Heterotrophic Cultivation of the Cyanobacterium Pseudanabaena sp. on Forest Biomass Hydrolysates toward Sustainable Biodiesel Production
Abstract
:1. Introduction
2. Experimental
2.1. Strain and Cultivation Conditions
2.2. Preparation and Enzymatic Saccharification of Organosolv/Steam Explosion-Pretreated Birch and Spruce Biomass
2.3. Estimation of Dry Biomass and Biomass Productivity
2.4. Determination of Total Lipid Concentration, Lipid Content, and Lipid Productivity
2.5. Determination of Residual Sugars
2.6. Analysis of the Lipid Profile and Estimation of Biodiesel Properties
3. Results and Discussion
3.1. Effect of the C/N Ratio on Biomass and Lipid Production in Pseudanabaena sp.
3.2. Effect of Initial Glucose Concentration on Lipid Production and Accumulation in Pseudanabaena sp.
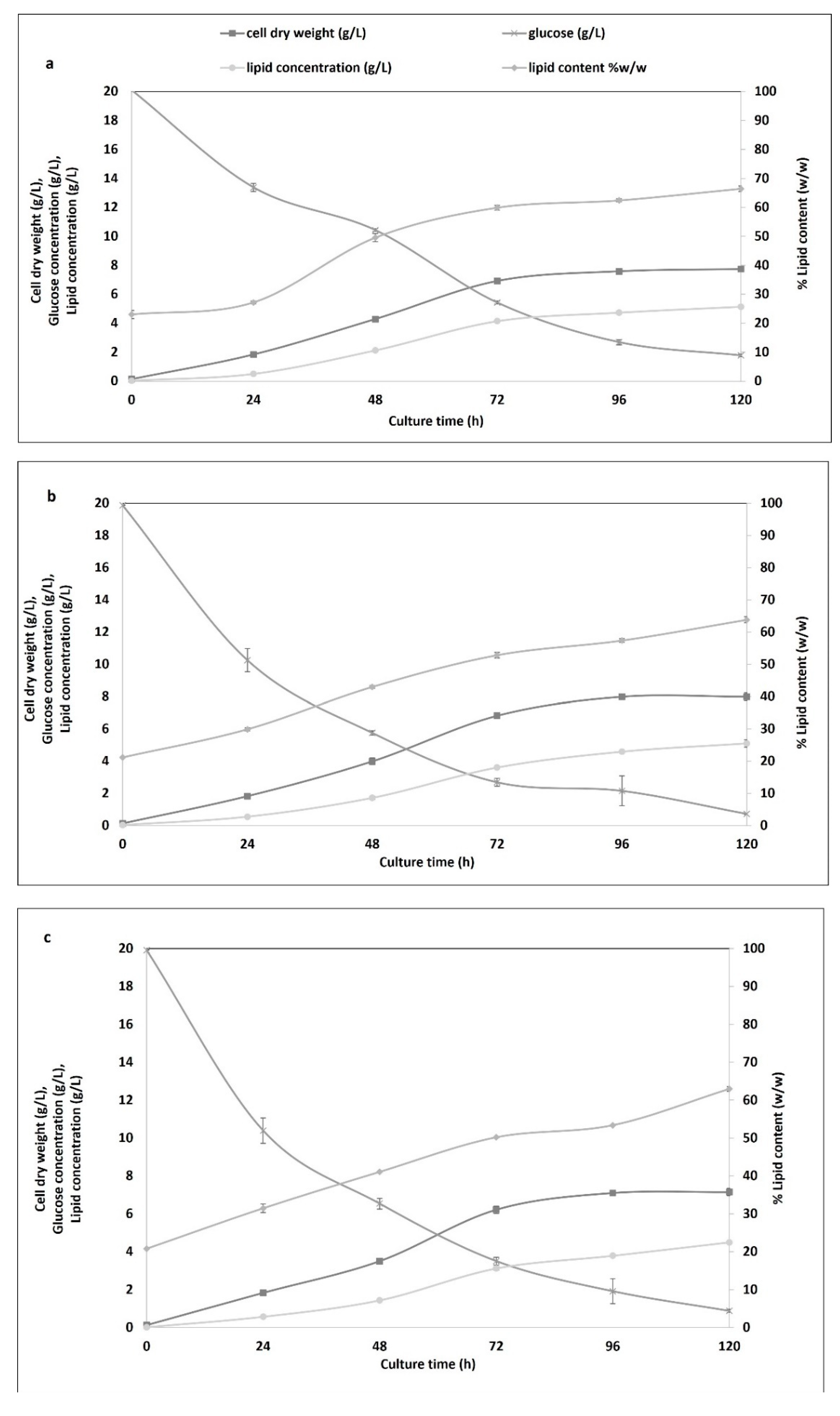
3.3. Time Course of Pseudanabaena sp. Grown on Birch and Spruce Biomass Hydrolysates
3.4. Fatty Acid Profiles of Pseudanabaena sp. Grown on Glucose or Birch/Spruce Hydrolysates
3.5. Estimation of Biodiesel Properties
4. Conclusions
Author Contributions
Funding
Institutional Review Board Statement
Informed Consent Statement
Acknowledgments
Conflicts of Interest
References
- Nagappan, S.; Bhosale, R.; Nguyen, D.D.; Pugazhendhi, A.; Tsai, P.-C.; Chang, S.W.; Kumar Ponnusamy, V.; Kumar, G. Nitrogen-fixing cyanobacteria as a potential resource for efficient biodiesel production. Fuel 2020, 279, 118440. [Google Scholar]
- Joshi, G.P.; Jitendra, K.; Rawat, R.S.; Devendra, S. Challenges and opportunities for the application of biofuel. Renew. Sustain. Energy Rev. 2017, 79, 850–866. [Google Scholar]
- Pembroke, G.; Ryan, M.P. Cyanobacterial Biofuel Production: Current Development, Challenges and Future Needs. Biofuels Production—Sustainability and Advances in Microbial Bioresources. Biofuel Biorefin. Technol. 2020, 11. [Google Scholar] [CrossRef]
- Månsson, A. Energy security in a decarbonised transport sector: A scenario based analysis of Sweden’s transport strategies. Energy Strategy Rev. 2016, 13–14, 236–247. [Google Scholar] [CrossRef]
- Hill, J.; Nelson, E.; Tilman, D.; Polasky, S.; Tiffany, D. Environmental, economic, and energetic costs and benefits of biodiesel and ethanol biofuels. Proc. Natl. Acad. Sci. USA 2006, 103, 11206–11210. [Google Scholar]
- Zhu, L.; Nugroho, Y.K.; Shakeel, S.R.; Li, Z.; Martinkauppi, B.; Hiltunen, E. Using microalgae to produce liquid transportation biodiesel: What is next? Renew. Sustain. Energy Rev. 2017, 78, 391–400. [Google Scholar]
- Singh, J.; Kumar, A.; Singh, M. Cyanobacteria: A sustainable and commercial bio-resource in production of bio-fertilizer and bio-fuel from waste waters. Environ. Sustain. Indic. 2019, 3–4, 100008. [Google Scholar]
- Economou, C.; Marinakis, N.; Moustaka-Gouni, M.; Kehayias, G.; Aggelis, G.; Vayenas, D.V. Lipid production by the filamentous cyanobacterium Limnothrix sp. growing in synthetic wastewater in suspended- and attached-growth photobioreactor systems. Ann. Microbiol. 2015, 65, 1941–1948. [Google Scholar]
- Cho, H.; Park, J.M. Biodiesel production by various oleaginous microorganisms from organic wastes. Bioresour. Technol. 2018, 256, 502–508. [Google Scholar]
- Verma, S.N.S.K. Co-production of biodiesel and alpha-linolenic acid (omega-3 fatty acid) from microalgae, Desmodesmus sp. MCC34. Energy Sources 2018, 40, 2933–2940. [Google Scholar]
- Hossain, M.; Ratnayake, R.R.; Mahbub, S.; WasanthaKumara, K.L.; Magana-Arachchi, D.N. Identification and culturing of cyanobacteria isolated from freshwater bodies of Sri Lanka for biodiesel production. Saudi J. Biol. Sci. 2020, 27, 1514–1520. [Google Scholar] [CrossRef]
- Markou, G.; Georgakakis, D. Cultivation of filamentous cyanobacteria (blue-green algae) in agro-industrial wastes and wastewaters: A review. Appl. Energy 2011, 88, 3389–3401. [Google Scholar] [CrossRef]
- Knothe, G. Fuel Properties of Highly Polyunsaturated Fatty Acid Methyl Esters. Prediction of Fuel Properties of Algal Biodiesel. Energy Fuels 2012, 26, 5265–5273. [Google Scholar] [CrossRef]
- Mohamed, M.; Wei, L.Z.; Ariff, A.B. Heterotrophic cultivation of microalgae for production of biodiesel. Recent Pat. Biotechnol. 2011, 5, 95–107. [Google Scholar] [CrossRef]
- Chen, H.; Jiang, J.G. Lipid Accumulation Mechanisms in Auto- and Heterotrophic Microalgae. J. Agric. Food Chem. 2017, 65, 8099–8110. [Google Scholar] [CrossRef]
- Liang, Y.; Sarkany, N.; Cui, Y.; Blackburn, J.W. Batch stage study of lipid production from crude glycerol derived from yellow grease or animal fats through microalgal fermentation. Bioresour. Technol. 2010, 101, 6745–6750. [Google Scholar] [CrossRef]
- Lu, Y.; Ding, Y.; Wu, Q. Simultaneous saccharification of cassava starch and fermentation of algae for biodiesel production. J. Appl. Phycol. 2011, 23, 115–121. [Google Scholar] [CrossRef]
- Liang, Y.; Sarkany, N.; Cui, Y.; Yesuf, J.; Trushenski, J.; Blackburn, J.W. Use of sweet sorghum juice for lipid production by Schizochytrium limacinum SR21. Bioresour. Technol. 2010, 101, 3623–3627. [Google Scholar] [CrossRef]
- Khare, S.; Pandey, A.; Larroche, C. Current perspectives in enzymatic saccharification of lignocellulosic biomass. Biochem. Eng. J. 2015, 102, 38–44. [Google Scholar] [CrossRef]
- Matsakas, L.; Nitsos, C.; Vörös, D.; Rova, U.; Christakopoulos, P. High-Titer Methane from Organosolv-Pretreated Spruce and Birch. Energies 2017, 10, 263. [Google Scholar] [CrossRef]
- Kolförråd, S. Aktuella uppgifter om de svenska skogarna från Riksskogstaxeringen. For. Stat. 2017. Available online: https://www.slu.se/skogsstatistik (accessed on 17 August 2022).
- Vareli, K.P.G.; Mavrogiorgou, M.C.; Briasoulis, E.; Sainis, I. Molecular characterization of cyanobacterial diversity and yearly fluctuations of Microcystin loads in a suburban Mediterranean Lake (Lake Pamvotis, Greece). J. Environ. Monit. 2009, 11, 1506–1512. [Google Scholar] [CrossRef]
- Matsakas, L.; Nitsos, C.; Raghavendran, V.; Yakimenko, O.; Persson, G.; Olsson, E.; Rova, U.; Olsson, L.; Christakopoulos, P. A novel hybrid organosolv: Steam explosion method for the efficient fractionation and pretreatment of birch biomass. Biotechnol. Biofuels 2018, 11, 1–14. [Google Scholar] [CrossRef]
- Matsakas, L.; Raghavendran, V.; Yakimenko, O.; Persson, G.; Olsson, E.; Rova, U.; Olsson, L.; Christakopoulos, P. Lignin-first biomass fractionation using a hybrid organosolv—Steam explosion pretreatment technology improves the saccharification and fermentability of spruce biomass. Bioresour. Technol. 2019, 273, 521–528. [Google Scholar] [CrossRef]
- Folch, J.M.L.; Sloane Stanley, G.H. A simple method for the isolation and purification of total lipides from animal tissues. J. Biol. Chem. 1957, 226, 497–509. [Google Scholar] [CrossRef]
- Van Wychen, S.; Ramirez, K.; Laurens, L.M. Determination of Total Lipids as Fatty Acid Methyl Esters (FAME) by in situ Transesterification. Contract 2013, 303, 275–3000. [Google Scholar]
- Patel, A.; Mu, L.; Shi, Y.; Rova, U.; Christakopoulos, P.; Matsakas, L. A novel biorefinery approach aimed at vegetarians reduces the dependency on marine fish stocks for obtaining squalene and DHA. ACS Sustain. Chem. Eng. 2020, 8, 8803–8813. [Google Scholar] [CrossRef]
- Patel, A.; Matsakas, L. A comparative study on de novo and ex novo lipid fermentation by oleaginous yeast using glucose and sonicated waste cooking oil. Ultrason. Sonochem. 2019, 52, 364–374. [Google Scholar] [CrossRef]
- Patel, A.; Arora, N.; Mehtani, J.; Pruthi, V.; Pruthi, P.A. Assessment of fuel properties on the basis of fatty acid profiles of oleaginous yeast for potential biodiesel production. Renew. Sustain. Energy Rev. 2017, 77, 604–616. [Google Scholar] [CrossRef]
- Tabatabai, B.; Adusei, A.; Shrivastava, A.K.; Singh, P.K.; Sitther, V. Nitrogen Deprivation in Fremyelladiplosiphon Augments Lipid Production without Affecting Growth. Energies 2020, 13, 5769. [Google Scholar] [CrossRef]
- Kim, G.; Mujtaba, G.; Lee, K.; Kim, G.; Mujtaba, G.; Lee, K. Effects of nitrogen sources on cell growth and biochemical composition of marine chlorophyte Tetraselmis sp. for lipid production. ALGAE 2016, 310, 257–266. [Google Scholar] [CrossRef]
- Francisco, E.C.; Jacob-Lopes, E.; Vieira, K.R.; Franco, T.T. Nitrogen Starvation of Assessment in the Production of Single Cell Oils and Biodiesel Quality in Heterotrophic Cultures of Cyanobacteria Phormidiumautumnale. J. Adv. Chem. Eng. 2019, 9, 192. [Google Scholar] [CrossRef]
- Chen, M.; Tang, H.; Ma, H.; Holland, T.C.; Ng, K.Y.S.; Salley, S.O. Effect of nutrients on growth and lipid accumulation in the green algae Dunaliella tertiolecta. Bioresour. Technol. 2011, 102, 1649–1655. [Google Scholar] [CrossRef]
- Ördög, V.; Stirk, W.A.; Bálint, P.; Staden, J.; Lovász, C. Changes in lipid, protein and pigment concentrations in nitrogen-stressed Chlorella minutissima cultures. J. Appl. Phycol. 2011, 24, 907–914. [Google Scholar] [CrossRef]
- Boyle, N.; Morgan, J.A. Flux balance analysis of primary metabolism in Chlamydomonas reinhardtii. BMC Syst. Biol. 2009, 7, 4. [Google Scholar] [CrossRef]
- Los, D.A.; Mironov, K.S. Modes of Fatty Acid Desaturation in Cyanobacteria: An Update. Life 2015, 5, 554–567. [Google Scholar] [CrossRef] [PubMed]
- Francisco, E.C.; Franco, T.T.; Wagner, R.; Jacob-Lopes, E. Assessment of different carbohydrates as exogenous carbon source in cultivation of cyanobacteria. Bioprocess Biosyst. Eng. 2014, 37, 1497–1505. [Google Scholar] [CrossRef] [PubMed]
- Bottomley, P.J.; Van Baalen, C. Characteristics of Heterotrophic Growth in the Blue-Green Alga Nostoc sp. Strain Mac. Microbiol. 1978, 102, 309–318. [Google Scholar]
- Wolk, C.P.; Shaffer, P.W. Heterotrophic micro- and macrocultures of a nitrogen-fixing cyanobacterium. Arch Microbiol. 1976, 110, 145–147. [Google Scholar] [CrossRef]
- Papanikolaou, S.; Aggelis, G. Lipids of oleaginous yeasts. Part I: Biochemistry of single cell oil production. Eur. J. Lipid Sci. Technol. 2011, 113, 1031–1051. [Google Scholar] [CrossRef]
- Rajashekhar, K.S.a.M. Total lipid and fatty acid composition in some freshwater cyanobacteria. J. Algal. Biomass Util. 2011, 2, 83–97. [Google Scholar]
- Patel, A.; Matsakas, L.; Rova, U.; Christakopoulos, P. Heterotrophic cultivation of Auxenochlorella protothecoides using forest biomass as a feedstock for sustainable biodiesel production. Biotechnol. Biofuels 2018, 11, 1–16. [Google Scholar] [CrossRef] [PubMed]
- El-Kassas, H. Growth and fatty acid profile of the marine microalga Picochlorum sp. grown under nutrient stress conditions. Egypt. J. Aquat. Res. 2013, 39, 233–239. [Google Scholar] [CrossRef]
- Jakeria, M.R.; Fazal, M.A.; Haseeb, A.S.M.A. Influence of different factors on the stability of biodiesel: A review. Renew. Sustain. Energy Rev. 2014, 30, 154–163. [Google Scholar] [CrossRef]
- Jose, T.K.; Anand, K. Effects of biodiesel composition on its long term storage stability. Fuel 2016, 177, 190–196. [Google Scholar] [CrossRef]
- Ramos, M.J.; Fernández, C.M.; Casas, A.; Rodríguez, L.; Pérez, Á. Influence of fatty acid composition of raw materials on biodiesel properties. Bioresour. Technol. 2009, 100, 261–268. [Google Scholar] [CrossRef]
- Knothe, G.; Razon, L.F. Biodiesel fuels. Prog. Energy Combust. Sci. 2017, 58, 36–59. [Google Scholar] [CrossRef]


| Initial Glucose Concentration (g/L) | Cell Dry Weight (g/L) | Lipid Content (% w/w) | Lipid Concentration (g/L) | Biomass Yield (g/g substrate) | Lipid Yield (g/gsubstrate) | Residual Glucose Concentration (g/L) |
|---|---|---|---|---|---|---|
| 10 | 4.30 ± 0.08 | 40.50 ± 0.99 | 1.74 ± 0.08 | 0.435 ± 0.008 | 0.176 ± 0.007 | 0.11 ± 0.02 |
| 20 | 7.74 ± 0.08 | 66.45 ± 0.94 | 5.14 ± 0.12 | 0.425 ± 0.005 | 0.274 ± 0.005 | 1.77 ± 0.09 |
| 40 | 5.68 ± 0.18 | 43.05 ± 0.78 | 2.44 ± 0.03 | 0.242 ± 0.018 | 0.104 ± 0.006 | 16.49 ± 1.03 |
| 60 | 5.53 ± 0.10 | 45.70 ± 0.14 | 2.53 ± 0.02 | 0.193 ± 0.010 | 0.088 ± 0.005 | 31.37 ± 1.94 |
| 80 | 4.58 ± 0.04 | 41.10 ± 1.84 | 1.88 ± 0.09 | 0.125 ± 0.005 | 0.051 ± 0.004 | 43.32 ± 1.04 |
| 100 | 3.62 ± 0.11 | 37.00 ± 2.40 | 1.34 ± 0.13 | 0.109 ± 0.010 | 0.041 ± 0.006 | 66.75 ± 2.01 |
| Glucose | Birch Hydrolysate | Spruce Hydrolysate | |
|---|---|---|---|
| Cell Dry Weight (g/L) | 7.74 ± 0.08 | 7.98 ± 0.25 | 7.15 ± 0.20 |
| Lipid Content (% w/w) | 66.45 ± 0.94 | 63.79 ± 0.95 | 62.95 ± 0.64 |
| Lipid Concentration (g/L) | 5.14 ± 0.12 | 5.09 ± 0.23 | 4.50 ± 0.08 |
| Biomass Productivity (g/L·day) | 1.52 ± 0.07 | 1.57 ± 0.05 | 1.43 ± 0.06 |
| Lipid Productivity (mg/L·day) | 1028 ± 25 | 1013 ± 26 | 900 ± 17 |
| Residual Glucose Concentration (g/L) | 1.77 ± 0.09 | 0.72 ± 0.04 | 0.88 ± 0.08 |
| Biomass Yield (g/gsubstrate) | 0.425 ± 0.005 | 0.414 ± 0.014 | 0.374 ± 0.005 |
| Lipid Yield (g/gsubstrate) | 0.282 ± 0.005 | 0.264 ± 0.013 | 0.235 ± 0.002 |
| Fatty Acids | Glucose | Birch Hydrolysate | Spruce Hydrolysate | |||
|---|---|---|---|---|---|---|
| Saturated Fatty Acids | ||||||
| C14:0 | - | 3.92% | 3.70% | |||
| C16:0 | 43.87% | 76.69% | 39.78% | 72.71% | 40.35% | 74.10% |
| C18:0 | 32.82% | 29.02% | 30.05% | |||
| Monounsaturated Fatty Acids | ||||||
| C14:1 | 7.54% | 7.51% | 7.33% | |||
| C16:1 | 4.24% | 23.31% | 4.01% | 27.29% | 4.38% | 25.90% |
| C18:1 | 11.53% | 15.77% | 14.19% | |||
| Biodiesel Properties | Units | Glucose; C/N 40 | Birch Hydrolysate; C/N 40 | Spruce Hydrolysate; C/N 40 | Biodiesel Standards | |
|---|---|---|---|---|---|---|
| ASTM D6751 | EN 14214 | |||||
| Saturated Fatty Acids | 76.69 | 72.716 | 74.1 | |||
| Monounsaturated Fatty Acids | 23.31 | 27.29 | 25.9 | |||
| DU | 23.31 | 27.29 | 25.9 | |||
| Long-Chain saturation factor | - | 20.797 | 18.488 | 19.06 | - | - |
| Density | g/cm3 | 0.861 | 0.863 | 0.862 | - | 0.86–0.90 |
| Cold filter plugging point | °C | 48.863 | 41.609 | 43.401 | - | - |
| Cloud point | °C | 18.084 | 15.932 | 16.232 | ||
| Pour point | °C | 12.81 | 10.474 | 10.8 | ||
| Cetane number | - | 68.991 | 68.067 | 68.286 | 47 min | 51 min |
| Kinematic viscosity | mm2/s | 4.055 | 3.982 | 3.992 | 1.9–6.0 | 3.5–5.0 |
| Saponification value | mg KOH/g-oil | 210.115 | 211.068 | 211.213 | 0.50 min | 0.50 min |
| Iodine value | mg I2/100 g | 14.601 | 18.185 | 17.133 | - | 120 max |
| High Heating value | MJ/kg | 39.241 | 39.191 | 39.213 | - | - |
Publisher’s Note: MDPI stays neutral with regard to jurisdictional claims in published maps and institutional affiliations. |
© 2022 by the authors. Licensee MDPI, Basel, Switzerland. This article is an open access article distributed under the terms and conditions of the Creative Commons Attribution (CC BY) license (https://creativecommons.org/licenses/by/4.0/).
Share and Cite
Karageorgou, D.; Patel, A.; Rova, U.; Christakopoulos, P.; Katapodis, P.; Matsakas, L. Heterotrophic Cultivation of the Cyanobacterium Pseudanabaena sp. on Forest Biomass Hydrolysates toward Sustainable Biodiesel Production. Microorganisms 2022, 10, 1756. https://doi.org/10.3390/microorganisms10091756
Karageorgou D, Patel A, Rova U, Christakopoulos P, Katapodis P, Matsakas L. Heterotrophic Cultivation of the Cyanobacterium Pseudanabaena sp. on Forest Biomass Hydrolysates toward Sustainable Biodiesel Production. Microorganisms. 2022; 10(9):1756. https://doi.org/10.3390/microorganisms10091756
Chicago/Turabian StyleKarageorgou, Dimitra, Alok Patel, Ulrika Rova, Paul Christakopoulos, Petros Katapodis, and Leonidas Matsakas. 2022. "Heterotrophic Cultivation of the Cyanobacterium Pseudanabaena sp. on Forest Biomass Hydrolysates toward Sustainable Biodiesel Production" Microorganisms 10, no. 9: 1756. https://doi.org/10.3390/microorganisms10091756
APA StyleKarageorgou, D., Patel, A., Rova, U., Christakopoulos, P., Katapodis, P., & Matsakas, L. (2022). Heterotrophic Cultivation of the Cyanobacterium Pseudanabaena sp. on Forest Biomass Hydrolysates toward Sustainable Biodiesel Production. Microorganisms, 10(9), 1756. https://doi.org/10.3390/microorganisms10091756

