Composite Interventions on Outcomes of Severely and Critically Ill Patients with COVID-19 in Shanghai, China
Abstract
1. Introduction
2. Methods
2.1. Study Designs and Participants
2.2. Outcome Measures
2.3. Statistical Analysis
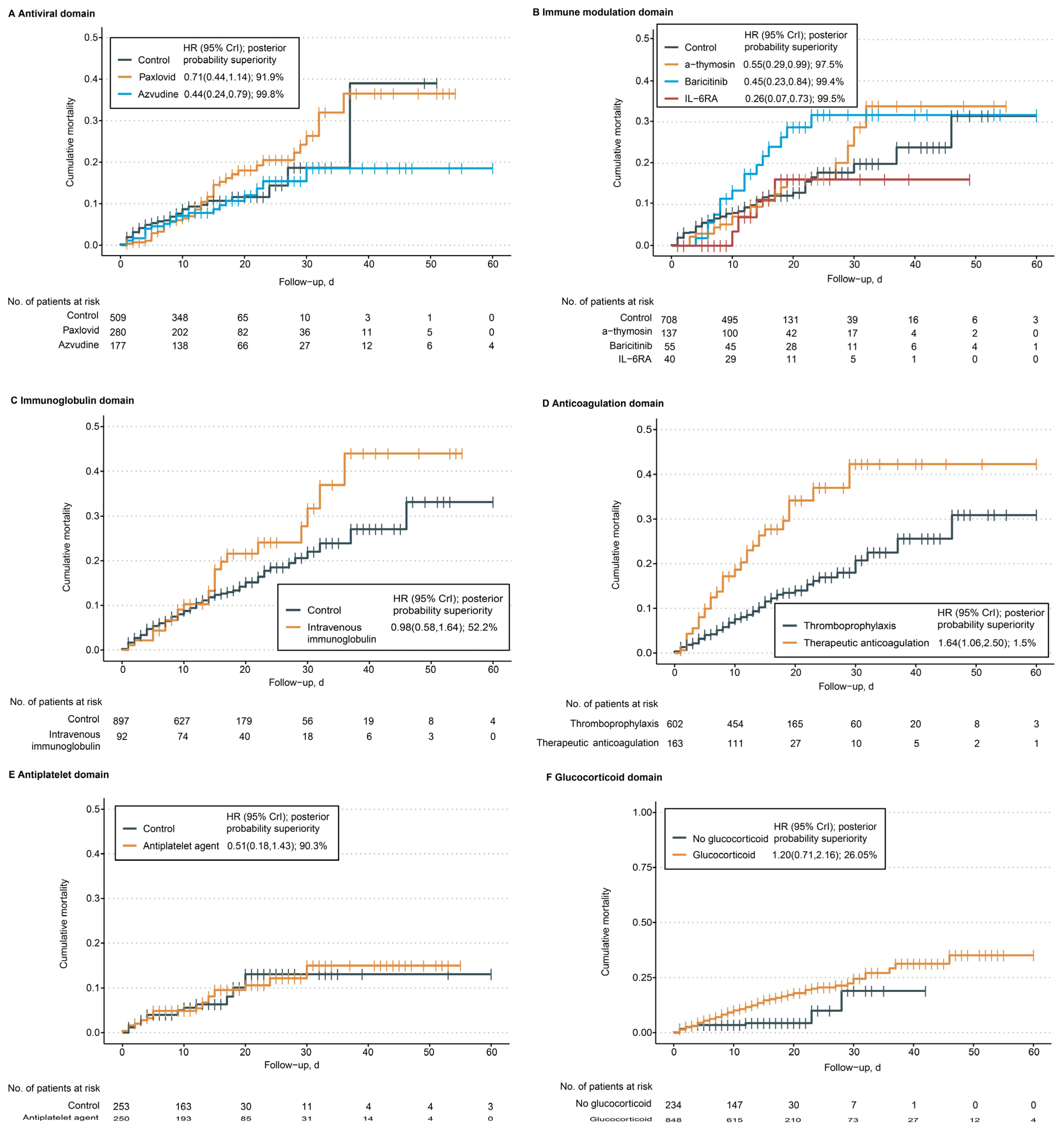
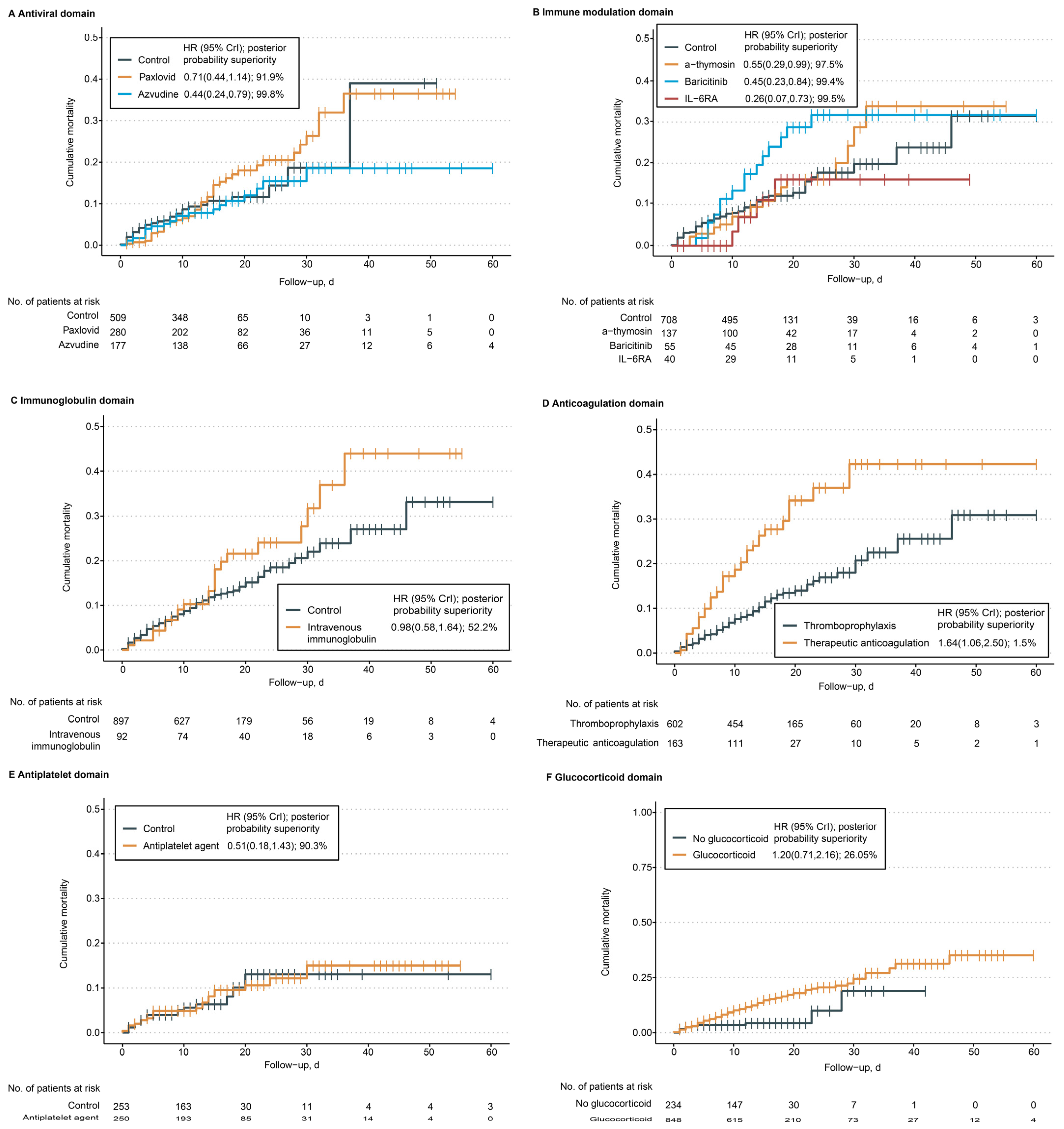
3. Results
4. Discussion
Author Contributions
Funding
Institutional Review Board Statement
Data Availability Statement
Acknowledgments
Conflicts of Interest
References
- Ioannidis, J.P.A.; Zonta, F.; Levitt, M. Estimates of COVID-19 deaths in Mainland China after abandoning zero COVID policy. Eur. J. Clin. Investig. 2023, 53, e13956. [Google Scholar] [CrossRef]
- Dyer, O. COVID-19: China stops counting cases as models predict a million or more deaths. BMJ 2023, 380, 2. [Google Scholar] [CrossRef] [PubMed]
- Wang, B.; Yu, Y.; Yu, Y.; Wang, N.; Chen, F.; Jiang, B.; Chen, Y.; Zhang, J.; Liu, J.; Wang, H.; et al. Clinical features and outcomes of hospitalized patients with COVID-19 during the Omicron wave in Shanghai, China. J. Infect. 2023, 86, e27–e29. [Google Scholar] [CrossRef] [PubMed]
- Shao, J.; Fan, R.; Hu, J.; Zhang, T.; Lee, C.; Huang, X.; Wang, F.; Liang, H.; Jin, Y.; Jiang, Y.; et al. Clinical Progression and Outcome of Hospitalized Patients Infected with SARS-CoV-2 Omicron Variant in Shanghai, China. Vaccines 2022, 10, 1409. [Google Scholar] [CrossRef] [PubMed]
- Huang, L.; Yao, Q.; Gu, X.; Wang, Q.; Ren, L.; Wang, Y.; Hu, P.; Guo, L.; Liu, M.; Xu, J.; et al. 1-year outcomes in hospital survivors with COVID-19: A longitudinal cohort study. Lancet 2021, 398, 747–758. [Google Scholar] [CrossRef]
- Huang, L.; Li, X.; Gu, X.; Zhang, H.; Ren, L.; Guo, L.; Liu, M.; Wang, Y.; Cui, D.; Wang, Y.; et al. Health outcomes in people 2 years after surviving hospitalisation with COVID-19: A longitudinal cohort study. Lancet Respir. Med. 2022, 10, 863–876. [Google Scholar] [CrossRef]
- Ye, Q.; Wang, B.; Mao, J. The pathogenesis and treatment of the ‘Cytokine Storm’ in COVID-19. J. Infect. 2020, 80, 607–613. [Google Scholar] [CrossRef]
- Cilloniz, C.; Motos, A.; Castaneda, T.; Gabarrus, A.; Barbe, F.; Torres, A.; Project, C. Remdesivir and survival outcomes in critically ill patients with COVID-19: A multicentre observational cohort study. J. Infect. 2023, 86, 256–308. [Google Scholar] [CrossRef]
- Florescu, S.; Stanciu, D.; Zaharia, M.; Kosa, A.; Codreanu, D.; Kidwai, A.; Masood, S.; Kaye, C.; Coutts, A.; MacKay, L.; et al. Long-term (180-Day) Outcomes in Critically Ill Patients With COVID-19 in the REMAP-CAP Randomized Clinical Trial. JAMA 2023, 329, 39–51. [Google Scholar] [CrossRef]
- Abdelhady, H.; Abdelrazik, M.; Abdi, Z.; Abdo, D.; Abdulle, A.; Abel, L.; Abouzeenni, S.; Abrahamson, G.; Abusamra, Y.; Adams, L.; et al. Effect of Convalescent Plasma on Organ Support-Free Days in Critically Ill Patients With COVID-19: A Randomized Clinical Trial. JAMA 2021, 326, 1690–1702. [Google Scholar] [CrossRef]
- Goligher, E.C.; Bradbury, C.A.; McVerry, B.J.; Lawler, P.R.; Berger, J.S.; Gong, M.N. Therapeutic Anticoagulation with Heparin in Critically Ill Patients with COVID-19. N. Engl. J. Med. 2021, 385, 777–789. [Google Scholar] [CrossRef]
- Bradbury, C.A.; Lawler, P.R.; Stanworth, S.J.; McVerry, B.J.; McQuilten, Z.; Higgins, A.M.; Mouncey, P.R.; Al-Beidh, F.; Rowan, K.M.; Berry, L.R.; et al. Effect of Antiplatelet Therapy on Survival and Organ Support-Free Days in Critically Ill Patients With COVID-19: A Randomized Clinical Trial. JAMA 2022, 327, 1247–1259. [Google Scholar] [CrossRef] [PubMed]
- Group, R.C.; Horby, P.; Lim, W.S.; Emberson, J.R.; Mafham, M.; Bell, J.L.; Linsell, L.; Staplin, N.; Brightling, C.; Ustianowski, A.; et al. Dexamethasone in Hospitalized Patients with COVID-19. N. Engl. J. Med. 2021, 384, 693–704. [Google Scholar] [CrossRef]
- Wan, E.Y.F.; Wang, B.; Mathur, S.; Chan, C.I.Y.; Yan, V.K.C.; Lai, F.T.T.; Chui, C.S.L.; Li, X.; Wong, C.K.H.; Li, P.H.; et al. Molnupiravir and nirmatrelvir-ritonavir reduce mortality risk during post-acute COVID-19 phase. J. Infect. 2023, 86, 622–625. [Google Scholar] [CrossRef]
- National Health Commission of the People’s Republic of China. Diagnosis and Treatment Plan for COVID-19 (Trial Version 10). in Chinese. Available online: http://www.nhc.gov.cn/xcs/zhengcwj/202301/32de5b2ff9bf4eaa88e75bdf7223a65a.shtml (accessed on 18 July 2023).
- Ely, E.W.; Ramanan, A.V.; Kartman, C.E.; de Bono, S.; Liao, R.; Piruzeli, M.L.B.; Goldman, J.D.; Saraiva, J.F.K.; Chakladar, S.; Marconi, V.C.; et al. Efficacy and safety of baricitinib plus standard of care for the treatment of critically ill hospitalised adults with COVID-19 on invasive mechanical ventilation or extracorporeal membrane oxygenation: An exploratory, randomised, placebo-controlled trial. Lancet Respir. Med. 2022, 10, 327–336. [Google Scholar] [CrossRef]
- Üstün, T.B.; Kostanjesek, N.; Chatterji, S.; Rehm, J. (Eds.) Measuring Health and Disability, Manual for WHO Disability Assessment Schedule, WHODAS 2.0; WHO: Geneva, Switzerland, 2010. [Google Scholar]
- Luo, N.; Liu, G.; Li, M.; Guan, H.; Jin, X.; Rand-Hendriksen, K. Estimating an EQ-5D-5L Value Set for China. Value Health 2017, 20, 662–669. [Google Scholar] [CrossRef] [PubMed]
- Martinez-Guerra, B.A.; Gonzalez-Lara, M.F.; Roman-Montes, C.M.; Tamez-Torres, K.M.; Dardon-Fierro, F.E.; Rajme-Lopez, S.; Medrano-Borromeo, C.; Martinez-Valenzuela, A.; Ortiz-Brizuela, E.; Sifuentes-Osornio, J.; et al. Outcomes of patients with severe and critical COVID-19 treated with dexamethasone: A prospective cohort study. Emerg. Microbes. Infect. 2022, 11, 50–59. [Google Scholar] [CrossRef]
- Jimenez-Mora, M.A.; Varela, A.R.; Meneses-Echavez, J.F.; Bidonde, J.; Angarita-Fonseca, A.; Siemieniuk, R.A.C.; Zeraatkar, D.; Bartoszko, J.J.; Brignardello-Petersen, R.; Honarmand, K.; et al. Patient-important outcomes reported in randomized controlled trials of pharmacologic treatments for COVID-19: A protocol of a META-epidemiological study. Syst. Rev. 2021, 10, 289. [Google Scholar] [CrossRef]
- Liu, J.; Pan, X.; Zhang, S.; Li, M.; Ma, K.; Fan, C.; Lv, Y.; Guan, X.; Yang, Y.; Ye, X.; et al. Efficacy and safety of Paxlovid in severe adult patients with SARS-Cov-2 infection: A multicenter randomized controlled study. Lancet Reg. Health West Pac. 2023, 33, 100694. [Google Scholar] [CrossRef] [PubMed]
- Zhang, J.L.; Li, Y.H.; Wang, L.L.; Liu, H.Q.; Lu, S.Y.; Liu, Y.; Li, K.; Liu, B.; Li, S.Y.; Shao, F.M.; et al. Azvudine is a thymus-homing anti-SARS-CoV-2 drug effective in treating COVID-19 patients. Signal. Transduct. Target Ther. 2021, 6, 414. [Google Scholar] [CrossRef]
- Chinese Thoracic, S.; Chinese Association of Chest Physicians Critical Care Group. Expert consensus on treatment of severe COVID-19 caused by Omicron variants. Zhonghua Jie He He Hu Xi Za Zhi 2023, 46, 101–110. [Google Scholar] [CrossRef]
- Xu, B.; Fan, C.Y.; Wang, A.L.; Zou, Y.L.; Yu, Y.H.; He, C.; Xia, W.G.; Zhang, J.X.; Miao, Q. Suppressed T cell-mediated immunity in patients with COVID-19: A clinical retrospective study in Wuhan, China. J. Infect. 2020, 81, e51–e60. [Google Scholar] [CrossRef]
- Liu, Y.; Pan, Y.; Hu, Z.; Wu, M.; Wang, C.; Feng, Z.; Mao, C.; Tan, Y.; Liu, Y.; Chen, L.; et al. Thymosin Alpha 1 Reduces the Mortality of Severe Coronavirus Disease 2019 by Restoration of Lymphocytopenia and Reversion of Exhausted T Cells. Clin. Infect. Dis. 2020, 71, 2150–2157. [Google Scholar] [CrossRef] [PubMed]
- Bellet, M.M.; Renga, G.; Pariano, M.; Stincardini, C.; D’Onofrio, F.; Goldstein, A.L.; Garaci, E.; Romani, L.; Costantini, C. COVID-19 and beyond: Reassessing the role of thymosin alpha1 in lung infections. Int. Immunopharmacol. 2023, 117, 109949. [Google Scholar] [CrossRef]
- Liu, X.; Zhang, Y.; Lu, L.; Li, X.; Wu, Y.; Yang, Y.; Li, T.; Cao, W. Benefits of high-dose intravenous immunoglobulin on mortality in patients with severe COVID-19: An updated systematic review and meta-analysis. Front. Immunol. 2023, 14, 1116738. [Google Scholar] [CrossRef] [PubMed]
- Salehi, M.; Barkhori Mehni, M.; Akbarian, M.; Fattah Ghazi, S.; Khajavi Rad, N.; Moradi Moghaddam, O.; Jamali Moghaddam, S.; Hosseinzadeh Emam, M.; Abtahi, S.H.; Moradi, M.; et al. The outcome of using intravenous immunoglobulin (IVIG) in critically ill COVID-19 patients’: A retrospective, multi-centric cohort study. Eur. J. Med. Res. 2022, 27, 18. [Google Scholar] [CrossRef]
- Spaetgens, B.; Nagy, M.; Ten Cate, H. Antiplatelet Therapy in Patients With COVID-19-More Is Less? JAMA 2022, 327, 223–224. [Google Scholar] [CrossRef]
- Bolek, T.; Samos, M.; Jurica, J.; Stanciakova, L.; Pec, M.J.; Skornova, I.; Galajda, P.; Stasko, J.; Mokan, M.; Kubisz, P. COVID-19 and the Response to Antiplatelet Therapy. J. Clin. Med. 2023, 12, 2038. [Google Scholar] [CrossRef] [PubMed]
- Yu, B.; Chang, J. The first Chinese oral anti-COVID-19 drug Azvudine launched. Innovation 2022, 3, 100321. [Google Scholar] [CrossRef]




| Characteristic | No./Total No. (%) | |
| No. | 1082 | |
| Age, median (IQR) [No.], y | 78.0 (70.0–85.0) [n = 1082] | |
| <65 | 168 (15.5) | |
| 65–79 | 441 (40.8) | |
| 80–89 | 348 (32.2) | |
| ≥90 | 125 (11.6) | |
| Male sex, n (%) | 661 (61.1) | |
| Female sex, n (%) | 421 (38.9) | |
| BMI, median (IQR) | 23.4 (21.0,26.0) [n = 667] | |
| Smoking history | Smoker | 140 (13.0) [n = 1080] |
| Non-smoker | 940 (87.0) [n = 1080] | |
| Clinical symptoms | Fever | 840 (77.6) |
| Cough | 891 (82.5) [n = 1080] | |
| Sore throat | 435 (40.5) [n = 1075] | |
| Sputum production | 837 (77.6) [n = 1079] | |
| Olfactory loss | 355 (33.0) [n = 1077] | |
| Fatigue | 745 (69.2) [n = 1076] | |
| Dizziness and Headache | 337 (31.4) [n = 1074] | |
| Shortness of breath | 758 (70.3) [n = 1079] | |
| Diarrhea | 155 (14.5) [n = 1072] | |
| Vaccination status | unvaccinated | 705 (65.3) [n = 1080] |
| 1 dose | 82 (7.6) [n = 1080] | |
| 2 doses | 121 (11.2) [n = 1080] | |
| 3 doses | 172 (15.9) [n = 1080] | |
| Disease severity | Severe | 966 (89.3) |
| Critical | 116 (10.7) | |
| Preexisting conditions | Diabetes | 437 (40.4) |
| Hypertension | 776 (71.7) | |
| Respiratory disease | 140 (12.9) | |
| Coronary heart disease | 276 (25.5) | |
| Cerebrovascular disease | 220 (20.3) | |
| Chronic kidney disease | 142 (13.1) | |
| Malignancy | 154 (14.2) | |
| Hepatitis B virus infection | 9 (0.8) | |
| Immunosuppressive disease | 81 (7.5) | |
| Endocrine disease | 11 (1.0) | |
| Liver disease | 61 (5.6) | |
| Time to hospitalization median (IQR) | From onset of symptoms to admission, d | 7.0 (4.0, 10.0) |
| Respiratory support, No. (%) | None/supplemental oxygen supply | 864 (79.9) |
| High-flow nasal cannula | 92 (8.5) | |
| Noninvasive ventilation only | 87 (8.0) | |
| Invasive mechanical ventilation | 33 (3.1) | |
| Laboratory findings | PaO2/FiO2 (mmHg) [400–500] | 297.7 (202.3, 403.6) [n = 815] |
| WBC (×109/L) [3.5–9.5] | 5.2 (3.9, 7.9) [n = 1079] | |
| Hb (g/L) [130–175] | 121.0 (108.0, 134.0) [n = 1078] | |
| ESR (mm/h) [<15] | 42.0 (20.0, 78.0) [n = 482] | |
| CRP (mg/L) [0–8] | 29.2 (6.1, 72.8) [n = 1058] | |
| Ferritin (ng/mL) [4.63–204] | 543.6 (310.9, 987.8) [n = 327] | |
| LDH(IU/L) [50–240] | 203.0 (127.0, 280.0) [n = 241] | |
| PLT (×109/L) [125–350] | 168.0 (124.0, 234.0) [n = 1078] | |
| D-dimmer (mg/L) [0–0.5] | 1.0 (0.5, 2.2) [n = 1041] | |
| ALT (IU/L) [15–50] | 22.0 (15.0, 36.0) [n = 1076] | |
| AST (IU/L) [17–59] | 26.0 (18.0, 38.0) [n = 1076] | |
| Scr (umol/L) [46–92] | 76.0 (61.3, 102.6) [n = 1070] | |
| e-GFR (ml/min) [90–120] | 76.9 (55.1, 89.4) [n = 1043] | |
| Albumin(g/L) [35–53] | 33.0 (30.0, 37.0) [n = 1040] | |
| cTnI(ng/mL) [≤0.1] | 0.02 (0.01, 0.02) [n = 1003] | |
| Pro-BNP (pg/mL) [<589] | 381.9 (125.2, 1074.4) [n = 1007] | |
| Total bilirubin (umol/L) [3.4–20.5] | 10.9 (8.1, 15.0) [n = 1061] | |
| Lactate (mmol/L) [0.7–2.1] | 1.8 (1.4, 2.4) [n = 272] | |
| Lymphocyte (×109/L) [1.1–3.2] | 0.9 (0.6, 1.3) [n = 1078] | |
| IL-6 (pg/mL) [0–10] | 12.0 (4.8, 39.1) [n = 513] | |
| CD4 cell (cells/uL) [550–1440] | 226.0 (37.0, 510.0) [n = 269] | |
| CD8 cell (cells/uL) [320–1250] | 155.0 (25.0, 291.0) [n = 269] | |
| Potassium (mmol/L) [3.5–5.1] | 4.05 (3.70, 4.50) [n = 1074] | |
| Sodium (mmol/L) [135–147] | 139.0 (136.0, 141.0) [n = 1074] | |
| Chloride (mmol/L) [98–107] | 106.0 (102.0, 109.0) [n = 1074] |
| Domain | Inclusion Criteria | Exclusion Criteria |
|---|---|---|
| Antiviral |
|
|
| Immune modulation |
|
|
| Intravenous immunoglobulin |
|
|
| Antiplatelet |
|
|
| Anticoagulation |
|
|
| Glucocorticoid |
|
|
| n | Mean (SD) | Median (IQR) | |
|---|---|---|---|
| Antiviral domain | |||
| No antiviral therapy | 456 | 69.5 (14.9) | 70 (60–80) |
| Paxlovid | 241 | 64.4 (16) | 65 (50–75) |
| Azvudine | 157 | 67.3 (15.4) | 70 (60–80) |
| Immune modulation domain | |||
| No immune modulator | 629 | 67.8 (15.9) | 70 (60–80) |
| α-thymosin | 116 | 68.6 (14.8) | 70 (60–80) |
| Baricitinib | 39 | 65.1 (12.7) | 65 (55–75) |
| IL-6 receptor antagonist | 38 | 60 (14.9) | 52.5 (50–70) |
| Immunoglobulin domain | |||
| No immunoglobulin | 788 | 67.3 (15.8) | 70 (60–80) |
| Intravenous immunoglobulin | 70 | 65.4 (14) | 70 (50–75) |
| Anticoagulation domain | |||
| Thromboprophylaxis | 528 | 67.4 (15.1) | 70 (55–80) |
| Therapeutic anticoagulation | 121 | 62 (16.3) | 60 (50–70) |
| Antiplatelet domain | |||
| No antiplatelet agent | 234 | 72.5 (15.1) | 75 (60–85) |
| Antiplatelet agent | 228 | 65.3 (13.8) | 65 (55–75) |
| Glucocorticoid domain | |||
| No glucocorticoid | 224 | 69.1 (15.3) | 70 (60–80) |
| Glucocorticoid | 719 | 66.4 (15.6) | 70 (55–80) |
| Complete Disability n/N (%) | Severe Disability n/N (%) | Moderate Disability n/N (%) | Mild Disability n/N (%) | No Disability n/N (%) | |
|---|---|---|---|---|---|
| Antiviral domain | |||||
| No antiviral therapy | 1/458 (0.2) | 175/458 (38.2) | 112/458 (24.5) | 155/458 (33.8) | 15/458 (3.3) |
| Paxlovid | 3/236 (1.3) | 53/236 (22.5) | 56/236 (23.7) | 107/236 (45.3) | 17/236 (7.2) |
| Azvudine | 1/157 (0.6) | 39/157 (24.8) | 45/157 (28.7) | 66/157 (42) | 6/157 (3.8) |
| Immune modulation domain | |||||
| No immune modulator | 2/629 (0.3) | 201/629 (32) | 144/629 (22.9) | 249/629 (39.6) | 33/629 (5.2) |
| α-thymosin | 2/117 (1.7) | 35/117 (29.9) | 38/117 (32.5) | 38/117 (32.5) | 4/117 (3.4) |
| Baricitinib | 0/40 (0) | 9/40 (22.5) | 5/40 (12.5) | 25/40 (62.5) | 1/40 (2.5) |
| IL-6 receptor antagonist | 0/36 (0) | 5/36 (13.9) | 6/36 (16.7) | 23/36 (63.9) | 2/36 (5.6) |
| Immunoglobulin domain | |||||
| No immunoglobulin | 3/785 (0.4) | 236/785 (30.1) | 190/785 (24.2) | 323/785 (41.1) | 33/785 (4.2) |
| Intravenous immunoglobulin | 2/71 (2.8) | 20/71 (28.2) | 16/71 (22.5) | 29/71 (40.8) | 4/71 (5.6) |
| Anticoagulation domain | |||||
| Thromboprophylaxis | 4/527 (0.8) | 162/527 (30.7) | 125/527 (23.7) | 209/527 (39.7) | 27/527 (5.1) |
| Therapeutic anticoagulation | 0/120 (0) | 22/120 (18.3) | 30/120 (25) | 59/120 (49.2) | 9/120 (7.5) |
| Antiplatelet domain | |||||
| No antiplatelet agent | 2/235 (0.9) | 128/235 (54.5) | 53/235 (22.6) | 46/235 (19.6) | 6/235 (2.6) |
| Antiplatelet agent | 0/228 (0) | 53/228 (23.2) | 61/228 (26.8) | 103/228 (45.2) | 11/228 (4.8) |
| Glucocorticoid domain | |||||
| No glucocorticoid | 0/223 (0) | 74/223 (33.2) | 57/223 (25.6) | 81/223 (36.3) | 11/223 (4.9) |
| Glucocorticoid | 5/717 (0.7) | 205/717 (28.6) | 175/717 (24.4) | 298/717 (41.6) | 34/717 (4.7) |
| N (Survivors at Day 60) | WHODAS Score, Median (IQR) [N] | Adjusted Odd Ratio (95% CrI) | p Value | |
|---|---|---|---|---|
| Antiviral domain | ||||
| No antiviral therapy | 458 | 86.5 (59–132) | 1.00 (reference) | |
| Paxlovid | 236 | 109 (73–147) | 0.45 (0.32, 0.62) | <0.001 |
| Azvudine | 157 | 102 (71–141) | 0.68 (0.47, 0.97) | 0.034 |
| Immune modulation domain | ||||
| No immune modulator | 629 | 98 (65–144) | 1.00 (reference) | |
| α-thymosin | 117 | 92 (67–124) | 1.43 (0.94, 2.18) | 0.095 |
| Baricitinib | 40 | 135.5 (79–156) | 0.68 (0.33, 1.37) | 0.282 |
| IL-6 receptor antagonist | 36 | 120 (99–133) | 0.75 (0.25, 2.30) | 0.621 |
| Immunoglobulin domain | ||||
| No immunoglobulin | 785 | 99 (65–141) | 1.00 (reference) | |
| Intravenous immunoglobulin | 71 | 102 (67–143) | 1.68(1.00, 2.82) | 0.052 |
| Anticoagulation domain | ||||
| Thromboprophylaxis | 527 | 99 (65–141) | 1.00 (reference) | |
| Therapeutic anticoagulation | 120 | 114.5 (81–156) | 0.65 (0.44, 0.96) | 0.03 |
| Antiplatelet domain | ||||
| No antiplatelet agent | 235 | 69 (56–102) | 1.00 (reference) | |
| Antiplatelet agent | 228 | 107.5 (75–144.5) | 0.62 (0.38, 1.02) | 0.06 |
| Glucocorticoid domain | ||||
| No glucocorticoid | 223 | 96 (61–129) | 1.00 (reference) | |
| Glucocorticoid | 717 | 101 (68–145) | 1.16 (0.84, 1.60) | 0.355 |
Disclaimer/Publisher’s Note: The statements, opinions and data contained in all publications are solely those of the individual author(s) and contributor(s) and not of MDPI and/or the editor(s). MDPI and/or the editor(s) disclaim responsibility for any injury to people or property resulting from any ideas, methods, instructions or products referred to in the content. |
© 2023 by the authors. Licensee MDPI, Basel, Switzerland. This article is an open access article distributed under the terms and conditions of the Creative Commons Attribution (CC BY) license (https://creativecommons.org/licenses/by/4.0/).
Share and Cite
Shao, J.; Fan, R.; Guo, C.; Huang, X.; Guo, R.; Zhang, F.; Hu, J.; Huang, G.; Cao, L. Composite Interventions on Outcomes of Severely and Critically Ill Patients with COVID-19 in Shanghai, China. Microorganisms 2023, 11, 1859. https://doi.org/10.3390/microorganisms11071859
Shao J, Fan R, Guo C, Huang X, Guo R, Zhang F, Hu J, Huang G, Cao L. Composite Interventions on Outcomes of Severely and Critically Ill Patients with COVID-19 in Shanghai, China. Microorganisms. 2023; 11(7):1859. https://doi.org/10.3390/microorganisms11071859
Chicago/Turabian StyleShao, Jiasheng, Rong Fan, Chengnan Guo, Xuyuan Huang, Runsheng Guo, Fengdi Zhang, Jianrong Hu, Gang Huang, and Liou Cao. 2023. "Composite Interventions on Outcomes of Severely and Critically Ill Patients with COVID-19 in Shanghai, China" Microorganisms 11, no. 7: 1859. https://doi.org/10.3390/microorganisms11071859
APA StyleShao, J., Fan, R., Guo, C., Huang, X., Guo, R., Zhang, F., Hu, J., Huang, G., & Cao, L. (2023). Composite Interventions on Outcomes of Severely and Critically Ill Patients with COVID-19 in Shanghai, China. Microorganisms, 11(7), 1859. https://doi.org/10.3390/microorganisms11071859

