Aqueous Geochemical Controls on the Sestonic Microbial Community in Lakes Michigan and Superior
Abstract
1. Introduction
2. Materials and Methods
2.1. Sampling
2.2. Extraction, PCR Amplification, and Sequencing of DNA
2.3. Bioinformatics and Statistical Analysis
2.4. Molecular Phylogenetic Analysis for Thaumarchaeota
3. Results and Discussion
3.1. Spatial Variation in Physicochemical Parameters
3.2. Microbial Community Structure
3.3. Microbial Taxa and Diversity Indices between Lakes
3.4. Microbial Community Structure in Different Sampling Locations
3.5. Distribution of Thaumarchaeota
3.6. Biomarker Signature Analysis (LEfSe)
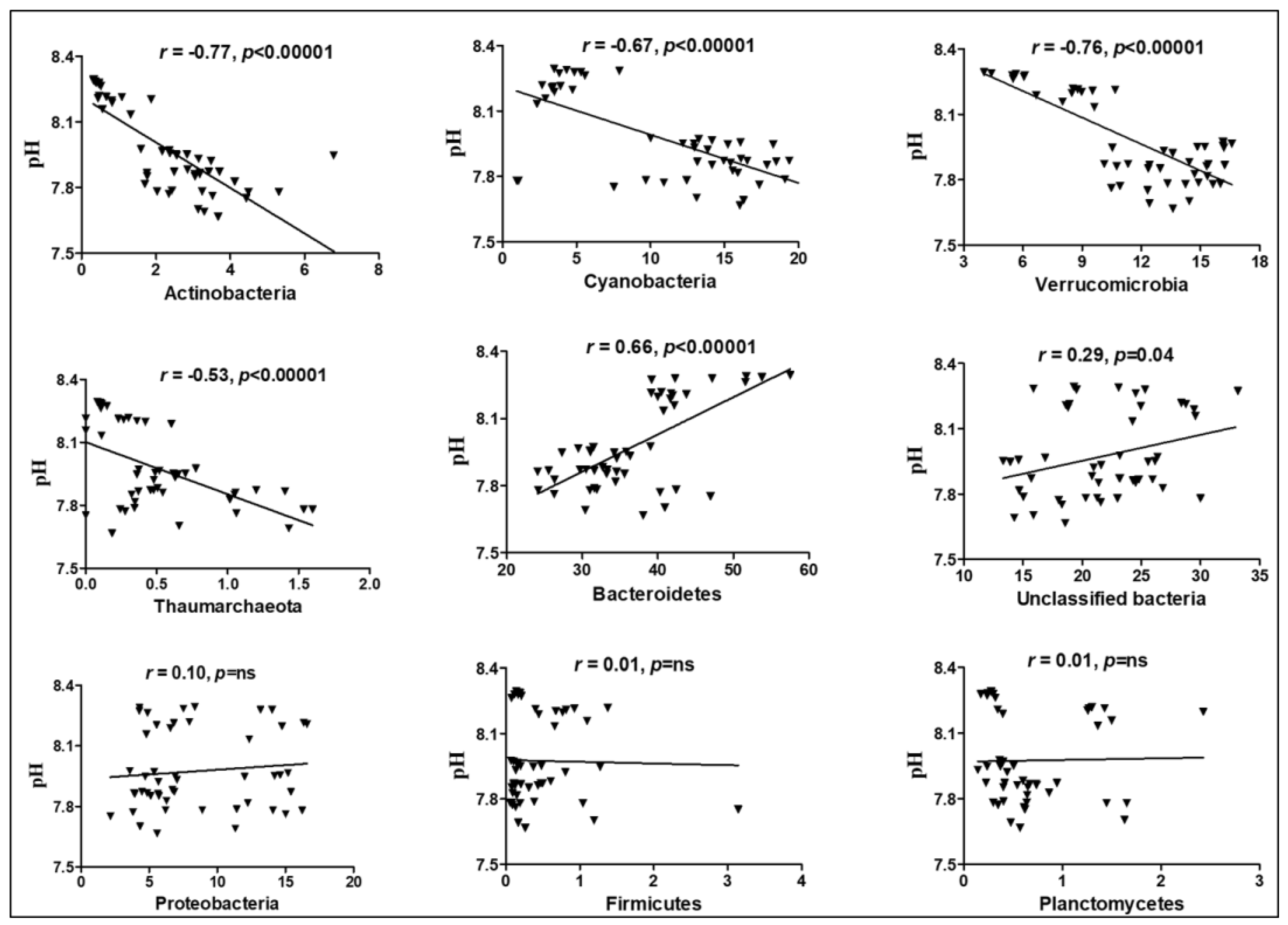
3.7. Environmental Variation and Community Structure
4. Conclusions
Supplementary Materials
Author Contributions
Funding
Data Availability Statement
Acknowledgments
Conflicts of Interest
References
- Fuller, K. The Great Lakes: An Environmentals Atlas and Resource Book; Government of Canada and United States Environmental Protection Agency: Toronto, ON, Canada, 1995.
- Ellis, W.D. Land of the Inland Seas: The Historic and Beautiful Great Lakes Country; Weathervane Books; American West Pub. Co.: Sanger, CA, USA, 1974. [Google Scholar]
- Zou, B.; Rockne, K.J.; Vitousek, S.; Noruzoliaee, M. Ecosystem and Transportation Infrastructure Resilience in the Great Lakes. Environ. Sci. Policy Sustain. Dev. 2018, 60, 18–31. [Google Scholar] [CrossRef]
- Sterner, R.W. C:N:P stoichiometry in Lake Superior: Freshwater Sea as end member. Inland Waters 2011, 1, 29–46. [Google Scholar] [CrossRef]
- O’Beirne, M.D.; Werne, J.P.; Hecky, R.E.; Johnson, T.C.; Katsev, S.; Reavie, E.D. Anthropogenic climate change has altered primary productivity in Lake Superior. Nat. Commun. 2017, 8, 15713. [Google Scholar] [CrossRef]
- Clement, T.A.; Murry, B.A.; Uzarski, D.G. Fish community size structure of small lakes: The role of lake size, biodiversity and disturbance. J. Freshw. Ecol. 2015, 30, 557–568. [Google Scholar] [CrossRef]
- Bier, R.L.; Bernhardt, E.S.; Boot, C.M.; Graham, E.B.; Hall, E.K.; Lennon, J.T.; Nemergut, D.R.; Osborne, B.B.; Ruiz-González, C.; Schimel, J.P.; et al. Linking microbial community structure and microbial processes: An empirical and conceptual overview. FEMS Microbiol. Ecol. 2015, 91, fiv113. [Google Scholar] [CrossRef]
- Essington, T.E.; Carpenter, S.R. Mini-Review: Nutrient Cycling in Lakes and Streams: Insights from a Comparative Analysis. Ecosystems 2000, 3, 131–143. [Google Scholar] [CrossRef]
- Shade, A.; Chiu, C.Y.; McMahon, K.D. Differential bacterial dynamics promote emergent community robustness to lake mixing: An epilimnion to hypolimnion transplant experiment. Environ. Microbiol. 2010, 12, 455–466. [Google Scholar] [CrossRef] [PubMed]
- Shade, A.; Chiu, C.-Y.; McMahon, K.D. Seasonal and Episodic Lake Mixing Stimulate Differential Planktonic Bacterial Dynamics. Microb. Ecol. 2010, 59, 546–554. [Google Scholar] [CrossRef] [PubMed]
- Garcia, S.L.; Salka, I.; Grossart, H.-P.; Warnecke, F. Depth-discrete profiles of bacterial communities reveal pronounced spatio-temporal dynamics related to lake stratification. Environ. Microbiol. Rep. 2013, 5, 549–555. [Google Scholar] [CrossRef] [PubMed]
- Meuser, J.E.; Baxter, B.K.; Spear, J.R.; Peters, J.W.; Posewitz, M.C.; Boyd, E.S. Contrasting Patterns of Community Assembly in the Stratified Water Column of Great Salt Lake, Utah. Microb. Ecol. 2013, 66, 268–280. [Google Scholar] [CrossRef] [PubMed]
- Andrei, A.-Ş.; Robeson Ii, M.S.; Baricz, A.; Coman, C.; Muntean, V.; Ionescu, A.; Etiope, G.; Alexe, M.; Sicora, C.I.; Podar, M.; et al. Contrasting taxonomic stratification of microbial communities in two hypersaline meromictic lakes. ISME J. 2015, 9, 2642. [Google Scholar] [CrossRef] [PubMed]
- Fenchel, T.; Finlay, B. Oxygen and the Spatial Structure of Microbial Communities. Biol. Rev. 2008, 83, 553–569. [Google Scholar] [CrossRef] [PubMed]
- Zadereev, E.; Tolomeev, A.; Drobotov, A. Spatial and Seasonal Dynamics of Dissolved and Suspended Nutrients in the Water Column of Meromictic Lake Shira. Acta Geol. Sin.-Engl. Ed. 2014, 88, 173–174. [Google Scholar] [CrossRef]
- Shade, A.; Read, J.S.; Welkie, D.G.; Kratz, T.K.; Wu, C.H.; McMahon, K.D. Resistance, resilience and recovery: Aquatic bacterial dynamics after water column disturbance. Environ. Microbiol. 2011, 13, 2752–2767. [Google Scholar] [CrossRef]
- Shade, A.; Peter, H.; Allison, S.; Baho, D.; Berga, M.; Buergmann, H.; Huber, D.; Langenheder, S.; Lennon, J.; Martiny, J.; et al. Fundamentals of Microbial Community Resistance and Resilience. Front. Microbiol. 2012, 3, 417. [Google Scholar] [CrossRef]
- Mostofa, K.M.G.; Yoshioka, T.; Konohira, E.; Tanoue, E.; Hayakawa, K.; Takahashi, M. Three-dimensional fluorescence as a tool for investigating the dynamics of dissolved organic matter in the Lake Biwa watershed. Limnology 2005, 6, 101–115. [Google Scholar] [CrossRef]
- Li, W.; Wu, F.; Liu, C.; Fu, P.; Wang, J.; Mei, Y.; Wang, L.; Guo, J. Temporal and spatial distributions of dissolved organic carbon and nitrogen in two small lakes on the Southwestern China Plateau. Limnology 2008, 9, 163–171. [Google Scholar] [CrossRef]
- Chappaz, A.; Curtis, P.J. Integrating Empirically Dissolved Organic Matter Quality for WHAM VI using the DOM Optical Properties: A Case Study of Cu–Al–DOM Interactions. Environ. Sci. Technol. 2013, 47, 2001–2007. [Google Scholar] [CrossRef] [PubMed]
- Amaral, V.; Graeber, D.; Calliari, D.; Alonso, C. Strong linkages between DOM optical properties and main clades of aquatic bacteria. Limnol. Oceanogr. 2016, 61, 906–918. [Google Scholar] [CrossRef]
- Lucas, J.; Koester, I.; Wichels, A.; Niggemann, J.; Dittmar, T.; Callies, U.; Wiltshire, K.H.; Gerdts, G. Short-Term Dynamics of North Sea Bacterioplankton-Dissolved Organic Matter Coherence on Molecular Level. Front. Microbiol. 2016, 7, 321. [Google Scholar] [CrossRef]
- Wetzel, R.G. Limnology: Lake and River Ecosystems; Academic Press: Cambridge, MA, USA, 2001. [Google Scholar]
- Hayakawa, K.; Kojima, R.; Wada, C.; Suzuki, T.; Sugiyama, Y.; Kumagai, T.; Takei, N.; Bamba, D. Distribution and characteristics of ultraviolet absorption and fluorescenceof dissolved organic matter in a large lake (Lake Biwa, Japan). J. Great Lakes Res. 2016, 42, 571–579. [Google Scholar] [CrossRef]
- Newton, R.J.; Jones, S.E.; Eiler, A.; McMahon, K.D.; Bertilsson, S. A guide to the natural history of freshwater lake bacteria. Microbiol. Mol. Biol. Rev. MMBR 2011, 75, 14–49. [Google Scholar] [CrossRef] [PubMed]
- Denef, V.J.; Mueller, R.S.; Chiang, E.; Liebig, J.R.; Vanderploeg, H.A. Chloroflexi CL500-11 Populations That Predominate Deep-Lake Hypolimnion Bacterioplankton Rely on Nitrogen-Rich Dissolved Organic Matter Metabolism and C1 Compound Oxidation. Appl. Environ. Microbiol. 2015, 82, 1423–1432. [Google Scholar] [CrossRef]
- Coci, M.; Odermatt, N.; Salcher, M.M.; Pernthaler, J.; Corno, G. Ecology and Distribution of Thaumarchaea in the Deep Hypolimnion of Lake Maggiore. Archaea 2015, 2015, 590434. [Google Scholar] [CrossRef] [PubMed]
- Mukherjee, M.; Ray, A.; Post, A.F.; McKay, R.M.; Bullerjahn, G.S. Identification, enumeration and diversity of nitrifying planktonic archaea and bacteria in trophic end members of the Laurentian Great Lakes. J. Great Lakes Res. 2016, 42, 39–49. [Google Scholar] [CrossRef]
- Okazaki, Y.; Nakano, S.-I. Vertical partitioning of freshwater bacterioplankton community in a deep mesotrophic lake with a fully oxygenated hypolimnion (Lake Biwa, Japan). Environ. Microbiol. Rep. 2016, 8, 780–788. [Google Scholar] [CrossRef] [PubMed]
- Fujimoto, M.; Cavaletto, J.; Liebig, J.R.; McCarthy, A.; Vanderploeg, H.A.; Denef, V.J. Spatiotemporal distribution of bacterioplankton functional groups along a freshwater estuary to pelagic gradient in Lake Michigan. J. Great Lakes Res. 2016, 42, 1036–1048. [Google Scholar] [CrossRef]
- Barbiero, R.P.; Tuchman, M.L. Results from the U.S. EPA’s Biological Open Water Surveillance Program of the Laurentian Great Lakes: II. Deep Chlorophyll Maxima. J. Great Lakes Res. 2001, 27, 155–166. [Google Scholar] [CrossRef]
- Barbiero, R.P.; Tuchman, M.L.; Warren, G.J.; Rockwell, D.C. Evidence of recovery from phosphorus enrichment in Lake Michigan. Can. J. Fish. Aquat. Sci. 2002, 59, 1639–1647. [Google Scholar] [CrossRef]
- Barbiero, R.P.; Warren, G.J. Rotifer communities in the Laurentian Great Lakes, 1983–2006 and factors affecting their composition. J. Great Lakes Res. 2011, 37, 528–540. [Google Scholar] [CrossRef]
- Buckley, D.R.; Rockne, K.J.; Li, A.; Mills, W.J. Soot Deposition in the Great Lakes: Implications for Semi-Volatile Hydrophobic Organic Pollutant Deposition. Environ. Sci. Technol. 2004, 38, 1732–1739. [Google Scholar] [CrossRef] [PubMed]
- Corcoran, M.; Sherif, M.I.; Smalley, C.; Li, A.; Rockne, K.J.; Giesy, J.P.; Sturchio, N.C. Accumulation rates, focusing factors, and chronologies from depth profiles of 210Pb and 137Cs in sediments of the Laurentian Great Lakes. J. Great Lakes Res. 2018, 44, 693–704. [Google Scholar] [CrossRef]
- Bonina, S.M.C.; Codling, G.; Corcoran, M.B.; Guo, J.; Giesy, J.P.; Li, A.; Sturchio, N.C.; Rockne, K.J. Temporal and spatial differences in deposition of organic matter and black carbon in Lake Michigan sediments over the period 1850–2010. J. Great Lakes Res. 2018, 44, 705–715. [Google Scholar] [CrossRef]
- Codling, G.; Hosseini, S.; Corcoran, M.B.; Bonina, S.; Lin, T.; Li, A.; Sturchio, N.C.; Rockne, K.J.; Ji, K.; Peng, H.; et al. Current and historical concentrations of poly and perfluorinated compounds in sediments of the northern Great Lakes—Superior, Huron, and Michigan. Environ. Pollut. 2018, 236, 373–381. [Google Scholar] [CrossRef] [PubMed]
- Li, A.; Guo, J.; Li, Z.; Lin, T.; Zhou, S.; He, H.; Ranansinghe, P.; Sturchio, N.C.; Rockne, K.J.; Giesy, J.P. Legacy polychlorinated organic pollutants in the sediment of the Great Lakes. J. Great Lakes Res. 2018, 44, 682–692. [Google Scholar] [CrossRef]
- Li, A.; Rockne, K.J.; Sturchio, N.C.; Mills, W.J.; Song, W.; Ford, J.C.; Buckley, D.R. Chronology of PBDE air deposition in the Great Lakes from sedimentary records. 2006. Available online: https://www.researchgate.net/publication/270275380_Chronology_of_PBDE_Air_Deposition_in_the_Great_Lakes_from_Sedimentary_Records_Final_Report_to_US_EPA (accessed on 12 December 2022).
- Peng, H.; Chen, C.; Cantin, J.; Saunders, D.M.V.; Sun, J.; Tang, S.; Codling, G.; Hecker, M.; Wiseman, S.; Jones, P.D.; et al. Untargeted Screening and Distribution of Organo-Bromine Compounds in Sediments of Lake Michigan. Environ. Sci. Technol. 2016, 50, 321–330. [Google Scholar] [CrossRef]
- Meyer, F.; Paarmann, D.; D’Souza, M.; Olson, R.; Glass, E.M.; Kubal, M.; Paczian, T.; Rodriguez, A.; Stevens, R.; Wilke, A.; et al. The metagenomics RAST server—A public resource for the automatic phylogenetic and functional analysis of metagenomes. BMC Bioinform. 2008, 9, 386. [Google Scholar] [CrossRef]
- Mitra, S.; Stärk, M.; Huson, D.H. Analysis of 16S rRNA environmental sequences using MEGAN. BMC Genom. 2011, 12, S17. [Google Scholar] [CrossRef]
- Parks, D.H.; Tyson, G.W.; Hugenholtz, P.; Beiko, R.G. STAMP: Statistical analysis of taxonomic and functional profiles. Bioinformatics 2014, 30, 3123–3124. [Google Scholar] [CrossRef]
- Segata, N.; Izard, J.; Waldron, L.; Gevers, D.; Miropolsky, L.; Garrett, W.S.; Huttenhower, C. Metagenomic biomarker discovery and explanation. Genome Biol. 2011, 12, R60. [Google Scholar] [CrossRef]
- Zakrzewski, M.; Proietti, C.; Ellis, J.J.; Hasan, S.; Brion, M.-J.; Berger, B.; Krause, L. Calypso: A user-friendly web-server for mining and visualizing microbiome–environment interactions. Bioinformatics 2017, 33, 782–783. [Google Scholar] [CrossRef] [PubMed]
- Tamura, K.; Dudley, J.; Nei, M.; Kumar, S. MEGA4: Molecular Evolutionary Genetics Analysis (MEGA) software version 4.0. Mol. Biol. Evol. 2007, 24, 1596–1599. [Google Scholar] [CrossRef] [PubMed]
- Meyerhof, M.S.; Wilson, J.M.; Dawson, M.N.; Michael Beman, J. Microbial community diversity, structure and assembly across oxygen gradients in meromictic marine lakes, Palau. Environ. Microbiol. 2016, 18, 4907–4919. [Google Scholar] [CrossRef] [PubMed]
- Hengy, M.H.; Horton, D.J.; Uzarski, D.G.; Learman, D.R. Microbial community diversity patterns are related to physical and chemical differences among temperate lakes near Beaver Island, MI. PeerJ 2017, 5, e3937. [Google Scholar] [CrossRef] [PubMed]
- Shade, A.; Read, J.S.; Youngblut, N.D.; Fierer, N.; Knight, R.; Kratz, T.K.; Lottig, N.R.; Roden, E.E.; Stanley, E.H.; Stombaugh, J.; et al. Lake microbial communities are resilient after a whole-ecosystem disturbance. Isme J. 2012, 6, 2153. [Google Scholar] [CrossRef] [PubMed]
- Purkhold, U.; Pommerening-Roser, A.; Juretschko, S.; Schmid, M.C.; Koops, H.P.; Wagner, M. Phylogeny of all recognized species of ammonia oxidizers based on comparative 16S rRNA and amoA sequence analysis: Implications for molecular diversity surveys. Appl. Environ. Microbiol. 2000, 66, 5368–5382. [Google Scholar] [CrossRef] [PubMed]
- Konneke, M.; Bernhard, A.E.; de la Torre, J.R.; Walker, C.B.; Waterbury, J.B.; Stahl, D.A. Isolation of an autotrophic ammonia-oxidizing marine archaeon. Nature 2005, 437, 543–546. [Google Scholar] [CrossRef]
- Treusch, A.H.; Leininger, S.; Kletzin, A.; Schuster, S.C.; Klenk, H.P.; Schleper, C. Novel genes for nitrite reductase and Amo-related proteins indicate a role of uncultivated mesophilic crenarchaeota in nitrogen cycling. Environ. Microbiol. 2005, 7, 1985–1995. [Google Scholar] [CrossRef]
- Stieglmeier, M.; Klingl, A.; Alves, R.J.; Rittmann, S.K.; Melcher, M.; Leisch, N.; Schleper, C. Nitrososphaera viennensis gen. nov., sp. nov., an aerobic and mesophilic, ammonia-oxidizing archaeon from soil and a member of the archaeal phylum Thaumarchaeota. Int. J. Syst. Evol. Microbiol. 2014, 64, 2738–2752. [Google Scholar] [CrossRef]
- Brochier-Armanet, C.; Boussau, B.; Gribaldo, S.; Forterre, P. Mesophilic Crenarchaeota: Proposal for a third archaeal phylum, the Thaumarchaeota. Nat. Rev. Microbiol. 2008, 6, 245–252. [Google Scholar] [CrossRef]
- Brochier-Armanet, C.; Deschamps, P.; Lopez-Garcia, P.; Zivanovic, Y.; Rodriguez-Valera, F.; Moreira, D. Complete-fosmid and fosmid-end sequences reveal frequent horizontal gene transfers in marine uncultured planktonic archaea. ISME J 2011, 5, 1291–1302. [Google Scholar] [CrossRef] [PubMed]
- Spang, A.; Hatzenpichler, R.; Brochier-Armanet, C.; Rattei, T.; Tischler, P.; Spieck, E.; Streit, W.; Stahl, D.A.; Wagner, M.; Schleper, C. Distinct gene set in two different lineages of ammonia-oxidizing archaea supports the phylum Thaumarchaeota. Trends Microbiol. 2010, 18, 331–340. [Google Scholar] [CrossRef] [PubMed]
- Spang, A.; Poehlein, A.; Offre, P.; Zumbragel, S.; Haider, S.; Rychlik, N.; Nowka, B.; Schmeisser, C.; Lebedeva, E.V.; Rattei, T.; et al. The genome of the ammonia-oxidizing Candidatus Nitrososphaera gargensis: Insights into metabolic versatility and environmental adaptations. Environ. Microbiol. 2012, 14, 3122–3145. [Google Scholar] [CrossRef] [PubMed]
- Bayer, B.; Vojvoda, J.; Offre, P.; Alves, R.J.E.; Elisabeth, N.H.; Garcia, J.A.L.; Volland, J.-M.; Srivastava, A.; Schleper, C.; Herndl, G.J. Physiological and genomic characterization of two novel marine thaumarchaeal strains indicates niche differentiation. ISME J. 2016, 10, 1051–1063. [Google Scholar] [CrossRef]
- Qin, W.; Amin, S.A.; Martens-Habbena, W.; Walker, C.B.; Urakawa, H.; Devol, A.H.; Ingalls, A.E.; Moffett, J.W.; Armbrust, E.V.; Stahl, D.A. Marine ammonia-oxidizing archaeal isolates display obligate mixotrophy and wide ecotypic variation. Proc. Natl. Acad. Sci. USA 2014, 111, 12504–12509. [Google Scholar] [CrossRef]
- Van der Gucht, K.; Cottenie, K.; Muylaert, K.; Vloemans, N.; Cousin, S.; Declerck, S.; Jeppesen, E.; Conde-Porcuna, J.-M.; Schwenk, K.; Zwart, G.; et al. The power of species sorting: Local factors drive bacterial community composition over a wide range of spatial scales. Proc. Natl. Acad. Sci. USA 2007, 104, 20404–20409. [Google Scholar] [CrossRef]
- Soininen, J.; Korhonen, J.J.; Luoto, M. Stochastic species distributions are driven by organism size. Ecology 2013, 94, 660–670. [Google Scholar] [CrossRef]
- Paver, S.F.; Newton, R.J.; Coleman, M.L. Microbial communities of the Laurentian Great Lakes reflect connectivity and local biogeochemistry. Environ. Microbiol. 2020, 22, 433–446. [Google Scholar] [CrossRef]
- Rosenberg, E. The Family Chitinophagaceae. In The Prokaryotes: Other Major Lineages of Bacteria and The Archaea; Rosenberg, E., DeLong, E.F., Lory, S., Stackebrandt, E., Thompson, F., Eds.; Springer: Berlin/Heidelberg, Germany, 2014; pp. 493–495. [Google Scholar]
- Mou, X.; Jacob, J.; Lu, X.; Robbins, S.; Sun, S.; Ortiz, J.D. Diversity and distribution of free-living and particle-associated bacterioplankton in Sandusky Bay and adjacent waters of Lake Erie Western Basin. J. Great Lakes Res. 2013, 39, 352–357. [Google Scholar] [CrossRef]










Disclaimer/Publisher’s Note: The statements, opinions and data contained in all publications are solely those of the individual author(s) and contributor(s) and not of MDPI and/or the editor(s). MDPI and/or the editor(s) disclaim responsibility for any injury to people or property resulting from any ideas, methods, instructions or products referred to in the content. |
© 2023 by the authors. Licensee MDPI, Basel, Switzerland. This article is an open access article distributed under the terms and conditions of the Creative Commons Attribution (CC BY) license (https://creativecommons.org/licenses/by/4.0/).
Share and Cite
Rani, A.; Ranjan, R.; Bonina, S.M.C.; Izadmehr, M.; Giesy, J.P.; Li, A.; Sturchio, N.C.; Rockne, K.J. Aqueous Geochemical Controls on the Sestonic Microbial Community in Lakes Michigan and Superior. Microorganisms 2023, 11, 504. https://doi.org/10.3390/microorganisms11020504
Rani A, Ranjan R, Bonina SMC, Izadmehr M, Giesy JP, Li A, Sturchio NC, Rockne KJ. Aqueous Geochemical Controls on the Sestonic Microbial Community in Lakes Michigan and Superior. Microorganisms. 2023; 11(2):504. https://doi.org/10.3390/microorganisms11020504
Chicago/Turabian StyleRani, Asha, Ravi Ranjan, Solidea M. C. Bonina, Mahsa Izadmehr, John P. Giesy, An Li, Neil C. Sturchio, and Karl J. Rockne. 2023. "Aqueous Geochemical Controls on the Sestonic Microbial Community in Lakes Michigan and Superior" Microorganisms 11, no. 2: 504. https://doi.org/10.3390/microorganisms11020504
APA StyleRani, A., Ranjan, R., Bonina, S. M. C., Izadmehr, M., Giesy, J. P., Li, A., Sturchio, N. C., & Rockne, K. J. (2023). Aqueous Geochemical Controls on the Sestonic Microbial Community in Lakes Michigan and Superior. Microorganisms, 11(2), 504. https://doi.org/10.3390/microorganisms11020504

