Sorghum Straw
3.2. Nutritional Quality of Straw Silage
3.3. Fermentation Characteristics of Straw Silage
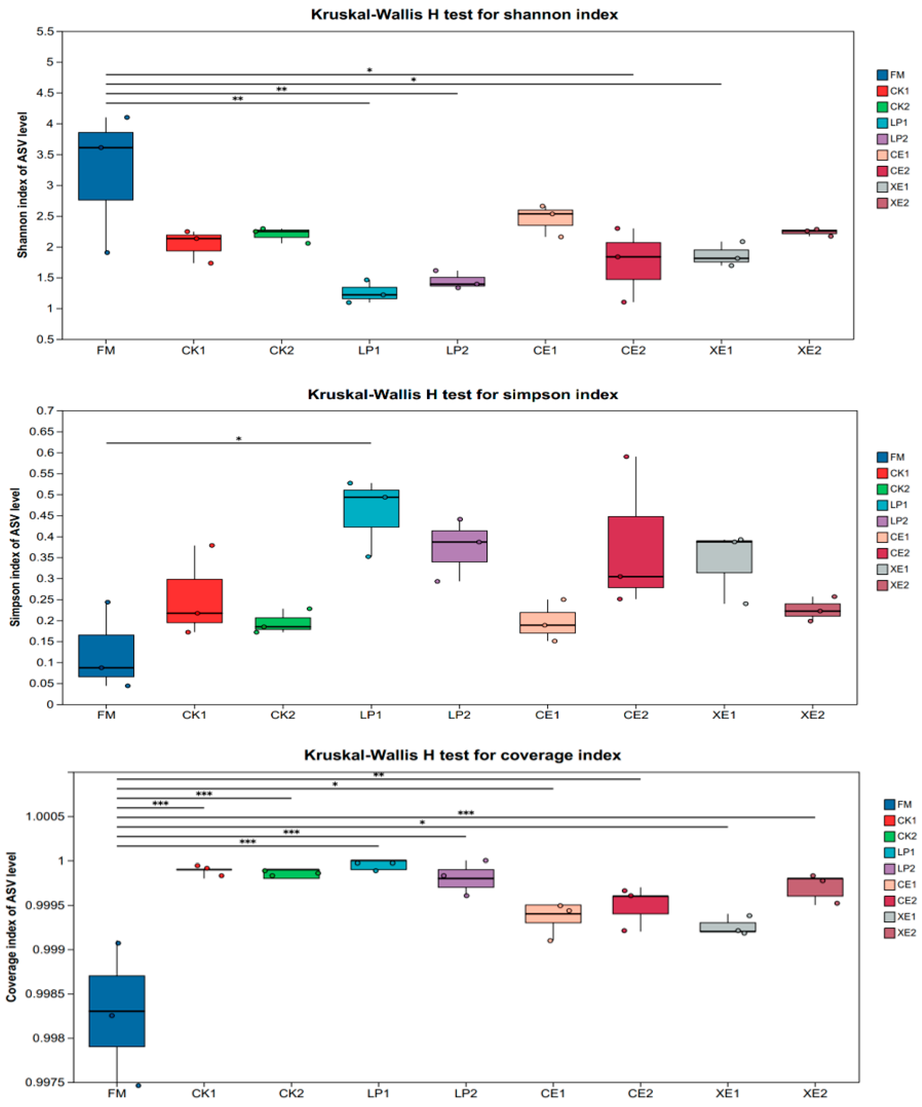
3.4. Bacterial Diversity and Community Composition of Broom Sorghum Straw Silage
Microbial Community Structure of Broom Sorghum Straw Silage
3.5. Microbial Community Phylum and Genus of Broom Sorghum Straw Silage
3.6. The Relationship between Microbial Community and Fermentation Parameters
3.7. Metabolic Pathway Prediction of Broom Sorghum Straw Silage at Three Levels
4. Discussion
4.1. Nutritional Quality of Broom Sorghum Straw Silage
4.2. Fermentation Quality of Broom Sorghum Straw Silage
4.3. Microbial Community of Broom Sorghum Straw Silage
4.4. Silage Microbial Gene Function Prediction
5. Conclusions
Author Contributions
Funding
Institutional Review Board Statement
Informed Consent Statement
Data Availability Statement
Conflicts of Interest
References
- Changsong, Z.; Leiting, L.; Daisuke, M.; Delin, L.; Qiming, T. The genome of broomcorn millet. Nat. Commun. 2019, 10, 436. [Google Scholar] [CrossRef]
- Leiting, L.; Heng, Z. The Broomcorn Millet Genome. In Compendium of Plant Genomes; Springer International Publishing: Cham, Switzerland, 2022. [Google Scholar] [CrossRef]
- Anoma, C.; Fereidoon, S. Determination of antioxidant activity in free and hydrolyzed fractions of millet grains and characterization of their phenolic profiles by HPLC-DAD-ESI-MSn. J. Funct. Foods 2011, 3, 144–158. [Google Scholar] [CrossRef]
- Wei, L.; Lichao, W.; Zhentian, C.; Zenglin, Z.; Xin, P. Study on metabolic variation in whole grains of four proso millet varieties reveals metabolites important for antioxidant properties and quality traits. Food Chem. 2021, 357, 129791. [Google Scholar] [CrossRef]
- Mingxing, S.; Xiaofang, X.; Chengdong, W.; Yunli, B.; Chao, F. Environmental burdens of the comprehensive utilization of straw: Wheat straw utilization from a life-cycle perspective. J. Clean. Prod. 2020, 259, 120702. [Google Scholar] [CrossRef]
- Karnnalin, T.; Feng, X.; Jonathan, M.W.; Scott, A.S.; Leland, J.M. Effects of the pelleting conditions on chemical composition and sugar yield of corn stover, big bluestem, wheat straw, and sorghum stalk pellets. Bioprocess Biosyst. Eng. 2011, 35, 615–623. [Google Scholar] [CrossRef]
- Mingjian, L.; Yu, W.; Zhijun, W.; Jian, B.; Muqier, Z. Effects of Isolated LAB on Chemical Composition, Fermentation Quality and Bacterial Community of Stipa grandis Silage. Microorganisms 2022, 10, 2463. [Google Scholar] [CrossRef]
- Evan, Y.L.; Shuiping, W.; Shibo, W.; Nazir Ahmad, K.; Xiaoling, Z. Bacterial inoculants and enzymes based silage cocktails boost the ensiling quality of biomasses from reed, corn and rice straw. Chem. Biol. Technol. Agric. 2024, 11, 29. [Google Scholar] [CrossRef]
- Yi, W.; Cheng, W.; Wei, Z.; Yang, F.; Xiaoyang, C. Effects of Wilting and Lactobacillus plantarum Addition on the Fermentation Quality and Microbial Community of Moringa oleifera Leaf Silage. Front. Microbiol. 2018, 9, 1817. [Google Scholar] [CrossRef]
- Shengnan, L.; Wencan, K.; Qing, Z.; Undersander, D.J.; Guijie, Z. Effects of Bacillus coagulans and Lactobacillus plantarum on the fermentation quality, aerobic stability and microbial community of triticale silage. Chem. Biol. Technol. Agric. 2023, 10, 79. [Google Scholar] [CrossRef]
- María Isabel, C.-D.; Luis Alberto, M.R.; Griselda, C.-A.; José Luis, Z.-B.; Mónica, G.-R. Improvement of Ruminal Neutral Detergent Fiber Degradability by Obtaining and Using Exogenous Fibrolytic Enzymes from White-Rot Fungi. Animals 2022, 12, 843. [Google Scholar] [CrossRef]
- Junfeng, L.; Xianjun, Y.; Zhihao, D.; Wazha, M.; Tao, S. The effects of fibrolytic enzymes, cellulolytic fungi and bacteria on the fermentation characteristics, structural carbohydrates degradation, and enzymatic conversion yields of Pennisetum sinese silage. Bioresour. Technol. 2018, 264, 123–130. [Google Scholar] [CrossRef]
- Yin, K.; Min, A.; Yao, X.; Zhanying, S.; Yaqi, Z. Dynamic changes of rumen microbiota and serum metabolome revealed increases in meat quality and growth performances of sheep fed bio-fermented rice straw. J. Anim. Sci. Biotechnol. 2024, 15, 34. [Google Scholar] [CrossRef]
- Xueli, C.; Antonio Carlos, S.; Diana, M.R.G.; Pei-Yuan, S.; John, E.A. Effect of pelleting on the enzymatic digestibility of corn stover. Bioresour. Technol. 2023, 384, 129338. [Google Scholar] [CrossRef]
- Xiaolin, W.; Jiamei, S.; Zihan, L.; Guangning, Z.; Yonggen, Z. Fermentation Quality and Microbial Community of Corn Stover or Rice Straw Silage Mixed with Soybean Curd Residue. Animals 2022, 12, 919. [Google Scholar] [CrossRef] [PubMed]
- Hossain, M.M.; Rawal, A.; Aldous, L. Aprotic vs Protic Ionic Liquids for Lignocellulosic Biomass Pretreatment: Anion Effects, Enzymatic Hydrolysis, Solid-State NMR, Distillation, and Recycle. ACS Sustain. Chem. Eng. 2019, 7, 11928–11936. [Google Scholar] [CrossRef]
- Baochao, B.; Rui, Q.; Zhijun, W.; Yichao, L.; Jian, B. Effects of Cellulase and Lactic Acid Bacteria on Ensiling Performance and Bacterial Community of Caragana korshinskii Silage. Microorganisms 2023, 11, 337. [Google Scholar] [CrossRef]
- Qiming, C.; Ping, L.; Bingxue, X.; Yang, F.; Daxu, L. Effects of LAB inoculant and cellulase on the fermentation quality and chemical composition of forage soybean silage prepared with corn stover. Grassl. Sci. 2020, 67, 83–90. [Google Scholar] [CrossRef]
- Ke, W.; Ding, W.; Xu, D.; Ding, L.; Zhang, R. Effects of addition of malic or citric acids on fermentation quality and chemical characteristics of alfalfa silage. J. Dairy Sci. 2017, 100, 8958–8966. [Google Scholar] [CrossRef]
- Zhang, Q.; Wu, B.; Nishino, N.; Wang, X.; Yu, Z. Fermentation and microbial population dynamics during the ensiling of native grass and subsequent exposure to air. Anim. Sci. J. 2016, 87, 389–397. [Google Scholar] [CrossRef]
- William, H.; George, W.L. Official Methods of Analysis of AOAC International; AOAC International: Rockville, MD, USA, 2006. [Google Scholar]
- Vance, N.O.; Kenneth, A.A.; Muck, R.E.; Stanley, H.D. Protein Degradation and Fermentation Characteristics of Red Clover and Alfalfa Silage Harvested with Varying Levels of Total Nonstructural Carbohydrates. Crop Sci. 1999, 39, 1873–1880. [Google Scholar] [CrossRef]
- Soest, P.J.V.; James, B.R.; Lewis, B.A. Methods for Dietary Fiber, Neutral Detergent Fiber, and Nonstarch Polysaccharides in Relation to Animal Nutrition. J. Dairy Sci. 1991, 74, 3583–3597. [Google Scholar] [CrossRef] [PubMed]
- Rongzheng, H.; Fanfan, Z.; Ting, W.; Yulin, Z.; Xiao, L. Effect of Intrinsic Tannins on the Fermentation Quality and Associated with the Bacterial and Fungal Community of Sainfoin Silage. Microorganisms 2022, 10, 844. [Google Scholar] [CrossRef] [PubMed]
- Nicola, S.; Jacques, I.; Levi, W.; Dirk, G.; Larisa, M. Metagenomic biomarker discovery and explanation. Genome Biol. 2011, 12, R60. [Google Scholar] [CrossRef]
- Gavin, M.D.; Vincent, J.M.; Jesse, Z.; Svetlana, N.Y.; James, R.B. PICRUSt2: An improved and customizable approach for metagenome inference. BioRxiv 2019, 672295. [Google Scholar] [CrossRef]
- Zhang, D.Z.; Panhwar, R.B.; Liu, J.J.; Gong, X.W.; Feng, B.L. Morphological diversity and correlation analysis of phenotypes and quality traits of proso millet (Panicum miliaceum L.) core collections. J. Integr. Agric. 2019, 18, 958–969. [Google Scholar] [CrossRef]
- Qiu, C.; Liu, N.; Diao, X.; He, L.; Zhou, H. Effects of Cellulase and Xylanase on Fermentation Characteristics, Chemical Composition and Bacterial Community of the Mixed Silage of King Grass and Rice Straw. Microorganisms 2024, 12, 561. [Google Scholar] [CrossRef]
- Li, L.; Liu, C.; Qu, M.; Zhang, W.; Pan, K. Characteristics of a recombinant Lentinula edodes endoglucanase and its potential for application in silage of rape straw. Int. J. Biol. Macromol. 2019, 139, 49–56. [Google Scholar] [CrossRef]
- Mu, L.; Xie, Z.; Hu, L.; Chen, G.; Zhang, Z. Cellulase interacts with Lactobacillus plantarum to affect chemical composition, bacterial communities, and aerobic stability in mixed silage of high-moisture amaranth and rice straw. Bioresour. Technol. 2020, 315, 123772. [Google Scholar] [CrossRef]
- Zhao, X.; Wang, F.; Fang, Y.; Zhou, D.; Wang, S. High-potency white-rot fungal strains and duration of fermentation to optimize corn straw as ruminant feed. Bioresour. Technol. 2020, 312, 123512. [Google Scholar] [CrossRef]
- Yujie, Z.; Shuangquan, Y.; Lei, Z.; Rong, H.; Yong, X. Xylooligosaccharides and glucose preparation from sugarcane bagasse by a combination of acetic acid treatment and sequential xylanase and cellulase enzymatic hydrolysis. Ind. Crops Prod. 2024, 210, 118202. [Google Scholar] [CrossRef]
- Konstantinos, G.; Theano, B.L. Silage yield and protein content of forage legumes intercropping with cereals in two spatial arrangements. Agrofor 2021, 6. [Google Scholar] [CrossRef]
- Du, Z.; Yamasaki, S.; Oya, T.; Cai, Y. Cellulase-lactic acid bacteria synergy action regulates silage fermentation of woody plant. Biotechnol. Biofuels Bioprod. 2023, 16, 125. [Google Scholar] [CrossRef] [PubMed]
- Liangyin, C.; Hui, Q.; Shiqie, B.; Lijun, Y.; Minghong, Y. Effect of wet sea buckthorn pomace utilized as an additive on silage fermentation profile and bacterial community composition of alfalfa. Bioresour. Technol. 2020, 314, 123773. [Google Scholar] [CrossRef]
- Lijuan, C.; Li, X.; Yili, W.; Ziwei, G.; Guo-Ming, W. The performance of plant essential oils against lactic acid bacteria and adverse microorganisms in silage production. Front. Plant Sci. 2023, 14, 1285722. [Google Scholar] [CrossRef]
- Charles Obinwanne, O.; Yongli, W.; Lu, G.; Yanfang, W.; Xia, L. The performance of lactic acid bacteria in silage production: A review of modern biotechnology for silage improvement. Microbiol. Res. 2023, 266, 127212. [Google Scholar] [CrossRef]
- Xu, J.; Ma, J.; Sa, R.; Sui, H.; Wang, X. Effects of lactic acid bacteria inoculants on the nutrient composition, fermentation quality, and microbial diversity of whole-plant soybean-corn mixed silage. Front. Microbiol. 2024, 15, 1347293. [Google Scholar] [CrossRef]
- Agustinho, B.C.; Daniel, J.L.P.; Zeoula, L.M.; Alcalde, C.R.; Machado, E. Enzymatic effects of Pleurotus ostreatus spent substrate on whole-plant corn silage and performance of lactating goats. J. Dairy Sci. 2021, 104, 11660–11672. [Google Scholar] [CrossRef]
- Andrada, E.; Mechoud, M.A.; Abeijón-Mukdsi, M.C.; Chagra Dib, E.P.; Cerviño, S. Ferulic Acid Esterase Producing Lactobacillus johnsonii from Goat Feces as Corn Silage Inoculants. Microorganisms 2022, 10, 1732. [Google Scholar] [CrossRef]
- Tamang, J.P.; Kharnaior, P.; Halami, P.M. Lactic acid bacteria in some Indian fermented foods and their predictive functional profiles. Braz. J. Microbiol. 2024, 55, 1745–1751. [Google Scholar] [CrossRef]
- Jie, B.; Zitong, D.; Wencan, K.; Dongmei, X.; Museng, W. Different lactic acid bacteria and their combinations regulated the fermentation process of ensiled alfalfa: Ensiling characteristics, dynamics of bacterial community and their functional shifts. Microb. Biotechnol. 2021, 14, 1171–1182. [Google Scholar] [CrossRef]
- Bao, X.; Feng, H.; Guo, G.; Huo, W.; Li, Q. Effects of laccase and lactic acid bacteria on the fermentation quality, nutrient composition, enzymatic hydrolysis, and bacterial community of alfalfa silage. Front. Microbiol. 2022, 13, 1035942. [Google Scholar] [CrossRef] [PubMed]
- Yining, H.; Zhigao, W.; Ye, Z.; Rong, H.; Xingrong, J. Effect of static-state fermentation on volatile composition in rapeseed meal. J. Sci. Food Agric. 2020, 100, 2145–2152. [Google Scholar] [CrossRef]





| Item | Specimen |
|---|---|
| Dry Matter DM (g/kg FM) | 926 ± 11.27 |
| Crude Protein CP (g/kg DM) | 35.63 ± 1.67 |
| Neutral Detergent Fiber NDF (g/kg DM) | 853.22 ± 4.96 |
| Acid Detergent Fiber ADF (g/kg DM) | 613.97 ± 15.26 |
| Water Soluble Carbohydrates WSC (g/kg DM) | 31.60 ± 3.74 |
| Lactic acid bacteria (Log10 cfu/g FM) | 6.53 ± 1.08 |
| Saccharomyces (Log10 cfu/g FM) | 7.12 ± 0.67 |
| Colibacillus (Log10 cfu/g FM) | 6.32 ± 1.34 |
| Aerobe (Log10 cfu/g FM) | 8.57 ± 0.32 |
| Fungus (Log10 cfu/g FM) | 2.34 ± 0.25 |
| Time | CK | LP | CE10 | CE20 | XE10 | XE20 | SEM | T | D | T × D | |
|---|---|---|---|---|---|---|---|---|---|---|---|
| DM (g/kg FM) | 30 | 423.27 Ab | 416.74 Abc | 419.00 Abc | 416.08 Ac | 437.97 Aa | 418.46 Abc | 0.00 | <0.0001 | <0.0001 | 0.3282 |
| 60 | 419.22 Ab | 408.08 Bc | 409.30 Ac | 406.93 Bc | 436.78 Aa | 411.88 Abc | |||||
| CP (g/kg DM) | 30 | 19.72 Bab | 20.86 Ba | 17.23 Bbc | 22.35 Ba | 16.73 Bc | 20.69 Ba | 0.10 | <0.0001 | <0.0001 | 0.0022 |
| 60 | 32.29 Aa | 33.95 Aa | 30.79 Aa | 31.08 Aa | 23.81 Ab | 26.01 Ab | |||||
| WSC (g/kg DM) | 30 | 11.85 Ac | 17.16.5 Ac | 31.06.9 Ab | 31.35 Ab | 37.48 Aab | 43.02 Aa | 0.00 | <0.0001 | <0.0001 | 0.0006 |
| 60 | 12.14Ab | 12.53Ab | 16.94Ab | 31.08Aa | 14.17Bb | 33.43Aa | |||||
| ADF (g/kg DM) | 30 | 601.62 Aa | 580.83 Ab | 541.01 Ac | 543.28 Ac | 560.76 Abc | 560.72 Abc | 0.00 | <0.0001 | 0.1723 | 0.5128 |
| 60 | 567.03 Ba | 571.05 Aa | 520.65 Ac | 530.6 Abc | 541.98 Ab | 530.51 Bbc | |||||
| NDF (g/kg DM) | 30 | 846.85 Aa | 827.56 Aa | 798.63 Ab | 780.15 Ab | 787.25 Ab | 798.63 Ab | 0.01 | <0.0001 | <0.0001 | 0.5890 |
| 60 | 790.52 Bab | 795.94 Aa | 758.55 Ab | 755.67 Bb | 757.98 Ab | 763.32 Bab |
| Time | CK | LP | CE10 | CE20 | XE10 | XE20 | SEM | T | D | T × D | |
|---|---|---|---|---|---|---|---|---|---|---|---|
| pH | 30 | 4.24 Aa | 4.16 Aa | 3.85 Ab | 3.85 Ab | 3.87 Ab | 3.85 Ab | 0.04 | <0.0001 | 0.9877 | 0.9811 |
| 60 | 4.38 Aa | 4.07 Ab | 3.86 Ab | 3.87 Ab | 3.77 Ab | 3.78 Ab | |||||
| NH3-N (g/kg FM) | 30 | 0.13 Ba | 0.05 Ab | 0.02 Bb | 0.04 Ab | 0.03 Ab | 0.02 Ab | 0.15 | <0.0001 | 0.0009 | 0.0010 |
| 60 | 0.39 Aa | 0.06 Ab | 0.05 Ab | 0.06 Ab | 0.07 Ab | 0.05 Ab | |||||
| LA (g/kg FM) | 30 | 10.71 Ac | 14.04 Abc | 18.79 Ba | 19.28 Aa | 16.98 Bab | 15.38 Bab | 0.71 | <0.0001 | 0.0006 | 0.7536 |
| 60 | 11.53 Ab | 19.91 Aa | 23.36 Aa | 23.79 Aa | 20.55 Aa | 19.02 Aa | |||||
| AA (g/kg FM) | 30 | 3.38 Aa | 1.16 Ab | 0.20 Bb | 0.28 Ab | 0.36 Ab | 0.03 Bb | 0.27 | <0.0001 | 0.0338 | 0.7281 |
| 60 | 3.99 Aa | 3.03 Aab | 0.78 Abc | 0.64 Abc | 0.50 Ac | 0.98 Abc | |||||
| PA (g/kg FM) | 30 | 12.01 Ba | 7.74 Bbc | 8.60 Abc | 6.91 Bbc | 10.53 Aab | 6.29 Bc | 0.59 | <0.0001 | <0.0001 | 0.0002 |
| 60 | 18.06 Aa | 15.04 Ab | 11.28 Ac | 9.64 Acd | 11.35 Ac | 8.19 Ad |
Disclaimer/Publisher’s Note: The statements, opinions and data contained in all publications are solely those of the individual author(s) and contributor(s) and not of MDPI and/or the editor(s). MDPI and/or the editor(s) disclaim responsibility for any injury to people or property resulting from any ideas, methods, instructions or products referred to in the content. |
© 2024 by the authors. Licensee MDPI, Basel, Switzerland. This article is an open access article distributed under the terms and conditions of the Creative Commons Attribution (CC BY) license (https://creativecommons.org/licenses/by/4.0/).
Share and Cite
Sheng, P.; Bai, B.; Liu, M.; Ma, W.; Liu, J.; Song, C.; Du, S.; Ge, G.; Jia, Y.; Wang, Z. Effects of Different Additives and Ratios on Broom Sorghum Straw Silage Characteristics and Bacterial Communities. Microorganisms 2024, 12, 2062. https://doi.org/10.3390/microorganisms12102062
Sheng P, Bai B, Liu M, Ma W, Liu J, Song C, Du S, Ge G, Jia Y, Wang Z. Effects of Different Additives and Ratios on Broom Sorghum Straw Silage Characteristics and Bacterial Communities. Microorganisms. 2024; 12(10):2062. https://doi.org/10.3390/microorganisms12102062
Chicago/Turabian StyleSheng, Panjie, Baochao Bai, Mingjian Liu, Weiqin Ma, Jianliang Liu, Chaoran Song, Shuai Du, Gentu Ge, Yushan Jia, and Zhijun Wang. 2024. "Effects of Different Additives and Ratios on Broom Sorghum Straw Silage Characteristics and Bacterial Communities" Microorganisms 12, no. 10: 2062. https://doi.org/10.3390/microorganisms12102062
APA StyleSheng, P., Bai, B., Liu, M., Ma, W., Liu, J., Song, C., Du, S., Ge, G., Jia, Y., & Wang, Z. (2024). Effects of Different Additives and Ratios on Broom Sorghum Straw Silage Characteristics and Bacterial Communities. Microorganisms, 12(10), 2062. https://doi.org/10.3390/microorganisms12102062

