Use of Microbial Fuel Cells for the Treatment of Residue Effluents Discharged from an Anaerobic Digester Treating Food Wastes
Abstract
1. Introduction
2. Materials and Methods
2.1. ADE
2.2. MFC Setups
2.3. Operation of MFCs
2.4. Analyses of Power Outputs from MFCs
2.5. Measurement of COD, TN and TP
2.6. Metabarcoding of Anode Biofilms and Planktonic Microbiomes
3. Results
3.1. Power Generation from ADE
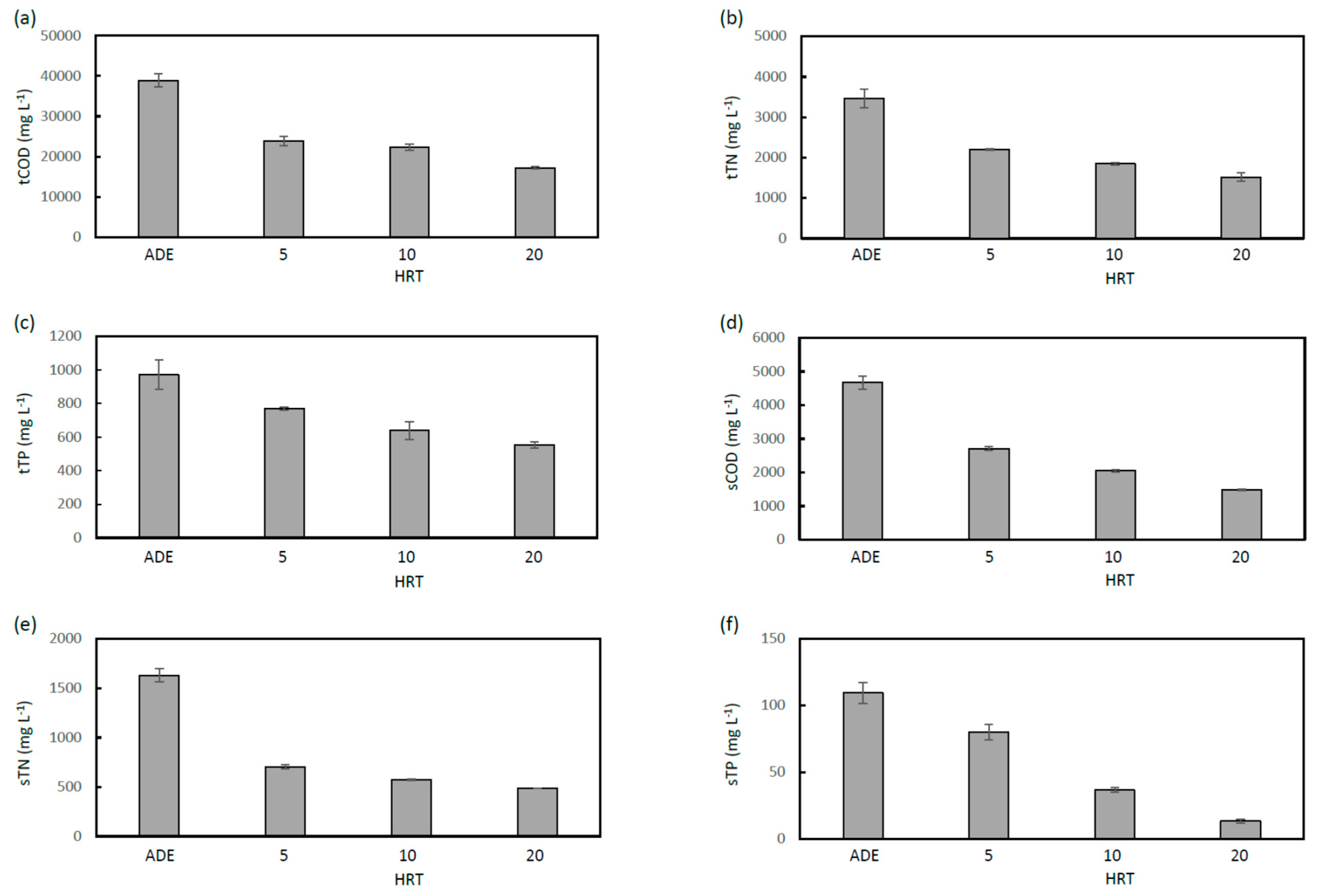
3.2. Removal of COD, TN and TP from ADE
3.3. Metabarcoding of Bacteria in the AB and PM Fractions
4. Discussion
5. Conclusions
Author Contributions
Funding
Data Availability Statement
Acknowledgments
Conflicts of Interest
References
- Zhang, C.; Su, H.; Baeyens, J.; Tan, T. Reviewing the anaerobic digestion of food waste for biogas production. Renew. Sustain. Energy Rev. 2014, 38, 383–392. [Google Scholar] [CrossRef]
- Sakar, S.; Yetilmezsoy, K.; Kocak, E. Anaerobic digestion technology in poultry and livestock waste treatment-a literature review. Waste Manag. Res. 2009, 27, 3–18. [Google Scholar] [CrossRef] [PubMed]
- Appels, L.; Baeyens, J.; Degrëve, J.; Dewil, R. Principles and potential of the anaerobic digestion of waste-activated sludge. Prog. Energy Combust. Sci. 2008, 34, 755–781. [Google Scholar] [CrossRef]
- Whiting, A.; Azapagic, A. Life cycle environmental impacts of generating electricity and heat from biogas produced by anaerobic digestion. Energy 2014, 70, 181–193. [Google Scholar] [CrossRef]
- Abe, N.; Tang, Y.Q.; Iwamura, M.; Ohta, H.; Morimura, S.; Kida, K. Development of an efficient process for the treatment of residual sludge discharged from an anaerobic digester in a sewage treatment plant. Bioresour. Technol. 2011, 102, 7641–7644. [Google Scholar] [CrossRef] [PubMed]
- Uysal, A.; Yilmazel, Y.D.; Demirer, G.N. The determination of fertilizer quality of the formed struvite from effluent of a sewage sludge anaerobic digester. J. Hazard. Mat. 2010, 181, 248–254. [Google Scholar] [CrossRef] [PubMed]
- Wäger-Baumann, F.; Fuchs, W. Process variant for the treatment of anaerobic digester effluent with a membrane bioreactor. Environ. Eng. Sci. 2011, 28, 611–617. [Google Scholar] [CrossRef]
- Logan, B.E.; Hamelers, B.; Rozendal, R.; Schröder, U.; Keller, J.; Freguia, S.; Aelterman, P.; Verstraete, W.; Rabaey, K. Microbial fuel cells: Methodology and technology. Environ. Sci. Technol. 2006, 40, 5181–5192. [Google Scholar] [CrossRef]
- Watanabe, K. Recent developments in microbial fuel cell technologies for sustainable bioenergy. J. Biosci. Bioeng. 2008, 106, 528–536. [Google Scholar] [CrossRef]
- Asai, Y.; Miyahara, M.; Kouzuma, A.; Watanabe, K. Comparative evaluation of wastewater-treatment microbial fuel cells in terms of organics removal, waste-sludge production, and electricity generation. Bioresour. Bioprocess. 2017, 4, 30. [Google Scholar] [CrossRef]
- Shimoyama, T.; Komukai, S.; Yamazawa, A.; Ueno, Y.; Logan, B.E.; Watanabe, K. Electricity generation from model organic wastewater in a cassette-electrode microbial fuel cell. Appl. Microbiol. Biotechnol. 2008, 79, 325–330. [Google Scholar] [CrossRef] [PubMed]
- Inglesby, A.E.; Fisher, A.C. Downstream application of a microbial fuel cell for energy recovery from an Arthrospira maxima fed anaerobic digester effluent. RSC Adv. 2013, 3, 17387–17394. [Google Scholar] [CrossRef]
- Fradler, K.R.; Kim, J.R.; Shipley, G.; Massanet-Nicolau, J.; Dinsdale, R.M.; Guwy, A.J.; Premier, G.C. Operation of a bioelectrochemical system as a polishing stage for the effluent from a two-stage biohydrogen and biomethane production process. Biochem. Eng. J. 2014, 85, 125–131. [Google Scholar] [CrossRef]
- Cerrillo, M.; Vinas, M.; Bonmati, A. Microbial fuel cells for polishing effluents of anaerobic digesters under inhibition, due to organic and nitrogen overloads. J. Chem. Technol. Biotechnol. 2017, 92, 2912–2920. [Google Scholar] [CrossRef]
- Sreelekshmy, B.R.; Basheer, R.; Sivaraman, S.; Vasudevan, V.; Elias, L.; Shibli, S.M.A. Sustainable electric power generation from live anaerobic digestion of sugar industry effluents using microbial fuel cells. J. Mat. Chem. A 2020, 8, 6041–6056. [Google Scholar] [CrossRef]
- Cheng, S.; Liu, H.; Logan, B.E. Increased performance of single-chamber microbial fuel cells using an improved cathode structure. Electrochem. Commun. 2006, 8, 489–494. [Google Scholar] [CrossRef]
- Watanabe, K.; Hamamura, N.; Kaku, N. Molecular identification of microbial populations in petroleum-contaminated groundwater. In Environmental Microbiology: Methods and Protocols; Spencer, J.F.T., Spencer, A.L.R., Eds.; Humana Press: Totowa, NJ, USA, 2004; pp. 237–244. [Google Scholar]
- Edgar, R.C.; Haas, B.J.; Clemente, J.C.; Quince, C.; Knight, R. UCHIME improves sensitivity and speed of chimera detection. Bioinformatics 2011, 27, 2194–2200. [Google Scholar] [CrossRef]
- Bolyen, E.; Rideout, J.R.; Dillon, M.R.; Bokulich, N.A.; Abnet, C.C.; Al-Ghalith, G.A.; Alexander, H.; Alm, E.J.; Arumugam, M.; Asnicar, F.; et al. Reproducible, interactive, scalable and extensible microbiome data science using QIIME 2. Nat. Biotechnol. 2019, 37, 852–857. [Google Scholar] [CrossRef]
- McDonald, D.; Price, M.N.; Goodrich, J.; Nawrocki, E.P.; DeSantis, T.Z.; Probst, A.; Andersen, G.L.; Knight, R.; Hugenholtz, P. An improved Greengenes taxonomy with explicit ranks for ecological and evolutionary analyses of bacteria and archaea. ISME J. 2012, 6, 610–618. [Google Scholar] [CrossRef]
- Ishii, S.; Logan, B.E.; Sekiguchi, Y. Enhanced electrode-reducing rate during the enrichment process in an air-cathode microbial fuel cell. Appl. Microbiol. Biotechnol. 2012, 94, 1087–1094. [Google Scholar] [CrossRef] [PubMed]
- Yu, J.; Park, Y.; Lee, T. Effect of separator and inoculum type on electricity generation and microbial community in single-chamber microbial fuel cells. Bioprocess Biosyst. Eng. 2014, 37, 667–675. [Google Scholar] [CrossRef] [PubMed]
- Lam, T.Y.C.; Mei, R.; Wu, Z.; Lee, P.K.H.; Liu, W.T.; Lee, P.H. Superior resolution characterisation of microbial diversity in anaerobic digesters using full-length 16S rRNA gene amplicon sequencing. Water Res. 2020, 178, 115815. [Google Scholar] [CrossRef]
- Ottoni, J.R.; Bernal, S.P.F.; Marteres, T.J.; Luiz, F.N.; Dos Santos, V.P.; Mari, Â.G.; Somer, J.G.; de Oliveira, V.M.; Passarini, M.R.Z. Cultured and uncultured microbial community associated with biogas production in anaerobic digestion processes. Arch. Microbiol. 2022, 204, 340. [Google Scholar] [CrossRef] [PubMed]
- Lauterböck, B.; Ortner, M.; Haider, R.; Fuchs, W. Counteracting ammonia inhibition in anaerobic digestion by removal with a hollow fiber membrane contactor. Water Res. 2012, 46, 4861–4869. [Google Scholar] [CrossRef] [PubMed]
- Yan, H.; Saito, T.; Regan, J.M. Nitrogen removal in a single-chamber microbial fuel cell with nitrifying biofilm enriched at the air cathode. Water Res. 2012, 46, 2215–2224. [Google Scholar] [CrossRef] [PubMed]
- Kim, T.; An, J.; Jang, J.K.; Chang, I.S. Coupling of anaerobic digester and microbial fuel cell for COD removal and ammonia recovery. Bioresour. Technol. 2015, 195, 217–222. [Google Scholar] [CrossRef] [PubMed]
- Park, Y.; Yu, J.; Nguyen, V.K.; Park, S.; Kim, J.; Lee, T. Understanding complete ammonium removal mechanism in single-chamber microbial fuel cells based on microbial ecology. Sci. Total Environ. 2021, 764, 144231. [Google Scholar] [CrossRef] [PubMed]
- Güngör, K.; Karthikeyan, K.G. Phosphorus forms and extractability in dairy manure: A case study for Wisconsin on-farm anaerobic digesters. Bioresour. Technol. 2008, 99, 425–436. [Google Scholar]
- Morton, S.C.; Glindemann, D.; Wang, X.; Niu, X.; Edwards, M. Analysis of reduced phosphorus in samples of environmental interest. Environ. Sci. Technol. 2005, 39, 4369–4376. [Google Scholar] [CrossRef]
- Figueroa, I.A.; Barnum, T.P.; Somasekhar, P.Y.; Carlström, C.I.; Engelbrektson, A.L.; Coates, J.D. Metagenomics-guided analysis of microbial chemolithoautotrophic phosphite oxidation yields evidence of a seventh natural CO2 fixation pathway. Proc. Natl. Acad. Sci. USA. 2018, 115, E92–E101. [Google Scholar] [CrossRef]
- Tao, Q.; Luo, J.; Zhou, J.; Zhou, S.; Liu, G.; Zhang, R. Effect of dissolved oxygen on nitrogen and phosphorus removal and electricity production in microbial fuel cell. Bioresour. Technol. 2014, 164, 402–407. [Google Scholar] [CrossRef]
- Hirooka, K.; Ichihashi, O. Phosphorus recovery from artificial wastewater by microbial fuel cell and its effect on power generation. Bioresour. Technol. 2013, 137, 368–375. [Google Scholar] [CrossRef]
- Shimoyama, T.; Yamazawa, A.; Ueno, Y.; Watanabe, K. Phylogenetic analyses of microbial communities developed in a cassette-electrode microbial fuel cell. Microbes Environ. 2009, 24, 188–192. [Google Scholar] [CrossRef]
- Watanabe, K.; Miyahara, M.; Shimoyama, T.; Hashimoto, K. Population dynamics and current-generation mechanisms in cassette-electrode microbial fuel cells. Appl. Microbiol. Biotechnol. 2011, 92, 1307–1314. [Google Scholar] [CrossRef] [PubMed]
- Stores, A.; Tey, L.; Bonmati, A.; Vinas, M. Microbial community dynamics in continuous microbial fuel cells fed with synthetic wastewater and pig slurry. Bioelectrochemistry 2016, 111, 70–82. [Google Scholar] [CrossRef] [PubMed]
- Kodama, Y.; Shimoyama, S.; Watanabe, K. Dysgonomonas oryzarvi sp. nov., isolated from a microbial fuel cell. Int. J. Syst. Evol. Microbiol. 2012, 62, 3055–3059. [Google Scholar] [CrossRef] [PubMed]
- O’Callaghan, J.; O’Toole, P.W. Lactobacillus: Host-microbe relationships. Curr. Top. Microbiol. Immunol. 2013, 358, 119–154. [Google Scholar]
- Vilas Boas, J.; Oliveira, V.B.; Marcon, L.R.C.; Simoes, M.; Pinto, A.M.F.R. Optimization of a single chamber microbial fuel cell using Lactobacillus pentosus: Influence of design and operating parameters. Sci. Total Environ. 2019, 648, 263–270. [Google Scholar] [CrossRef]
- Tabares, M.; Dulay, H.; Reguera, G. Geobacter sulfurreducens. Trends Microbiol. 2020, 28, 327–328. [Google Scholar] [CrossRef]
- Alves, A.S.; Paquete, C.M.; Fonseca, B.M.; Louro, R.O. Exploration of the ‘cytochromome’ of Desulfuromonas acetoxidans, a marine bacterium capable of powering microbial fuel cells. Metallomics 2011, 3, 349–353. [Google Scholar] [CrossRef]
- Freguia, S.; The, E.H.; Boon, N.; Leung, K.M.; Keller, J.; Rabaey, K. Microbial fuel cells operating on mixed fatty acids. Bioresour. Technol. 2010, 101, 1233–1238. [Google Scholar] [CrossRef] [PubMed]
- Miyahara, M.; Kouzuma, A.; Watanabe, K. Sodium chloride concentration determines exoelectrogens in anode biofilms occurring from mangrove-grown brackish sediment. Bioresour. Technol. 2016, 218, 674–679. [Google Scholar] [CrossRef] [PubMed]
- Matthies, C.; Springer, N.; Ludwig, W.; Schink, B. Pelospora glutarica gen. nov., sp. nov., a glutarate-fermenting, strictly anaerobic, spore-forming bacterium. Int. J. Syst. Evol. Microbiol. 2000, 50, 645–648. [Google Scholar] [CrossRef]
- Schroll, G.; Busse, H.J.; Parrer, G.; R?lleke, S.; Lubitz, W.; Denner, E.B. Alcaligenes faecalis subsp. parafaecalis subsp. nov., a bacterium accumulating poly-beta-hydroxybutyrate from acetone-butanol bioprocess residues. Syst. Appl. Microbiol. 2001, 24, 37–43. [Google Scholar] [CrossRef]
- Ishii, S.; Suzuki, S.; Norden-Krichmar, T.M.; Wu, A.; Yamanaka, Y.; Nealson, K.H.; Bretschger, O. Identifying the microbial communities and operational conditions for optimized wastewater treatment in microbial fuel cells. Water Res. 2013, 47, 7120–7130. [Google Scholar] [CrossRef]
- Greene, A.C.; Patel, B.K.; Sheehy, A.J. Deferribacter thermophilus gen. nov., sp. nov., a novel thermophilic manganese- and iron-reducing bacterium isolated from a petroleum reservoir. Int. J. Syst. Bacteriol. 1997, 47, 505–509. [Google Scholar] [CrossRef] [PubMed]




| Family | AB | PM | ||||||
|---|---|---|---|---|---|---|---|---|
| 5 Days | 10 Days | 20 Days | Total | 5 Days | 10 Days | 20 Days | Total | |
| Porphyromonadaceae | 7936 | 2198 | 6756 | 16,890 | 2145 | 1868 | 2178 | 6191 |
| Anaerolinaceae | 1764 | 1698 | 1351 | 4813 | 637 | 631 | 717 | 1968 |
| Lactobacillaceae | 1269 | 313 | 901 | 2483 | 261 | 282 | 288 | 820 |
| Pelobacteraceae | 123 | 790 | 1263 | 2176 | 0 | 0 | 16 | 16 |
| Desulfuromonadaceae | 461 | 331 | 799 | 1591 | 5 | 0 | 12 | 17 |
| Campylobacteraceae | 23 | 365 | 48 | 436 | 24 | 18 | 41 | 83 |
| Desulfobulbaceae | 13 | 245 | 23 | 281 | 0 | 0 | 21 | 21 |
| Rikenellaceae | 9 | 148 | 46 | 203 | 0 | 0 | 8 | 8 |
| Deferribacteraceae | 13 | 43 | 48 | 104 | 11 | 12 | 0 | 23 |
| Total Read | 32,196 | 27,691 | 32,520 | 90,601 | 29,272 | 25,885 | 29,422 | 83,261 |
Disclaimer/Publisher’s Note: The statements, opinions and data contained in all publications are solely those of the individual author(s) and contributor(s) and not of MDPI and/or the editor(s). MDPI and/or the editor(s) disclaim responsibility for any injury to people or property resulting from any ideas, methods, instructions or products referred to in the content. |
© 2023 by the authors. Licensee MDPI, Basel, Switzerland. This article is an open access article distributed under the terms and conditions of the Creative Commons Attribution (CC BY) license (https://creativecommons.org/licenses/by/4.0/).
Share and Cite
Yoshizu, D.; Kouzuma, A.; Watanabe, K. Use of Microbial Fuel Cells for the Treatment of Residue Effluents Discharged from an Anaerobic Digester Treating Food Wastes. Microorganisms 2023, 11, 598. https://doi.org/10.3390/microorganisms11030598
Yoshizu D, Kouzuma A, Watanabe K. Use of Microbial Fuel Cells for the Treatment of Residue Effluents Discharged from an Anaerobic Digester Treating Food Wastes. Microorganisms. 2023; 11(3):598. https://doi.org/10.3390/microorganisms11030598
Chicago/Turabian StyleYoshizu, Daichi, Atsushi Kouzuma, and Kazuya Watanabe. 2023. "Use of Microbial Fuel Cells for the Treatment of Residue Effluents Discharged from an Anaerobic Digester Treating Food Wastes" Microorganisms 11, no. 3: 598. https://doi.org/10.3390/microorganisms11030598
APA StyleYoshizu, D., Kouzuma, A., & Watanabe, K. (2023). Use of Microbial Fuel Cells for the Treatment of Residue Effluents Discharged from an Anaerobic Digester Treating Food Wastes. Microorganisms, 11(3), 598. https://doi.org/10.3390/microorganisms11030598

