Development of Microalgae Biodiesel: Current Status and Perspectives
Abstract
1. Introduction
2. Microalgae for Biodiesel Production
3. Microalgal Production: Open X Closed Systems
3.1. Open Systems
3.2. Closed Systems
3.3. Hybrid Systems
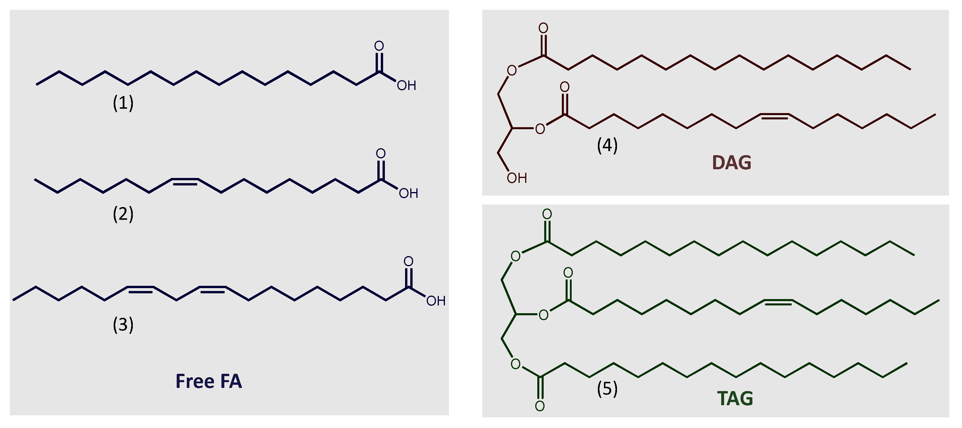
4. Biomass X Lipid Content: A Challenge
5. Strategies to Increase Microalgal Lipid Productivity
5.1. Two Stage-Cultivation
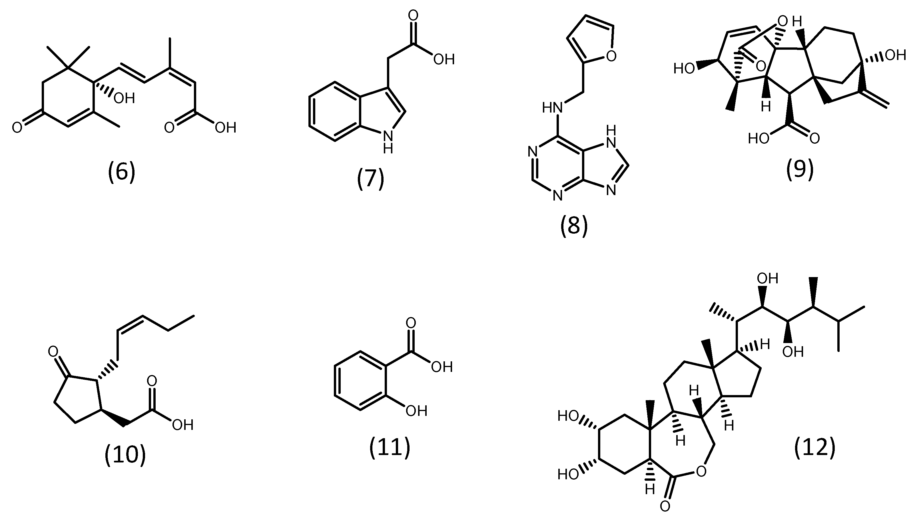
5.2. Phytohormones Addition
| Class | Phytohormone | Species | Stress Condition | Outcome | Reference |
|---|---|---|---|---|---|
| _ | ABA | Chlorella vulgaris | None | Increase in biomass; 1.8-fold increase in lipid content | [83] |
| _ | ABA | Scenedesmus quadricauda | N depletion | 2.1-fold increase in biomass; little effect on lipid content | [84] |
| Auxins | DA | Chlorella ellipsoidea | None | 7.1-fold increase in biomass; increase in overall lipid productivity | [80] |
| Auxins | DA | Dunaliella tertiolecta | Salt stress | 40% biomass increase; lipid content increase from 24 to 70% | [85] |
| Auxins | DA | Scenedesmus abundans | None | 5.4-fold increase in biomass; increase in overall lipid productivity | [80] |
| Auxins | IAA | Chlorella sorokiniana | N depletion | 22% increase in biomass; 49% increase in lipid content | [73] |
| Auxins | IAA | Chlorella sorokiniana | N depletion | 46% increase in biomass; 56% increase in lipid productivity | [74] |
| Auxins | IAA | Chlorella vulgaris | None | No effect on growth, 39% increase in lipid content | [77] |
| Auxins | IAA | Nannochloropsis oceanica | N depletion | 1.5-fold increase in lipid productivity; decrease in SFA and increase in UFA content | [86] |
| Auxins | IAA | Scenedesmus quadricauda | None | Increase in cell growth, biomass, and fatty acid accumulation | [87] |
| Auxins | NAA | Botryococcus braunii | None | Increase in both lipid content and biomass | [76] |
| Brassinosteroid | EB | Scenedesmus quadricauda | None | Increase in cell growth, biomass, and fatty acid accumulation | [87] |
| Cytokinins | BAP | Botryococcus braunii | None | Increase in both lipid content and biomass | [76] |
| Cytokinins | KN | Acutodesmus obliquus | N depletion | 50% increase in biomass productivity; 65% increase in lipid productivity | [72] |
| Cytokinins | KN | Chlorella sorokiniana | N depletion | 36% increase in biomass; 52% increase in lipid productivity | [74] |
| Cytokinins | KN | Desmodesmus sp. | None | 1.5-fold increase in growth rate; 2.5-fold increase in lipid productivity | [88] |
| Cytokinins | ZN | Acutodesmus obliquus | N depletion | 61% increase in biomass productivity; 63% increase in lipid productivity | [72] |
| Ethylene | EP | Botryococcus braunii | None | No effect on biomass; increase in lipid content | [76] |
| Gibberellins | GA | Botryococcus braunii | None | No effect on biomass; increase in lipid content | [76] |
| Gibberellins | GA | Chlorella ellipsoidea | None | 8.7-fold increase in biomass; increase in overall lipid productivity | [80] |
| Gibberellins | GA | Chlorella sorokiniana | N depletion | 36% increase in biomass; 37% increase in lipid productivity | [74] |
| Gibberellins | GA | Scenedesmus abundans | None | 5.3-fold increase in biomass; increase in overall lipid productivity | [80] |
| Jasmonates | JA | Chlorella vulgaris | None | 51% increase in cell density; 54% increase in lipid content | [89] |
| Jasmonates | JA | Chlorella vulgaris | None | Increase in biomass; 2.1-fold increase in lipid content | [83] |
| Jasmonates | MJ | Nannochloropsis oceanica | None | Increase in biomass; 1.4-fold increase in lipid content | [79] |
| Others | DAH | Chlorella sorokiniana | N depletion | 43% increase in biomass; 84% increase in lipid content | [73] |
| Others | DAH | Desmodesmus sp. | None | 1.4-fold increase in growth rate; 2.5-fold increase in lipid productivity | [88] |
| Others | SA | Chlorella vulgaris | None | Increase in biomass; 1.7-fold increase in lipid content | [83] |
| Others | SA | Nannochloropsis oceanica | None | Increase in biomass; 2.2-fold increase in lipid content | [79] |
| Others | SA | Phaeodactylum tricornutum | None | No effect on growth; 29% increase in TGA content | [90] |
| Others | ST | Monoraphidium sp | None | Increase in biomass; 55% increase in lipid productivity | [78] |
5.3. Addition of Antioxidants and Other Bioactive Substances
5.4. Co-Cultivation
6. Large-Scale Production: Current Scenario and Perspectives
7. Biorefinery Concept and Other Strategies to Reduce Production Costs
- (a).
- Development of new technologies to increase lipid and biomass productivity of large-scale cultivation, as well as to reduce the operational costs of the process;
- (b).
- Integration of the biodiesel production with other biofuels or added-value by-products;
- (c).
- Use of low-cost nutrients from wastewater and CO2 from flue gases.
8. Biodiesel from Microalgae in Brazil
9. Petrobras’s Microalgae Biodiesel Project
Author Contributions
Funding
Conflicts of Interest
References
- Halkos, G.E.; Gkampoura, E.-C. Reviewing Usage, Potentials, and Limitations of Renewable Energy Sources. Energies 2020, 13, 2906. [Google Scholar] [CrossRef]
- International Energy Agency World Energy Outlook 2019. Available online: https://www.iea.org/reports/world-energy-outlook-2019 (accessed on 2 September 2022).
- Liu, Z.; Wang, K.; Chen, Y.; Tan, T.; Nielsen, J. Third-Generation Biorefineries as the Means to Produce Fuels and Chemicals from CO2. Nat. Catal. 2020, 3, 274–288. [Google Scholar] [CrossRef]
- Jackson, R.B.; Friedlingstein, P.; Andrew, R.M.; Canadell, J.G.; Le Quéré, C.; Peters, G.P. Persistent Fossil Fuel Growth Threatens the Paris Agreement and Planetary Health. Environ. Res. Lett. 2019, 14, 121001. [Google Scholar] [CrossRef]
- Pörtner, H.-O.; Roberts, D.C.; Adams, H.; Adelekan, I.; Adler, C.; Adrian, R.; Aldunce, P.; Ali, E.; Ara Begum, R.; BednarFriedl, B. Climate Change 2022: Impacts, Adaptation and Vulnerability; Cambridge University Press: Cambridge, UK; New York, NY, USA, 2022. [Google Scholar]
- ÓhAiseadha, C.; Quinn, G.; Connolly, R.; Connolly, M.; Soon, W. Energy and Climate Policy—An Evaluation of Global Climate Change Expenditure 2011–2018. Energies 2020, 13, 4839. [Google Scholar] [CrossRef]
- Chen, Y.; Xu, C.; Vaidyanathan, S. Microalgae: A Robust “Green Bio-Bridge” between Energy and Environment. Crit. Rev. Biotechnol. 2018, 38, 351–368. [Google Scholar] [CrossRef]
- Arenas, E.G.; Rodriguez Palacio, M.C.; Juantorena, A.U.; Fernando, S.E.L.; Sebastian, P.J. Microalgae as a Potential Source for Biodiesel Production: Techniques, Methods, and Other Challenges. Int. J. Energy Res. 2017, 41, 761–789. [Google Scholar] [CrossRef]
- González-González, L.M.; Correa, D.F.; Ryan, S.; Jensen, P.D.; Pratt, S.; Schenk, P.M. Integrated Biodiesel and Biogas Production from Microalgae: Towards a Sustainable Closed Loop through Nutrient Recycling. Renew. Sustain. Energy Rev. 2018, 82, 1137–1148. [Google Scholar] [CrossRef]
- Khan, M.I.; Shin, J.H.; Kim, J.D. The Promising Future of Microalgae: Current Status, Challenges, and Optimization of a Sustainable and Renewable Industry for Biofuels, Feed, and Other Products. Microb. Cell Fact. 2018, 17, 36. [Google Scholar] [CrossRef]
- Matos, Â.P. Advances in Microalgal Research in Brazil. Braz. Arch. Biol. Technol. 2021, 64, e21200531. [Google Scholar] [CrossRef]
- Bharathiraja, B.; Chakravarthy, M.; Kumar, R.R.; Yuvaraj, D.; Jayamuthunagai, J.; Kumar, R.P.; Palani, S. Biodiesel Production Using Chemical and Biological Methods—A Review of Process, Catalyst, Acyl Acceptor, Source and Process Variables. Renew. Sustain. Energy Rev. 2014, 38, 368–382. [Google Scholar] [CrossRef]
- Daroch, M.; Geng, S.; Wang, G. Recent Advances in Liquid Biofuel Production from Algal Feedstocks. Appl. Energy 2013, 102, 1371–1381. [Google Scholar] [CrossRef]
- Naylor, R.L.; Higgins, M.M. The Political Economy of Biodiesel in an Era of Low Oil Prices. Renew. Sustain. Energy Rev. 2017, 77, 695–705. [Google Scholar] [CrossRef]
- Rouhany, M.; Montgomery, H. Global Biodiesel Production: The State of the Art and Impact on Climate Change. In Biodiesel; Springer International Publishing: Cham, Switzerland, 2019; pp. 1–14. [Google Scholar]
- Monteiro, M.R.; Kugelmeier, C.L.; Pinheiro, R.S.; Batalha, M.O.; da Silva César, A. Glycerol from Biodiesel Production: Technological Paths for Sustainability. Renew. Sustain. Energy Rev. 2018, 88, 109–122. [Google Scholar] [CrossRef]
- Bharti, R.K.; Singh, A.; Dhar, D.W.; Kaushik, A. Biological Carbon Dioxide Sequestration by Microalgae for Biofuel and Biomaterials Production. In Biomass, Biofuels, Biochemicals; Elsevier: Amsterdam, The Netherlands, 2022; pp. 137–153. [Google Scholar]
- Karlsson, H.; Ahlgren, S.; Sandgren, M.; Passoth, V.; Wallberg, O.; Hansson, P.-A. Greenhouse Gas Performance of Biochemical Biodiesel Production from Straw: Soil Organic Carbon Changes and Time-Dependent Climate Impact. Biotechnol. Biofuels 2017, 10, 217. [Google Scholar] [CrossRef]
- Georgianna, D.R.; Mayfield, S.P. Exploiting Diversity and Synthetic Biology for the Production of Algal Biofuels. Nature 2012, 488, 329–335. [Google Scholar] [CrossRef]
- Pasha, M.K.; Dai, L.; Liu, D.; Guo, M.; Du, W. An Overview to Process Design, Simulation and Sustainability Evaluation of Biodiesel Production. Biotechnol. Biofuels 2021, 14, 129. [Google Scholar] [CrossRef]
- Hemaiswarya, S.; Raja, R.; Ravikumar, R.; Carvalho, I.S. Microalgae Taxonomy and Breeding. In Biofuel Crops: Production, Physiology and Genetics; CABI: Wallingford, UK, 2013; pp. 44–53. [Google Scholar]
- Sajjadi, B.; Chen, W.-Y.Y.; Raman, A.A.A.; Ibrahim, S. Microalgae Lipid and Biomass for Biofuel Production: A Comprehensive Review on Lipid Enhancement Strategies and Their Effects on Fatty Acid Composition. Renew. Sustain. Energy Rev. 2018, 97, 200–232. [Google Scholar] [CrossRef]
- Mata, T.M.; Martins, A.A.; Caetano, N.S. Microalgae for Biodiesel Production and Other Applications: A Review. Renew. Sustain. Energy Rev. 2010, 14, 217–232. [Google Scholar] [CrossRef]
- Evert, R.F.; Eichhorn, S.E. Raven Biology of Plants, 8th ed.; Freeman and Co.: New York, NY, USA, 2013. [Google Scholar]
- Morales, M.; Aflalo, C.; Bernard, O. Microalgal Lipids: A Review of Lipids Potential and Quantification for 95 Phytoplankton Species. Biomass Bioenergy 2021, 150, 106108. [Google Scholar] [CrossRef]
- Bhujade, R.; Chidambaram, M.; Kumar, A.; Sapre, A. Algae to Economically Viable Low-Carbon-Footprint Oil. Annu. Rev. Chem. Biomol. Eng. 2017, 8, 335–357. [Google Scholar] [CrossRef]
- Heredia, V.; Gonçalves, O.; Marchal, L.; Pruvost, J. Producing Energy-Rich Microalgae Biomass for Liquid Biofuels: Influence of Strain Selection and Culture Conditions. Energies 2021, 14, 1246. [Google Scholar] [CrossRef]
- Chen, H.-H.H.; Jiang, J.-G.G. Lipid Accumulation Mechanisms in Auto- and Heterotrophic Microalgae. J. Agric. Food Chem. 2017, 65, 8099–8110. [Google Scholar] [CrossRef]
- D’Alessandro, E.B.; Antoniosi Filho, N.R. Concepts and Studies on Lipid and Pigments of Microalgae: A Review. Renew. Sustain. Energy Rev. 2016, 58, 832–841. [Google Scholar] [CrossRef]
- Li-Beisson, Y.; Thelen, J.J.; Fedosejevs, E.; Harwood, J.L. The Lipid Biochemistry of Eukaryotic Algae. Prog. Lipid Res. 2019, 74, 31–68. [Google Scholar] [CrossRef]
- Rawat, I.; Ranjith Kumar, R.; Mutanda, T.; Bux, F. Biodiesel from Microalgae: A Critical Evaluation from Laboratory to Large Scale Production. Appl. Energy 2013, 103, 444–467. [Google Scholar] [CrossRef]
- Veillette, M.; Giroir-Fendler, A.; Faucheux, N.; Heitz, M. Biodiesel from Microalgae Lipids: From Inorganic Carbon to Energy Production. Biofuels 2018, 9, 175–202. [Google Scholar] [CrossRef]
- Hossain, N.; Mahlia, T.M.I. Progress in Physicochemical Parameters of Microalgae Cultivation for Biofuel Production. Crit. Rev. Biotechnol. 2019, 39, 835–859. [Google Scholar] [CrossRef]
- Kumar, K.; Mishra, S.K.; Shrivastav, A.; Park, M.S.; Yang, J.-W. Recent Trends in the Mass Cultivation of Algae in Raceway Ponds. Renew. Sustain. Energy Rev. 2015, 51, 875–885. [Google Scholar] [CrossRef]
- Correa, D.F.; Beyer, H.L.; Possingham, H.P.; Thomas-Hall, S.R.; Schenk, P.M. Global Mapping of Cost-effective Microalgal Biofuel Production Areas with Minimal Environmental Impact. GCB Bioenergy 2019, 11, gcbb.12619. [Google Scholar] [CrossRef]
- Wang, B.; Lan, C.Q.; Horsman, M. Closed Photobioreactors for Production of Microalgal Biomasses. Biotechnol. Adv. 2012, 30, 904–912. [Google Scholar] [CrossRef]
- Behera, B.; Acharya, A.; Gargey, I.A.; Aly, N.P.B. Bioprocess Engineering Principles of Microalgal Cultivation for Sustainable Biofuel Production. Bioresour. Technol. Rep. 2019, 5, 297–316. [Google Scholar] [CrossRef]
- Pawar, S. Effectiveness Mapping of Open Raceway Pond and Tubular Photobioreactors for Sustainable Production of Microalgae Biofuel. Renew. Sustain. Energy Rev. 2016, 62, 640–653. [Google Scholar] [CrossRef]
- Singh, K.; Kaloni, D.; Gaur, S.; Kushwaha, S.; Mathur, G. Current Research and Perspectives on Microalgae-Derived Biodiesel. Biofuels 2017, 11, 1–18. [Google Scholar] [CrossRef]
- Banerjee, S.; Ramaswamy, S. Comparison of Productivity and Economic Analysis of Microalgae Cultivation in Open Raceways and Flat Panel Photobioreactor. Bioresour. Technol. Rep. 2019, 8, 100328. [Google Scholar] [CrossRef]
- Narala, R.R.; Garg, S.; Sharma, K.K.; Thomas-Hall, S.R.; Deme, M.; Li, Y.; Schenk, P.M. Comparison of Microalgae Cultivation in Photobioreactor, Open Raceway Pond, and a Two-Stage Hybrid System. Front. Energy Res. 2016, 4, 1–10. [Google Scholar] [CrossRef]
- Liyanaarachchi, V.C.; Premaratne, M.; Ariyadasa, T.U.; Nimarshana, P.H.V.; Malik, A. Two-Stage Cultivation of Microalgae for Production of High-Value Compounds and Biofuels: A Review. Algal Res. 2021, 57, 102353. [Google Scholar] [CrossRef]
- Liu, W.; Chen, Y.; Wang, J.; Liu, T. Biomass Productivity of Scenedesmus dimorphus (Chlorophyceae) Was Improved by Using an Open Pond–Photobioreactor Hybrid System. Eur. J. Phycol. 2019, 54, 127–134. [Google Scholar] [CrossRef]
- Yun, J.-H.; Cho, D.-H.; Lee, S.; Heo, J.; Tran, Q.-G.; Chang, Y.K.; Kim, H.-S. Hybrid Operation of Photobioreactor and Wastewater-Fed Open Raceway Ponds Enhances the Dominance of Target Algal Species and Algal Biomass Production. Algal Res. 2018, 29, 319–329. [Google Scholar] [CrossRef]
- Passell, H.; Dhaliwal, H.; Reno, M.; Wu, B.; Ben Amotz, A.; Ivry, E.; Gay, M.; Czartoski, T.; Laurin, L.; Ayer, N. Algae Biodiesel Life Cycle Assessment Using Current Commercial Data. J. Environ. Manage. 2013, 129, 103–111. [Google Scholar] [CrossRef]
- Delrue, F.; Setier, P.-A.; Sahut, C.; Cournac, L.; Roubaud, A.; Peltier, G.; Froment, A.-K. An Economic, Sustainability, and Energetic Model of Biodiesel Production from Microalgae. Bioresour. Technol. 2012, 111, 191–200. [Google Scholar] [CrossRef]
- Remmers, I.M.; Wijffels, R.H.; Barbosa, M.J.; Lamers, P.P. Can We Approach Theoretical Lipid Yields in Microalgae? Trends Biotechnol. 2018, 36, 265–276. [Google Scholar] [CrossRef]
- Singh, P.; Kumari, S.; Guldhe, A.; Misra, R.; Rawat, I.; Bux, F. Trends and Novel Strategies for Enhancing Lipid Accumulation and Quality in Microalgae. Renew. Sustain. Energy Rev. 2016, 55, 1–16. [Google Scholar] [CrossRef]
- Aratboni, H.A.; Rafiei, N.; Garcia-Granados, R.; Alemzadeh, A.; Morones-Ramírez, J.R. Biomass and Lipid Induction Strategies in Microalgae for Biofuel Production and Other Applications. Microb. Cell Fact. 2019, 18, 178. [Google Scholar] [CrossRef]
- Solovchenko, A.; Khozin-Goldberg, I.; Selyakh, I.; Semenova, L.; Ismagulova, T.; Lukyanov, A.; Mamedov, I.; Vinogradova, E.; Karpova, O.; Konyukhov, I.; et al. Phosphorus Starvation and Luxury Uptake in Green Microalgae Revisited. Algal Res. 2019, 43, 101651. [Google Scholar] [CrossRef]
- da Silva Ferreira, V.; Sant’Anna, C. The Effect of Physicochemical Conditions and Nutrient Sources on Maximizing the Growth and Lipid Productivity of Green Microalgae. Phycol. Res. 2017, 65, 3–13. [Google Scholar] [CrossRef]
- Tan, K.W.M.; Lee, Y.K. The Dilemma for Lipid Productivity in Green Microalgae: Importance of Substrate Provision in Improving Oil Yield without Sacrificing Growth. Biotechnol. Biofuels 2016, 9, 255. [Google Scholar] [CrossRef]
- Aziz, M.M.A.; Kassim, K.A.; Shokravi, Z.; Jakarni, F.M.; Liu, H.Y.; Zaini, N.; Tan, L.S.; Islam, A.B.M.S.; Shokravi, H. Two-Stage Cultivation Strategy for Simultaneous Increases in Growth Rate and Lipid Content of Microalgae: A Review. Renew. Sustain. Energy Rev. 2020, 119, 109621. [Google Scholar] [CrossRef]
- Nagappan, S.; Devendran, S.; Tsai, P.-C.; Dahms, H.-U.; Ponnusamy, V.K. Potential of Two-Stage Cultivation in Microalgae Biofuel Production. Fuel 2019, 252, 339–349. [Google Scholar] [CrossRef]
- Banerjee, A.; Banerjee, C.; Negi, S.; Chang, J.S.; Shukla, P. Improvements in Algal Lipid Production: A Systems Biology and Gene Editing Approach. Crit. Rev. Biotechnol. 2018, 38, 369–385. [Google Scholar] [CrossRef]
- Park, S.; Nguyen, T.H.T.; Jin, E. Improving Lipid Production by Strain Development in Microalgae: Strategies, Challenges and Perspectives. Bioresour. Technol. 2019, 292, 121953. [Google Scholar] [CrossRef]
- Naduthodi, M.I.S.; Claassens, N.J.; D’Adamo, S.; van der Oost, J.; Barbosa, M.J. Synthetic Biology Approaches to Enhance Microalgal Productivity. Trends Biotechnol. 2021, 39, 1019–1036. [Google Scholar] [CrossRef] [PubMed]
- Ng, I.; Keskin, B.B.; Tan, S. A Critical Review of Genome Editing and Synthetic Biology Applications in Metabolic Engineering of Microalgae and Cyanobacteria. Biotechnol. J. 2020, 15, 1900228. [Google Scholar] [CrossRef] [PubMed]
- Aléman-Nava, G.S.; Muylaert, K.; Cuellar Bermudez, S.P.; Depraetere, O.; Rittmann, B.; Parra-Saldívar, R.; Vandamme, D. Two-Stage Cultivation of Nannochloropsis oculata for Lipid Production Using Reversible Alkaline Flocculation. Bioresour. Technol. 2017, 226, 18–23. [Google Scholar] [CrossRef]
- Su, C.H.; Chien, L.J.; Gomes, J.; Lin, Y.S.; Yu, Y.K.; Liou, J.S.; Syu, R.J. Factors Affecting Lipid Accumulation by Nannochloropsis oculata in a Two-Stage Cultivation Process. J. Appl. Phycol. 2011, 23, 903–908. [Google Scholar] [CrossRef]
- Muthuraj, M.; Chandra, N.; Palabhanvi, B.; Kumar, V.; Das, D. Process Engineering for High-Cell-Density Cultivation of Lipid Rich Microalgal Biomass of Chlorella Sp. FC2 IITG. BioEnergy Res. 2015, 8, 726–739. [Google Scholar] [CrossRef]
- Nayak, M.; Suh, W.I.; Chang, Y.K.; Lee, B. Exploration of Two-Stage Cultivation Strategies Using Nitrogen Starvation to Maximize the Lipid Productivity in Chlorella Sp. HS2. Bioresour. Technol. 2019, 276, 110–118. [Google Scholar] [CrossRef]
- Amaral, M.S.; Loures, C.C.A.; Pedro, G.A.; Reis, C.E.R.; De Castro, H.F.; Naves, F.L.; Silva, M.B.; Prata, A.M.R. An Unconventional Two-Stage Cultivation Strategy to Increase the Lipid Content and Enhance the Fatty Acid Profile on Chlorella minutissima Biomass Cultivated in a Novel Internal Light Integrated Photobioreactor Aiming at Biodiesel Production. Renew. Energy 2020, 156, 591–601. [Google Scholar] [CrossRef]
- Xia, L.; Ge, H.; Zhou, X.; Zhang, D.; Hu, C. Photoautotrophic Outdoor Two-Stage Cultivation for Oleaginous Microalgae Scenedesmus obtusus XJ-15. Bioresour. Technol. 2013, 144, 261–267. [Google Scholar] [CrossRef]
- Xia, L.; Rong, J.; Yang, H.; He, Q.; Zhang, D.; Hu, C. NaCl as an Effective Inducer for Lipid Accumulation in Freshwater Microalgae Desmodesmus abundans. Bioresour. Technol. 2014, 161, 402–409. [Google Scholar] [CrossRef]
- Chokshi, K.; Pancha, I.; Ghosh, A.; Mishra, S. Salinity Induced Oxidative Stress Alters the Physiological Responses and Improves the Biofuel Potential of Green Microalgae Acutodesmus dimorphus. Bioresour. Technol. 2017, 244, 1376–1383. [Google Scholar] [CrossRef]
- Mirizadeh, S.; Nosrati, M.; Shojaosadati, S.A. Synergistic Effect of Nutrient and Salt Stress on Lipid Productivity of Chlorella vulgaris through Two-Stage Cultivation. BioEnergy Res. 2020, 13, 507–517. [Google Scholar] [CrossRef]
- Lu, Y.; Xu, J. Phytohormones in Microalgae: A New Opportunity for Microalgal Biotechnology? Trends Plant Sci. 2015, 20, 273–282. [Google Scholar] [CrossRef] [PubMed]
- Han, X.; Zeng, H.; Bartocci, P.; Fantozzi, F.; Yan, Y. Phytohormones and Effects on Growth and Metabolites of Microalgae: A Review. Fermentation 2018, 4, 25. [Google Scholar] [CrossRef]
- Wang, C.; Qi, M.; Guo, J.; Zhou, C.; Yan, X.; Ruan, R.; Cheng, P. The Active Phytohormone in Microalgae: The Characteristics, Efficient Detection, and Their Adversity Resistance Applications. Molecules 2021, 27, 46. [Google Scholar] [CrossRef] [PubMed]
- Zhao, Y.; Wang, H.; Han, B.; Yu, X. Coupling of Abiotic Stresses and Phytohormones for the Production of Lipids and High-Value by-Products by Microalgae: A Review. Bioresour. Technol. 2019, 274, 549–556. [Google Scholar] [CrossRef] [PubMed]
- Renuka, N.; Guldhe, A.; Singh, P.; Ansari, F.A.; Rawat, I.; Bux, F. Evaluating the Potential of Cytokinins for Biomass and Lipid Enhancement in Microalga Acutodesmus obliquus under Nitrogen Stress. Energy Convers. Manag. 2017, 140, 14–23. [Google Scholar] [CrossRef]
- Babu, A.G.; Wu, X.; Kabra, A.N.; Kim, D. Cultivation of an Indigenous Chlorella sorokiniana with Phytohormones for Biomass and Lipid Production under N-Limitation. Algal Res. 2017, 23, 178–185. [Google Scholar] [CrossRef]
- Guldhe, A.; Renuka, N.; Singh, P.; Bux, F. Effect of Phytohormones from Different Classes on Gene Expression of Chlorella Sorokiniana under Nitrogen Limitation for Enhanced Biomass and Lipid Production. Algal Res. 2019, 40, 101518. [Google Scholar] [CrossRef]
- Yu, Z.; Pei, H.; Jiang, L.; Hou, Q.; Nie, C.; Zhang, L. Phytohormone Addition Coupled with Nitrogen Depletion Almost Tripled the Lipid Productivities in Two Algae. Bioresour. Technol. 2018, 247, 904–914. [Google Scholar] [CrossRef]
- Du, H.; Ren, J.; Li, Z.; Zhang, H.; Wang, K.; Lin, B.; Zheng, S.; Zhao, C.; Meng, C.; Gao, Z. Plant Growth Regulators Affect Biomass, Protein, Carotenoid, and Lipid Production in Botryococcus braunii. Aquac. Int. 2020, 28, 1319–1340. [Google Scholar] [CrossRef]
- Jusoh, M.; Loh, S.H.; Chuah, T.S.; Aziz, A.; Cha, T.S. Indole-3-Acetic Acid (IAA) Induced Changes in Oil Content, Fatty Acid Profiles and Expression of Four Fatty Acid Biosynthetic Genes in Chlorella vulgaris at Early Stationary Growth Phase. Phytochemistry 2015, 111, 65–71. [Google Scholar] [CrossRef] [PubMed]
- Song, X.; Zhao, Y.; Li, T.; Han, B.; Zhao, P.; Xu, J.; Yu, X. Enhancement of Lipid Accumulation in Monoraphidium Sp. QLY-1 by Induction of Strigolactone. Bioresour. Technol. 2019, 288, 121607. [Google Scholar] [CrossRef] [PubMed]
- Udayan, A.; Sabapathy, H.; Arumugam, M. Stress Hormones Mediated Lipid Accumulation and Modulation of Specific Fatty Acids in Nannochloropsis oceanica CASA CC201. Bioresour. Technol. 2020, 310, 123437. [Google Scholar] [CrossRef] [PubMed]
- González-Garcinuño, Á.; Sánchez-Álvarez, J.M.; Galán, M.A.; Martin del Valle, E.M. Understanding and Optimizing the Addition of Phytohormones in the Culture of Microalgae for Lipid Production. Biotechnol. Prog. 2016, 32, 1203–1211. [Google Scholar] [CrossRef] [PubMed]
- Kozlova, T.A.; Hardy, B.P.; Levin, D.B. The Combined Influence of 24-epibrassinolide and 3-indoleacetic Acid on Growth and Accumulation of Pigments and Fatty Acids in the Microalgae Scenedesmus quadricauda (CPCC-158). Algal Res. 2018, 35, 22–32. [Google Scholar] [CrossRef]
- Seemashree, M.H.; Chauhan, V.S.; Sarada, R. Phytohormone Supplementation Mediated Enhanced Biomass Production, Lipid Accumulation, and Modulation of Fatty Acid Profile in Porphyridium purpureum and Dunaliella salina Cultures. Biocatal. Agric. Biotechnol. 2022, 39, 102253. [Google Scholar] [CrossRef]
- Wu, G.; Gao, Z.; Du, H.; Lin, B.; Yan, Y.; Li, G.; Guo, Y.; Fu, S.; Wei, G.; Wang, M.; et al. The Effects of Abscisic Acid, Salicylic Acid and Jasmonic Acid on Lipid Accumulation in Two Freshwater Chlorella Strains. J. Gen. Appl. Microbiol. 2018, 64, 42–49. [Google Scholar] [CrossRef]
- Sulochana, S.B.; Arumugam, M. Influence of Abscisic Acid on Growth, Biomass and Lipid Yield of Scenedesmus quadricauda under Nitrogen Starved Condition. Bioresour. Technol. 2016, 213, 198–203. [Google Scholar] [CrossRef]
- El Arroussi, H.; Benhima, R.; Bennis, I.; El Mernissi, N.; Wahby, I. Improvement of the Potential of Dunaliella tertiolecta as a Source of Biodiesel by Auxin Treatment Coupled to Salt Stress. Renew. Energy 2015, 77, 15–19. [Google Scholar] [CrossRef]
- Touliabah, H.E.-S.; Almutairi, A.W. Effect of Phytohormones Supplementation under Nitrogen Depletion on Biomass and Lipid Production of Nannochloropsis oceanica for Integrated Application in Nutrition and Biodiesel. Sustainability 2021, 13, 592. [Google Scholar] [CrossRef]
- Kozlova, T.A.; Hardy, B.P.; Krishna, P.; Levin, D.B. Effect of Phytohormones on Growth and Accumulation of Pigments and Fatty Acids in the Microalgae Scenedesmus quadricauda. Algal Res. 2017, 27, 325–334. [Google Scholar] [CrossRef]
- Sijil, P.V.; Adki, V.R.; Sarada, R.; Chauhan, V.S. Strategies for Enhancement of Alpha-Linolenic Acid Rich Lipids in Desmodesmus Sp. without Compromising the Biomass Production. Bioresour. Technol. 2019, 294, 122215. [Google Scholar] [CrossRef] [PubMed]
- Jusoh, M.; Loh, S.H.; Chuah, T.S.; Aziz, A.; Cha, T.S. Elucidating the Role of Jasmonic Acid in Oil Accumulation, Fatty Acid Composition and Gene Expression in Chlorella vulgaris (Trebouxiophyceae) during Early Stationary Growth Phase. Algal Res. 2015, 9, 14–20. [Google Scholar] [CrossRef]
- Xu, J.; Fan, X.; Li, X.; Liu, G.; Zhang, Z.; Zhu, Y.; Fu, Z.; Qian, H. Effect of Salicylic Acid on Fatty Acid Accumulation in Phaeodactylum tricornutum during Stationary Growth Phase. J. Appl. Phycol. 2017, 29, 2801–2810. [Google Scholar] [CrossRef]
- Renuka, N.; Guldhe, A.; Singh, P.; Bux, F. Combined Effect of Exogenous Phytohormones on Biomass and Lipid Production in Acutodesmus obliquus under Nitrogen Limitation. Energy Convers. Manag. 2018, 168, 522–528. [Google Scholar] [CrossRef]
- Singh, D.; Mathur, A.S.; Tuli, D.K.; Puri, M.; Barrow, C.J. Propyl Gallate and Butylated Hydroxytoluene Influence the Accumulation of Saturated Fatty Acids, Omega-3 Fatty Acid and Carotenoids in Thraustochytrids. J. Funct. Foods 2015, 15, 186–192. [Google Scholar] [CrossRef]
- Franz, A.K.; Danielewicz, M.A.; Wong, D.M.; Anderson, L.A.; Boothe, J.R. Phenotypic Screening with Oleaginous Microalgae Reveals Modulators of Lipid Productivity. ACS Chem. Biol. 2013, 8, 1053–1062. [Google Scholar] [CrossRef]
- Ma, Y.; Balamurugan, S.; Yuan, W.; Yang, F.; Tang, C.; Hu, H.; Zhang, H.; Shu, X.; Li, M.; Huang, S.; et al. Quercetin Potentiates the Concurrent Hyper-Accumulation of Cellular Biomass and Lipids in Chlorella vulgaris. Bioresour. Technol. 2018, 269, 434–442. [Google Scholar] [CrossRef]
- Esakkimuthu, S.; Krishnamurthy, V.; Wang, S.; Hu, X.; Swaminathan, K.; Abomohra, A.E.-F. Application of P-Coumaric Acid for Extraordinary Lipid Production in Tetradesmus obliquus: A Sustainable Approach towards Enhanced Biodiesel Production. Renew. Energy 2020, 157, 368–376. [Google Scholar] [CrossRef]
- Tan, X.; Zhu, J.; Wakisaka, M. Enhancement of Lipid Production by Euglena gracilis Using Vanillin as a Growth Stimulant. J. Jpn. Inst. Energy 2021, 100, 127–134. [Google Scholar] [CrossRef]
- Zhu, J.; Tan, X.; Hafid, H.S.; Wakisaka, M. Enhancement of Biomass Yield and Lipid Accumulation of Freshwater Microalga Euglena gracilis by Phenolic Compounds from Basic Structures of Lignin. Bioresour. Technol. 2021, 321, 124441. [Google Scholar] [CrossRef] [PubMed]
- Meng, Y.; Chen, H.; Liu, J.; Zhang, C.-Y. Melatonin Facilitates the Coordination of Cell Growth and Lipid Accumulation in Nitrogen-Stressed Chlamydomonas reinhardtii for Biodiesel Production. Algal Res. 2020, 46, 101786. [Google Scholar] [CrossRef]
- Ren, H.; Liu, B.; Kong, F.; Zhao, L.; Xie, G.; Ren, N. Bioresource Technology Enhanced Lipid Accumulation of Green Microalga Scenedesmus Sp. by Metal Ions and EDTA Addition. Bioresour. Technol. 2014, 169, 763–767. [Google Scholar] [CrossRef] [PubMed]
- Sun, X.-M.; Ren, L.-J.; Zhao, Q.-Y.; Zhang, L.-H.; Huang, H. Application of Chemicals for Enhancing Lipid Production in Microalgae-a Short Review. Bioresour. Technol. 2019, 293, 122135. [Google Scholar] [CrossRef]
- Satpati, G.G.; Gorain, P.C.; Pal, R. Efficacy of EDTA and Phosphorous on Biomass Yield and Total Lipid Accumulation in Two Green Microalgae with Special Emphasis on Neutral Lipid Detection by Flow Cytometry. Adv. Biol. 2016, 2016, 8712470. [Google Scholar] [CrossRef]
- Zhao, Y.; Li, D.; Xu, J.-W.; Zhao, P.; Li, T.; Ma, H.; Yu, X. Melatonin Enhances Lipid Production in Monoraphidium sp. QLY-1 under Nitrogen Deficiency Conditions via a Multi-Level Mechanism. Bioresour. Technol. 2018, 259, 46–53. [Google Scholar] [CrossRef]
- Li, D.; Zhao, Y.; Ding, W.; Zhao, P.; Xu, J.-W.; Li, T.; Ma, H.; Yu, X. A Strategy for Promoting Lipid Production in Green Microalgae Monoraphidium Sp. QLY-1 by Combined Melatonin and Photoinduction. Bioresour. Technol. 2017, 235, 104–112. [Google Scholar] [CrossRef]
- Zhao, Y.; Song, X.; Zhao, P.; Li, T.; Xu, J.-W.; Yu, X. Role of Melatonin in Regulation of Lipid Accumulation, Autophagy and Salinity-Induced Oxidative Stress in Microalga Monoraphidium Sp. QLY-1. Algal Res. 2021, 54, 102196. [Google Scholar] [CrossRef]
- Wase, N.; Tu, B.; Allen, J.W.; Black, P.N.; DiRusso, C.C. Identification and Metabolite Profiling of Chemical Activators of Lipid Accumulation in Green Algae. Plant Physiol. 2017, 174, 2146–2165. [Google Scholar] [CrossRef]
- Lian, J.; Wijffels, R.H.; Smidt, H.; Sipkema, D. The Effect of the Algal Microbiome on Industrial Production of Microalgae. Microb. Biotechnol. 2018, 11, 806–818. [Google Scholar] [CrossRef]
- Arora, N.; Patel, A.; Mehtani, J.; Pruthi, P.A.; Pruthi, V.; Poluri, K.M. Co-Culturing of Oleaginous Microalgae and Yeast: Paradigm Shift towards Enhanced Lipid Productivity. Environ. Sci. Pollut. Res. 2019, 26, 16952–16973. [Google Scholar] [CrossRef] [PubMed]
- Dias, C.; Santos, J.; Reis, A.; Lopes da Silva, T. Yeast and Microalgal Symbiotic Cultures Using Low-Cost Substrates for Lipid Production. Bioresour. Technol. Rep. 2019, 7, 100261. [Google Scholar] [CrossRef]
- Toyama, T.; Hanaoka, T.; Yamada, K.; Suzuki, K.; Tanaka, Y.; Morikawa, M.; Mori, K. Enhanced Production of Biomass and Lipids by Euglena gracilis via Co-Culturing with a Microalga Growth-Promoting Bacterium, Emticicia Sp. EG3. Biotechnol. Biofuels 2019, 12, 205. [Google Scholar] [CrossRef]
- Palacios, O.A.; López, B.R.; De-Bashan, L.E. Microalga Growth-Promoting Bacteria (MGPB): A Formal Term Proposed for Beneficial Bacteria Involved in Microalgal–Bacterial Interactions. Algal Res. 2022, 61, 102585. [Google Scholar] [CrossRef]
- Ray, A.; Nayak, M.; Ghosh, A. A Review on Co-Culturing of Microalgae: A Greener Strategy towards Sustainable Biofuels Production. Sci. Total Environ. 2022, 802, 149765. [Google Scholar] [CrossRef] [PubMed]
- Liu, L.; Chen, J.; Lim, P.-E.; Wei, D. Enhanced Single Cell Oil Production by Mixed Culture of Chlorella pyrenoidosa and Rhodotorula glutinis Using Cassava Bagasse Hydrolysate as Carbon Source. Bioresour. Technol. 2018, 255, 140–148. [Google Scholar] [CrossRef] [PubMed]
- Kitcha, S.; Cheirsilp, B. Enhanced Lipid Production by Co-Cultivation and Co-Encapsulation of Oleaginous Yeast Trichosporonoides spathulata with Microalgae in Alginate Gel Beads. Appl. Biochem. Biotechnol. 2014, 173, 522–534. [Google Scholar] [CrossRef] [PubMed]
- Tandon, P.; Jin, Q.; Huang, L. A Promising Approach to Enhance Microalgae Productivity by Exogenous Supply of Vitamins. Microb. Cell Fact. 2017, 16, 219. [Google Scholar] [CrossRef]
- Kumsiri, B.; Pekkoh, J.; Pathom-aree, W.; Lumyong, S.; Phinyo, K.; Pumas, C.; Srinuanpan, S. Enhanced Production of Microalgal Biomass and Lipid as an Environmentally Friendly Biodiesel Feedstock through Actinomycete Co-Culture in Biogas Digestate Effluent. Bioresour. Technol. 2021, 337, 125446. [Google Scholar] [CrossRef]
- Lakshmikandan, M.; Wang, S.; Murugesan, A.G.; Saravanakumar, M.; Selvakumar, G. Co-Cultivation of Streptomyces and Microalgal Cells as an Efficient System for Biodiesel Production and Bioflocculation Formation. Bioresour. Technol. 2021, 332, 125118. [Google Scholar] [CrossRef]
- Feng, Y.; Xiao, J.; Cui, N.; Zhao, Y.; Zhao, P. Enhancement of Lipid Productivity and Self-Flocculation by Cocultivating Monoraphidium Sp. FXY-10 and Heveochlorella Sp. Yu under Mixotrophic Mode. Appl. Biochem. Biotechnol. 2021, 193, 3173–3186. [Google Scholar] [CrossRef] [PubMed]
- Stockenreiter, M.; Litchman, E. Nitrogen-Fixer Enhances Lipid Yields in Algal Polycultures. Algal Res. 2019, 44, 101676. [Google Scholar] [CrossRef]
- Zhang, C.; Ho, S.-H.; Li, A.; Fu, L.; Zhou, D. Co-Culture of Chlorella and Scenedesmus Could Enhance Total Lipid Production under Bacteria Quorum Sensing Molecule Stress. J. Water Process Eng. 2021, 39, 101739. [Google Scholar] [CrossRef]
- Corrêa, D.d.O.; Duarte, M.E.R.; Noseda, M.D. Biomass Production and Harvesting of Desmodesmus subspicatus Cultivated in Flat Plate Photobioreactor Using Chitosan as Flocculant Agent. J. Appl. Phycol. 2019, 31, 857–866. [Google Scholar] [CrossRef]
- Ashokkumar, V.; Chen, W.-H.; Ngamcharussrivichai, C.; Agila, E.; Ani, F.N. Potential of Sustainable Bioenergy Production from Synechocystis Sp. Cultivated in Wastewater at Large Scale—A Low Cost Biorefinery Approach. Energy Convers. Manag. 2019, 186, 188–199. [Google Scholar] [CrossRef]
- Branco-Vieira, M.; San Martin, S.; Agurto, C.; Santos, M.; Freitas, M.; Mata, T.; Martins, A.; Caetano, N. Potential of Phaeodactylum tricornutum for Biodiesel Production under Natural Conditions in Chile. Energies 2017, 11, 54. [Google Scholar] [CrossRef]
- He, Q.; Yang, H.; Hu, C. Culture Modes and Financial Evaluation of Two Oleaginous Microalgae for Biodiesel Production in Desert Area with Open Raceway Pond. Bioresour. Technol. 2016, 218, 571–579. [Google Scholar] [CrossRef]
- Kumar, A.K.; Sharma, S.; Shah, E.; Parikh, B.S.; Patel, A.; Dixit, G.; Gupta, S.; Divecha, J.M. Cultivation of Ascochloris Sp. ADW007-Enriched Microalga in Raw Dairy Wastewater for Enhanced Biomass and Lipid Productivity. Int. J. Environ. Sci. Technol. 2019, 16, 943–954. [Google Scholar] [CrossRef]
- Koley, S.; Mathimani, T.; Bagchi, S.K.; Sonkar, S.; Mallick, N. Microalgal Biodiesel Production at Outdoor Open and Polyhouse Raceway Pond Cultivations: A Case Study with Scenedesmus accuminatus Using Low-Cost Farm Fertilizer Medium. Biomass Bioenergy 2019, 120, 156–165. [Google Scholar] [CrossRef]
- Tamil Selvan, S.; Velramar, B.; Ramamurthy, D.; Balasundaram, S.; Sivamani, K. Pilot Scale Wastewater Treatment, CO2 Sequestration and Lipid Production Using Microalga, Neochloris aquatica RDS02. Int. J. Phytoremediation 2020, 0, 1–18. [Google Scholar] [CrossRef]
- Wen, X.; Du, K.; Wang, Z.; Peng, X.; Luo, L.; Tao, H.; Xu, Y.; Zhang, D.; Geng, Y.; Li, Y. Effective Cultivation of Microalgae for Biofuel Production: A Pilot-Scale Evaluation of a Novel Oleaginous Microalga Graesiella Sp. WBG-1. Biotechnol. Biofuels 2016, 9, 123. [Google Scholar] [CrossRef] [PubMed]
- Lam, M.K.; Lee, K.T. Cultivation of Chlorella vulgaris in a Pilot-Scale Sequential-Baffled Column Photobioreactor for Biomass and Biodiesel Production. Energy Convers. Manag. 2014, 88, 399–410. [Google Scholar] [CrossRef]
- Mendes, L.B.B.; Viegas, C.V.; Joao, R.R.; da Silva, R.B. Microalgae Production: A Sustainable Alternative for a Low-Carbon Economy Transition. Open Microalgae Biotechnol. 2021, 1, 1–7. [Google Scholar] [CrossRef]
- Huntley, M.E.; Johnson, Z.I.; Brown, S.L.; Sills, D.L.; Gerber, L.; Archibald, I.; Machesky, S.C.; Granados, J.; Beal, C.; Greene, C.H. Demonstrated Large-Scale Production of Marine Microalgae for Fuels and Feed. Algal Res. 2015, 10, 249–265. [Google Scholar] [CrossRef]
- Abu Jayyab, M.; Al-Zuhair, S. Use of Microalgae for Simultaneous Industrial Wastewater Treatment and Biodiesel Production. Int. J. Environ. Res. 2020, 14, 311–322. [Google Scholar] [CrossRef]
- Lu, W.; Wang, Z.; Wang, X.; Yuan, Z. Cultivation of Chlorella sp. Using Raw Dairy Wastewater for Nutrient Removal and Biodiesel Production: Characteristics Comparison of Indoor Bench-Scale and Outdoor Pilot-Scale Cultures. Bioresour. Technol. 2015, 192, 382–388. [Google Scholar] [CrossRef]
- Chisti, Y. Constraints to Commercialization of Algal Fuels. J. Biotechnol. 2013, 167, 201–214. [Google Scholar] [CrossRef]
- Jin, H.; Zhang, H.; Zhou, Z.; Li, K.; Hou, G.; Xu, Q.; Chuai, W.; Zhang, C.; Han, D.; Hu, Q. Ultrahigh-cell-density Heterotrophic Cultivation of the Unicellular Green Microalga Scenedesmus acuminatus and Application of the Cells to Photoautotrophic Culture Enhance Biomass and Lipid Production. Biotechnol. Bioeng. 2020, 117, 96–108. [Google Scholar] [CrossRef]
- Slade, R.; Bauen, A. Micro-Algae Cultivation for Biofuels: Cost, Energy Balance, Environmental Impacts and Future Prospects. Biomass Bioenergy 2013, 53, 29–38. [Google Scholar] [CrossRef]
- Kumar, D.; Singh, B. Algal Biorefinery: An Integrated Approach for Sustainable Biodiesel Production. Biomass Bioenergy 2019, 131, 105398. [Google Scholar] [CrossRef]
- Zhu, L. Biorefinery as a Promising Approach to Promote Microalgae Industry: An Innovative Framework. Renew. Sustain. Energy Rev. 2015, 41, 1376–1384. [Google Scholar] [CrossRef]
- Branco-Vieira, M.; San Martin, S.; Agurto, C.; Freitas, M.A.V.; Martins, A.A.; Mata, T.M.; Caetano, N.S. Biotechnological Potential of Phaeodactylum tricornutum for Biorefinery Processes. Fuel 2020, 268, 117357. [Google Scholar] [CrossRef]
- Giwa, A.; Adeyemi, I.; Dindi, A.; Lopez, C.G.-B.; Lopresto, C.G.; Curcio, S.; Chakraborty, S. Techno-Economic Assessment of the Sustainability of an Integrated Biorefinery from Microalgae and Jatropha: A Review and Case Study. Renew. Sustain. Energy Rev. 2018, 88, 239–257. [Google Scholar] [CrossRef]
- Lee, O.K.; Seong, D.H.; Lee, C.G.; Lee, E.Y. Sustainable Production of Liquid Biofuels from Renewable Microalgae Biomass. J. Ind. Eng. Chem. 2015, 29, 24–31. [Google Scholar] [CrossRef]
- Show, K.; Lee, D.-J.; Tay, J.; Lee, T.; Chang, J. Microalgal Drying and Cell Disruption—Recent Advances. Bioresour. Technol. 2015, 184, 258–266. [Google Scholar] [CrossRef]
- Nayak, M.; Karemore, A.; Sen, R. Sustainable Valorization of Flue Gas CO2 and Wastewater for the Production of Microalgal Biomass as a Biofuel Feedstock in Closed and Open Reactor Systems. RSC Adv. 2016, 6, 91111–91120. [Google Scholar] [CrossRef]
- Selvan, S.T.; Govindasamy, B.; Muthusamy, S.; Ramamurthy, D. Exploration of Green Integrated Approach for Effluent Treatment through Mass Culture and Biofuel Production from Unicellular Alga, Acutodesmus obliquus RDS01. Int. J. Phytoremediation 2019, 21, 1305–1322. [Google Scholar] [CrossRef]
- Huang, H.; Zhong, S.; Wen, S.; Luo, C.; Long, T. Improving the Efficiency of Wastewater Treatment and Microalgae Production for Biofuels. Resour. Conserv. Recycl. 2022, 178, 106094. [Google Scholar] [CrossRef]
- Park, S.; Ahn, Y.; Pandi, K.; Ji, M.-K.; Yun, H.-S.; Choi, J. Microalgae Cultivation in Pilot Scale for Biomass Production Using Exhaust Gas from Thermal Power Plants. Energies 2019, 12, 3497. [Google Scholar] [CrossRef]
- Zhu, B.; Sun, F.; Yang, M.; Lu, L.; Yang, G.; Pan, K. Large-Scale Biodiesel Production Using Flue Gas from Coal-Fired Power Plants with Nannochloropsis Microalgal Biomass in Open Raceway Ponds. Bioresour. Technol. 2014, 174, 53–59. [Google Scholar] [CrossRef]
- Ogunkunle, O.; Ahmed, N.A. A Review of Global Current Scenario of Biodiesel Adoption and Combustion in Vehicular Diesel Engines. Energy Rep. 2019, 5, 1560–1579. [Google Scholar] [CrossRef]
- de Souza, T.A.Z.; Pinto, G.M.; Julio, A.A.V.; Coronado, C.J.R.; Perez-Herrera, R.; Siqueira, B.O.P.S.; da Costa, R.B.R.; Roberts, J.J.; Palacio, J.C.E. Biodiesel in South American Countries: A Review on Policies, Stages of Development and Imminent Competition with Hydrotreated Vegetable Oil. Renew. Sustain. Energy Rev. 2022, 153, 111755. [Google Scholar] [CrossRef]
- ANP Evolução Do Percentual de Teor de Biodiesel Presente No Diesel Fóssil No Brasil. Available online: https://www.gov.br/anp/pt-br/canais_atendimento/imprensa/noticias-comunicados/mistura-de-biodiesel-ao-diesel-passa-a-ser-de-13-a-partir-de-hoje-1-3 (accessed on 2 September 2022).
- Ramos, M.D.N.; Milessi, T.S.; Candido, R.G.; Mendes, A.A.; Aguiar, A. Enzymatic Catalysis as a Tool in Biofuels Production in Brazil: Current Status and Perspectives. Energy Sustain. Dev. 2022, 68, 103–119. [Google Scholar] [CrossRef]
- Zhong, L.; Feng, Y.; Wang, G.; Wang, Z.; Bilal, M.; Lv, H.; Jia, S.; Cui, J. Production and Use of Immobilized Lipases in/on Nanomaterials: A Review from the Waste to Biodiesel Production. Int. J. Biol. Macromol. 2020, 152, 207–222. [Google Scholar] [CrossRef] [PubMed]
- Everton, S.S.; Sousa, I.; da Silva Dutra, L.; Cipolatti, E.P.; Aguieiras, E.C.G.; Manoel, E.A.; Greco-Duarte, J.; Pinto, M.C.C.; Freire, D.M.G.; Pinto, J.C. The Role of Brazil in the Advancement of Enzymatic Biodiesel Production. Braz. J. Chem. Eng. 2022, in press. [Google Scholar] [CrossRef]
- Andrade, D.S.; Telles, T.S.; Leite Castro, G.H. The Brazilian Microalgae Production Chain and Alternatives for Its Consolidation. J. Clean. Prod. 2020, 250, 119526. [Google Scholar] [CrossRef]
- Hadi, S.I.I.A.; Santana, H.; Brunale, P.P.M.; Gomes, T.G.; Oliveira, M.D.; Matthiensen, A.; Oliveira, M.E.C.; Silva, F.C.P.; Brasil, B.S.A.F. DNA Barcoding Green Microalgae Isolated from Neotropical Inland Waters. PLoS ONE 2016, 11, e0149284. [Google Scholar] [CrossRef]
- Cabanelas, I.T.D.; Marques, S.S.I.; de Souza, C.O.; Druzian, J.I.; Nascimento, I.A. Botryococcus, What to Do with It? Effect of Nutrient Concentration on Biorefinery Potential. Algal Res. 2015, 11, 43–49. [Google Scholar] [CrossRef]
- Ribeiro, D.M.; Minillo, A.; Silva, C.A.D.A.; Fonseca, G.G. Characterization of Different Microalgae Cultivated in Open Ponds. Acta Sci. Technol. 2019, 41, 37723. [Google Scholar] [CrossRef]
- Calixto, C.D.; da Silva Santana, J.K.; Tibúrcio, V.P.; de Pontes, L.d.F.B.L.; da Costa Sassi, C.F.; da Conceição, M.M.; Sassi, R. Productivity and Fuel Quality Parameters of Lipids Obtained from 12 Species of Microalgae from the Northeastern Region of Brazil. Renew. Energy 2018, 115, 1144–1152. [Google Scholar] [CrossRef]
- Matos, Â.P.; Teixeira, M.S.; Corrêa, F.M.P.S.; Machado, M.M.; Werner, R.I.S.; Aguiar, A.C.; Cubas, A.L.V.; Sant’Anna, E.S.; Moecke, E.H.S. Disruption of Nannochloropsis gaditana (Eustigmatophyceae) Rigid Cell Wall by Non-Thermal Plasma Prior to Lipid Extraction and Its Effect on Fatty Acid Composition. Braz. J. Chem. Eng. 2019, 36, 1419–1428. [Google Scholar] [CrossRef]
- Matsudo, M.C.; Sant´Anna, C.L.; Pérez-Mora, L.S.; da Silva, R.C.; Carvalho, J.C. Evaluation of Green Microalgae Isolated from Central and North Coast of São Paulo as Source of Oil. J. Biotechnol. Biodivers. 2021, 9, 012–019. [Google Scholar] [CrossRef]
- Kuss, V.V.; Carliz, R.G.; Díaz, G.C.; Viegas, C.V.; Aranda, D.A.G.; Cruz, Y.R. Evaluation of Lipid Yield for Biodiesel Production Extracted from Microalgae Scenedesmus Sp. Submitted to Different Homogenization Times and Physicochemical Changes. Braz. J. Dev. 2020, 6, 22066–22081. [Google Scholar] [CrossRef]
- Assemany, P.P.; Calijuri, M.L.; Tango, M.D.; Couto, E.A. Energy Potential of Algal Biomass Cultivated in a Photobioreactor Using Effluent from a Meat Processing Plant. Algal Res. 2016, 17, 53–60. [Google Scholar] [CrossRef]
- Tango, M.D.; Calijuri, M.L.; Assemany, P.P.; do Couto, E.d.A. Microalgae Cultivation in Agro-Industrial Effluents for Biodiesel Application: Effects of the Availability of Nutrients. Water Sci. Technol. 2018, 78, 57–68. [Google Scholar] [CrossRef]
- Batista, F.R.M.; Lucchesi, K.W.; Carareto, N.D.D.; Costa, M.C.D.; Meirelles, A.J.A. Properties of Microlgae Oil from the Species Chlorella protothecoides and Its Ethylic Biodiesel. Braz. J. Chem. Eng. 2018, 35, 1383–1394. [Google Scholar] [CrossRef]
- Brasil, B.S.A.; Silva, F.C.P.; Siqueira, F.G. Microalgae Biorefineries: The Brazilian Scenario in Perspective. New Biotechnol. 2017, 39, 90–98. [Google Scholar] [CrossRef]
- Brantes, L.; Mendes, B.; Vermelho, A.B. Allelopathy as a Potential Strategy to Improve Microalgae Cultivation. Biotechnol. Biofuels 2013, 6, 1. [Google Scholar] [CrossRef]
- Ajjawi, I.; Verruto, J.; Aqui, M.; Soriaga, L.B.; Coppersmith, J.; Kwok, K.; Peach, L.; Orchard, E.; Kalb, R.; Xu, W.; et al. Lipid Production in Nannochloropsis gaditana Is Doubled by Decreasing Expression of a Single Transcriptional Regulator. Nat. Biotechnol. 2017, 35, 647–652. [Google Scholar] [CrossRef]




Disclaimer/Publisher’s Note: The statements, opinions and data contained in all publications are solely those of the individual author(s) and contributor(s) and not of MDPI and/or the editor(s). MDPI and/or the editor(s) disclaim responsibility for any injury to people or property resulting from any ideas, methods, instructions or products referred to in the content. |
© 2022 by the authors. Licensee MDPI, Basel, Switzerland. This article is an open access article distributed under the terms and conditions of the Creative Commons Attribution (CC BY) license (https://creativecommons.org/licenses/by/4.0/).
Share and Cite
Casanova, L.M.; Mendes, L.B.B.; Corrêa, T.d.S.; da Silva, R.B.; Joao, R.R.; Macrae, A.; Vermelho, A.B. Development of Microalgae Biodiesel: Current Status and Perspectives. Microorganisms 2023, 11, 34. https://doi.org/10.3390/microorganisms11010034
Casanova LM, Mendes LBB, Corrêa TdS, da Silva RB, Joao RR, Macrae A, Vermelho AB. Development of Microalgae Biodiesel: Current Status and Perspectives. Microorganisms. 2023; 11(1):34. https://doi.org/10.3390/microorganisms11010034
Chicago/Turabian StyleCasanova, Livia Marques, Leonardo Brantes Bacellar Mendes, Thamiris de Souza Corrêa, Ronaldo Bernardo da Silva, Rafael Richard Joao, Andrew Macrae, and Alane Beatriz Vermelho. 2023. "Development of Microalgae Biodiesel: Current Status and Perspectives" Microorganisms 11, no. 1: 34. https://doi.org/10.3390/microorganisms11010034
APA StyleCasanova, L. M., Mendes, L. B. B., Corrêa, T. d. S., da Silva, R. B., Joao, R. R., Macrae, A., & Vermelho, A. B. (2023). Development of Microalgae Biodiesel: Current Status and Perspectives. Microorganisms, 11(1), 34. https://doi.org/10.3390/microorganisms11010034

