Next Article in Journal
Extracellular Vesicles Secreted by Acanthamoeba culbertsoni Have COX and Proteolytic Activity and Induce Hemolysis
Next Article in Special Issue
Anti-Cancer and Anti-Oxidant Bioactive Metabolites from Aspergillus fumigatus WA7S6 Isolated from Marine Sources: In Vitro and In Silico Studies
Previous Article in Journal
Recoverability of Microcystis aeruginosa and Pseudanabaena foetida Exposed to a Year-Long Dark Treatment
Previous Article in Special Issue
Optimization of Fermentation Conditions and Product Identification of a Saponin-Producing Endophytic Fungus
 
 
Font Type:
Arial Georgia Verdana
Font Size:
Aa Aa Aa
Line Spacing:
Column Width:
Background:
Article

Effect of Epichloë Endophyte on the Growth and Carbon Allocation of Its Host Plant Stipa purpurea under Hemiparasitic Root Stress

1
Qinghai University, Xining 810003, China
2
State Key Laboratory of Sanjiangyuan Ecology and Plateau Agriculture and Animal Husbandry, Qinghai University, Xining 810003, China
3
Qinghai Academy of Animal and Veterinary Medicine, Xining 810016, China
*
Author to whom correspondence should be addressed.
These authors contributed equally to this work.
Microorganisms 2023, 11(11), 2761; https://doi.org/10.3390/microorganisms11112761
Submission received: 2 September 2023 / Revised: 3 November 2023 / Accepted: 5 November 2023 / Published: 13 November 2023

Abstract

:
Epichloë endophytes not only affect the growth and resistance of their host plants but also confer nutrient benefits to parasitized hosts. In this study, we used Pedicularis kansuensis to parasitize Stipa purpurea, both with and without endophytic fungi, and to establish a parasitic system. In this study, endophytic fungal infection was found to increase the dry weight of the leaf, stem, and leaf sheath, as well as the plant height, root length, tiller number, aboveground biomass, and underground biomass of S. purpurea under root hemiparasitic stress. Meanwhile, the 13C allocation of the leaf sheaths and roots of S. purpurea increased as the density of P. kansuensis increased, while the 13C allocation of the leaf sheaths and roots of E+ S. purpurea was lower than that of E− S. purpurea. The 13C allocation of the stem, leaf sheath, and root of E+ S. purpurea was higher than that of its E− counterpart. Furthermore, the content of photosynthetic 13C and the 13C partition rate of the stems, leaves, roots, and entire plant of S. purpurea and P. kansuensis transferred from S. purpurea increased as the density of P. kansuensis increased. These results will generate new insights into the potential role of symbiotic microorganisms in regulating the interaction between root hemiparasites and their hosts.

1. Introduction

Epichloë endophytes commonly grow in the apoplast of the aerial tissues of a variety of cool-season grasses without causing disease [1,2]. Following an extended period of adaptive evolution, a mutually beneficial symbiotic relationship is established between endophytic fungi and cold season grasses. In this relationship, endophytes are capable of acquiring nutrients from their host plants and utilizing the host plant as their habitat sites [3]. Endophytic fungi have been found to influence plant productivity, plant–plant interactions, the structure and biodiversity of plant communities, and the conservation and restoration of ecosystems [4,5]. Thus far, the importance of endophytic fungal communities in mitigating key abiotic stresses has been well studied. However, there are few reports on whether grasses and their symbiotic microorganisms can offset the harmful effects of root hemiparasitic plants in the broader context of biological stress.
Root hemiparasitic plants depend largely on haustoria to obtain nutrients and water from their host plants [6,7] and subsequently weaken their growth [8,9]. Hemiparasitic plants compete with host plants for light resources, which in turn alters the competitive relationship between host and non-host plants. This competition has a significant impact on the composition and structure of plant communities [10,11]. At present, the majority of root hemiparasitic plants have become obnoxious forbs that seriously harm agriculture and animal husbandry [12,13]. For example, Striga hermonthica is parasitic on sorghum [14], maize [15], and other crops, resulting in an estimated yield reduction of 65% or even no harvest in some cases. In China, there are many kinds of root hemiparasitic plants, but most are scattered and rarely clustered [16], which has resulted in insufficient attention being paid to the hazardous risks of this group. However, in recent years, some root hemiparasitic plant species have shown significant spreading trends, which pose a potential threat to the sustainable use of grasslands and the healthy development of animal husbandry [17,18]. A typical example is the expanded population of P. kansuensis into Qinghai, Xinjiang, southwestern Gansu, western Sichuan, and western Tibet [19].
P. kansuensis is an endemic annual or biennial root hemiparasitic herb found in China [20]. Since 2000, the native species of P. kansuensis has been expanding rapidly, which has threatened the local livestock industry [17,21]. The hemiparasitic nature of its roots is an exclusive survival strategy employed by P. kansuensis. Specifically, it relies on its specialized structure called haustoria to obtain a portion of water and nutrients from gramineous and leguminous plants [22], resulting in the biomass of gramineous and leguminous plants rapidly decreasing [20,23,24,25]. Recent studies have demonstrated that plant symbiotic microorganisms have the ability to greatly enhance their host’s tolerance to root parasitic stress [26,27]. In a study conducted by Sui et al. [28], it was discovered that the growth performance of both hosts and parasites in Trifolium repens and Pedicularis rex/tricolor legume pairs was greatly enhanced through inoculation with Glomus mosseae. This inoculation also helped alleviate the harm caused by P. rex/tricolor. At present, most studies focus on Epichloë endophytes in improving host grass resistance ability [29]. However, there are currently few reports on the regulation of carbon uptake and allocation by endophytic fungi in grasses and root hemiparasitic systems.
Our previous study found that P. kansuensis could establish root parasitic relationships with 18 sympatric plants and that S. purpurea was revealed to be the main host of P. kansuensis [30]. Meanwhile, the infection rate of endophytic fungi in the degraded grassland of S. purpurea was found to be more than 90%. The type of endophytic fungi responsible for the infection was identified as Epichloë inebrians [31]. Therefore, in this study, we utilized endophyte-infected (E+) and endophyte-free (E−) S. purpurea as our materials to study the plant growth of S. purpurea under different intensities of P. kansuensis parasitization and normal growth conditions. Accordingly, this study aims to address the following questions: (1) What are the growth characteristics of E+ and E− S. purpurea and P. kansuensis? (2) What are the total photosynthetic carbon and distribution characteristics of S. purpurea when transferred to P. kansuensis? (3) How does photosynthetic carbon sequestration and allocation differ between E+ and E− S. purpurea?

2. Materials and Methods

2.1. Experimental Materials

In October 2019, in the natural grassland of Ganzihe Town, Haiyan County, Haibei Prefecture, Qinghai Province (37°07′09″ N, 100°38′42″ E), the mature seeds of S. purpurea and P. kansuensis were harvested. The harvest site is 3370 m above sea level, which belongs to the classic alpine grassland, the grassland group species is S. purpurea, and the associated species are Agropyron cristatum and Poa pratensis. In our previous study [31,32], we identified the tested material, so we are very sure that it is the seeds of S. purpurea and P. kansuensis. According to the detection method of endophytic fungi in grass by Li et al. [33], the endophyte infection status of S. purpurea was determined by the microscopic examination of leaf sheath pieces and seeds stained with aniline blue [34]; the endophytic fungal carrier rate of S. purpurea was detected and found to be as high as 90%. At the same time, 20 seeds of S. purpurea were selected for seed skin disinfection and then placed on Solanum tuberosum glucose agar medium for 28 days at room temperature and under dark conditions. Referring to the identification method of endophytic fungi in S. purpurea, Bao et al. [31] amplified the endophytic fungal sequences, and phylogenetic trees were constructed using Tub, Tef, and Actin specific primers. The endophytic fungus infected with S. purpurea was identified as Epichloë inebrians. S. purpurea E+ seeds were subjected to a soaking process in 70% Topsin-M for eight hours, followed by washing with distilled water to remove any remaining fungicide and to obtain E− seeds.
The experiment was conducted in December 2021 at the smart greenhouse of the Academy of Animal Science and Veterinary Medicine at Qinghai University. E+ and E− seeds of a uniform and complete size were selected and disinfected with 1% sodium hypochlorite for 10 min. The seeds were then rinsed six times with deionized water and blotted with sterilized filter paper to remove any remaining water on the seed surface. Subsequently, the seeds were sown into polyethylene plastic pots measuring 10 cm in diameter and 15 cm in height. To eliminate the influence of nutrients and microorganisms, sand with a diameter of 1–2 mm was used as the growth substrate. The sand had undergone three rounds of rinsing in deionized water and was autoclaved at 120 °C twice for two hours each. After a period of six weeks, the endophytic fungal status of the E+ seedlings was determined to be 100%, while that of the E– seedlings was 0%, according to the method described by Bao et al. [31]. As shown in Figure 1a,b, the arrows refer to the hyphae of E. inebrians, and Figure 1c shows that E+ seeds were subjected to a soaking process in 70% Topsin-M for eight hours, followed by washing with distilled water to remove any remaining fungicide and to obtain E− seeds, so its seedings did not have hyphae.

2.2. Establishing a Parasitic System

The seed disinfection of P. kansuensis was carried out using a method similar to that described above for S. purpurea. After disinfection and blotting on sterilized filter paper, six disinfected P. kansuensis seeds were sown at a depth of 2 cm into both E+ and E– S. purpurea seedlings. The parasitization of P. kansuensis onto S. purpurea roots was confirmed by the presence of heterogeneous growth of P. kansuensis [35]. The experiment was divided into eight treatments based on the endophytic fungal infection status of S. purpurea and the parasite density of P. kansuensis: (1) S.purpurea (E+), (2) S. purpurea (E+)+1 P. kansuensis seedling, (3) S. purpurea (E+)+3 P. kansuensis seedling, (4) S.purpurea (E−), (5) S. purpurea (E−)+1 P. kansuensis seedling, (6) S. purpurea (E−)+3 P. kansuensis seedlings, (7) 1 P. kansuensis seedling, (8) 3 P. kansuensis seedlings. A fully randomized group arrangement was used, with a total of 128 pots and 16 replications for each of the eight treatments.

2.3. Experimental Design and 13C Labeling

Within three months of establishing the parasitic relationship between P. kansuensis and the E+ and E− type S. purpurea plants, a total of six pots were randomly selected from eight treatments. Three pots from each treatment were then placed in a sealed 13CO2 gas isotope labeling dish with a 60 L internal volume to conduct labeling. The remaining three pots, which were labeled with 13C isotopes, were used as the control group. A CO2 temperature and gas monitor (AZ7752) was positioned inside the isotope labeling chamber to monitor the concentration of CO2 in real time. Additionally, a small fan (N15, 2.5 W) was installed within the chamber to facilitate the mixing of the air and the 13CO2 gas. To ensure a stable temperature, the outer compartment of the marker box was filled with running water, which ensured that the temperature of the marker box remained between 24 °C and 32 °C. A rubber stopper was attached to the inlet of the isotope-labeling chamber. The labeling gas was obtained from the 13CO2 bag using a 50 mL syringe and injected into the labeling chamber (Wuhan Estop Technology Co., Ltd., Wuhan, China, purity ≥ 99.8%, abundance ≥ 99%) at a slow pace. Figure 2 shows a scheme of the isotopic labeling box.
The 13CO2 labeling assay was initiated on 7 July 2022, and labeling was performed daily from 09:00 to 15:00 for three consecutive days. After 3 days of labelling, the samples were taken. The 13C-labeled plant was placed in the labeling chamber. The labeling gas from the 13CO2 canister was introduced once the CO2 concentration in the canister dropped to 200 ppm. After introducing 35 mL of 13CO2 gas, the CO2 concentration inside the box was monitored until it dropped to 250–300 ppm. At this point, it was essential to reintroduce another 35 mL of 13CO2 gas to maintain a stable CO2 concentration between 400 and 500 ppm inside the marker box. Additionally, after the third introduction of 35 mL of 13CO2 gas, regular CO2 gas could be introduced to maintain consistent levels of total 13CO2. To ensure that plant photosynthesis was not affected by the CO2 concentration, a No. 8 self-sealing bag (18 × 25 cm) was utilized to cover the P. kansuensis in the S. purpurea-P. kansuensis root parasitic system. Additionally, tin foil was wrapped around the outside of the bag to prevent photosynthesis by P. kansuensis, thus eliminating its potential impact on the assay results. Samples of S. purpurea and P. kansuensis were collected from the treatment and control groups less than one hour after the completion of isotope labeling. The samples were collected from the root, stem, leaf, and leaf sheath of S. purpurea and from the root, stem, and leaf of P. kansuensis.

2.4. Plant Harvest and Analysis

After undergoing multiple washes with deionized water, the samples were subjected to a temperature of 105 °C for a duration of 30 min and subsequently dried in an oven at 65 °C until they reached a constant weight. The samples were then ground and passed through an 80-mesh sieve. The total carbon content and 13C content of the collected samples were analyzed using a Vibratome grinding machine (GT200, Beijing Grademan Instruments Co., Ltd., Beijing, China).
The total carbon content and 13C abundance were measured using a SerCon Integra 2 (Suzhou Elam Analytical Instruments Co., LTD., Suzhou, China) fully automated stable isotope mass spectrometry system. Both the treatment and control samples were weighed to 0.3 mg (with an accuracy of 0.01 mg) and then packed into tin boats or tin capsules. After placing the sample in the inlet tray, it was combusted in a combustion tube containing silver wire, copper oxide, and chromium oxide at a temperature of 1000 °C. To reduce the amount of gas obtained, a reduction tube filled with copper wire and heated to 600 °C was used. The sample was separated into a column at a temperature of 60 °C after removing the water. An elemental analyzer detector was then used to calculate its carbon content by comparing it to a standard sample. The concentrations and abundances of carbon isotopes were directly measured using a stable isotope mass spectrometry system [36].

2.5. 13C Calculations

The total carbon content of each organ in the sample, Ci (mg) was calculated by multiplying the carbon mass fraction Ci (%) of each organ with the biomass Cb (g) of that fraction [37]:
C i m g = C i % × C b g × 10
The 13C atomic excess percentage of each organ atom%13Ci excess (i.e., the 13C abundance of each organ in the treated group samples (atom13Ci%) minus the background value of 13C abundance of each organ in the control group samples (atom13Co%)) was calculated as follows:
a t o m 13 C i   %   e x c e s s = a t o m 13 C i % a t o m 13 C o %
To determine the amount of 13C photosynthesis in each organ in the sample, we used Equation (3) by substituting the 13C atomic percentage. The variable 13Ci represents the amount of 13C photosynthesis in each organ in the sample (mg), and Ci represents the quantity of carbon in each organ (mg):
13 C i m g = C i m g × a t o m 13 C i %   e x c e s s / 100
The fractional 13C allocation rate Pi% could be calculated using Equation (4), where 13Ci represents the amount of 13C photosynthesis in each organ in the sample (mg), and Σ13Ci represents the total amount of 13C photosynthesis in each organ of the plant sampled (mg):
P 1 i % = 13 C i 13 C i × 100

2.6. Data Analysis

All statistical analyses were conducted using IBM SPSS Statistics Version 26.0. Before performing the analyses, the data were tested for normality using the Shapiro–Wilk test and for homogeneity of variance using the Brown–Forsythe test. Statistical analyses for determining significant differences in observations were applied throughout the study using two-way ANOVA, one-way ANOVA, or Student’s t-tests. The significance level was set at p < 0.05 for all statistical analyses.

3. Results

3.1. Effects of Endophytic Fungal Infection and P. kansuensis Parasitism on S. purpurea and P. kansuensis Growth Characteristics

Under root hemiparasitic stress, there was a significant effect of endophytic fungal infection on the dry weight of the leaf, stem, leaf sheath, tiller number, and aboveground biomass and underground biomass (Table 1, p < 0.01). Meanwhile, the parasitic density of P. kansuensis had a significant effect on the dry weight of the leaf, stem, and leaf sheath, as well as the plant height, root length, tiller number, aboveground biomass, and underground biomass of S. purpurea (Table 1, p < 0.01). Apart from the plant height and tiller number, the interaction between the endophytic fungal infection and P. kansuensis parasitic density had a significant effect on the rest of the growth characteristics of S. purpurea (Table 1, p < 0.01). As the parasitic density of P. kansuensis increased, apart from the dry weight of the leaf sheath, the dry weight of the leaf, stem, aboveground biomass, underground biomass, plant height, root length, and tiller number of S. purpurea exhibited a downward trend (Figure 3a–h). When S. purpurea was parasitized by P. kansuensis, the dry weight of the leaf, stem, and leaf sheath, as well as the tiller number, aboveground biomass, and underground biomass of E+ S. purpurea, were significantly higher than those of E− plants (Figure 3a–h, p < 0.05). Without the parasitic effect of P. kansuensis on S. purpurea, the dry weight of the leaf and stem, as well as the root length, tiller number, aboveground biomass, and underground biomass, were the highest compared to those of samples receiving other treatments (Figure 3a–h).
The parasitic density had a significant effect on the aboveground and underground biomass of P. kansuensis (Table 2, p < 0.01). However, it did not have an effect on the plant height, root length, or underground biomass (Table 2, p > 0.05). At the same time, the endophytic fungal infection status of S. purpurea had significant effects on the root length, as well as the aboveground and underground biomasses of P. kansuensis (Table 2, p < 0.05). However, it did not have an effect on the plant height (Table 2, p > 0.05). In addition, the interaction between endophytic fungal infection and P. kansuensis parasitic density had a significant effect on the underground biomass of P. kansuensis, but there was no impact on the plant height, root length, and aboveground biomass (Table 2, p < 0.01). As the parasitic density of P. kansuensis increased, there was a noticeable declining trend in plant height, but there was a noticeable increasing trend in both the aboveground and underground biomasses of P. kansuensis (Figure 4a–d). Furthermore, when there were no host plants, the plant height, root length, and aboveground and underground biomasses of P. kansuensis increased with the increase in plant density (Figure 4a–d). Additionally, for P. kansuensis of parasitized E+ S. purpurea, the plant height and root length were lower than those of parasitized E− plants (Figure 4a,b), and the aboveground and underground biomasses were higher than those of parasitized E− plants (Figure 4a,b).
The maximum number of P. kansuensis haustoria per unit area in the root of S. purpurea was the highest (i.e., 0.36 cm2) when there was no endophytic fungal infection and only one parasite of P. kansuensis (Figure 5). Conversely, the lowest maximum number of P. kansuensis haustoria per unit area in the root of S. purpurea was 0.12 cm2, which occurred when there was both endophytic fungal infection and one parasite of P. kansuensis (Figure 5). As the density of P. kansuensis parasitica increased, the haustoria number of P. kansuensis parasitica per unit area in the root area of E+ S. purpurea increased, while this haustoria number decreased in the root area of E− S. purpurea, although the differences were not significant (Figure 5, p > 0.05).

3.2. Effects of Endophyte Fungal Infection and P. kansuensis Parasitica on the Total Carbon Content of S. purpurea and P. kansuensis

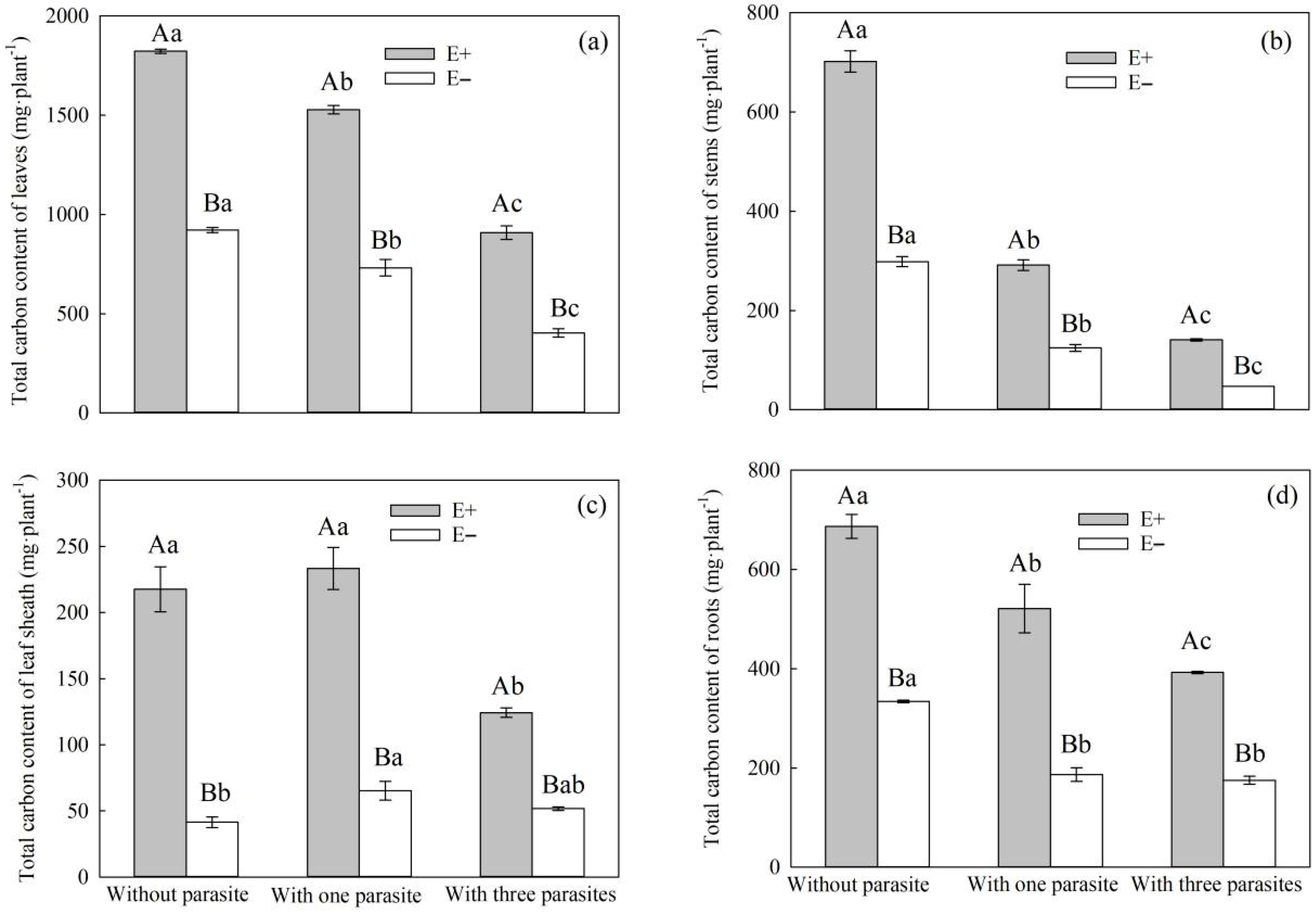
Endophytic fungal infection and P. kansuensis parasitica had a significant impact on the total carbon content of the leaf sheath, stem, leaves, and roots of S. purpurea under root hemiparasitic stress (Table 3, p < 0.01). Additionally, there was a significant interaction between endophytic fungus infection and P. kansuensis parasitica density that affected the total carbon content of the leaf sheath, stem, leaves, and roots of S. purpura (Table 3, p < 0.01). With the increase in the parasitic density of P. kansuensis, the total carbon content of the stems, leaves, and roots decreased, but this was not the case with the leaf sheath (Figure 6a–d). Additionally, the total carbon contents of the leaf sheath, stem, leaves, and roots of E+ S. purpura were significantly higher than those of the E− plants, regardless of whether the plant was parasitic or not (Figure 6a–d, p < 0.05).
The endophytic fungal infection status of S. purpurea and the parasitic density of P. kansuensis were significantly affected by the total carbon content in the stems, leaves, and roots of P. kansuensis (Table 4, p < 0.01). Specifically, the total carbon content of the stems, leaves, and roots of P. kansuensis was significantly influenced by the interaction between the endophytic fungal infection status of S. purpurea and the parasitic density of P. kansuensis (Table 4, p < 0.05). The total carbon contents of the stems, leaves, and roots of P. kansuensis increased as the density of P. kansuensis increased, irrespective of the presence of its host S. purpurea (Figure 7a,b). At the same time, the total carbon contents of the stems, leaves, and roots of the P. kansuensis parasiticum E+ S. purpurea were higher than those of the P. kansuensis parasiticum E− S. purpurea (Figure 7a,b), but the total carbon contents of the stems, leaves, and roots of the P. kansuensis parasiticum E− P. kansuensis were lower than those of P. kansuensis without a host (Figure 7a,b).

3.3. Effects of Endophyte Fungal Infection and P. kansuensis Parasitica on the Photosynthetic 13C Content of S. purpurea and P. kansuensis

Under root hemiparasitic stress, both endophytic fungal infection and the parasitic density of P. kansuensis had significant impacts on the leaf sheath, stem, leaves, roots, and overall photosynthetic 13C content (Table 5, p < 0.01). Specifically, the interaction between endophytic fungal infection and P. kansuensis parasitica had a significant impact on the photosynthetic 13C content in the leaf sheath, leaf, stem, and root of S. purpurea (Table 5, p < 0.05). With the increasing parasitic density of P. kansuensis, the photosynthetic 13C content in the leaves, stems, and overall structures of E+ and E− S. purpurea showed a decreasing trend, while the same content of the leaf sheath and root showed no significant change (Figure 8a–e). The photosynthetic 13C contents in the leaf sheath, stem, leaves, and overall structure of E+ S. purpurea were significantly higher compared to the corresponding values for E− plants (Figure 8a–e, p < 0.05).
The parasitic density and endophytic fungal infection status had significant effects on the 13C content of the stems, leaves, and overall photosynthesis transferred to S. purpurea and P. kansuensis (Table 6, p < 0.01), and the parasitic density had significant effects on the 13C content of roots photosynthesis transferred to S. purpurea and P. kansuensis (Table 6, p < 0.01). However, there was no effect on the photosynthetic 13C content of P. kansuensis that was transferred from the roots of S. purpurea (Table 6, p = 0.61). At the same time, the interaction of the endophytic fungal infection status of S. purpurea and the parasitic density of P. kansuensis had a significant effect on the photosynthetic 13C content of P. kansuensis that was transferred from the stems and leaves of S. purpurea (Table 6, p < 0.01). However, it was observed that the photosynthetic 13C content of the roots and overall structure of P. kansuensis did not show any significant changes when transferred from the stems and leaves of S. purpurea (Table 6, p > 0.05). However, as the parasitic density of P. kansuensis increased, there was a continuous increase in the 13C content of the stem leaves, roots, and overall photosynthesis of P. kansuensis transferred from S. purpurea (Figure 9a–c). The 13C content in the stems, leaves, roots, and overall photosynthetic structure of P. kansuensis that was transferred from E+ S. purpurea was higher than that of E− S. purpurea (Figure 9a–c).

3.4. Effects of Endophyte Fungal Infection and P. kansuensis Parasitica on the Photosynthetic 13C Allocation Rate of S. purpurea and P. kansuensis

The endophytic fungal infection and the density of P. kansuensis parasites had a significant impact on the allocation of photosynthetic 13C in the leaves, stems, leaf sheaths, and roots of S. purpurea when subjected to root hemiparasitic stress (Table 7, p < 0.05). Among these components, the interaction between endophytic fungal infection and the parasitic density of P. kansuensis had a significant effect on the photosynthetic 13C allocation rate in the leaves, stems, leaf sheath, and roots of S. purpurea (Table 7, p < 0.01). As the parasitic density of P. kansuensis increased, the photosynthetic 13C allocation rates of E+ and E− S. purpurea in the leaf sheath and roots exhibited an upward trend. However, there was no significant change in the photosynthetic 13C content in the leaves and stems (Figure 10a–d). Under the condition of P. kansuensis parasitism, the photosynthetic 13C allocation rate of E+ S. purpurea leaves was lower than that of E− S. purpurea. However, the rate of photosynthetic 13C allocation in E+ S. purpurea stems, leaf sheaths, and roots was higher than that of E− S. purpurea (Figure 10a–d). Under the condition of three-parasitic P. kansuensis, the photosynthetic 13C allocation rates of the leaves, leaf sheath, and roots of E+ S. purpurea were higher than those of E− S. purpurea, while the photosynthetic 13C allocation rate of the stems of E + S. purpurea was lower than that of E− S. purpurea (Figure 10a–d).
The endophytic fungal infection and the parasitic density of P. kansuensis had significant effects on the 13C carbon allocation rate of the stem leaves and roots of P. kansuensis (Table 8, p < 0.01). Among these effects, the endophytic fungal infection status of S. purpurea and the parasitic density of P. kansuensis had a significant interaction effect on the 13C allocation rate of the stem leaves and roots of P. kansuensis (Table 8, p < 0.01). As the parasitic density of P. kansuensis increased, the 13C allocation rate of the stem leaves of P. kansuensis continued to decrease, and the 13C allocation rate of the roots of P. kansuensis continued to increase (Figure 11a,b). At the same time, the 13C allocation rate of P. kansuensis stem leaves parasitic upon E+ S. purpurea was higher than that of E− plants (Figure 11a, p < 0.05). However, when the parasitic density was one, the 13C allocation rate of P. kansuensis roots parasitic upon E+ S. purpurea was lower than that of E− plants (Figure 11b, p < 0.05).

4. Discussion

Root parasite plants usually rob their hosts of water, carbohydrates, and nutrients to meet their own growth needs [7,38]. Numerous studies have demonstrated that root parasitic plants can negatively impact the growth characteristics of their host plants [39,40]. In our experiment, we observed that when P. kansuensis parasitized S. purpurea, there was a decrease in the leaf weight, stem weight, sheath weight, aboveground biomass, underground biomass, plant height, root length, and tillering number of S. purpurea (Figure 3a–h). Meanwhile, as the parasitic density of P. kansuensis increased, the inhibitory effect also increased gradually.
Some studies have suggested that endophytic fungi can enhance a plant’s ability to withstand both biotic and abiotic stresses [41,42,43]. In the context of root parasitic stress, our study revealed that E+ S. purpurea exhibited a greater leaf weight, stem weight, sheath weight, aboveground biomass, underground biomass, root length, and tillering number compared to E− plants (Figure 3a–h). In conclusion, we found that endophytic fungal infection can enhance the tolerance of S. purpurea to the root hemiparasitic stress caused by P. kansuensis. Furthermore, when P. kansuensis parasitized S. purpurea with an endophytic fungal infection, it had varying effects on the plant’s height, root length, aboveground biomass, and underground biomass.
It is worth noting that after P. kansuensis parasitized E+ S. purpurea, we observed that its stems and leaves easily withered, but new stems and leaves could be regrown. This could be due to the infection of endophytic fungi inhibiting P. kansuensis from getting nutrients from S. purpurea, thereby causing the living environment of P. kansuensis to deteriorate. However, in the case of P. kansuensis parasitized with E+ S. purpurea, its aboveground and underground biomasses were higher than those of P. kansuensis parasitized with E− S. purpurea (Figure 4c,d); the reason for this difference may be that the endophytic fungus infection may enhance the photosynthetic capacity of S. purpurea under stressful conditions. This can lead to the accumulation of more carbohydrates, which would enable S. purpurea and root parasitic plants to meet their growth requirements. Consequently, endophytic fungi help alleviate the root hemiparasitic damage caused by P. kansuensis on S. purpurea.
In this study, we found that when the parasitic density of P. kansuensis was varied, the aboveground, underground, and total biomasses of the E+ S. purpurea and P. kansuensis parasitism systems were higher compared to the E− S. purpurea and P. kansuensis parasitism systems. The results of this study suggest that endophytic fungi enhance the light capture capacity of the aboveground part of S. purpurea by influencing its growth characteristics. Additionally, endophytic fungi promote root growth and improve a plant’s ability to compete for nutrient absorption in the subsurface. By reducing the number of haustoria of P. kansuensis per unit area, the nutrient plunder from S. purpurea is minimized, resulting in an increased accumulation of dry matter in the host–parasitic plant system.
The process of plant growth is influenced by both material accumulation and physiological metabolism, which are, in turn, affected by plant photosynthesis. Approximately 90% of the materials required for plant growth are derived from organic compounds produced through photosynthesis, which typically have a carbon content ranging from 40 to 50% [44]. Photosynthetic carbon is the starting point of carbon metabolism in plants, which is the most important metabolic activity in the process of plant growth and development. This function mainly includes the assimilation of inorganic carbon (CO2) into organic carbon and the metabolic processes of carbohydrate transformation, transport, accumulation, and decomposition among different plant tissues [45,46]. Thus, the quantitative allocation and fixation of photosynthetic carbon is of great significance for studying the allocation of fixed carbon in plants, while also serving as an important means by which to analyze the influence of external factors on plant growth [46,47].
Parasitic plants use the root haustorium to establish a parasitic relationship with the host, and part of the carbohydrate produced by the host through photosynthesis is ingested by parasitic plants through phloem channels [7,48]. Studies have shown that root hemiparasitic plants can directly inhibit the photosynthetic metabolism of hosts and reduce their aboveground biomass [49,50,51,52]. In this study, with the increase in the parasitic density of P. kansuensis, the total carbon contents of the leaves, stems, and roots of S. purpurea decreased, and the total carbon contents of E+ S. purpurea leaves, stems, leaf sheaths, and roots were higher than those of E− plants (Figure 6a–d). This is consistent with Suryanarayanan et al.’s conclusion that endophytic fungi have a positive effect on the photosynthetic characteristics of plants [53]. In addition, with the increase in the density of P. kansuensis, the total carbon content of the stem leaves and roots of P. kansuensis increased, regardless of whether there was a host, and the total carbon contents of the stem leaves and roots of P. kansuensis parasitizing E+ S. purpurea were higher than those of P. kansuensis parasitica E− plants. However, the total carbon contents of the stem leaves and roots of P. kansuensis parasitica E− S. purpurea were lower than those of plants without a parasite (Figure 8a,b). On the one hand, the inhibition of photosynthesis in E− S. purpurea under root hemiparasitic stress could have led to a decrease in the carbon allocation absorbed by P. kansuensis. On the other hand, in the pot experiment, both S. purpurea and P. kansuensis may have competed for nutrients, resulting in insufficient nutrient availability for both species. In contrast, the host-free P. kansuensis could fully absorb the required nutrients.
Up to now, the positive effect of endophytic fungi on photosynthetic carbon fixation has been widely accepted [53], but its mechanism needs to be further explored. 13C pulse labeling can be used to study the distribution of photosynthetic carbon in plants at a certain period in time [47,54,55]. Therefore, 13C pulse labeling can be used to study the photosynthetic carbon allocation in the parasitic system established by host–parasite plants [37]. In this study, 13CO2 isotope labeling was used to quantitatively analyze the photosynthetic 13C amount and 13C allocation rate of P. kansuensis that was transferred from S. purpurea and the total carbon content of P. kansuensis. In our experiment, the stem photosynthetic 13C of high-density parasitic E+ S. purpurea was significantly higher compared to that of non-parasitic E+ plants (Figure 8b, p < 0.05), while that of low-density parasitic E+ S. purpurea was higher than that of non-parasitic E+ S. purpurea, although the differences were not significant (Figure 8b, p > 0.05). This may be the result of the transition from a mutualistic relationship to a competitive one between endophytic fungi and S. purpurea. Some studies have shown that endophytic fungi are most frequently distributed in the stem internode and leaf sheath [56], and the difference in the photosynthetic 13C in the stem and leaf sheath of E+ S. purpurea under different parasitic densities may be the result of different distribution densities of endophytic fungi. At the same time, compared with the high-density parasitism in P. kansuensis, carbon fixed by photosynthesis and carbohydrates formed by carbon cycling can meet the growth requirements of S. purpurea, endophytic fungi, and root parasitism plants. However, in our study, the carbon and carbohydrate synthesized from the stems and leaves of S. purpurea could not meet the above three requirements at the same time under the high-density parasitic stress of P. kansuensis. To maintain its normal growth, S. purpurea preferentially delivers more carbon and carbohydrates to the roots, which is consistent with the result that the root biomass of E+ S. purpurea was higher than that of E− S. purpurea under heavy root parasitic stress. This conclusion is also consistent with the survival strategy that plants preferentially distribute nutrients to the roots, through which they also obtain nutrient resources in the soil, under the condition of nutrient scarcity [57].
It Is worth noting that under conditions of heavy parasitism, the 13C allocation rates of the stem and root of E+ S. purpurea were lower than those of E− S. purpurea (Figure 10a–d, p > 0.05), although the differences were not significant. However, the photosynthetic 13C amounts in the stem and root of E+ S. purpurea were significantly higher compared to those of E− plants (Figure 8a–d, p < 0.05). These results indicate that the carbon metabolic efficiency of E+ S. purpurea is higher than that of E− plants under the condition of heavy parasitism of P. kansuensis, which further supports the idea that endophytic fungi can improve the photosynthetic capacity of host grasses and thus enhance the carbon utilization efficiency. Meanwhile, the photosynthetic 13C amounts in the stems, leaves, and whole plants of P. kansuensis that were transferred from E+ S. purpurea were higher than those transferred from E− S. purpurea, but there was no difference in the photosynthetic 13C amounts of P. kansuensis transferred from the roots (Figure 9a–c). Furthermore, the photosynthetic 13C allocation rate of P. kansuensis transferred from S. purpurea further supports the above view. Compared with P. kansuensis, which was parasitic upon E− S. purpurea, the photosynthetic allocation rate of 13C in the stem leaves of P. kansuensis parasitized by E+ S. purpurea was higher, but the photosynthetic allocation rate of 13C was significantly decreased when the roots were transferred from S. purpurea (Figure 11a,b). These results further indicate that endophytic fungi regulate the distribution ratio of photosynthetic 13C in the roots and stem leaves of P. kansuensis when transferred from S. purpurea in an environment of heavy parasitism. In other words, P. kansuensis’s stem leaves receive a preferential distribution of photosynthetic 13C, which makes the root’s primary source of carbon photosynthetic carbon, which is then used to offset the plant’s excessive uptake of S. purpurea’s carbohydrates. At the same time, the regulatory mechanism of photosynthetic carbon allocation by endophytic fungi on the transfer of P. kansuensis from S. purpurea could further explain why P. kansuensis accumulated more biomass when parasitized by E+ S. purpurea (Figure 4).

5. Conclusions

Our study shows that parasitism by P. kansuensis can inhibit the growth of S. purpurea, and the inhibitory effect increases with an increase in the parasitic density of P. kansuensis. Compared with the E− S. purpurea, the plant height, root length, and tiller number of the infected S. purpurea were significantly increased. The results indicate that endophytic fungal infection can increase the total carbon content of S. purpurea under root hemiparasitic stress. Meanwhile, the total carbon contents of stems, leaves, leaf sheathes, and roots were significantly inhibited by P. kansuensis parasitism, and this effect worsened with the increase in the parasitic density of P. kansuensis. However, endophytic fungal infection was able to increase the total carbon content of S. purpurea under parasitic stress. Under the heavy parasitism of P. kansuensis, the carbon metabolic efficiency of E+ S. purpurea was higher than that of E− plants. Finally, endophytic fungi regulate the distribution ratio of photosynthetic 13C in the roots and stem leaves of P. kansuensis transferred from S. purpurea, with a preference for distribution to the stem leaves of P. kansuensis. This study focused solely on the growth and carbon distribution of S. purpurea under the root parasitism stress caused by endophytic fungi; further research is needed to investigate the allocation of other elements such as nitrogen and phosphorus.

Author Contributions

Methodology, S.M., G.B., Y.L., X.F., X.W. and W.L.; Software, H.L.; Formal analysis, P.Z. and Y.L.; Investigation, X.F., H.L., J.M. and X.W.; Data curation, P.Z.; Writing—original draft, P.Z. and S.M.; Writing—review & editing, G.B.; Visualization, G.B.; Funding acquisition, G.B. All authors have read and agreed to the published version of the manuscript.

Funding

This study was financially supported by the basic research program of science and technology of Qinghai Province, China (2022-ZJ-715) and the Natural Science Foundation of China (Grants 32060398 and U21A20239).

Data Availability Statement

The original contributions presented in the study are included in the article. Further inquiries can be directed to the corresponding author.

Conflicts of Interest

The authors declare no conflict of interest.

References

  1. Arnold, A.E.; Maynard, Z.; Gilbert, G.S.; Coley, P.D.; Kursar, T.A. Are tropical fungal endophytes hyperdiverse. Ecol. Lett. 2000, 3, 267–274. [Google Scholar] [CrossRef]
  2. Christensen, M.J.; Bennett, R.J.; Ansari, H.A.; Koga, H.; Johnson, R.D.; Bryan, G.T.; Simpson, W.R.; Koolarrd, J.; Nickless, E.; Voisey, C.R. Epichloë endophytes grow by intercalary hyphal extension in elongation grass leaves. Fungal Genet. Biol. 2008, 45, 84–93. [Google Scholar] [CrossRef]
  3. Zabalgogeazcoa, Í.; Ciudad, A.G.; Aldan, V.D.; Criado, B.C. Effects of the infection by the fungal endophyte Epichloë festucae in the growth and nutrient content of Festuca rubra. Eur. J. Agron. 2006, 24, 374–384. [Google Scholar] [CrossRef]
  4. Li, A.R.; Smith, S.E.; Smith, F.A.; Guan, K.Y. Inoculation with arbuscular mycorrhizal fungi suppresses initiation of haustoria in the root hemiparasite Pedicularis tricolor. Ann. Bot. 2012, 109, 1075–1080. [Google Scholar] [CrossRef]
  5. Sui, X.L.; Li, A.R.; Chen, Y.; Guan, K.Y.; Zhuo, L.; Liu, Y.Y. Arbuscular mycorrhizal fungi: Potential biocontrol agents against the damaging root hemiparasite Pedicularis kansuensis? Mycorrhiza 2014, 24, 187–195. [Google Scholar] [CrossRef] [PubMed]
  6. Jiang, F.; Jeschke, W.D.; Hartung, W.; Cameron, D.D. Interactions between Rhinanthus minor and its hosts: A review of water, mineral nutrient and hormone flows and exchanges in the hemiparasitic association. Folia Geobot. 2010, 45, 369–385. [Google Scholar] [CrossRef]
  7. Joel, D.M.; Gressel, J.; Musselman, L.J. Parasitic Orobanchaceae; Springer: Berlin/Heidelberg, Germany, 2015. [Google Scholar]
  8. Westerman, P.R.; Hemerik, L.; van der Werf, W.; Stomph, T.J. Density-independent reproductive success of the hemiparasitic plant Striga hermonthica, despite positive and negative density-dependent phases. Ann. Appl. Biol. 2018, 172, 74–87. [Google Scholar] [CrossRef]
  9. Matthies, D. Interactions between a root hemiparasite and 27 different hosts: Growth, biomass allocation and plant architecture. Perspect. Plant Ecol. 2017, 24, 118–137. [Google Scholar] [CrossRef]
  10. Liu, Y.; Taxipulati, T.; Gong, Y.; Sui, X.; Wang, X.; Parent, S.E.; Hu, Y.; Guan, K. N-P fertilization inhibits growth of root hemiparasite Pedicularis kansuensis in natural grassland. Front. Plant Sci. 2017, 8, 2088. [Google Scholar] [CrossRef]
  11. Demey, A.; De Frenne, P.; Baeten, L.; Verstraeten, G.; Hermy, M.; Boeckx, P.; Verheyen, K. The effects of hemiparasitic plant removal on community structure and seedling establishment in semi-natural grasslands. J. Veg. Sci. 2015, 26, 409–420. [Google Scholar] [CrossRef]
  12. Ortiz-Bustos, C.M.; Perez-Bueno, M.L.; Barón, M.; Molinero-Ruiz, L. Use of bluE−green fluorescence and thermal imaging in the early detection of sunflower infection by the root parasitic weed Orobanche cumana Wallr. Front. Plant Sci. 2017, 8, 833. [Google Scholar] [CrossRef] [PubMed]
  13. Osman, N.Y.; Hamdani, M.S.; Oslan, S.N.; Zulperi, D.M.; Saidi, N.B. Biological Control Strategies of Purple Witchweed, Striga hermonthica: A Review. Pertanika J. Trop. Agric. Sci. 2023, 46, 177–195. [Google Scholar] [CrossRef]
  14. Degebasa, L.; Tessema, T.; Bekeko, Z.; Belete, K. Prevalence and Socioeconomic Impact of Striga (Striga hermonthica) in Sorghum Producing Areas of East and West Hararghe Zones, Oromia, Ethiopia. Int. J. Agron. 2022, 2022, 8402280. [Google Scholar] [CrossRef]
  15. David, O.G.; Ayangbenro, A.S.; Odhiambo, J.J.O.; Babalola, O.O. Striga hermonthica: A highly destructive pathogen in maize production. Environ. Chall. 2022, 8, 100590. [Google Scholar] [CrossRef]
  16. Zhang, G.; Li, Q.; Sun, S. Diversity and distribution of parasitic angiosperms in China. Ecol. Evol. 2018, 8, 4378–4386. [Google Scholar] [CrossRef]
  17. Wang, D.; Cui, B.; Duan, S.; Chen, J.; Fan, H.; Lu, B.; Zheng, J. Moving north in China: The habitat of Pedicularis kansuensis in the context of climate change. Sci. Total Environ. 2019, 697, 133979. [Google Scholar] [CrossRef] [PubMed]
  18. Liu, Y.; Hu, Y.; Yu, J.; Li, K.; Gao, G.; Wang, X. Study on harmfulness of Pedicularis myriophylla and its control measures. Arid. Zone Res. 2008, 25, 778–782, (In Chinese with English Abstract). [Google Scholar]
  19. Baoyu, Z.; Chonghui, M.; Guili, J.; Jinglong, W.; Hao, L. (Eds.) Directory of Poisonous and Injurious Plants in Natural Grassland of China; China Agricultural Science and Technology Press: Beijing, China, 2016; pp. 289–303. [Google Scholar]
  20. Li, H.L. A revision of the genus Pedicularis in China. Part I Proc. Acad. Nat. Sci. Phila. 1948, 100, 205–378. [Google Scholar]
  21. Song, Z.S. It is an urgent task to recover and comprehensively manage the garssland ecology of Bayingbuluke. Chin. J. Agric. Resour. Reg. Plan. 2006, 27, 21–25, (In Chinese with English Abstract). [Google Scholar] [CrossRef]
  22. Salonen, V.; Lammi, A. Effects of root hemiparasitic infection on host performance: Reduced flower size and increased flower asymmetry. Ecoscience 2001, 8, 185–190. [Google Scholar] [CrossRef]
  23. Matthies, D. Host-parasite relations in the root hemiparasite Melampyrum arvense. Flora 1995, 190, 383–394. [Google Scholar] [CrossRef]
  24. Rodenburg, J.; Bastiaans, L.; Kropff, M.J. Characterization of host tolerance to Striga hermonthica. Euphytica 2006, 147, 353–365. [Google Scholar] [CrossRef]
  25. Bernhard, R.H.; Jensen, J.E.; Andreasen, C. Prediction of yield loss caused by Orobanche spp. in carrot and pea crops based on the soil seedbank. Weed Res. 1998, 38, 191–197. [Google Scholar] [CrossRef]
  26. Salonen, V.; Vestberg, M.; Vauhkonen, M. The effect of host mycorrhizal status on host plant-parasitic plant interactions. Mycorrhiza 2001, 11, 95–100. [Google Scholar] [CrossRef]
  27. Bao, G.S.; Song, M.L.; Wang, Y.Q.; Saikkonen, K.; Li, C.J. Does Epichlo endophyte enhance host tolerance to root hemiparasite? Microb. Ecol. 2020, 82, 35–48. [Google Scholar] [CrossRef] [PubMed]
  28. Sui, X.L.; Zhang, T.; Tian, Y.T.; Xue, R.J.; Li, A.R. A neglected alliance in battles against parasitic plants: Arbuscular mycorrhizal and rhizobial symbioses alleviate damage to a legume host by root hemiparasitic Pedicularis species. New. Phytol. 2019, 221, 470–481. [Google Scholar] [CrossRef] [PubMed]
  29. Wang, J.; Hou, W.; Christensen, M.J.; Li, X.Z.; Xia, C.; Li, C.J.; Nan, Z.B. Role of Epichloë endophytes in improving host grass resistance ability and soil properties. J. Agric. Food Chem. 2020, 68, 6944–6955. [Google Scholar] [CrossRef]
  30. Bao, G.S.; Suetsugu, K.; Wang, H.S.; Yao, X.; Liu, L.; Ou, J.; Li, C.J. Effects of the hemiparasitic plant Pedicularis kansuensis on plant community structure in a degraded grassland. Ecol. Res. 2015, 30, 507–515. [Google Scholar] [CrossRef]
  31. Bao, G.S.; Li, C.J. lsolation and identification of endophytes infecting Stipapurpurea, a dominant grass in meadow the Qinghai-Tibet Plateau. Acta Prataculturae Sin. 2016, 25, 32–42, (In Chinese with English Abstract). [Google Scholar]
  32. Bao, G.; Song, M.; Wang, Y.; Yin, Y. Epichloë endophyte infection enhances the tolerance of Stipa purpurea to parasitic stress through the regulation of antioxidants and phytohormones. Plant Soil 2021, 466, 239–256. [Google Scholar] [CrossRef]
  33. Li, C.J.; Nan, Z.B.; Liu, Y.; Volk, H.P.; Dapprich, P. Methodology of endophyte detection of drunken horse grass (Achnatherum inebrians)// Proceedings of Hangzhou Joint Annual Meeting of Chinese Society of Plant Diseases and Fungi. Hangzhou Chin. Soc. Plant Pathol. 2008, 21–24, (In Chinese with English Abstract). [Google Scholar]
  34. Latch, G.C.M.; Christensen, M.J.; Samuels, G.J. Five endophytes of Lolium and Festuca in New Zealand. Mycotaxon 1984, 167, 338–342. [Google Scholar]
  35. Shymanovich, T.; Saari, S.; Lovin, M.E.; Jarmusch, A.K.; Jarmusch, S.A.; Musso, A.M.; Charlton, N.D.; Young, C.A.; Cech, N.B.; Stanley, H. Faeth Alkaloid variation among epichloid endophytes of sleepygrass (Achnatherum robustum) and consequences for resistance to insect herbivores. J. Chem. Ecol. 2015, 41, 93–104. [Google Scholar] [CrossRef] [PubMed]
  36. Skrzypek, G. Normalization procedures and reference material selection in stable HCNOS isotope analyses: An overview. Anal. Bioanal. Chem. 2013, 405, 2815–2823. [Google Scholar] [CrossRef]
  37. Li, S.X. Water and nutrient use between Indian sandalwood and host plants. Beijing Chin. Acad. For. 2015, 71–79, (In Chinese with English Abstract). [Google Scholar]
  38. Li, A.R.; Guan, K.Y.; Stonor, R.; Smith, S.E.; Smith, F.A. Direct and indirect influences of arbuscular mycorrhizal fungi on phosphorus uptake by two root hemiparasitic Pedicularis species: Do the fungal partners matter at low colonization levels? Ann. Bot. 2013, 112, 1089–1098. [Google Scholar] [CrossRef] [PubMed]
  39. Decleer, K.; Bonte, D.; Van Diggelen, R. The hemiparasite Pedicularis palustris: ‘Ecosystem engineer’ for fen-meadow restoration. J. Nat. Conserv. 2013, 21, 65–71. [Google Scholar] [CrossRef]
  40. Parker, C. Observations on the current status of Orobanche and Striga problems worldwide. Pest. Manag. Sci. Former. Pestic. Sci. 2009, 65, 453–459. [Google Scholar] [CrossRef]
  41. Song, Q.Y.; Nan, Z.B.; Gao, K.; Song, H.; Tian, P.; Zhang, X.X.; Li, C.J.; Xu, W.B.; Li, X.Z. Antifungal, phytotoxic, and cytotoxic activities of metabolites from Epichloë bromicola, a fungus obtained from Elymus tangutorum grass. J. Agric. Food Chem. 2015, 63, 8787–8792. [Google Scholar] [CrossRef]
  42. Afkhami, M.E.; McIntyre, P.J.; Strauss, S.Y. Mutualist-mediated effects on species range limits across large geographic scales. Ecol. Lett. 2014, 17, 1265–1273. [Google Scholar] [CrossRef]
  43. Wani, Z.A.; Ashraf, N.; Mohiuddin, T.; Riyaz-Ul-Hassan, S. Plant-endophyte symbiosis, an ecological perspective. Appl. Microbiol. Biotechnol. 2015, 99, 2955–2965. [Google Scholar] [CrossRef] [PubMed]
  44. Galiano, L.; Timofeeva, G.; Saurer, M.; Siegwolf, R.; Martínez-Vilalta, J.; Hommel, R.; Gessler, A. The fate of recently fixed carbon after drought release: Towards unravelling C storage regulation in Tilia platyphyllos and Pinus sylvestris. Plant Cell Environ. 2017, 40, 1711–1724. [Google Scholar] [CrossRef] [PubMed]
  45. Werner, C.; Gessler, A. Diel variations in the carbon isotope composition of respired CO2 and associated carbon sources: A review of dynamics and mechanisms. Biogeosciences 2011, 8, 2437–2459. [Google Scholar] [CrossRef]
  46. Brændholt, A.; Ibrom, A.; Ambus, P.; Larsen, K.S.; Pilegaard, K. Combining a Quantum Cascade Laser Spectrometer with an Automated Closed-Chamber System for δ13C Measurements of Forest Soil, Tree Stem and Tree Root CO2 Fluxes. Forests 2019, 10, 432. [Google Scholar] [CrossRef]
  47. Studer, M.; Siegwolf, R.; Abiven, S. Carbon transfer, partitioning and residence time in the plant-soil system: A comparison of two 13CO2 labelling techniques. Biogeosciences 2014, 11, 1637–1648. [Google Scholar] [CrossRef]
  48. Těšitel, J.; Lepš, J.; Vráblová, M.; Cameron, D.D. The role of heterotrophic carbon acquisition by the hemiparasitic plant Rhinanthus alectorolophus in seedling establishment in natural communities: A physiological perspective. New. Phytol. 2011, 192, 188–199. [Google Scholar] [CrossRef]
  49. Watling, J.R.; Press, M.C. Impacts of infection by parasitic angiosperms on host photosynthesis. Plant Biol. 2001, 3, 244–250. [Google Scholar] [CrossRef]
  50. Wicke, S.; Müller, K.F.; de Pamphilis, C.W.; Quandt, D.; Wickett, N.J.; Zhang, Y.; Renner, S.S.; Schneeweiss, G.M. Mechanisms of functional and physical genome reduction in photosynthetic and nonphotosynthetic parasitic plants of the broomrape family. Plant Cell 2013, 25, 3711–3725. [Google Scholar] [CrossRef]
  51. Lepš, J.; Těšitel, J. Root hemiparasites in productive communities should attack competitive host, and harm them to make regeneration gaps. J. Veg. Sci. 2015, 26, 407–408. [Google Scholar] [CrossRef]
  52. Shen, H.; Hong, L.; Ye, W.; Cao, H.; Wang, Z. The influence of the holoparasitic plant Cuscuta campestris on the growth and photosynthesis of its host Mikania micrantha. J. Exp. Bot. 2007, 58, 2929–2937. [Google Scholar] [CrossRef]
  53. Suryanarayanan, T.S.; Ayesha, M.S.; Shaanker, R.U. Leaf photosynthesis: Do endophytes have a say? Trends Plant Sci. 2022, 27, 968–970. [Google Scholar] [CrossRef]
  54. Kuzyakov, Y.; Domanski, G. Model for rhizodeposition and CO2 efflux from planted soil and its validation by 14C pulse labelling of ryegrass. Plant Soil 2002, 239, 87–102. [Google Scholar] [CrossRef]
  55. Johnson, D.; Leake, J.R.; Ostle, N.; Ineson, P.; Read, D.J. In situ 13CO2 pulsE−labelling of upland grassland demonstrates a rapid pathway of carbon flux from arbuscular mycorrhizal mycelia to the soil. New. Phytol. 2002, 153, 327–334. [Google Scholar] [CrossRef]
  56. Zhao, X.J.; Wang, P.; Li, X.Z.; Gu, L.J.; Li, C.J. Distribution characteristics of Epichloë endophyte in gramineous grasse. Pratacultural Sci. 2015, 32, 1206–1215, (In Chinese with English Abstract). [Google Scholar]
  57. Trachsel, S.; Kaeppler, S.M.; Brown, K.M.; Lynch, J.P. Maize root growth angles become steeper under low N conditions. Field Crops Res. 2013, 140, 18–31. [Google Scholar] [CrossRef]
Figure 1. Image of endophytic fungal hyphae of S. purpurea leaf sheath. Note: (a) is a hyphae image of the microscopic examination of the S. purpurea leaf sheath collected from natural grassland; (b) is a hyphae image of the microscopic examination of the seedlings’ leaf sheath of endophyte infection S. purpurea(E+) used in the experiments; (c) is an image of the microscopic examination of the seedlings’ leaf sheath of endophyte none-infection S. purpurea(E−) used in the experiments.
Figure 1. Image of endophytic fungal hyphae of S. purpurea leaf sheath. Note: (a) is a hyphae image of the microscopic examination of the S. purpurea leaf sheath collected from natural grassland; (b) is a hyphae image of the microscopic examination of the seedlings’ leaf sheath of endophyte infection S. purpurea(E+) used in the experiments; (c) is an image of the microscopic examination of the seedlings’ leaf sheath of endophyte none-infection S. purpurea(E−) used in the experiments.
Microorganisms 11 02761 g001
Figure 2. Schematic diagram of 13C−CO2 isotope labeling for root parasitized systems between S. purpurea and P. kansuensis.
Figure 2. Schematic diagram of 13C−CO2 isotope labeling for root parasitized systems between S. purpurea and P. kansuensis.
Microorganisms 11 02761 g002
Figure 3. Effects of P. kansuensis density and endophyte status on the growth of S. purpurea. Note: Data are the mean standard errors. Different capital letters indicate significant differences between different S. purpurea endophyte statuses at the same P. kansuensis density (p < 0.05). Different lowercase letters indicate significant differences between different P. kansuensis densities in the same S. purpurea endophyte state (p < 0.05). One hemiparasite indicates that one S. purpurea plant was parasitized by one P. kansuensis, three hemiparasites indicate that one S. purpurea plant was parasitized by three P. kansuensis, and “without parasite” indicates S. purpurea growing alone; (a) Effects of P. kansuensis density and endophyte status on the dry weight of leaf of S. purpurea; (b) Effects of P. kansuensis density and endophyte status on the dry weight of stem of S. purpurea; (c) Effects of P. kansuensis density and endophyte status on the dry weight of leaf sheath of S. purpurea; (d) Effects of P. kansuensis density and endophyte status on the plant height of S. purpurea; (e) Effects of P. kansuensis density and endophyte status on the root length of S. purpurea; (f) Effects of P. kansuensis density and endophyte status on the tiller number of S. purpurea; (g) Effects of P. kansuensis density and endophyte status on the aboveground biomass of S. purpurea; (h) Effects of P. kansuensis density and endophyte status on the underground biomass of S. purpurea.
Figure 3. Effects of P. kansuensis density and endophyte status on the growth of S. purpurea. Note: Data are the mean standard errors. Different capital letters indicate significant differences between different S. purpurea endophyte statuses at the same P. kansuensis density (p < 0.05). Different lowercase letters indicate significant differences between different P. kansuensis densities in the same S. purpurea endophyte state (p < 0.05). One hemiparasite indicates that one S. purpurea plant was parasitized by one P. kansuensis, three hemiparasites indicate that one S. purpurea plant was parasitized by three P. kansuensis, and “without parasite” indicates S. purpurea growing alone; (a) Effects of P. kansuensis density and endophyte status on the dry weight of leaf of S. purpurea; (b) Effects of P. kansuensis density and endophyte status on the dry weight of stem of S. purpurea; (c) Effects of P. kansuensis density and endophyte status on the dry weight of leaf sheath of S. purpurea; (d) Effects of P. kansuensis density and endophyte status on the plant height of S. purpurea; (e) Effects of P. kansuensis density and endophyte status on the root length of S. purpurea; (f) Effects of P. kansuensis density and endophyte status on the tiller number of S. purpurea; (g) Effects of P. kansuensis density and endophyte status on the aboveground biomass of S. purpurea; (h) Effects of P. kansuensis density and endophyte status on the underground biomass of S. purpurea.
Microorganisms 11 02761 g003
Figure 4. Effects of the P. kansuensis density and endophyte status of S. purpurea on the growth of P. kansuensis. Note: Data are the mean standard errors. Different capital letters indicate significant differences between the different P. kansuensis densities in the same S. purpurea endophyte state (p < 0.05); different lowercase letters indicate significant differences between the different S. purpurea endophyte states at the same P. kansuensis density (p < 0.05). NH indicates that P. kansuensis was not grown with S. purpurea; (a) Effects of the P. kansuensis density and endophyte status of S. purpurea on the plant height of P. kansuensis; (b) Effects of the P. kansuensis density and endophyte status of S. purpurea on the root length of P. kansuensis; (c) Effects of the P. kansuensis density and endophyte status of S. purpurea on the aboveground biomass of P. kansuensis; (d) Effects of the P. kansuensis density and endophyte status of S. purpurea on the underground biomass of P. kansuensis.
Figure 4. Effects of the P. kansuensis density and endophyte status of S. purpurea on the growth of P. kansuensis. Note: Data are the mean standard errors. Different capital letters indicate significant differences between the different P. kansuensis densities in the same S. purpurea endophyte state (p < 0.05); different lowercase letters indicate significant differences between the different S. purpurea endophyte states at the same P. kansuensis density (p < 0.05). NH indicates that P. kansuensis was not grown with S. purpurea; (a) Effects of the P. kansuensis density and endophyte status of S. purpurea on the plant height of P. kansuensis; (b) Effects of the P. kansuensis density and endophyte status of S. purpurea on the root length of P. kansuensis; (c) Effects of the P. kansuensis density and endophyte status of S. purpurea on the aboveground biomass of P. kansuensis; (d) Effects of the P. kansuensis density and endophyte status of S. purpurea on the underground biomass of P. kansuensis.
Microorganisms 11 02761 g004
Figure 5. Effect of S. purpurea endophyte status on the number of haustoria per unit area of parasitic systems of S. purpurea and P. kansuensis. Note: The number of P. kansuensis haustoria is based on the body microscope (OlyMPUS DP74); a root scanner (model EPSON7500, a resolution of 400 BPI) was used to scan the fresh purple flower needle and the root surface area; the number of P. kansuensis haustoria per unit area is the ratio of the number of haustoria of P. kansuensis to the basis of the root surface area. Data are the mean standard errors. Different capital letters indicate significant differences between different S. purpurea endophyte statuses at the same P. kansuensis density (p < 0.05). Different lowercase letters indicate significant differences between different P. kansuensis densities in the same S. purpurea endophyte state (p < 0.05).
Figure 5. Effect of S. purpurea endophyte status on the number of haustoria per unit area of parasitic systems of S. purpurea and P. kansuensis. Note: The number of P. kansuensis haustoria is based on the body microscope (OlyMPUS DP74); a root scanner (model EPSON7500, a resolution of 400 BPI) was used to scan the fresh purple flower needle and the root surface area; the number of P. kansuensis haustoria per unit area is the ratio of the number of haustoria of P. kansuensis to the basis of the root surface area. Data are the mean standard errors. Different capital letters indicate significant differences between different S. purpurea endophyte statuses at the same P. kansuensis density (p < 0.05). Different lowercase letters indicate significant differences between different P. kansuensis densities in the same S. purpurea endophyte state (p < 0.05).
Microorganisms 11 02761 g005
Figure 6. Effects of P. kansuensis density and endophyte status on the total carbon content of leaves, stems, leaf sheaths, and roots of S. purpurea. Note: Data are the mean standard errors. Different capital letters indicate significant differences between different S. purpurea endophyte statuses at the same P. kansuensis density (p < 0.05). Different lowercase letters indicate significant differences between different P. kansuensis densities in the same S. purpurea endophyte state (p < 0.05). One hemiparasite indicates that one S. purpurea plant was parasitized by one P. kansuensis, three hemiparasites indicate that one S. purpurea plant was parasitized by three P. kansuensis, and “without parasite” indicates S. purpurea growing alone; (a) Effects of P. kansuensis density and endophyte status on the total carbon content of leaves of S. purpurea; (b) Effects of P. kansuensis density and endophyte status on the the total carbon content of stems of S. purpurea; (c) Effects of P. kansuensis density and endophyte status on the the total carbon content of leaf sheaths of S. purpurea; (d) Effects of P. kansuensis density and endophyte status on the total carbon content of roots of S. purpurea.
Figure 6. Effects of P. kansuensis density and endophyte status on the total carbon content of leaves, stems, leaf sheaths, and roots of S. purpurea. Note: Data are the mean standard errors. Different capital letters indicate significant differences between different S. purpurea endophyte statuses at the same P. kansuensis density (p < 0.05). Different lowercase letters indicate significant differences between different P. kansuensis densities in the same S. purpurea endophyte state (p < 0.05). One hemiparasite indicates that one S. purpurea plant was parasitized by one P. kansuensis, three hemiparasites indicate that one S. purpurea plant was parasitized by three P. kansuensis, and “without parasite” indicates S. purpurea growing alone; (a) Effects of P. kansuensis density and endophyte status on the total carbon content of leaves of S. purpurea; (b) Effects of P. kansuensis density and endophyte status on the the total carbon content of stems of S. purpurea; (c) Effects of P. kansuensis density and endophyte status on the the total carbon content of leaf sheaths of S. purpurea; (d) Effects of P. kansuensis density and endophyte status on the total carbon content of roots of S. purpurea.
Microorganisms 11 02761 g006
Figure 7. Effects of P. kansuensis density and endophyte status on the total carbon content of the stems, leaves, and roots of P. kansuensis. Note: Data are the mean standard errors. Different capital letters indicate significant differences between the different P. kansuensis densities in the same S. purpurea endophyte state (p < 0.05). Different lowercase letters indicate significant differences between the different S. purpurea endophyte states at the same P. kansuensis density (p < 0.05). NH indicates that P. kansuensis was not grown with S. purpurea; (a) Effects of P. kansuensis density and endophyte status on the total carbon content of leaves of P. kansuensis; (b) Effects of P. kansuensis density and endophyte status on the the total carbon content of stems of P. kansuensis.
Figure 7. Effects of P. kansuensis density and endophyte status on the total carbon content of the stems, leaves, and roots of P. kansuensis. Note: Data are the mean standard errors. Different capital letters indicate significant differences between the different P. kansuensis densities in the same S. purpurea endophyte state (p < 0.05). Different lowercase letters indicate significant differences between the different S. purpurea endophyte states at the same P. kansuensis density (p < 0.05). NH indicates that P. kansuensis was not grown with S. purpurea; (a) Effects of P. kansuensis density and endophyte status on the total carbon content of leaves of P. kansuensis; (b) Effects of P. kansuensis density and endophyte status on the the total carbon content of stems of P. kansuensis.
Microorganisms 11 02761 g007
Figure 8. Effects of P. kansuensis density and endophyte status on the leaves, stems, sheath, root, and total photosynthetic 13C content of S. purpurea. Note: Data are the mean standard errors. Different capital letters indicate significant differences between different S. purpurea endophyte statuses at the same P. kansuensis density (p < 0.05). Different lowercase letters indicate significant differences between different P. kansuensis densities in the same S. purpurea endophyte state (p < 0.05). One hemiparasite indicates that one S. purpurea plant was parasitized by one P. kansuensis, three hemiparasites indicate that one S. purpurea plant was parasitized by three P. kansuensis, and “without parasite” indicates S. purpurea growing alone; (a) Effects of P. kansuensis density and endophyte status on the leaves photosynthetic 13C content of S. purpurea; (b) Effects of P. kansuensis density and endophyte status on the stems photosynthetic 13C content of S. purpurea; (c) Effects of P. kansuensis density and endophyte status on the sheath photosynthetic 13C content of S. purpurea; (d) Effects of P. kansuensis density and endophyte status on the root photosynthetic 13C content of S. purpurea; (e) Effects of P. kansuensis density and endophyte status on the total photosynthetic 13C content of S. purpurea.
Figure 8. Effects of P. kansuensis density and endophyte status on the leaves, stems, sheath, root, and total photosynthetic 13C content of S. purpurea. Note: Data are the mean standard errors. Different capital letters indicate significant differences between different S. purpurea endophyte statuses at the same P. kansuensis density (p < 0.05). Different lowercase letters indicate significant differences between different P. kansuensis densities in the same S. purpurea endophyte state (p < 0.05). One hemiparasite indicates that one S. purpurea plant was parasitized by one P. kansuensis, three hemiparasites indicate that one S. purpurea plant was parasitized by three P. kansuensis, and “without parasite” indicates S. purpurea growing alone; (a) Effects of P. kansuensis density and endophyte status on the leaves photosynthetic 13C content of S. purpurea; (b) Effects of P. kansuensis density and endophyte status on the stems photosynthetic 13C content of S. purpurea; (c) Effects of P. kansuensis density and endophyte status on the sheath photosynthetic 13C content of S. purpurea; (d) Effects of P. kansuensis density and endophyte status on the root photosynthetic 13C content of S. purpurea; (e) Effects of P. kansuensis density and endophyte status on the total photosynthetic 13C content of S. purpurea.
Microorganisms 11 02761 g008
Figure 9. Effects of the P. kansuensis density and endophyte status on the 13C content of the stem leaves, roots, and total plant of P. kansuensis. Note: Data are the mean standard errors. Different capital letters indicate significant differences between different S. purpurea endophyte statuses at the same P. kansuensis density (p < 0.05); Different lowercase letters indicate significant differences between different P. kansuensis densities in the same S. purpurea endophyte state (p < 0.05); (a) Effects of P. kansuensis density and endophyte status on the stem leaves photosynthetic 13C content of S. purpurea; (b) Effects of P. kansuensis density and endophyte status on the roots photosynthetic 13C content of S. purpurea; (c) Effects of P. kansuensis density and endophyte status on the total photosynthetic 13C content of S. purpurea.
Figure 9. Effects of the P. kansuensis density and endophyte status on the 13C content of the stem leaves, roots, and total plant of P. kansuensis. Note: Data are the mean standard errors. Different capital letters indicate significant differences between different S. purpurea endophyte statuses at the same P. kansuensis density (p < 0.05); Different lowercase letters indicate significant differences between different P. kansuensis densities in the same S. purpurea endophyte state (p < 0.05); (a) Effects of P. kansuensis density and endophyte status on the stem leaves photosynthetic 13C content of S. purpurea; (b) Effects of P. kansuensis density and endophyte status on the roots photosynthetic 13C content of S. purpurea; (c) Effects of P. kansuensis density and endophyte status on the total photosynthetic 13C content of S. purpurea.
Microorganisms 11 02761 g009
Figure 10. Effects of P. kansuensis density and endophyte status on the 13C allocation rate of the leaves, stems, leaf sheaths, and roots of S. purpurea. Note: Data are the mean standard errors. Different capital letters indicate significant differences between different S. purpurea endophyte statuses at the same P. kansuensis density (p < 0.05); Different lowercase letters indicate significant differences between different P. kansuensis densities in the same S. purpurea endophyte state (p < 0.05). One hemiparasite indicates that one S. purpurea plant was parasitized by one P. kansuensis, three hemiparasites indicate that one S. purpurea plant was parasitized by three P. kansuensis, and “without parasite” indicates S. purpurea growing alone; (a) Effects of P. kansuensis density and endophyte status on the 13C allocation rate of the leaves of S. purpurea; (b) Effects of P. kansuensis density and endophyte status on the 13C allocation rate of the stems of S. purpurea; (c) Effects of P. kansuensis density and endophyte status on the 13C allocation rate of the leaf sheaths of S. purpurea; (d) Effects of P. kansuensis density and endophyte status on the 13C allocation rate of roots of S. purpurea.
Figure 10. Effects of P. kansuensis density and endophyte status on the 13C allocation rate of the leaves, stems, leaf sheaths, and roots of S. purpurea. Note: Data are the mean standard errors. Different capital letters indicate significant differences between different S. purpurea endophyte statuses at the same P. kansuensis density (p < 0.05); Different lowercase letters indicate significant differences between different P. kansuensis densities in the same S. purpurea endophyte state (p < 0.05). One hemiparasite indicates that one S. purpurea plant was parasitized by one P. kansuensis, three hemiparasites indicate that one S. purpurea plant was parasitized by three P. kansuensis, and “without parasite” indicates S. purpurea growing alone; (a) Effects of P. kansuensis density and endophyte status on the 13C allocation rate of the leaves of S. purpurea; (b) Effects of P. kansuensis density and endophyte status on the 13C allocation rate of the stems of S. purpurea; (c) Effects of P. kansuensis density and endophyte status on the 13C allocation rate of the leaf sheaths of S. purpurea; (d) Effects of P. kansuensis density and endophyte status on the 13C allocation rate of roots of S. purpurea.
Microorganisms 11 02761 g010
Figure 11. Effects of the P. kansuensis density and endophyte status of S. purpurea on the 13C allocation rate of the stem leaves, and roots of P. kansuensis. Note: Data are the mean standard errors. Different capital letters indicate significant differences between the different P. kansuensis densities in the same S. purpurea endophyte state (p < 0.05). Different lowercase letters indicate significant differences between the different S. purpurea endophyte states at the same P. kansuensis density (p < 0.05). NH indicates that P. kansuensis was not grown with S. purpurea; (a) Effects of P. kansuensis density and endophyte status on the 13C allocation rate of the stem leaves of P. kansuensis; (b) Effects of P. kansuensis density and endophyte status on the 13C allocation rate of the roots of P. kansuensis.
Figure 11. Effects of the P. kansuensis density and endophyte status of S. purpurea on the 13C allocation rate of the stem leaves, and roots of P. kansuensis. Note: Data are the mean standard errors. Different capital letters indicate significant differences between the different P. kansuensis densities in the same S. purpurea endophyte state (p < 0.05). Different lowercase letters indicate significant differences between the different S. purpurea endophyte states at the same P. kansuensis density (p < 0.05). NH indicates that P. kansuensis was not grown with S. purpurea; (a) Effects of P. kansuensis density and endophyte status on the 13C allocation rate of the stem leaves of P. kansuensis; (b) Effects of P. kansuensis density and endophyte status on the 13C allocation rate of the roots of P. kansuensis.
Microorganisms 11 02761 g011
Table 1. Two-way ANOVA results for the effect of the endophyte fungal infection status (E) and parasitic density of the P. kansuensis (P) on the biomass (including the dry weight of the leaf sheath, stem, and leave), plant height, root length, and tiller number of S. purpurea.
Table 1. Two-way ANOVA results for the effect of the endophyte fungal infection status (E) and parasitic density of the P. kansuensis (P) on the biomass (including the dry weight of the leaf sheath, stem, and leave), plant height, root length, and tiller number of S. purpurea.
Plant Growth CharacteristicsTreatmentsdfFp
Dry weight of leafEndophyte fungal infection status (E)11349.82<0.01
Parasitic density (P)2495.07<0.01
E × P246.38<0.01
Dry weight of stemEndophyte fungal infection status (E)1583.64<0.01
Parasitic density (P)2754.09<0.01
E × P2110.38<0.01
Dry weight of leaf sheathEndophyte fungal infection status (E)1268.13<0.01
Parasitic density (P)219.92<0.01
E × P216.01<0.01
Plant heightEndophyte fungal infection status (E)113.16<0.01
Parasitic density (P)217.85<0.01
E × P20.610.56
Root lengthEndophyte fungal infection status (E)144.42<0.01
Parasitic density (P)235.42<0.01
E × P26.79<0.05
Tiller numberEndophyte fungal infection status (E)129.17<0.01
Parasitic density (P)222.62<0.01
E × P26.62<0.05
Aboveground biomassEndophyte fungal infection status (E)12516.90<0.01
Parasitic density (P)21060.58<0.01
E × P2136.99<0.01
Underground biomassEndophyte fungal infection status (E)1321.32<0.01
Parasitic density (P)296.93<0.01
E × P29.75<0.01
Table 2. Two-way ANOVA results of the effects of the P. kansuensis parasitic density (P) and endophyte fungal infection status of S. purpurea (E) on the plant height, root length, aboveground biomass, and underground biomass of P. kansuensis.
Table 2. Two-way ANOVA results of the effects of the P. kansuensis parasitic density (P) and endophyte fungal infection status of S. purpurea (E) on the plant height, root length, aboveground biomass, and underground biomass of P. kansuensis.
TreatmentsdfPlant HeightRoot LengthAboveground BiomassUnderground Biomass
FpFpFpFp
Endophyte fungal infection status (E)11.340.3063.90<0.0182.18<0.01109.51<0.01
Parasitic density (P)20.870.352.590.13423.85<0.011220.92<0.01
E × P23.480.060.140.875.940.0218.36<0.01
Table 3. Two-way ANOVA results for the effect of the E endophyte fungal infection status (E) and parasitic density of the P. kansuensis (P) on the total carbon content of the leaves, stems, leaf sheaths, and roots of S. purpurea.
Table 3. Two-way ANOVA results for the effect of the E endophyte fungal infection status (E) and parasitic density of the P. kansuensis (P) on the total carbon content of the leaves, stems, leaf sheaths, and roots of S. purpurea.
TreatmentsdfTotal Carbon Content of LeavesTotal Carbon Content of StemsTotal Carbon Content of Leaf SheathsTotal Carbon Content of Roots
FpFpFpFp
Endophyte fungal infection status (E)11182.32<0.01600.50<0.01279.50<0.01254.72<0.01
Parasitic density (P)2388.75<0.01716.82<0.0118.85<0.0150.27<0.01
E × P230.79<0.01107.20<0.0115.97<0.015.060.025
Table 4. Two-way ANOVA results of the effects of the endophyte fungal infection status (E) and parasitic density of the P. kansuensis (P) on the total carbon content of the stems, leaves, and roots of the P. kansuensis.
Table 4. Two-way ANOVA results of the effects of the endophyte fungal infection status (E) and parasitic density of the P. kansuensis (P) on the total carbon content of the stems, leaves, and roots of the P. kansuensis.
TreatmentsdfTotal Carbon Content of Stems and LeavesTotal Carbon Content of Roots
FpFp
Endophyte fungal infection status (E)1477.69<0.011016.22<0.01
Parasitic density (P)281.78<0.0184.06<0.01
E × P26.040.01521.20<0.01
Table 5. Two-way ANOVA results of the effect of the endophyte fungal infection status (E) and parasitic density of the P. kansuensis (P) on the photosynthetic 13C content of the leaves, stems, leaf sheaths, and roots of S. purpurea.
Table 5. Two-way ANOVA results of the effect of the endophyte fungal infection status (E) and parasitic density of the P. kansuensis (P) on the photosynthetic 13C content of the leaves, stems, leaf sheaths, and roots of S. purpurea.
TreatmentsdfLeaf Photosynthetic 13C ContentStem Photosynthetic 13C ContentLeaf Sheath Photosynthetic 13C ContentRoot Photosynthetic 13C ContentTotal Photosynthetic 13C Content
FpFpFpFpFp
Endophyte fungal infection status (E)1267.43<0.01150.31<0.01495.90<0.0124.53<0.01444.19<0.01
Parasitic density (P)22182.23<0.0179.94<0.0154.22<0.01179.63<0.011375.84<0.01
E × P214.850.0118.84<0.0147.59<0.0189.94<0.015.660.019
Table 6. Results of the two-way ANOVA showing the effects of the endophyte fungal infection status (E) and parasitic density of the P. kansuensis (P) on the 13C content of the stem leaves, roots, and total plant of the P. kansuensis.
Table 6. Results of the two-way ANOVA showing the effects of the endophyte fungal infection status (E) and parasitic density of the P. kansuensis (P) on the 13C content of the stem leaves, roots, and total plant of the P. kansuensis.
TreatmentsdfStem Leaf 13C ContentRoot 13C ContentTotal 13C Content
FpFpFp
Endophyte fungal infection status (E)148.49<0.01202.27<0.01223.97<0.01
Parasitic density (P)1105.40<0.010.290.6188.59<0.01
E × P112.08<0.010.040.8510.210.01
Table 7. Two-way ANOVA results for the effect of the endophyte fungal infection status (E) and parasitic density of the P. kansuensis (P) on the 13C allocation rate of the leaves, stems, leaf sheaths, and roots of S. purpurea.
Table 7. Two-way ANOVA results for the effect of the endophyte fungal infection status (E) and parasitic density of the P. kansuensis (P) on the 13C allocation rate of the leaves, stems, leaf sheaths, and roots of S. purpurea.
TreatmentsdfLeaf 13C Allocation RateStem 13C Allocation RateLeaf Sheath 13C Allocation RateRoot 13C Allocation Rate
FpFpFpFp
Endophyte fungal infection status (E)113.53<0.019.67<0.01127.03<0.015.110.04
Parasitic density (P)2172.25<0.0194.16<0.01188.24<0.01174.49<0.01
E × P235.68<0.0120.30<0.0130.85<0.0115.13<0.01
Table 8. Results of the two-way ANOVA showing the effects of the endophyte fungal infection status (E) and parasitic density of the P. kansuensis (P) on the 13C allocation rate of the stem leaf and root of the P. kansuensis.
Table 8. Results of the two-way ANOVA showing the effects of the endophyte fungal infection status (E) and parasitic density of the P. kansuensis (P) on the 13C allocation rate of the stem leaf and root of the P. kansuensis.
TreatmentsdfStem Leaf 13C Allocation RateRoot 13C Allocation Rate
FpFp
Endophyte fungal infection status (E)194.36<0.0194.36<0.01
Parasitic density (P)214.51<0.0114.51<0.01
E × P243.11<0.0143.11<0.01
Disclaimer/Publisher’s Note: The statements, opinions and data contained in all publications are solely those of the individual author(s) and contributor(s) and not of MDPI and/or the editor(s). MDPI and/or the editor(s) disclaim responsibility for any injury to people or property resulting from any ideas, methods, instructions or products referred to in the content.

Share and Cite

MDPI and ACS Style

Zhang, P.; Meng, S.; Bao, G.; Li, Y.; Feng, X.; Lu, H.; Ma, J.; Wei, X.; Liu, W. Effect of Epichloë Endophyte on the Growth and Carbon Allocation of Its Host Plant Stipa purpurea under Hemiparasitic Root Stress. Microorganisms 2023, 11, 2761. https://doi.org/10.3390/microorganisms11112761

AMA Style

Zhang P, Meng S, Bao G, Li Y, Feng X, Lu H, Ma J, Wei X, Liu W. Effect of Epichloë Endophyte on the Growth and Carbon Allocation of Its Host Plant Stipa purpurea under Hemiparasitic Root Stress. Microorganisms. 2023; 11(11):2761. https://doi.org/10.3390/microorganisms11112761

Chicago/Turabian Style

Zhang, Peng, Siyu Meng, Gensheng Bao, Yuan Li, Xiaoyun Feng, Hainian Lu, Jingjuan Ma, Xiaoxing Wei, and Wenhui Liu. 2023. "Effect of Epichloë Endophyte on the Growth and Carbon Allocation of Its Host Plant Stipa purpurea under Hemiparasitic Root Stress" Microorganisms 11, no. 11: 2761. https://doi.org/10.3390/microorganisms11112761

APA Style

Zhang, P., Meng, S., Bao, G., Li, Y., Feng, X., Lu, H., Ma, J., Wei, X., & Liu, W. (2023). Effect of Epichloë Endophyte on the Growth and Carbon Allocation of Its Host Plant Stipa purpurea under Hemiparasitic Root Stress. Microorganisms, 11(11), 2761. https://doi.org/10.3390/microorganisms11112761

Note that from the first issue of 2016, this journal uses article numbers instead of page numbers. See further details here.

Article Metrics

Back to TopTop