Epidemiology of HEV Infection in Blood Donors in Southern Switzerland
Abstract
1. Introduction
2. Materials and Methods
2.1. Geographic Area Studied and Food Chain Control Measures
2.2. HEV IgG and IgM Seroprevalence and Regional Distribution
2.3. Course of the HEV Seroprevalence between 2012–2013 and 2017–2019
2.4. HEV NAT Incidence 2018–2023
2.5. Statistical Analyses
3. Results
3.1. Demographics and Geographic Distribution of the Blood Donors
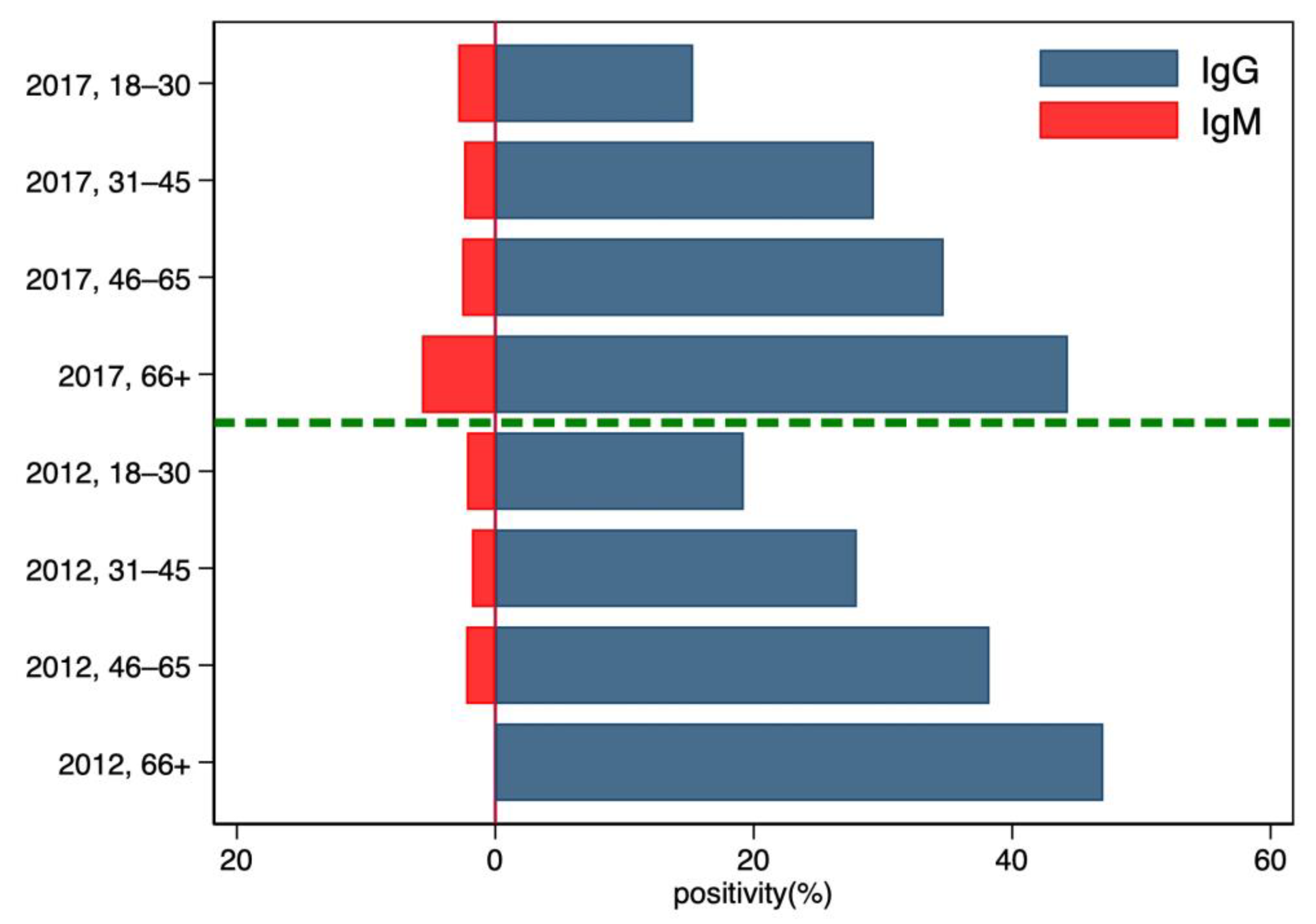
3.2. HEV IgG and IgM Seroprevalence and Regional Distribution
3.3. Change in IgG Positivity from 2012–2013 to 2017–2019 in the Donors Included in Both Groups
3.4. HEV NAT Incidence after 2018
4. Discussion
Supplementary Materials
Author Contributions
Funding
Data Availability Statement
Acknowledgments
Conflicts of Interest
References
- Adlhoch, C.; Avellon, A.; Baylis, S.A.; Ciccaglione, A.R.; Couturier, E.; de Sousa, R.; Epstein, J.; Ethelberg, S.; Faber, M.; Feher, A.; et al. Hepatitis E virus: Assessment of the epidemiological situation in humans in Europe, 2014/15. J. Clin. Virol. 2016, 82, 9–16. [Google Scholar] [CrossRef]
- Nelson, K.E.; Kmush, B.; Labrique, A.B. The epidemiology of hepatitis E virus infections in developed countries and among immunocompromised patients. Expert Rev. Anti-Infect. Ther. 2011, 9, 1133–1148. [Google Scholar] [CrossRef] [PubMed]
- Hartl, J.; Otto, B.; Madden, R.G.; Webb, G.; Woolson, K.L.; Kriston, L.; Vettorazzi, E.; Lohse, A.W.; Dalton, H.R.; Pischke, S. Hepatitis E seroprevalence in Europe: A meta-analysis. Viruses 2016, 8, 211. [Google Scholar] [CrossRef] [PubMed]
- Kamar, N.; Izopet, J.; Pavio, N.; Aggarwal, R.; Labrique, A.; Wedemeyer, H.; Dalton, H.R. Hepatitis E virus infection. Nat. Rev. Dis. Primers 2017, 3, 17086. [Google Scholar] [CrossRef] [PubMed]
- Kubacki, J.; Fraefel, C.; Jermini, M.; Giannini, P.; Martinetti, G.; Ripellino, P.; Bernasconi, E.; Sidler, X.; Stephan, R.; Bachofen, C. Complete Genome Sequences of Two Swiss Hepatitis E Virus Isolates from Human Stool and Raw Pork Sausage. Genome Announc. 2017, 5, 10–11. [Google Scholar] [CrossRef] [PubMed]
- Hewitt, P.E.; Ijaz, S.; Brailsford, S.R.; Brett, R.; Dicks, S.; Haywood, B.; Kennedy, I.T.; Kitchen, A.; Patel, P.; Poh, J.; et al. Hepatitis E virus in blood components: A prevalence and transmission study in southeast England. Lancet 2014, 384, 1766–1773. [Google Scholar] [CrossRef] [PubMed]
- Cheung, C.K.M.; Wong, S.H.; Law, A.W.H.; Law, M.F. Transfusion-transmitted hepatitis E: What we know so far? World J. Gastroenterol. 2022, 28, 47–75. [Google Scholar] [CrossRef] [PubMed]
- Goel, A.; Aggarwal, R. Advances in hepatitis E—II: Epidemiology, clinical manifestations, treatment and prevention. Expert Rev. Gastroenterol. Hepatol. 2016, 10, 1065–1074. [Google Scholar] [CrossRef]
- Horvatits, T.; Schulze Zur Wiesch, J.; Lutgehetmann, M.; Lohse, A.W.; Pischke, S. The clinical perspective on hepatitis E. Viruses 2019, 11, 617. [Google Scholar] [CrossRef]
- Dalton, H.R.; Kamar, N.; van Eijk, J.J.; McLean, B.N.; Cintas, P.; Bendall, R.P.; Jacobs, B.C. Hepatitis E virus and neurological injury. Nat. Rev. Neurol. 2016, 12, 77–85. [Google Scholar] [CrossRef]
- Dalton, H.R.; van Eijk, J.J.J.; Cintas, P.; Madden, R.G.; Jones, C.; Webb, G.W.; Norton, B.; Pique, J.; Lutgens, S.; Devooght-Johnson, N.; et al. Hepatitis E virus infection and acute non-traumatic neurological injury: A prospective multicentre study. J. Hepatol. 2017, 67, 925–932. [Google Scholar] [CrossRef] [PubMed]
- van Eijk, J.J.J.; Dalton, H.R.; Ripellino, P.; Madden, R.G.; Jones, C.; Fritz, M.; Gobbi, C.; Melli, G.; Pasi, E.; Herrod, J.; et al. Clinical phenotype and outcome of hepatitis E virus-associated neuralgic amyotrophy. Neurology 2017, 89, 909–917. [Google Scholar] [CrossRef] [PubMed]
- Ripellino, P.; Lascano, A.M.; Scheidegger, O.; Lenka, S.-H.; Schreiner, B.; Pinelopi, T.; Vicino, A.; Anne-Kathrin, P.; Humm, A.M.; Décard, B.; et al. Neuropathies related to hepatitis E virus infection: A prospective, matched case-control study. Eur. J. Neurol. 2023. [Google Scholar] [CrossRef]
- van Eijk, J.J.; Madden, R.G.; van der Eijk, A.A.; Hunter, J.G.; Reimerink, J.H.; Bendall, R.P.; Pas, S.D.; Ellis, V.; van Alfen, N.; Beynon, L.; et al. Neuralgic amyotrophy and hepatitis E virus infection. Neurology 2014, 82, 498–503. [Google Scholar] [CrossRef] [PubMed]
- Kar, P.; Karna, R. A review of the diagnosis and management of hepatitis E. Curr. Treat. Options Infect. Dis. 2020, 12, 310–320. [Google Scholar] [CrossRef]
- Bihl, F.; Castelli, D.; Marincola, F.; Dodd, R.Y.; Brander, C. Transfusion-transmitted infections. J. Transl. Med. 2007, 5, 25. [Google Scholar] [CrossRef]
- Ticehurst, J.R.; Pisanic, N.; Forman, M.S.; Ordak, C.; Heaney, C.D.; Ong, E.; Linnen, J.M.; Ness, P.M.; Guo, N.; Shan, H.; et al. Probable transmission of hepatitis E virus (HEV) via transfusion in the United States. Transfusion 2019, 59, 1024–1034. [Google Scholar] [CrossRef]
- Domanovic, D.; Tedder, R.; Blumel, J.; Zaaijer, H.; Gallian, P.; Niederhauser, C.; Sauleda Oliveras, S.; O’Riordan, J.; Boland, F.; Harritshoj, L.; et al. Hepatitis E and blood donation safety in selected European countries: A shift to screening? Eur. Surveill. 2017, 22, 30514. [Google Scholar] [CrossRef]
- Wolski, A.; Pischke, S.; Ozga, A.K.; Addo, M.M.; Horvatits, T. Higher risk of HEV transmission and exposure among blood donors in Europe and Asia in comparison to North America: A meta-analysis. Pathogens 2023, 12, 425. [Google Scholar] [CrossRef]
- Ripellino, P.; Pianezzi, E.; Martinetti, G.; Zehnder, C.; Mathis, B.; Giannini, P.; Forrer, N.; Merlani, G.; Dalton, H.R.; Petrini, O.; et al. Control of raw pork liver sausage production can reduce the prevalence of HEV infection. Pathogens 2021, 10, 107. [Google Scholar] [CrossRef]
- Fraga, M.; Doerig, C.; Moulin, H.; Bihl, F.; Brunner, F.; Mullhaupt, B.; Ripellino, P.; Semela, D.; Stickel, F.; Terziroli Beretta-Piccoli, B.; et al. Hepatitis E virus as a cause of acute hepatitis acquired in Switzerland. Liver Int. 2018, 38, 619–626. [Google Scholar] [CrossRef] [PubMed]
- Ripellino, P.; Pasi, E.; Melli, G.; Staedler, C.; Fraga, M.; Moradpour, D.; Sahli, R.; Aubert, V.; Martinetti, G.; Bihl, F.; et al. Neurologic complications of acute hepatitis E virus infection. Neurol. Neuroimmunol. Neuroinflamm. 2019, 7, e643. [Google Scholar] [CrossRef] [PubMed]
- Niederhauser, C.; Widmer, N.; Hotz, M.; Tinguely, C.; Fontana, S.; Allemann, G.; Borri, M.; Infanti, L.; Sarraj, A.; Sigle, J.; et al. Current hepatitis E virus seroprevalence in Swiss blood donors and apparent decline from 1997 to 2016. Eur. Surveill. 2018, 23, 1700616. [Google Scholar] [CrossRef] [PubMed]
- Bihl, F.; Negro, F. Hepatitis E virus: A zoonosis adapting to humans. J. Antimicrob. Chemother. 2010, 65, 817–821. [Google Scholar] [CrossRef][Green Version]
- Dalton, H.R.; Hunter, J.G.; Bendall, R.P. Hepatitis e. Curr. Opin. Infect. Dis. 2013, 26, 471–478. [Google Scholar] [CrossRef] [PubMed]
- Faber, M.; Askar, M.; Stark, K. Case-control study on risk factors for acute hepatitis E in Germany, 2012 to 2014. Eur. Surveill. 2018, 23, 17–00469. [Google Scholar] [CrossRef]
- Smith, I.; Said, B.; Vaughan, A.; Haywood, B.; Ijaz, S.; Reynolds, C.; Brailsford, S.; Russell, K.; Morgan, D. Case-control study of risk factors for acquired hepatitis E virus infections in blood donors, United Kingdom, 2018–2019. Emerg. Infect. Dis. 2021, 27, 1654–1661. [Google Scholar] [CrossRef]
- Salines, M.; Andraud, M.; Rose, N. From the epidemiology of hepatitis E virus (HEV) within the swine reservoir to public health risk mitigation strategies: A comprehensive review. Vet. Res. 2017, 48, 31. [Google Scholar] [CrossRef]
- Burri, C.; Vial, F.; Ryser-Degiorgis, M.P.; Schwermer, H.; Darling, K.; Reist, M.; Wu, N.; Beerli, O.; Schöning, J.; Cavassini, M.; et al. Seroprevalence of hepatitis E virus in domestic pigs and wild boars in Switzerland. Zoonoses Public Health 2014, 61, 537–544. [Google Scholar] [CrossRef]
- Wacheck, S.; Sarno, E.; Märtlbauer, E.; Zweifel, C.; Stephan, R. Seroprevalence of anti-hepatitis E virus and anti-Salmonella antibodies in pigs at slaughter in Switzerland. J. Food Prot. 2012, 75, 1483–1485. [Google Scholar] [CrossRef]
- Giannini, P.; Jermini, M.; Leggeri, L.; Nüesch-Inderbinen, M.; Stephan, R. Detection of Hepatitis E Virus RNA in Raw Cured Sausages and Raw Cured Sausages Containing Pig Liver at Retail Stores in Switzerland. J. Food Prot. 2018, 81, 43–45. [Google Scholar] [CrossRef] [PubMed]
- Moor, D.; Liniger, M.; Baumgartner, A.; Felleisen, R. Screening of Ready-to-Eat Meat Products for Hepatitis E Virus in Switzerland. Food Environ. Virol. 2018, 10, 263–271. [Google Scholar] [CrossRef] [PubMed]
- Patrimoine Culinaire Suisse. Mortadella di Fegato. Available online: https://www.patrimoineculinaire.ch/Prodotto/Mortadella-di-fegato/40 (accessed on 30 April 2023).
- Kaufmann, A.; Kenfak-Foguena, A.; André, C.; Canellini, G.; Bürgisser, P.; Moradpour, D.; Darling, K.E.; Cavassini, M. Hepatitis E virus seroprevalence among blood donors in southwest Switzerland. PLoS ONE 2011, 6, e21150. [Google Scholar] [CrossRef] [PubMed]
- Faber, M.; Willrich, N.; Schemmerer, M.; Rauh, C.; Kuhnert, R.; Stark, K.; Wenzel, J.J. Hepatitis E virus seroprevalence, seroincidence and seroreversion in the German adult population. J. Viral Hepat. 2018, 25, 752–758. [Google Scholar] [CrossRef]
- Fernandez Villalobos, N.V.; Kessel, B.; Rodiah, I.; Ott, J.J.; Lange, B.; Krause, G. Seroprevalence of hepatitis E virus infection in the Americas: Estimates from a systematic review and meta-analysis. PLoS ONE 2022, 17, e0269253. [Google Scholar] [CrossRef]
- Dawson, G.J.; Mushahwar, I.K.; Chau, K.H.; Gitnick, G.L. Detection of long-lasting antibody to hepatitis E virus in a US traveller to Pakistan. Lancet 1992, 340, 426–427. [Google Scholar] [CrossRef]
- Mahrt, H.; Schemmerer, M.; Behrens, G.; Leitzmann, M.; Jilg, W.; Wenzel, J.J. Continuous decline of hepatitis E virus seroprevalence in southern Germany despite increasing notifications, 2003–2015. Emerg. Microbes Infect. 2018, 7, 133. [Google Scholar] [CrossRef]
- Lu, J.; Huang, Y.; Wang, P.; Li, Q.; Li, Z.; Jiang, J.; Guo, Q.; Gui, H.; Xie, Q. Dynamics of hepatitis E virus (HEV) antibodies and development of a multifactorial model to improve the diagnosis of HEV infection in resource-limited settings. J. Clin. Microbiol. 2021, 59, 10–11. [Google Scholar] [CrossRef]
- Myint, K.S.; Endy, T.P.; Shrestha, M.P.; Shrestha, S.K.; Vaughn, D.W.; Innis, B.L.; Gibbons, R.V.; Kuschner, R.A.; Seriwatana, J.; Scott, R.M. Hepatitis E antibody kinetics in Nepalese patients. Trans. R. Soc. Trop. Med. Hyg. 2006, 100, 938–941. [Google Scholar] [CrossRef]
- Riveiro-Barciela, M.; Rando-Segura, A.; Barreira-Díaz, A.; Bes, M.; Ruzo, S.; Piron, M.; Quer, J.; Sauleda, S.; Rodríguez-Frías, F.; Esteban, R.; et al. Unexpected long-lasting anti-HEV IgM positivity: Is HEV antigen a better serological marker for hepatitis E infection diagnosis? J. Viral Hepat. 2020, 27, 747–753. [Google Scholar] [CrossRef]
- Office fédéral de la santé publique (OFSP). Flambée d’hépatite E en 2021 en Suisse. OFSP Bull. 2022, 4, 8–10. [Google Scholar]
- Mrzljak, A.; Balen, I.; Barbic, L.; Ilic, M.; Vilibic-Cavlek, T. Hepatitis E virus in professionally exposed: A reason for concern? World J. Hepatol. 2021, 13, 723–730. [Google Scholar] [CrossRef] [PubMed]
- Lienhard, J.; Vonlanthen-Specker, I.; Sidler, X.; Bachofen, C. Screening of Swiss Pig Herds for Hepatitis E Virus: A Pilot Study. Animals 2021, 11, 3050. [Google Scholar] [CrossRef]
- Zahmanova, G.; Takova, K.; Tonova, V.; Koynarski, T.; Lukov, L.L.; Minkov, I.; Pishmisheva, M.; Kotsev, S.; Tsachev, I.; Baymakova, M.; et al. The Re-Emergence of Hepatitis E Virus in Europe and Vaccine Development. Viruses 2023, 15, 1558. [Google Scholar] [CrossRef] [PubMed]
- Pischke, S.; Heim, A.; Bremer, B.; Raupach, R.; Horn-Wichmann, R.; Ganzenmueller, T.; Klose, B.; Goudeva, L.; Wagner, F.; Oehme, A.; et al. Hepatitis E: An Emerging Infectious Disease in Germany? Z. Gastroenterol. 2011, 49, 1255–1257. [Google Scholar] [CrossRef] [PubMed]




| 2012–2013 (N = 1283) | 2017–2019 (N = 1447) | |
|---|---|---|
| Overall | ||
| Female | ||
| Count (% of each sample) | 392 (30.55) | 441 (30.48) |
| Mean age (95% CI) | 43.93 (42.59–45.27) | 45.21 (43.95–46.48) |
| Median age (min–max) | 45 (18–71) | 46 (18–74) |
| Male | ||
| Count (% of each sample) | 891 (69.45) | 1006 (69.52) |
| Mean age (95% CI) | 47.24 (46.46–48.01) | 47.74 (46.95–48.52) |
| Median age (min–max) | 48 (18–72) | 50 (18–75) |
| Total | ||
| Mean age (95% CI) | 46.24 (45.56–46.92) | 46.97 (46.30–47.64) |
| Median age (min–max) | 47 (18–72) | 49 (18–75) |
| By region | ||
| South | ||
| Count (% of each sample) | 531 (41.39) | 625 (43.19) |
| Mean age (95% CI) | 46.01 (44.96–47.05) | 47.41 (46.37–48.44) |
| Median age (min–max) | 48 (18–72) | 50 (18–73) |
| Center | ||
| Count (% of each sample) | 305 (23.77) | 412 (28.47) |
| Mean age (95% CI) | 47.76 (46.35–49.17) | 47.04 (45.76–48.31) |
| Median age (min–max) | 49 (18–71) | 48 (18–75) |
| North | ||
| Count (% of each sample) | 447 (34.84) | 410 (28.33) |
| Mean age (95% CI) | 45.46 (44.31–46.61) | 46.21 (44.99–47.43) |
| Median age (min–max) | 46 (18–70) | 48 (18–74) |
| N IgG Pos (%) | N IgM Pos (%) | |||
|---|---|---|---|---|
| 2012–2013 | 2017–2019 | 2012–2013 | 2017–2019 | |
| Overall | 421 (32.81) | 450 (31.10) | 26 (2.03) | 40 (2.76) |
| By gender | ||||
| Female | 108 (27.55) | 118 (26.76) | 7 (1.79) | 10 (2.27) |
| Male | 313 (35.13) | 332 (33.00) | 19 (2.13) | 30 (2.98) |
| By area | ||||
| South | 154 (29.00) | 162 (25.92) | 9 (1.69) | 15 (2.40) |
| Center | 93 (30.49) | 136 (33.01) | 5 (1.64) | 9 (2.18) |
| North | 174 (38.93) | 152 (37.07) | 12 (2.68) | 16 (3.90) |
| OR | SE | p | 95% CI | |
|---|---|---|---|---|
| Gender | ||||
| Male | Reference | |||
| Female | 0.68 | 0.193 | 0.171 | 0.39–1.18 |
| Age category (years) | ||||
| 18–30 | Reference | |||
| 31–45 | 1.86 | 0.358 | 0.001 | 1.27–2.71 |
| 46–65 | 2.59 | 0.462 | <0.001 | 1.82–3.67 |
| 66+ | 3.87 | 1.019 | <0.001 | 2.30–6.48 |
| Sampling period | ||||
| 2012–2013 | Reference | |||
| 2017–2019 | 0.922 | 0.078 | 0.337 | 0.78–1.09 |
| Region | ||||
| South | Reference | |||
| Center | 1.23 | 0.123 | 0.047 | 1.01–1.52 |
| North | 1.68 | 0.165 | <0.001 | 1.39–2.04 |
| IgG Overall | South | Center | North | Total |
|---|---|---|---|---|
| Unchanged | 77 (25.41) | 32 (10.56) | 141 (46.53) | 250 (82.51) |
| Acquired | 12 (3.96) | 10 (3.30) | 13 (4.29) | 35 (11.55) |
| Loss | 7 (2.31) | 2 (0.66) | 9 (2.97) | 18 (5.94) |
| Total | 96 (31.68) | 44 (14.52) | 163 (53.80) | 303 (100.00) |
| Southern Switzerland | Control (7 Swiss Cantons) | |||||
|---|---|---|---|---|---|---|
| Period | Positive | Negative | Total | Positive | Negative | Total |
| 2018–2019 | 0 (–) | 5394 | 5394 | 26 (0.035) | 72,381 | 72,407 |
| 2019–2020 | 3 (0.027) | 10,885 | 10,888 | 39 (0.027) | 142,156 | 142,195 |
| 2020–2021 | 6 (0.053) | 11,224 | 11,230 | 36 (0.026) | 138,800 | 138,836 |
| 2021–2022 | 0 (–) | 10,592 | 10,592 | 17 (0.012) | 137,390 | 137,407 |
| 2022–2023 | 0 (–) | 11,241 | 11,241 | 23 (0.017) | 134,691 | 134,714 |
| Total | 9 (0.018) | 49,336 | 49,345 | 141 (0.022) | 625,418 | 625,559 |
Disclaimer/Publisher’s Note: The statements, opinions and data contained in all publications are solely those of the individual author(s) and contributor(s) and not of MDPI and/or the editor(s). MDPI and/or the editor(s) disclaim responsibility for any injury to people or property resulting from any ideas, methods, instructions or products referred to in the content. |
© 2023 by the authors. Licensee MDPI, Basel, Switzerland. This article is an open access article distributed under the terms and conditions of the Creative Commons Attribution (CC BY) license (https://creativecommons.org/licenses/by/4.0/).
Share and Cite
Fontana, S.; Ripellino, P.; Niederhauser, C.; Widmer, N.; Gowland, P.; Petrini, O.; Aprile, M.; Merlani, G.; Bihl, F. Epidemiology of HEV Infection in Blood Donors in Southern Switzerland. Microorganisms 2023, 11, 2375. https://doi.org/10.3390/microorganisms11102375
Fontana S, Ripellino P, Niederhauser C, Widmer N, Gowland P, Petrini O, Aprile M, Merlani G, Bihl F. Epidemiology of HEV Infection in Blood Donors in Southern Switzerland. Microorganisms. 2023; 11(10):2375. https://doi.org/10.3390/microorganisms11102375
Chicago/Turabian StyleFontana, Stefano, Paolo Ripellino, Christoph Niederhauser, Nadja Widmer, Peter Gowland, Orlando Petrini, Manuela Aprile, Giorgio Merlani, and Florian Bihl. 2023. "Epidemiology of HEV Infection in Blood Donors in Southern Switzerland" Microorganisms 11, no. 10: 2375. https://doi.org/10.3390/microorganisms11102375
APA StyleFontana, S., Ripellino, P., Niederhauser, C., Widmer, N., Gowland, P., Petrini, O., Aprile, M., Merlani, G., & Bihl, F. (2023). Epidemiology of HEV Infection in Blood Donors in Southern Switzerland. Microorganisms, 11(10), 2375. https://doi.org/10.3390/microorganisms11102375

