A Potential Application of Pseudomonas psychrotolerans IALR632 for Lettuce Growth Promotion in Hydroponics
Abstract
1. Introduction
2. Materials and Methods
2.1. Plant Materials and Bacterial Cultures
2.1.1. Lettuce Seeds and Germination
2.1.2. Bacterial Origin and Culture and Inoculation
2.1.3. Bacterial Inoculation of Seeds
2.1.4. Bacterial Inoculation of Seedlings
2.2. Hydroponic Systems
2.2.1. Greenhouse NFT System
2.2.2. Vertical Indoor NFT System
2.2.3. Deep Water Cultivation (DWC)
2.3. Plant Growth Nutrient Solutions and Environments
2.3.1. Lettuce Growth Nutrient Solution
2.3.2. Growth Conditions with WatchDog Records
2.4. Transplanting and Plant Growth Measurements
2.4.1. Growth Promotion
2.4.2. Growth Rates and SPAD
2.5. Bacterial Colonization and Translocation
2.5.1. Transformation of IALR632 with GFP Plasmid
2.5.2. Bacterial Colonization of Lettuce Plants
2.6. Experiment Design and Statistical Analysis
3. Results
3.1. Effects of IALR632 on Lateral Root Development
3.2. Growth Promotion by IALR632 in Greenhouse NFT System
3.3. Effects of IALR632 on Growth Rates and SPAD in Greenhouse NFT System
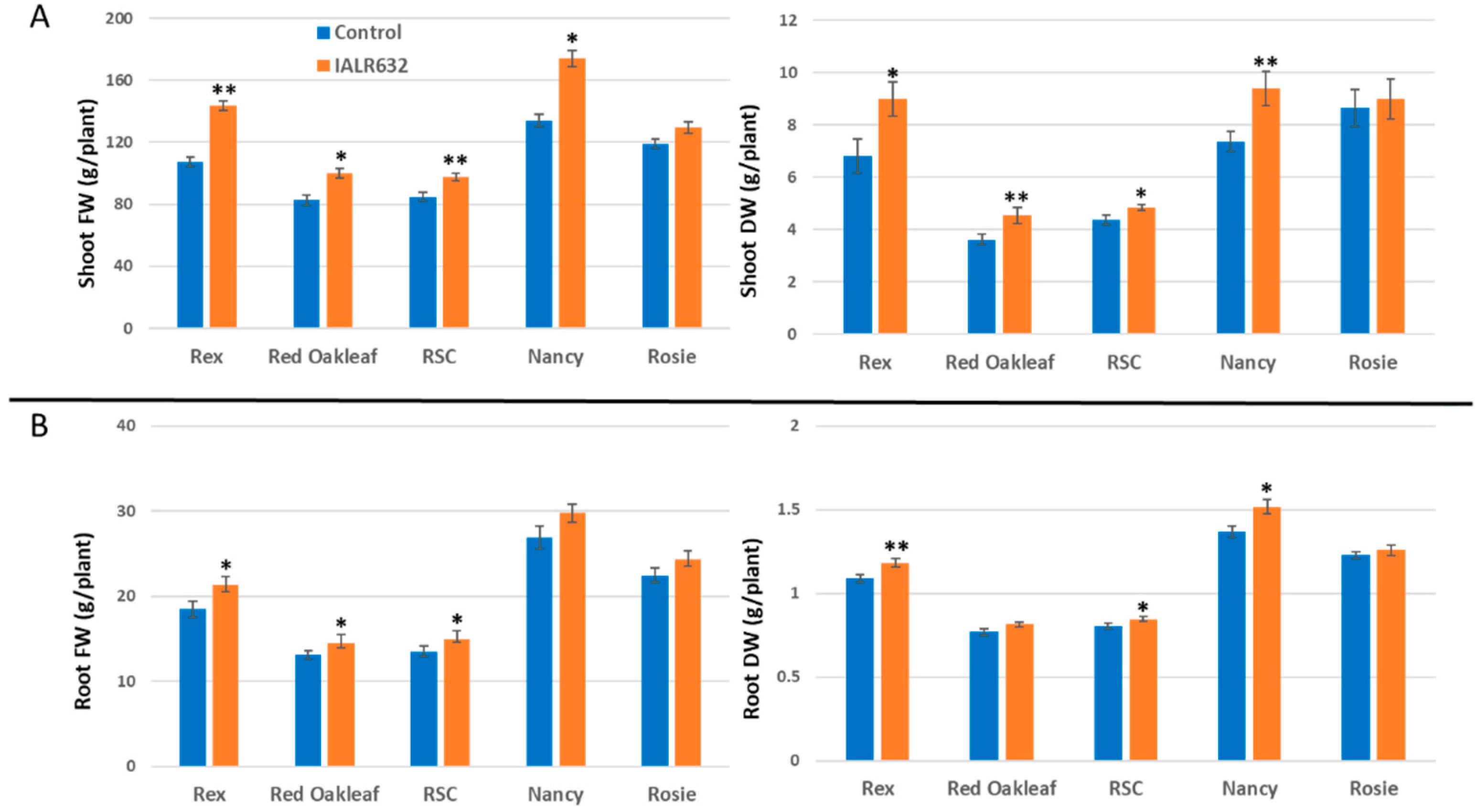
3.4. Growth Promotion of Other Cultivars by IALR632 in Greenhouse NFTs
3.5. Growth Promotion by IALR632 in Other Hydroponic Systems
3.5.1. Indoor Vertical NFT Hydroponic System
3.5.2. Deep Water Cultivation (DWC) in Greenhouse
3.6. Colonization and Localization of IALR632-GFP in Lettuce Plants
4. Discussion
Author Contributions
Funding
Data Availability Statement
Conflicts of Interest
References
- Global Agriculture towards 2050. Available online: https://www.fao.org/fileadmin/templates/wsfs/docs/Issues_papers/HLEF2050_Global_Agriculture.pdf (accessed on 4 November 2022).
- Lee, S.; Lee, J. Beneficial bacteria and fungi in hydroponic systems: Types and characteristics of hydroponic food production methods. Sci. Hortic. 2015, 195, 206–215. [Google Scholar] [CrossRef]
- Touliatos, D.; Dodd, I.C.; Mcainsh, M. Vertical farming increases lettuce yield per unit area compared to conventional horizontal hydroponics. Food Energy Secur. 2016, 5, 184–191. [Google Scholar] [CrossRef] [PubMed]
- AeroFarms: This Farm of the Future Uses No Soil and 95% Less Water. Available online: https://www.aerofarms.com/2016/07/05/farm-no-soil-95-less-water/ (accessed on 17 January 2023).
- Greenforges: How Different Types of Agriculture Impact CO2 Emissions. Available online: https://www.greenforges.com/blog/how-different-types-of-agriculture-impact-co2-emissions (accessed on 17 January 2023).
- Indoor Farming Market 2021. Available online: https://www.researchandmarkets.com/reports/5509180/global-indoor-farming-market-size-trends-and#src-pos-1 (accessed on 4 November 2022).
- Wong, C.E.; Teo, Z.W.N.; Shen, L.; Yu, H. Seeing the lights for leafy greens in indoor vertical farming. Trends Food Sci. Technol. 2020, 106, 48–63. [Google Scholar] [CrossRef]
- Kim, S.; Lowman, S.; Hou, G.; Nowak, J.; Flinn, B.; Mei, C. Growth promotion and colonization of switchgrass (Panicum virgatum) cv. Alamo by bacterial endophyte Burkholderia phytofirmans strain PsJN. Biotechnol. Biofuels 2012, 5, 37. [Google Scholar]
- O’Callaghan, M. Microbial inoculation of seed for improved crop performance: Issues and opportunities. Appl. Microbiol. Biotechnol. 2016, 100, 5729–5746. [Google Scholar] [CrossRef] [PubMed]
- Glick, B.R. Plant growth-promoting bacteria: Mechanisms and applications. Scientifica 2012, 2012, 963401. [Google Scholar] [CrossRef]
- De Souza, R.; Ambrosini, A.; Passaglia, L.M.P. Plant growth-promoting bacteria as inoculants in agricultural soils. Genet. Mol. Biol. 2015, 38, 401–419. [Google Scholar] [CrossRef]
- Mei, C.; Flinn, B. The use of beneficial microbial endophytes for plant biomass and stress tolerance improvement. Recent Pat. Biotechnol. 2009, 4, 81–95. [Google Scholar] [CrossRef]
- Sheridan, C.; Depuydt, P.; de Ro, M.; Petit, C.; van Gysegem, E.; Delaere, P.; Dixon, M.; Stasiak, M.; Aciksöz, S.B.; Frossard, E.; et al. Microbial community dynamics and response to plant growth-promoting microorganisms in the rhizosphere of four common food crops cultivated in hydroponics. Microb. Ecol. 2017, 73, 378–393. [Google Scholar] [CrossRef]
- Aini, N.; Yamika, W.S.D.; Ulum, B. Effect of nutrient concentration, PGPR and AMF on plant growth, yield and nutrient uptake of hydroponic lettuce. Int. J. Agric. Biol. 2019, 21, 175–183. [Google Scholar] [CrossRef]
- Paradiso, R.; Arena, C.; de Micco, V.; Giordano, M.; Aronne, G.; de Pascale, S. Changes in leaf anatomical traits enhanced photosynthetic activity of soybean grown in hydroponics with plant growth-promoting microorganisms. Front. Plant Sci. 2017, 8, 674. [Google Scholar] [CrossRef] [PubMed]
- Kanjanamaneesathian, M.; Wiwattanapatapee, R.; Rotniam, W.; Wongpetkhiew, W. Spraying hydroponic lettuce roots with a suspension concentrate formulation of Bacillus velezensis to suppress root rot disease and promote plant growth. N. Z. Plant Prot. 2014, 67, 213–219. [Google Scholar] [CrossRef]
- Moncada, A.; Vetrano, F.; Miceli, A. Alleviation of salt stress by plant growth-promoting bacteria in hydroponic leaf lettuce. Agronomy 2020, 10, 1523. [Google Scholar] [CrossRef]
- Balthazar, C.; Joly, D.L.; Filion, M. Exploiting beneficial Pseudomonas spp. for cannabis production. Front. Microbiol. 2022, 12, 833172. [Google Scholar] [CrossRef]
- Lee, S.W.; Ahn, I.P.; Sim, S.Y.; Lee, S.Y.; Seo, M.W.; Kim, S.; Park, S.Y.; Lee, Y.H.; Kang, S. Pseudomonas sp. LSW25R, antagonistic to plant pathogens, promoted plant growth, and reduced blossom-end rot of tomato fruits in a hydroponic system. Eur. J. Plant Pathol. 2010, 126, 1–11. [Google Scholar] [CrossRef]
- Lee, S.; An, R.; Grewal, P.; Yu, Z.; Borherova, Z.; Lee, J. High-performing windowfarm hydroponic system: Transcriptomes of fresh produce and microbial communities in response to beneficial bacterial treatment. Mol. Plant-Microbe Interact. 2016, 29, 965–976. [Google Scholar] [CrossRef]
- Mei, C.; Chretien, R.L.; Amaradasa, B.S.; He, Y.; Turner, A.; Lowman, S. Characterization of phosphate solubilizing bacterial endophytes and plant growth promotion in vitro and in greenhouse. Microorganisms 2021, 9, 1935. [Google Scholar] [CrossRef]
- Salanova® Lettuce. Available online: https://www.rijkzwaan.com/solutions/salanova (accessed on 24 January 2023).
- Aloni, R.; Aloni, E.; Langhans, M.; Ullrich, C.I. Role of cytokinin and auxin in shaping root architecture: Regulating vascular differentiation, lateral root initiation, root apical dominance and root gravitropism. Ann. Bot. 2006, 97, 883–893. [Google Scholar] [CrossRef]
- Ali, S.; Khan, N. Delineation of mechanistic approaches employed by plant growth promoting microorganisms for improving drought stress tolerance in plants. Microbiol. Res. 2021, 249, 126771. [Google Scholar] [CrossRef]
- Stegelmeier, A.A.; Rose, D.M.; Joris, B.R.; Glick, B.R. The use of PGPB to promote plant hydroponic growth. Plants 2022, 11, 2783. [Google Scholar] [CrossRef]
- Erman, M.; Çiğ, F.; Ceritoglu, F.; Ceritoglu, M. Plant growth promoting bacteria enhances photosynthesis, nodulation and root system architecture in lentil under lead toxicity. J. Cent. Eur. Agric. 2022, 23, 582–591. [Google Scholar] [CrossRef]
- Eck, M.; Szekely, I.; Massart, S.; Jijakli, M.H. Microorganisms in aquaponics: Insights on the composition of the root microbiome of lettuces of varying age. Acta Hortic. 2021, 1321, 213–219. [Google Scholar] [CrossRef]
- Mauchline, T.H.; Malone, J.G. Life in earth—The root microbiome to the rescue? Curr. Opin. Microbiol. 2017, 37, 23–28. [Google Scholar] [CrossRef] [PubMed]
- Cipriano, M.A.P.; Lupatini, M.; Lopes-Santos, L.; da Silva, M.J.; Roesch, L.F.W.; Destéfano, S.A.L.; Freitas, S.S.; Kuramae, E.E. Lettuce and rhizosphere microbiome responses to growth promoting Pseudomonas species under field conditions. FEMS Microbiol. Ecol. 2016, 92, fiw197. [Google Scholar] [CrossRef]
- Anzalone, A.; Mosca, A.; Dimaria, G.; Nicotra, D.; Tessitori, M.; Privitera, G.F.; Pulvirenti, A.; Leonardi, C.; Catara, V. Soil and soilless tomato cultivation promote different microbial communities that provide new models for future crop interventions. Int. J. Mol. Sci. 2022, 23, 8820. [Google Scholar] [CrossRef]
- Nadeem, S.M.; Naveed, M.; Ayyub, M.; Khan, M.Y.; Ahmad, M.; Zahir, Z.A. Potential, limitations and future prospects of Pseudomonas spp. for sustainable agriculture and environment: A review. Soil Environ. 2016, 35, 106–145. [Google Scholar]







| Systems | Dates | Tank Vol. (L) | No. of Plants | Temp. °C | Day/Night °C | LH | DLI | RH (%) |
|---|---|---|---|---|---|---|---|---|
| GH-NFT | 12 April– 4 May 2021 | 90 | 36 | 20.2 | 21.9/18.6 | 8.7 | 25.5 | 63.3 |
| GH-NFT | 23 September– 21 October 2021 | 90 | 36 | 19.7 | 21.2/18.4 | 10.9 | 13.7 | 81.2 |
| IV-NFT | 31 March– 22 April 2022 | 260 | 144 | 20.2 | 20.9/19.3 | 18 | 16.2 | 58.8 |
| DWC | 26 January– 16 February 2022 | 18 | 18 | 17.5 | 18.6/13.3 | 5.4 | 13.2 | 36.3 |
Disclaimer/Publisher’s Note: The statements, opinions and data contained in all publications are solely those of the individual author(s) and contributor(s) and not of MDPI and/or the editor(s). MDPI and/or the editor(s) disclaim responsibility for any injury to people or property resulting from any ideas, methods, instructions or products referred to in the content. |
© 2023 by the authors. Licensee MDPI, Basel, Switzerland. This article is an open access article distributed under the terms and conditions of the Creative Commons Attribution (CC BY) license (https://creativecommons.org/licenses/by/4.0/).
Share and Cite
Mei, C.; Zhou, D.; Chretien, R.L.; Turner, A.; Hou, G.; Evans, M.R.; Lowman, S. A Potential Application of Pseudomonas psychrotolerans IALR632 for Lettuce Growth Promotion in Hydroponics. Microorganisms 2023, 11, 376. https://doi.org/10.3390/microorganisms11020376
Mei C, Zhou D, Chretien RL, Turner A, Hou G, Evans MR, Lowman S. A Potential Application of Pseudomonas psychrotolerans IALR632 for Lettuce Growth Promotion in Hydroponics. Microorganisms. 2023; 11(2):376. https://doi.org/10.3390/microorganisms11020376
Chicago/Turabian StyleMei, Chuansheng, Dongfang Zhou, Robert L. Chretien, Amy Turner, Guichuan Hou, Michael R. Evans, and Scott Lowman. 2023. "A Potential Application of Pseudomonas psychrotolerans IALR632 for Lettuce Growth Promotion in Hydroponics" Microorganisms 11, no. 2: 376. https://doi.org/10.3390/microorganisms11020376
APA StyleMei, C., Zhou, D., Chretien, R. L., Turner, A., Hou, G., Evans, M. R., & Lowman, S. (2023). A Potential Application of Pseudomonas psychrotolerans IALR632 for Lettuce Growth Promotion in Hydroponics. Microorganisms, 11(2), 376. https://doi.org/10.3390/microorganisms11020376

