Detection of Viable but Non-Culturable (VBNC)-Campylobacter in the Environment of Broiler Farms: Innovative Insights Delivered by Propidium Monoazide (PMA)-v-qPCR Analysis
Abstract
1. Introduction
2. Materials and Methods
2.1. Study Design
2.2. Sampling and Pre-Treatment
2.2.1. Field Trial
2.2.2. Experimental Trial 1
2.2.3. Experimental Trial 2
2.3. Inoculation Strain and Growth Conditions
2.4. Cultivation Methods for the Studies
2.5. Determination of VBNC Campylobacter with qPCR
2.6. Statistical Analysis
3. Results
3.1. Field Trial
3.2. Experimental Trial 1
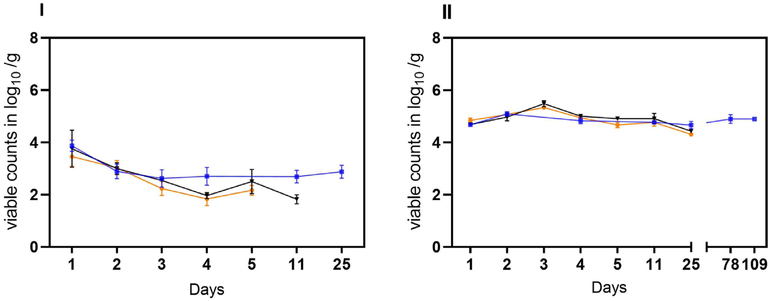
3.3. Experimental Trial 2
4. Discussion
4.1. VBNC Campylobacter in the Environment of Broiler Farms (Field Trial)
4.2. VBNC Campylobacter in Naturally Contaminated Chicken Manure (Experimental Trial 1)
4.3. Persistence and Transformation of Campylobacter (Experimental Trial 2)
4.4. VBNC Campylobacter in Diverse Environmental Matrices
5. Conclusions
Author Contributions
Funding
Data Availability Statement
Acknowledgments
Conflicts of Interest
References
- European Food Safety Authority; European Centre for Disease Prevention and Control. The European Union One Health 2021 Zoonoses Report. EFSA J. 2022, 20, e07666. [Google Scholar] [CrossRef]
- Lin, J. Novel approaches for Campylobacter control in poultry. Foodborne Pathog. Dis. 2009, 6, 755–765. [Google Scholar] [CrossRef] [PubMed]
- Skarp, C.P.A.; Hänninen, M.L.; Rautelin, H.I.K. Campylobacteriosis: The role of poultry meat. Clin. Microbiol. Infect. 2016, 22, 103–109. [Google Scholar] [CrossRef] [PubMed]
- Reichelt, B.; Szott, V.; Epping, L.; Semmler, T.; Merle, R.; Roesler, U.; Friese, A. Transmission pathways of Campylobacter spp. at broiler farms and their environment in Brandenburg, Germany. Front. Microbiol. 2022, 13, 982693. [Google Scholar] [CrossRef] [PubMed]
- Hazards, E.P.o.B. Scientific Opinion on Campylobacter in broiler meat production: Control options and performance objectives and/or targets at different stages of the food chain. EFSA J. 2011, 9, 2105. [Google Scholar] [CrossRef]
- Popa, S.A.; Morar, A.; Ban-Cucerzan, A.; Tîrziu, E.; Herman, V.; Sallam, K.I.; Morar, D.; Acaroz, U.; Imre, M.; Florea, T.; et al. Occurrence of Campylobacter spp. and Phenotypic Antimicrobial Resistance Profiles of Campylobacter jejuni in Slaughtered Broiler Chickens in North-Western Romania. Antibiotics 2022, 11, 1713. [Google Scholar]
- Bull, S.A.; Allen, V.M.; Domingue, G.; Jorgensen, F.; Frost, J.A.; Ure, R.; Whyte, R.; Tinker, D.; Corry, J.E.; Gillard-King, J.; et al. Sources of Campylobacter spp. colonizing housed broiler flocks during rearing. Appl. Environ. Microbiol. 2006, 72, 645–652. [Google Scholar] [CrossRef]
- Ridley, A.M.; Morris, V.K.; Cawthraw, S.A.; Ellis-Iversen, J.; Harris, J.A.; Kennedy, E.M.; Newell, D.G.; Allen, V.M. Longitudinal molecular epidemiological study of thermophilic campylobacters on one conventional broiler chicken farm. Appl. Environ. Microbiol. 2011, 77, 98–107. [Google Scholar] [CrossRef]
- Thakur, S.; Brake, J.; Keelara, S.; Zou, M.; Susick, E. Farm and environmental distribution of Campylobacter and Salmonella in broiler flocks. Res. Vet. Sci. 2013, 94, 33–42. [Google Scholar] [CrossRef]
- Hertogs, K.; Haegeman, A.; Schaumont, D.; Gelaude, P.; De Zutter, L.; Dewulf, J.; Heyndrickx, M.; Rasschaert, G. Contamination Sources and Transmission Routes for Campylobacter on (Mixed) Broiler Farms in Belgium, and Comparison of the Gut Microbiota of Flocks Colonized and Uncolonized with Campylobacter. Pathogens 2021, 10, 66. [Google Scholar] [CrossRef]
- Baffone, W.; Casaroli, A.; Citterio, B.; Pierfelici, L.; Campana, R.; Vittoria, E.; Guaglianone, E.; Donelli, G. Campylobacter jejuni loss of culturability in aqueous microcosms and ability to resuscitate in a mouse model. Int. J. Food Microbiol. 2006, 107, 83–91. [Google Scholar] [CrossRef] [PubMed]
- Klancnik, A.; Guzej, B.; Jamnik, P.; Vuckovic, D.; Abram, M.; Mozina, S.S. Stress response and pathogenic potential of Campylobacter jejuni cells exposed to starvation. Res. Microbiol. 2009, 160, 345–352. [Google Scholar] [CrossRef]
- Chaveerach, P.; ter Huurne, A.A.; Lipman, L.J.; van Knapen, F. Survival and resuscitation of ten strains of Campylobacter jejuni and Campylobacter coli under acid conditions. Appl. Environ. Microbiol. 2003, 69, 711–714. [Google Scholar] [CrossRef]
- Jackson, D.N.; Davis, B.; Tirado, S.M.; Duggal, M.; van Frankenhuyzen, J.K.; Deaville, D.; Wijesinghe, M.A.; Tessaro, M.; Trevors, J.T. Survival mechanisms and culturability of Campylobacter jejuni under stress conditions. Antonie Van Leeuwenhoek 2009, 96, 377–394. [Google Scholar] [CrossRef] [PubMed]
- Oh, E.; McMullen, L.; Jeon, B. Impact of oxidative stress defense on bacterial survival and morphological change in Campylobacter jejuni under aerobic conditions. Front. Microbiol. 2015, 6, 295. [Google Scholar] [CrossRef]
- Rollins, D.M.; Colwell, R.R. Viable but nonculturable stage of Campylobacter jejuni and its role in survival in the natural aquatic environment. Appl. Environ. Microbiol. 1986, 52, 531–538. [Google Scholar] [CrossRef] [PubMed]
- Josefsen, M.H.; Lofstrom, C.; Hansen, T.B.; Christensen, L.S.; Olsen, J.E.; Hoorfar, J. Rapid quantification of viable Campylobacter bacteria on chicken carcasses, using real-time PCR and propidium monoazide treatment, as a tool for quantitative risk assessment. Appl. Environ. Microbiol. 2010, 76, 5097–5104. [Google Scholar] [CrossRef] [PubMed]
- Duarte, A.; Botteldoorn, N.; Coucke, W.; Denayer, S.; Dierick, K.; Uyttendaele, M. Effect of exposure to stress conditions on propidium monoazide (PMA)-qPCR based Campylobacter enumeration in broiler carcass rinses. Food Microbiol. 2015, 48, 182–190. [Google Scholar] [CrossRef]
- Pacholewicz, E.; Swart, A.; Lipman, L.J.; Wagenaar, J.A.; Havelaar, A.H.; Duim, B. Propidium monoazide does not fully inhibit the detection of dead Campylobacter on broiler chicken carcasses by qPCR. J. Microbiol. Methods 2013, 95, 32–38. [Google Scholar] [CrossRef]
- Wulsten, I.F.; Galeev, A.; Stingl, K. Underestimated Survival of Campylobacter in Raw Milk Highlighted by Viability Real-Time PCR and Growth Recovery. Front. Microbiol. 2020, 11, 1107. [Google Scholar] [CrossRef]
- Santos, L.S.; Rossi, D.A.; Braz, R.F.; Fonseca, B.B.; Guidotti-Takeuchi, M.; Alves, R.N.; Beletti, M.E.; Almeida-Souza, H.O.; Maia, L.P.; Santos, P.S.; et al. Roles of viable but non-culturable state in the survival of Campylobacter jejuni. Front. Cell Infect. Microbiol. 2023, 13, 1122450. [Google Scholar] [CrossRef]
- Zhang, J.; Lu, X. Susceptibility of Campylobacter jejuni to Stressors in Agrifood Systems and Induction of a Viable-but-Nonculturable State. Appl. Environ. Microbiol. 2023, 89, e0009623. [Google Scholar] [CrossRef] [PubMed]
- Magajna, B.; Schraft, H. Evaluation of Propidium Monoazide and Quantitative PCR To Quantify Viable Campylobacter jejuni Biofilm and Planktonic Cells in Log Phase and in a Viable but Nonculturable State. J. Food Prot. 2015, 78, 1303–1311. [Google Scholar] [CrossRef] [PubMed]
- Lv, R.; Wang, K.; Feng, J.; Heeney, D.D.; Liu, D.; Lu, X. Detection and Quantification of Viable but Non-culturable Campylobacter jejuni. Front. Microbiol. 2019, 10, 2920. [Google Scholar] [CrossRef] [PubMed]
- Kruger, N.J.; Buhler, C.; Iwobi, A.N.; Huber, I.; Ellerbroek, L.; Appel, B.; Stingl, K. “Limits of control”—Crucial parameters for a reliable quantification of viable campylobacter by real-time PCR. PLoS ONE 2014, 9, e88108. [Google Scholar] [CrossRef] [PubMed]
- Stingl, K.; Heise, J.; Thieck, M.; Wulsten, I.F.; Pacholewicz, E.; Iwobi, A.N.; Govindaswamy, J.; Zeller-Peronnet, V.; Scheuring, S.; Luu, H.Q.; et al. Challenging the "gold standard" of colony-forming units—Validation of a multiplex real-time PCR for quantification of viable Campylobacter spp. in meat rinses. Int. J. Food Microbiol. 2021, 359, 109417. [Google Scholar] [CrossRef]
- Pacholewicz, E.; Buhler, C.; Wulsten, I.F.; Kraushaar, B.; Luu, H.Q.; Iwobi, A.N.; Huber, I.; Stingl, K. Internal sample process control improves cultivation-independent quantification of thermotolerant Campylobacter. Food Microbiol. 2019, 78, 53–61. [Google Scholar] [CrossRef]
- Epping, L.; Golz, J.C.; Knuver, M.T.; Huber, C.; Thurmer, A.; Wieler, L.H.; Stingl, K.; Semmler, T. Comparison of different technologies for the decipherment of the whole genome sequence of Campylobacter jejuni BfR-CA-14430. Gut Pathog. 2019, 11, 59. [Google Scholar] [CrossRef]
- Jacobs-Reitsma, W.F.; Jongenburger, I.; de Boer, E.; Biesta-Peters, E.G. Validation by interlaboratory trials of EN ISO 10272—Microbiology of the food chain—Horizontal method for detection and enumeration of Campylobacter spp. —Part 2: Colony-count technique. Int. J. Food Microbiol. 2019, 288, 32–38. [Google Scholar] [CrossRef]
- Biesta-Peters, E.G.; Jongenburger, I.; de Boer, E.; Jacobs-Reitsma, W.F. Validation by interlaboratory trials of EN ISO 10272-Microbiology of the food chain-Horizontal method for detection and enumeration of Campylobacter spp.—Part 1: Detection method. Int. J. Food Microbiol. 2019, 288, 39–46. [Google Scholar] [CrossRef]
- Anderson, A.; Pietsch, K.; Zucker, R.; Mayr, A.; Müller-Hohe, E.; Messelhäusser, U.; Sing, A.; Busch, U.; Huber, I. Validation of a Duplex Real-Time PCR for the Detection of Salmonella spp. in Different Food Products. Food Anal. Methods 2011, 4, 259–267. [Google Scholar] [CrossRef]
- Hansson, I.; Vagsholm, I.; Svensson, L.; Olsson Engvall, E. Correlations between Campylobacter spp. prevalence in the environment and broiler flocks. J. Appl. Microbiol. 2007, 103, 640–649. [Google Scholar] [CrossRef] [PubMed]
- Yagi, S.; Okada, A.; Inoshima, Y. Role of temperature, nutrition, oxygen, osmolality, and bacterial strain in inducing a viable but non-culturable state in Campylobacter jejuni. J. Microbiol. Methods 2022, 195, 106456. [Google Scholar] [CrossRef] [PubMed]
- Sinton, L.; Hall, C.; Braithwaite, R. Sunlight inactivation of Campylobacter jejuni and Salmonella enterica, compared with Escherichia coli, in seawater and river water. J. Water Health 2007, 5, 357–365. [Google Scholar] [CrossRef]
- Thomas, C.; Hill, D.J.; Mabey, M. Evaluation of the effect of temperature and nutrients on the survival of Campylobacter spp. in water microcosms. J. Appl. Microbiol. 1999, 86, 1024–1032. [Google Scholar] [CrossRef]
- Hertogs, K.; Heyndrickx, M.; Gelaude, P.; De Zutter, L.; Dewulf, J.; Rasschaert, G. The effect of partial depopulation on Campylobacter introduction in broiler houses. Poult. Sci. 2021, 100, 1076–1082. [Google Scholar] [CrossRef] [PubMed]
- Chinivasagam, H.N.; Tran, T.; Maddock, L.; Gale, A.; Blackall, P.J. Mechanically ventilated broiler sheds: A possible source of aerosolized Salmonella, Campylobacter, and Escherichia coli. Appl. Environ. Microbiol. 2009, 75, 7417–7425. [Google Scholar] [CrossRef]
- Johannessen, G.S.; Garofolo, G.; Di Serafino, G.; Kolackova, I.; Karpiskova, R.; Wieczorek, K.; Osek, J.; Christensen, J.; Torp, M.; Hoorfar, J. Campylobacter in chicken—Critical parameters for international, multicentre evaluation of air sampling and detection methods. Food Microbiol. 2020, 90, 103455. [Google Scholar] [CrossRef] [PubMed]
- Sondergaard, M.S.; Josefsen, M.H.; Lofstrom, C.; Christensen, L.S.; Wieczorek, K.; Osek, J.; Hoorfar, J. Low-cost monitoring of Campylobacter in poultry houses by air sampling and quantitative PCR. J. Food Prot. 2014, 77, 325–330. [Google Scholar] [CrossRef]
- Smith, S.; Meade, J.; Gibbons, J.; McGill, K.; Bolton, D.; Whyte, P. The impact of environmental conditions on Campylobacter jejuni survival in broiler faeces and litter. Infect. Ecol. Epidemiol. 2016, 6, 31685. [Google Scholar] [CrossRef][Green Version]
- Desneux, J.; Chemaly, M.; Pourcher, A.M. Experimental design for the optimization of propidium monoazide treatment to quantify viable and non-viable bacteria in piggery effluents. BMC Microbiol. 2015, 15, 164. [Google Scholar] [CrossRef]
- Varma, M.; Field, R.; Stinson, M.; Rukovets, B.; Wymer, L.; Haugland, R. Quantitative real-time PCR analysis of total and propidium monoazide-resistant fecal indicator bacteria in wastewater. Water Res. 2009, 43, 4790–4801. [Google Scholar] [CrossRef] [PubMed]
- Doyle, M.P.; Roman, D.J. Sensitivity of Campylobacter jejuni to Drying. J. Food Prot. 1982, 45, 507–510. [Google Scholar] [CrossRef]
- Trigui, H.; Thibodeau, A.; Fravalo, P.; Letellier, A.; P Faucher, S. Survival in water of Campylobacter jejuni strains isolated from the slaughterhouse. Springerplus 2015, 4, 799. [Google Scholar] [CrossRef][Green Version]
- Haddad, N.; Burns, C.M.; Bolla, J.M.; Prevost, H.; Federighi, M.; Drider, D.; Cappelier, J.M. Long-term survival of Campylobacter jejuni at low temperatures is dependent on polynucleotide phosphorylase activity. Appl. Environ. Microbiol. 2009, 75, 7310–7318. [Google Scholar] [CrossRef] [PubMed][Green Version]
- Bywater, A.; Alexander, K.; Eifert, J.; Strawn, L.K.; Ponder, M.A. Survival of Inoculated Campylobacter jejuni and Escherichia coli O157:H7 on Kale During Refrigerated Storage. J. Food Prot. 2023, 86, 100042. [Google Scholar] [CrossRef]
- Sidstedt, M.; Radstrom, P.; Hedman, J. PCR inhibition in qPCR, dPCR and MPS-mechanisms and solutions. Anal. Bioanal. Chem. 2020, 412, 2009–2023. [Google Scholar] [CrossRef]
- Pokhrel, D.; Thames, H.T.; Zhang, L.; Dinh, T.T.N.; Schilling, W.; White, S.B.; Ramachandran, R.; Theradiyil Sukumaran, A. Roles of Aerotolerance, Biofilm Formation, and Viable but Non-Culturable State in the Survival of Campylobacter jejuni in Poultry Processing Environments. Microorganisms 2022, 10, 2165. [Google Scholar] [CrossRef]
- Sun, A.; Mirzayans, P.M.; Piggott, A.M.; Stanton, J.L.; Sunna, A. Adapted method for rapid detection and quantification of pathogen Campylobacter jejuni from environmental water samples. FEMS Microbiol. Ecol. 2023, 99, fiad058. [Google Scholar] [CrossRef]
- Ahmed, W.; Sawant, S.; Huygens, F.; Goonetilleke, A.; Gardner, T. Prevalence and occurrence of zoonotic bacterial pathogens in surface waters determined by quantitative PCR. Water Res. 2009, 43, 4918–4928. [Google Scholar] [CrossRef]
- Yang, C.; Jiang, Y.; Huang, K.; Zhu, C.; Yin, Y. Application of real-time PCR for quantitative detection of Campylobacter jejuni in poultry, milk and environmental water. FEMS Immunol. Med. Microbiol. 2003, 38, 265–271. [Google Scholar] [CrossRef] [PubMed]
- Khan, I.U.H.; Murdock, A.; Mahmud, M.; Cloutier, M.; Benoit, T.; Bashar, S.; Patidar, R.; Mi, R.; Daneshfar, B.; Farenhorst, A.; et al. Quantitative Assessment of First Nations Drinking Water Distribution Systems for Detection and Prevalence of Thermophilic Campylobacter Species. Int. J. Environ. Res. Public Health 2022, 19, 10466. [Google Scholar] [CrossRef] [PubMed]
- Guy, R.A.; Arsenault, J.; Kotchi, S.O.; Gosselin-Theberge, M.; Champagne, M.J.; Berthiaume, P. Campylobacter in recreational lake water in southern Quebec, Canada: Presence, concentration, and association with precipitation and ruminant farm proximity. J. Water Health 2018, 16, 516–529. [Google Scholar] [CrossRef] [PubMed]
- Kassem, I.I.; Helmy, Y.A.; Kathayat, D.; Candelero-Rueda, R.A.; Kumar, A.; Deblais, L.; Huang, H.C.; Sahin, O.; Zhang, Q.; Rajashekara, G. Nonculturability Might Underestimate the Occurrence of Campylobacter in Broiler Litter. Foodborne Pathog. Dis. 2017, 14, 472–477. [Google Scholar] [CrossRef] [PubMed]





| Visit | 1 | 2 | 3 | 4 | 5 | 6 | 7 |
|---|---|---|---|---|---|---|---|
| Farm | C | A | B | B | C | B | C |
| Season | Autumn | Winter | Winter | Winter | Winter | Summer | Summer |
| Weather condition | Cloudy/Overcast | Clear-Fair | Cloudy/Overcast | Overcast/Light rain | Overcast/Light rain | Clear, Overcast/Rain | Overcast/Rain |
| Average temperature | 5.6 °C | 0.3 °C | 0.9 °C | 3.4 °C | 4.3 °C | 22 °C | 19.7 |
| Total precipitation/24 h | 0.3 mm | 0 mm | 0 mm | 0.8 | 8.1 mm | 0 mm | 0.6 mm |
| Average humidity percentage | 80.4% | 83% | 79% | 96% | 85% | 71% | 77% |
| Sunlight minutes/24 h | 340 m | 415 m | 78 m | 2 m | 61 m | 554 m | 153 |
| Campylobacter positive barns | yes | yes | No | No | No | yes | yes |
| Laboratory (A) | Incubator (B) | Refrigerator (C) |
|---|---|---|
| 21 ± 0.3 °C | 22.2 ± 0.03 °C | 4.0 ± 0.1 °C |
| RH (a) 35.2 ± 3.5% | RH 98.8 ± 0% | RH 64.3 ± 12% |
| Sunlight (Windows) | no light | no light |
| Name | 5′-3′Sequence | Target | Quelle |
|---|---|---|---|
| Jos-F1 Jos-R1 Jos-P | 5′-CCTGCTTAACACAAGTTGAGTAGG-3′ 5′-TTCC TTAGGTACCGTCAGAATTC-3′ 6FAM-TGTCATCCTCCACGCGGCGTTGCTGC-BHQ-1 | 16s rRNA | Pacholewicz et al., 2019 [27] |
| Csput-F Csput-R Csput-P | 5′-TGGGAAATGTAGCTCTTAATAATATATATC-3′ 5′-CCTTACCAACTA GCTGATACAATATAG-3′ Cy5-CCTCATCCCA TAGCGAAAGCTCTT-BBQ-650 | 16s rRNA | Pacholewicz et al., 2019 [27] |
| IPC-ntb2-F IPC-ntb2-R IPC-ntb2-P | 5′-ACCACAAT GCCAGAGTGACAAC-3′ 5′-TACCTGGTCTC CAGCTTTCAGTT-3′ HEX-CACGCGCATGAAGTTAGGGGACCA-BHQ-1 | rbcMT-T | Anderson et al.,2011 [31] |
Disclaimer/Publisher’s Note: The statements, opinions and data contained in all publications are solely those of the individual author(s) and contributor(s) and not of MDPI and/or the editor(s). MDPI and/or the editor(s) disclaim responsibility for any injury to people or property resulting from any ideas, methods, instructions or products referred to in the content. |
© 2023 by the authors. Licensee MDPI, Basel, Switzerland. This article is an open access article distributed under the terms and conditions of the Creative Commons Attribution (CC BY) license (https://creativecommons.org/licenses/by/4.0/).
Share and Cite
Reichelt, B.; Szott, V.; Stingl, K.; Roesler, U.; Friese, A. Detection of Viable but Non-Culturable (VBNC)-Campylobacter in the Environment of Broiler Farms: Innovative Insights Delivered by Propidium Monoazide (PMA)-v-qPCR Analysis. Microorganisms 2023, 11, 2492. https://doi.org/10.3390/microorganisms11102492
Reichelt B, Szott V, Stingl K, Roesler U, Friese A. Detection of Viable but Non-Culturable (VBNC)-Campylobacter in the Environment of Broiler Farms: Innovative Insights Delivered by Propidium Monoazide (PMA)-v-qPCR Analysis. Microorganisms. 2023; 11(10):2492. https://doi.org/10.3390/microorganisms11102492
Chicago/Turabian StyleReichelt, Benjamin, Vanessa Szott, Kerstin Stingl, Uwe Roesler, and Anika Friese. 2023. "Detection of Viable but Non-Culturable (VBNC)-Campylobacter in the Environment of Broiler Farms: Innovative Insights Delivered by Propidium Monoazide (PMA)-v-qPCR Analysis" Microorganisms 11, no. 10: 2492. https://doi.org/10.3390/microorganisms11102492
APA StyleReichelt, B., Szott, V., Stingl, K., Roesler, U., & Friese, A. (2023). Detection of Viable but Non-Culturable (VBNC)-Campylobacter in the Environment of Broiler Farms: Innovative Insights Delivered by Propidium Monoazide (PMA)-v-qPCR Analysis. Microorganisms, 11(10), 2492. https://doi.org/10.3390/microorganisms11102492

