Migration and Transformation of Multiple Heavy Metals in the Soil–Plant System of E-Waste Dismantling Site
Abstract
:1. Introduction
2. Materials and Methods
2.1. Study Area and Sample Preparation
2.2. Experimental Design
2.3. Analysis of Soil Physical–Chemical Properties
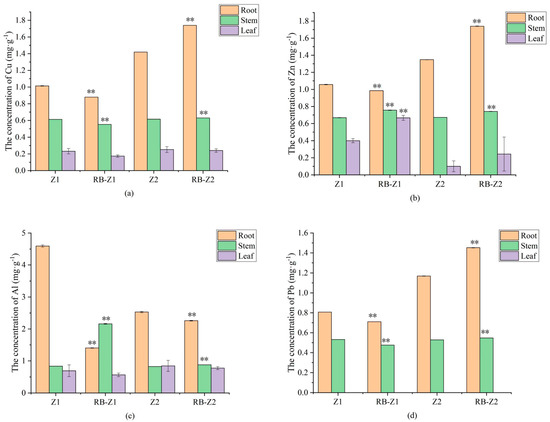
2.4. Plant Analysis
2.5. Phospholipid Fatty Acid (PLFA) Analysis
2.6. DNA Extraction and Illumina Miseq Sequencing
2.7. Statistical Analyses
3. Results
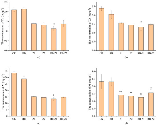
3.1. Soil Physicochemical Properties, Heavy Metals and Al Concentration in Soil and Plant under Different Treatments
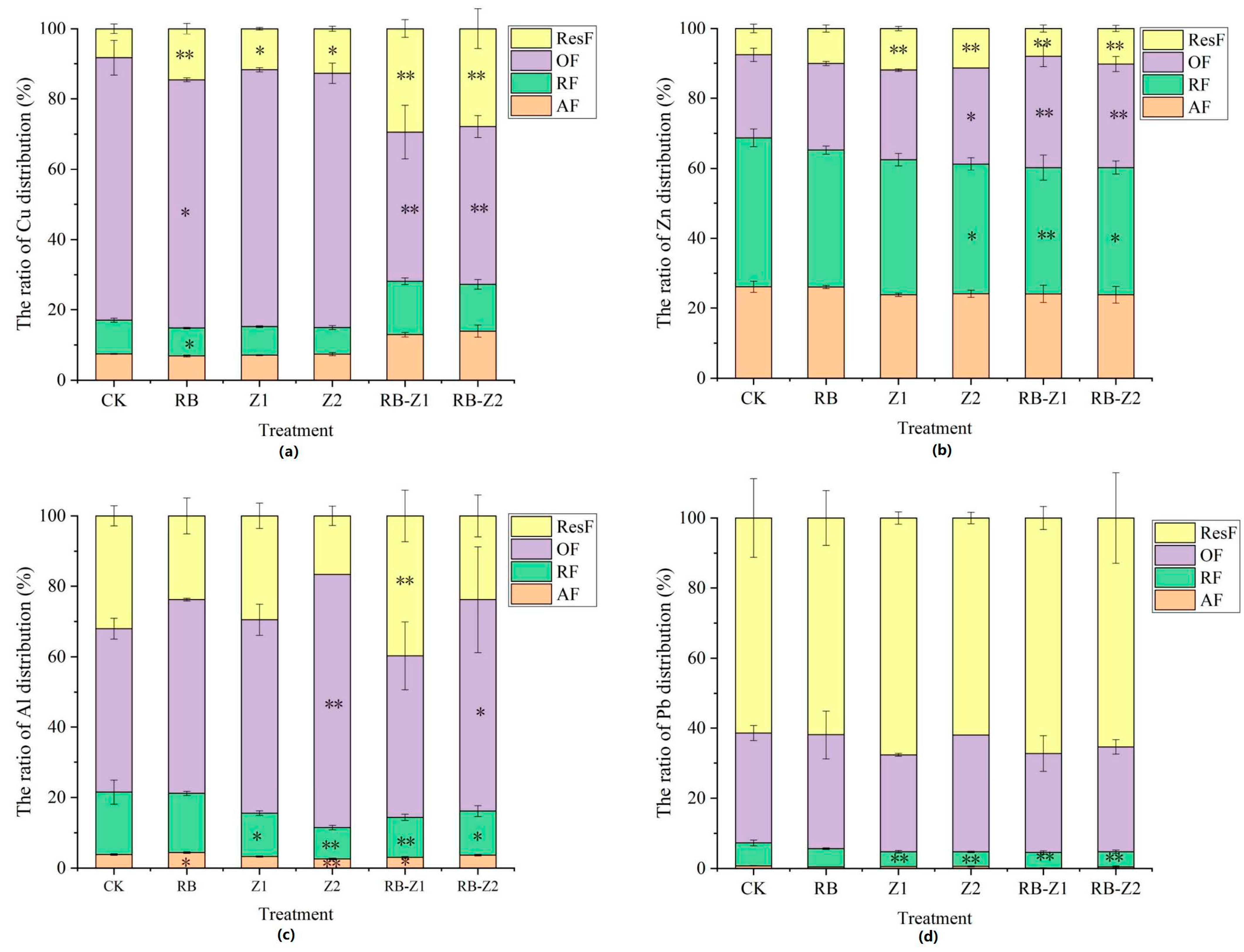
3.2. Effect of Biochar and Plants on the Metal Fraction Distribution in Soil of E-Waste Dismantling Sites
3.3. Microbial Community Structure and Diversity in Rhizosphere Soil under Different Treatments
3.4. Relationships between the Metal Fractions and the Environmental Conditions
4. Discussion
4.1. Effect of Biochar and Plants on Soil Physicochemical Properties and Metal Concentrations
4.2. Migration and Transformation of Different Multi-Metal Fractions in the Soil–Plant System
4.3. Microbial Role in the Migration and Transportation of Multiple Metals
5. Conclusions
Supplementary Materials
Author Contributions
Funding
Institutional Review Board Statement
Informed Consent Statement
Data Availability Statement
Acknowledgments
Conflicts of Interest
Abbreviations
References
- Heacock, M.; Kelly, C.B.; Asante, K.A.; Birnbaum, L.S.; Bergman, A.L.; Brune, M.N.; Buka, I.; Carpenter, D.O.; Chen, A.M.; Huo, X.; et al. E-Waste and Harm to Vulnerable Populations: A Growing Global Problem. Environ. Health Perspect. 2016, 124, 550–555. [Google Scholar] [CrossRef] [PubMed]
- Zeng, X.; Duan, H.; Wang, F.; Li, J. Examining environmental management of e-waste: China’s experience and lessons. Renew. Sustain. Energy Rev. 2017, 72, 1076–1082. [Google Scholar] [CrossRef]
- Vaccari, M.; Vinti, G.; Cesaro, A.; Belgiorno, V.; Salhofer, S.; Dias, M.I.; Jandric, A. WEEE Treatment in Developing Countries: Environmental Pollution and Health Consequences—An Overview. Int. J. Environ. Res. Public Health 2019, 16, 1595. [Google Scholar] [CrossRef] [PubMed] [Green Version]
- Cesaro, A.; Belgiorno, V.; Gorrasi, G.; Viscusi, G.; Vaccari, M.; Vinti, G.; Jandric, A.; Dias, M.I.; Hursthouse, A.; Salhofer, S. A relative risk assessment of the open burning of WEEE. Environ. Sci. Pollut. Res. 2019, 26, 11042–11052. [Google Scholar] [CrossRef] [PubMed] [Green Version]
- Deng, W.J.; Louie, P.K.K.; Liu, W.K.; Bi, X.H.; Fu, J.M.; Wong, M.H. Atmospheric levels and cytotoxicity of PAHs and heavy metals in TSP and PM2.5 at an electronic waste recycling site in southeast China. Atmos. Environ. 2006, 40, 6945–6955. [Google Scholar] [CrossRef]
- Wang, F.; Huisman, J.; Stevels, A.; Balde, C.P. Enhancing e-waste estimates: Improving data quality by multivariate Input-Output Analysis. Waste Manag. 2013, 33, 2397–2407. [Google Scholar] [CrossRef]
- Duan, H.; Eugster, M.; Hischier, R.; Streicher-Porte, M.; Li, J. Life cycle assessment study of a Chinese desktop personal computer. Sci. Total Environ. 2009, 407, 1755–1764. [Google Scholar] [CrossRef]
- Li, J.; Bao, H.Y.; Xing, W.J.; Yang, J.; Liu, R.F.; Wang, X.; Lv, L.H.; Tong, X.G.; Wu, F.Y. Succession of fungal dynamics and their influence on physicochemical parameters during pig manure composting employing with pine leaf biochar. Bioresour. Technol. 2020, 297, 122377. [Google Scholar] [CrossRef]
- Naila, A.; Meerdink, G.; Jayasena, V.; Sulaiman, A.Z.; Ajit, A.B.; Berta, G. A review on global metal accumulators-mechanism, enhancement, commercial application, and research trend. Environ. Sci. Pollut. Res. 2019, 26, 26449–26471. [Google Scholar] [CrossRef]
- Sun, R.G.; Yang, J.; Xia, P.H.; Wu, S.L.; Lin, T.; Yi, Y. Contamination features and ecological risks of heavy metals in the farmland along shoreline of Caohai plateau wetland, China. Chemosphere 2020, 254, 126828. [Google Scholar] [CrossRef]
- Ben Achiba, W.; Lakhdar, A.; Gabteni, N.; Du Laing, G.; Verloo, M.; Boeckx, P.; Van Cleemput, O.; Jedidi, N.; Gallali, T. Accumulation and fractionation of trace metals in a Tunisian calcareous soil amended with farmyard manure and municipal solid waste compost. J. Hazard. Mater. 2010, 176, 99–108. [Google Scholar] [CrossRef] [PubMed] [Green Version]
- Kumar, S.; Prasad, S.; Yadav, K.K.; Shrivastava, M.; Gupta, N.; Nagar, S.; Bach, Q.V.; Kamyab, H.; Khan, S.A.; Yadav, S.; et al. Hazardous heavy metals contamination of vegetables and food chain: Role of sustainable remediation approaches—A review. Environ. Res. 2019, 179, 108792. [Google Scholar] [CrossRef] [PubMed]
- Zhang, Z.M.; Wu, X.L.; Tu, C.L.; Huang, X.F.; Zhang, J.C.; Fang, H.; Huo, H.H.; Lin, C.H. Relationships between soil properties and the accumulation of heavy metals in different Brassica campestris L. growth stages in a Karst mountainous area. Ecotoxicol. Environ. Saf. 2020, 206, 111150. [Google Scholar] [CrossRef] [PubMed]
- Rinklebe, J.; Shaheen, S.M. Assessing the Mobilization of Cadmium, Lead, and Nickel Using a Seven-Step Sequential Extraction Technique in Contaminated Floodplain Soil Profiles Along the Central Elbe River, Germany. Water Air Soil Pollut. 2014, 225, 2039. [Google Scholar] [CrossRef]
- Li, Z.; Liang, Y.; Hu, H.; Shaheen, S.M.; Zhong, H.; Tack, F.M.G.; Wu, M.; Li, Y.-F.; Gao, Y.; Rinklebe, J.; et al. Speciation, transportation, and pathways of cadmium in soil-rice systems: A review on the environmental implications and remediation approaches for food safety. Environ. Int. 2021, 156, 106749. [Google Scholar] [CrossRef]
- Li, X.M.; Sun, G.X.; Chen, S.C.; Fang, Z.; Yuan, H.Y.; Shi, Q.; Zhu, Y.G. Molecular Chemodiversity of Dissolved Organic Matter in Paddy Soils. Environ. Sci. Technol. 2018, 52, 963–971. [Google Scholar] [CrossRef]
- Shaheen, S.M.; Tsadilas, C.D.; Rinklebe, J. A review of the distribution coefficients of trace elements in soils: Influence of sorption system, element characteristics, and soil colloidal properties. Adv. Colloid Interface Sci. 2013, 201, 43–56. [Google Scholar] [CrossRef]
- Wang, P.; Peng, H.; Liu, J.; Zhu, Z.; Bi, X.; Yu, Q.; Zhang, J. Effects of exogenous dissolved organic matter on the adsorption–desorption behaviors and bioavailabilities of Cd and Hg in a plant–soil system. Sci. Total Environ. 2020, 728, 138252. [Google Scholar] [CrossRef]
- Amlal, F.; Drissi, S.; Makroum, K.; Dhassi, K.; Er-rezza, H.; Houssa, A.A. Influence of soil characteristics and leaching rate on copper migration: Column test. Heliyon 2020, 6, e03375. [Google Scholar] [CrossRef]
- Gao, Y.; Shao, G.; Yang, Z.; Zhang, K.; Lu, J.; Wang, Z.; Wu, S.; Xu, D. Influences of soil and biochar properties and amount of biochar and fertilizer on the performance of biochar in improving plant photosynthetic rate: A meta-analysis. Eur. J. Argon. 2021, 130, 126345. [Google Scholar] [CrossRef]
- Lehmann, J.; da Silva, J.P.; Steiner, C.; Nehls, T.; Zech, W.; Glaser, B. Nutrient availability and leaching in an archaeological Anthrosol and a Ferralsol of the Central Amazon basin: Fertilizer, manure and charcoal amendments. Plant Soil 2003, 249, 343–357. [Google Scholar] [CrossRef]
- Zhang, Y.; Wang, J.; Feng, Y. The effects of biochar addition on soil physicochemical properties: A review. Catena 2021, 202, 105284. [Google Scholar] [CrossRef]
- Wang, Z.P.; Shen, R.; Ji, S.B.; Xie, L.K.; Zhang, H.B. Effects of biochar derived from sewage sludge and sewage sludge/cotton stalks on the immobilization and phytoavailability of Pb, Cu, and Zn in sandy loam soil. J. Hazard. Mater. 2021, 419, 126468. [Google Scholar] [CrossRef]
- Beesley, L.; Marmiroli, M. The immobilisation and retention of soluble arsenic, cadmium and zinc by biochar. Environ. Pollut. 2011, 159, 474–480. [Google Scholar] [CrossRef]
- Ma, Y.; Rajkumar, M.; Zhang, C.; Freitas, H. Inoculation of Brassica oxyrrhina with plant growth promoting bacteria for the improvement of heavy metal phytoremediation under drought conditions. J. Hazard. Mater. 2016, 320, 36–44. [Google Scholar] [CrossRef]
- Nies, D.H. Efflux-mediated heavy metal resistance in prokaryotes. FEMS Microbiol. Rev. 2003, 27, 313–339. [Google Scholar] [CrossRef]
- Oliveira, A.; Pampulha, M.E. Effects of long-term heavy metal contamination on soil microbial characteristics. J. Biosci. Bioeng. 2006, 102, 157–161. [Google Scholar] [CrossRef] [Green Version]
- Khan, S.; Hesham, A.E.-L.; Qiao, M.; Rehman, S.; He, J.-Z. Effects of Cd and Pb on soil microbial community structure and activities. Environ. Sci. Pollut. Res. 2010, 17, 288–296. [Google Scholar] [CrossRef]
- Pan, X.M.; Zhang, S.R.; Zhong, Q.M.; Gong, G.S.; Wang, G.Y.; Guo, X.; Xu, X.X. Effects of soil chemical properties and fractions of Pb, Cd, and Zn on bacterial and fungal communities. Sci. Total Environ. 2020, 715, 136904. [Google Scholar] [CrossRef]
- Malik, S.; Beer, M.; Megharaj, M.; Naidu, R. The use of molecular techniques to characterize the microbial communities in contaminated soil and water. Environ. Int. 2008, 34, 265–276. [Google Scholar] [CrossRef]
- Azarbad, H.; van Straalen, N.M.; Laskowski, R.; Nikiel, K.; Roeling, W.F.M.; Niklinska, M. Susceptibility to additional stressors in metal-tolerant soil microbial communities from two pollution gradients. Appl. Soil. Ecol. 2016, 98, 233–242. [Google Scholar] [CrossRef]
- Helgason, B.L.; Gregorich, E.G.; Janzen, H.H.; Ellert, B.H.; Lorenz, N.; Dick, R.P. Long-term microbial retention of residue C is site-specific and depends on residue placement. Soil Biol. Biochem. 2014, 68, 231–240. [Google Scholar] [CrossRef]
- Frostegard, A.; Tunlid, A.; Baath, E. Use and misuse of PLFA measurements in soils. Soil Biol. Biochem. 2011, 43, 1621–1625. [Google Scholar] [CrossRef]
- Vasquez-Cardenas, D.; van de Vossenberg, J.; Polerecky, L.; Malkin, S.Y.; Schauer, R.; Hidalgo-Martinez, S.; Confurius, V.; Middelburg, J.J.; Meysman, F.J.R.; Boschker, H.T.S. Microbial carbon metabolism associated with electrogenic sulphur oxidation in coastal sediments. ISME J. 2015, 9, 1966–1978. [Google Scholar] [CrossRef]
- Lim, Y.W.; Kim, B.K.; Kim, C.; Jung, H.S.; Kim, B.S.; Lee, J.H.; Chun, J. Assessment of soil fungal communities using pyrosequencing. J. Microbiol. 2010, 48, 284–289. [Google Scholar] [CrossRef]
- Roesch, L.F.; Fulthorpe, R.R.; Riva, A.; Casella, G.; Hadwin, A.K.M.; Kent, A.D.; Daroub, S.H.; Camargo, F.A.O.; Farmerie, W.G.; Triplett, E.W. Pyrosequencing enumerates and contrasts soil microbial diversity. ISME J. 2007, 1, 283–290. [Google Scholar] [CrossRef]
- Tripathi, B.M.; Kim, M.; Singh, D.; Lee-Cruz, L.; Lai-Hoe, A.; Ainuddin, A.N.; Go, R.; Rahim, R.A.; Husni, M.H.A.; Chun, J.; et al. Tropical Soil Bacterial Communities in Malaysia: pH Dominates in the Equatorial Tropics Too. Microb. Ecol. 2012, 64, 474–484. [Google Scholar] [CrossRef]
- Fujimori, T.; Takigami, H. Pollution distribution of heavy metals in surface soil at an informal electronic-waste recycling site. Environ. Geochem. Health 2014, 36, 159–168. [Google Scholar] [CrossRef]
- Han, W.; Gao, G.H.; Geng, J.Y.; Li, Y.; Wang, Y.Y. Ecological and health risks assessment and spatial distribution of residual heavy metals in the soil of an e-waste circular economy park in Tianjin, China. Chemosphere 2018, 197, 325–335. [Google Scholar] [CrossRef]
- Ryan, J.A.; Pahren, H.R.; Lucas, J.B. Controlling cadmium in the human food chain: A review and rationale based on health effects. Environ. Res. 1982, 28, 251–302. [Google Scholar] [CrossRef]
- Khan, K.Y.; Ali, B.; Cui, X.; Feng, Y.; Stoffella, P.J.; Pan, F.; Tang, L.; Yang, X. Effect of Biochar Amendment on Bioavailability and Accumulation of Cadmium and Trace Elements in Brassica chinensis L. (Chinese Cabbage). J. Agric Sci. 2016, 8, 23. [Google Scholar] [CrossRef] [Green Version]
- Zhou, J.; Jin, S. Safety of vegetables and the use of pesticides by farmers in China: Evidence from Zhejiang province. Food Control 2009, 20, 1043–1048. [Google Scholar] [CrossRef]
- Liu, W.T.; Zhou, Q.X.; An, J.; Sun, Y.B.; Liu, R. Variations in cadmium accumulation among Chinese cabbage cultivars and screening for Cd-safe cultivars. J. Hazard. Mater. 2010, 173, 737–743. [Google Scholar] [CrossRef]
- Chen, H.Y.; Awasthi, S.K.; Liu, T.; Duan, Y.M.; Zhang, Z.Q.; Awasthi, M.K. Compost biochar application to contaminated soil reduces the (im)mobilization and phytoavailability of lead and copper. J. Chem. Technol. Biot. 2020, 95, 408–417. [Google Scholar] [CrossRef]
- Liu, C.; Wei, B.K.; Bao, J.S.; Wang, Y.; Hu, J.C.; Tang, Y.E.; Chen, T.; Jin, J. Polychlorinated biphenyls in the soil-crop-atmosphere system in e-waste dismantling areas in Taizhou: Concentrations, congener profiles, uptake, and translocation. Environ. Pollut. 2020, 257, 113622. [Google Scholar] [CrossRef]
- Zhao, X.R.; Qin, Z.F.; Yang, Z.Z.; Zhao, Q.; Zhao, Y.X.; Qin, X.F.; Zhang, Y.C.; Ruan, X.L.; Zhang, Y.F.; Xu, X.B. Dual body burdens of polychlorinated biphenyls and polybrominated diphenyl ethers among local residents in an e-waste recycling region in Southeast China. Chemosphere 2010, 78, 659–666. [Google Scholar] [CrossRef]
- Park, J.H.; Choppala, G.K.; Bolan, N.S.; Chung, J.W.; Chuasavathi, T. Biochar reduces the bioavailability and phytotoxicity of heavy metals. Plant Soil 2011, 348, 439–451. [Google Scholar] [CrossRef]
- Dong, Y.; Chen, R.; Petropoulos, E.; Yu, B.; Zhang, J.; Lin, X.; Gao, M.; Feng, Y. Interactive effects of salinity and SOM on the ecoenzymatic activities across coastal soils subjected to a saline gradient. Geoderma 2022, 406, 115519. [Google Scholar] [CrossRef]
- Wang, G.; Zhang, S.; Xu, X.; Li, T.; Li, Y.; Deng, O.; Gong, G. Efficiency of nanoscale zero-valent iron on the enhanced low molecular weight organic acid removal Pb from contaminated soil. Chemosphere 2014, 117, 617–624. [Google Scholar] [CrossRef]
- Rauret, G.; Lopez-Sanchez, J.F.; Sahuquillo, A.; Rubio, R.; Davidson, C.; Ure, A.; Quevauviller, P. Improvement of the BCR three step sequential extraction procedure prior to the certification of new sediment and soil reference materials. J. Environ. Monit. 1999, 1, 57–61. [Google Scholar] [CrossRef]
- Frostegard, A.; Tunlid, A.; Baath, E. Phospholipid fatty-acid composition, biomass, and activity of microbial communities from 2 soil typs experimentally exposed to different heavy-metals. Appl. Environ. Microbiol. 1993, 59, 3605–3617. [Google Scholar] [CrossRef] [PubMed] [Green Version]
- Bligh, E.G.; Dyer, W.J. A rapid method of total lipid extraction and purification. Can. J. Biochem. Physiol. 1959, 37, 911–917. [Google Scholar] [CrossRef] [PubMed]
- White, D.C.; Davis, W.M.; Nickels, J.S.; King, J.D.; Bobbie, R.J. Determination of the sedimentary microbial biomass by extractible lipid phosphate. Oecologia 1979, 40, 51–62. [Google Scholar] [CrossRef] [PubMed]
- Thornton, B.; Zhang, Z.; Mayes, R.W.; Hogberg, M.N.; Midwood, A.J. Can gas chromatography combustion isotope ratio mass spectrometry be used to quantify organic compound abundance? Rapid Commun. Mass Spectrom. 2011, 25, 2433–2438. [Google Scholar] [CrossRef] [PubMed]
- Gao, F.; Fan, H.; Chapman, S.J.; Yao, H. Changes in soil microbial community activity and composition following substrate amendment within the MicroResp™ system. J. Soils Sediments 2022, 22, 1242–1251. [Google Scholar] [CrossRef]
- Liang, B.; Lehmann, J.; Sohi, S.P.; Thies, J.E.; O’Neill, B.; Trujillo, L.; Gaunt, J.; Solomon, D.; Grossman, J.; Neves, E.G.; et al. Black carbon affects the cycling of non-black carbon in soil. Org. Geochem. 2010, 41, 206–213. [Google Scholar] [CrossRef]
- Ren, X.; Zeng, G.; Tang, L.; Wang, J.; Wan, J.; Feng, H.; Song, B.; Huang, C.; Tang, X. Effect of exogenous carbonaceous materials on the bioavailability of organic pollutants and their ecological risks. Soil Biol. Biochem. 2018, 116, 70–81. [Google Scholar] [CrossRef]
- Huang, J.; Hu, B.; Qi, K.; Chen, W.; Pang, X.; Bao, W.; Tian, G. Effects of phosphorus addition on soil microbial biomass and community composition in a subalpine spruce plantation. Eur. J. Soil Biol. 2016, 72, 35–41. [Google Scholar] [CrossRef]
- Yin, D.; Wang, X.; Peng, B.; Tan, C.; Ma, L.Q. Effect of biochar and Fe-biochar on Cd and As mobility and transfer in soil-rice system. Chemosphere 2017, 186, 928–937. [Google Scholar] [CrossRef]
- Igalavithana, A.D.; Lee, S.E.; Lee, Y.H.; Tsang, D.C.W.; Rinklebe, J.; Kwon, E.E.; Ok, Y.S. Heavy metal immobilization and microbial community abundance by vegetable waste and pine cone biochar of agricultural soils. Chemosphere 2017, 174, 593–603. [Google Scholar] [CrossRef]
- Penido, E.S.; Martins, G.C.; Mendes, T.B.M.; Melo, L.C.A.; Guimaraes, I.D.; Guilherme, L.R.G. Combining biochar and sewage sludge for immobilization of heavy metals in mining soils. Ecotoxicol. Environ. Saf. 2019, 172, 326–333. [Google Scholar] [CrossRef] [PubMed]
- Qin, G.W.; Niu, Z.D.; Yu, J.D.; Li, Z.H.; Ma, J.Y.; Xiang, P. Soil heavy metal pollution and food safety in China: Effects, sources and removing technology. Chemosphere 2021, 267, 129205. [Google Scholar] [CrossRef] [PubMed]
- Gao, J.; Zhao, T.; Tsang, D.C.W.; Zhao, N.; Wei, H.; Feng, M.; Liu, K.; Zhang, W.; Qiu, R. Effects of Zn in sludge-derived biochar on Cd immobilization and biological uptake by lettuce. Sci. Total Environ. 2020, 714, 136721. [Google Scholar] [CrossRef]
- Lu, K.; Yang, X.; Gielen, G.; Bolan, N.; Ok, Y.S.; Niazi, N.K.; Xu, S.; Yuan, G.; Chen, X.; Zhang, X.; et al. Effect of bamboo and rice straw biochars on the mobility and redistribution of heavy metals (Cd, Cu, Pb and Zn) in contaminated soil. J. Environ. Manag. 2017, 186, 285–292. [Google Scholar] [CrossRef] [PubMed]
- Kumar, A.; Joseph, S.; Tsechansky, L.; Privat, K.; Schreiter, I.J.; Schueth, C.; Graber, E.R. Biochar aging in contaminated soil promotes Zn immobilization due to changes in biochar surface structural and chemical properties. Sci. Total Environ. 2018, 626, 953–961. [Google Scholar] [CrossRef] [PubMed]
- Ahmad, M.; Ok, Y.S.; Kim, B.Y.; Ahn, J.H.; Lee, Y.H.; Zhang, M.; Moon, D.H.; Al-Wabel, M.I.; Lee, S.S. Impact of soybean stover- and pine needle-derived biochars on Pb and As mobility, microbial community, and carbon stability in a contaminated agricultural soil. J. Environ. Manag. 2016, 166, 131–139. [Google Scholar] [CrossRef] [PubMed]
- Ahmad, Z.; Gao, B.; Mosa, A.; Yu, H.W.; Yin, X.Q.; Bashir, A.; Ghoveisi, H.; Wang, S.S. Removal of Cu(II), Cd(II) and Pb(II) ions from aqueous solutions by biochars derived from potassium-rich biomass. J. Clean. Prod. 2018, 180, 437–449. [Google Scholar] [CrossRef]
- Li, M.; Lou, Z.J.; Wang, Y.; Liu, Q.; Zhang, Y.P.; Zhou, J.Z.; Qian, G.R. Alkali and alkaline earth metallic (AAEM) species leaching and Cu(II) sorption by biochar. Chemosphere 2015, 119, 778–785. [Google Scholar] [CrossRef]
- Hu, B.; Guo, P.; Su, H.; Deng, J.; Zheng, M.; Wang, J.; Wu, Y.; Jin, Y. Fraction distribution and bioavailability of soil heavy metals under different planting patterns in mangrove restoration wetlands in Jinjiang, Fujian, China. Ecol. Eng. 2021, 166, 106242. [Google Scholar] [CrossRef]
- Kalbitz, K.; Solinger, S.; Park, J.H.; Michalzik, B.; Matzner, E. Controls on the dynamics of dissolved organic matter in soils: A review. Soil Sci. 2000, 165, 277–304. [Google Scholar] [CrossRef]
- Fang, Y.; Li, J.; Han, P.-P.; Han, Q.-X.; Li, M.-X. Less toxic zinc(II), diorganotin(IV), gallium(III) and cadmium(II) complexes derived from 2-benzoylpyridine N,N-dimethylthiosemicarbazone: Synthesis, crystal structures, cytotoxicity and investigations of mechanisms of action. Toxicol. Res. 2018, 7, 987–993. [Google Scholar] [CrossRef] [Green Version]
- Pandey, D.; Daverey, A.; Arunachalam, K. Biochar: Production, properties and emerging role as a support for enzyme immobilization. J. Clean. Prod. 2020, 255, 120267. [Google Scholar] [CrossRef]
- Ho, S.H.; Zhu, S.S.; Chang, J.S. Recent advances in nanoscale-metal assisted biochar derived from waste biomass used for heavy metals removal. Bioresour. Technol. 2017, 246, 123–134. [Google Scholar] [CrossRef] [PubMed]
- Xu, X.Y.; Cao, X.D.; Zhao, L. Comparison of rice husk- and dairy manure-derived biochars for simultaneously removing heavy metals from aqueous solutions: Role of mineral components in biochars. Chemosphere 2013, 92, 955–961. [Google Scholar] [CrossRef] [PubMed]
- Qian, L.B.; Chen, B.L. Dual Role of Biochars as Adsorbents for Aluminum: The Effects of Oxygen-Containing Organic Components and the Scattering of Silicate Particles. Environ. Sci. Technol. 2013, 47, 8759–8768. [Google Scholar] [CrossRef] [PubMed]
- Arias Estevez, M.; Conde Cid, M.; Paradelo Nunez, R. Poorly-crystalline components in aggregates from soils under different land use and parent material. Catena 2016, 144, 141–150. [Google Scholar] [CrossRef]
- Vamerali, T.; Bandiera, M.; Mosca, G. Field crops for phytoremediation of metal-contaminated land. A review. Environ. Chem. Lett. 2010, 8, 1–17. [Google Scholar] [CrossRef]
- Fu, L.; Chen, C.; Wang, B.; Zhou, X.; Li, S.; Guo, P.; Shen, Z.; Wang, G.; Chen, Y.J.P.O. Differences in copper absorption and accumulation between copper-exclusion and copper-enrichment plants: A comparison of structure and physiological responses. PLoS ONE 2015, 10, e0133424. [Google Scholar] [CrossRef]
- Rasool, B.; ur-Rahman, M.; Ramzani, P.M.A.; Zubair, M.; Khan, M.A.; Lewinska, K.; Turan, V.; Karczewska, A.; Khan, S.A.; Farhad, M.; et al. Impacts of oxalic acid-activated phosphate rock and root-induced changes on Pb bioavailability in the rhizosphere and its distribution in mung bean plant. Environ. Pollut. 2021, 280, 116903. [Google Scholar] [CrossRef]
- Turan, V. Calcite in combination with olive pulp biochar reduces Ni mobility in soil and its distribution in chili plant. Int. J. Phytoremediat 2022, 24, 166–176. [Google Scholar] [CrossRef]
- Cardiano, P.; Cigala, R.M.; Crea, F.; Giacobello, F.; Giuffre, O.; Irto, A.; Lando, G.; Sammartano, S. Sequestration of Aluminium(III) by different natural and synthetic organic and inorganic ligands in aqueous solution. Chemosphere 2017, 186, 535–545. [Google Scholar] [CrossRef] [PubMed]
- Han, L.F.; Sun, H.R.; Sun, K.; Yang, Y.; Fang, L.P.; Xing, B.S. Effect of Fe and Al ions on the production of biochar from agricultural biomass: Properties, stability and adsorption efficiency of biochar. Renew. Sustain. Energy Rev. 2021, 145, 111133. [Google Scholar] [CrossRef]
- Xu, P.; Sun, C.-X.; Ye, X.-Z.; Xiao, W.-D.; Zhang, Q.; Wang, Q. The effect of biochar and crop straws on heavy metal bioavailability and plant accumulation in a Cd and Pb polluted soil. Ecotoxicol. Environ. Saf. 2016, 132, 94–100. [Google Scholar] [CrossRef] [PubMed]
- Xiao, J.; Hu, R.; Chen, G.C. Micro-nano-engineered nitrogenous bone biochar developed with a ball-milling technique for high-efficiency removal of aquatic Cd(II), Cu(II) and Pb(II). J. Hazard. Mater. 2020, 387, 121980. [Google Scholar] [CrossRef]
- Azeem, M.; Ali, A.; Jeyasundar, P.G.S.A.; Bashir, S.; Hussain, Q.; Wahid, F.; Ali, E.F.; Abdelrahman, H.; Li, R.; Antoniadis, V.; et al. Effects of sheep bone biochar on soil quality, maize growth, and fractionation and phytoavailability of Cd and Zn in a mining-contaminated soil. Chemosphere 2021, 282, 131016. [Google Scholar] [CrossRef]
- Zhang, G.; Bai, J.; Xiao, R.; Zhao, Q.; Jia, J.; Cui, B.; Liu, X. Heavy metal fractions and ecological risk assessment in sediments from urban, rural and reclamation-affected rivers of the Pearl River Estuary, China. Chemosphere 2017, 184, 278–288. [Google Scholar] [CrossRef]
- Hsu, J.H.; Lo, S.L. Effect of composting on characterization and leaching of copper, manganese, and zinc from swine manure. Environ. Pollut. 2001, 114, 119–127. [Google Scholar] [CrossRef]
- Li, J.; Zhang, M.; Ye, Z.; Yang, C. Effect of manganese oxide-modified biochar addition on methane production and heavy metal speciation during the anaerobic digestion of sewage sludge. J. Environ. Sci. 2019, 76, 267–277. [Google Scholar] [CrossRef]
- Geisseler, D.; Scow, K.M. Long-term effects of mineral fertilizers on soil microorganisms—A review. Soil Biol. Biochem. 2014, 75, 54–63. [Google Scholar] [CrossRef]
- Li, D.D.; Xu, X.J.; Yu, H.W.; Han, X.R. Characterization of Pb2+ biosorption by psychrotrophic strain Pseudomonas sp I3 isolated from permafrost soil of Mohe wetland in Northeast China. J. Environ. Manag. 2017, 196, 8–15. [Google Scholar] [CrossRef]
- Chao, Y.Q.; Liu, W.S.; Chen, Y.M.; Chen, W.H.; Zhao, L.H.; Ding, Q.B.; Wang, S.Z.; Tang, Y.T.; Zhang, T.; Qiu, R.L. Structure, Variation, and Co-occurrence of Soil Microbial Communities in Abandoned Sites of a Rare Earth Elements Mine. Environ. Sci. Technol. 2016, 50, 11481–11490. [Google Scholar] [CrossRef] [PubMed]
- Wei, Z.W.; Hao, Z.K.; Li, X.H.; Guan, Z.B.; Cai, Y.J.; Liao, X.R. The effects of phytoremediation on soil bacterial communities in an abandoned mine site of rare earth elements. Sci. Total Environ. 2019, 670, 950–960. [Google Scholar] [CrossRef] [PubMed]
- Liu, J.L.; Yao, J.; Lu, C.; Li, H.; Li, Z.F.; Duran, R.; Sunahara, G.; Mihucz, V.G. Microbial activity and biodiversity responding to contamination of metal(loid) in heterogeneous nonferrous mining and smelting areas. Chemosphere 2019, 226, 659–667. [Google Scholar] [CrossRef] [PubMed]
- Zhong, X.Z.; Ma, S.C.; Wang, S.P.; Wang, T.T.; Sun, Z.Y.; Tang, Y.Q.; Deng, Y.; Kida, K.J. A comparative study of composting the solid fraction of dairy manure with or without bulking material: Performance and microbial community dynamics. Bioresour. Technol. 2018, 247, 443–452. [Google Scholar] [CrossRef] [PubMed]
- Storey, S.; Ni Chualain, D.; Doyle, O.; Clipson, N.; Doyle, E. Comparison of bacterial succession in green waste composts amended with inorganic fertiliser and wastewater treatment plant sludge. Bioresour. Technol. 2015, 179, 71–77. [Google Scholar] [CrossRef]
- Lan, J.; Zhang, S.; Dong, Y.; Li, J.; Li, S.; Feng, L.; Hou, H. Stabilization and passivation of multiple heavy metals in soil facilitating by pinecone-based biochar: Mechanisms and microbial community evolution. J. Hazard. Mater. 2021, 420, 126588. [Google Scholar] [CrossRef]
- Pan, H.; Yang, X.; Chen, H.B.; Sarkar, B.; Bolan, N.; Shaheen, S.M.; Wu, F.C.; Che, L.; Ma, Y.B.; Rinklebe, J.; et al. Pristine and iron-engineered animal- and plant-derived biochars enhanced bacterial abundance and immobilized arsenic and lead in a contaminated soil. Sci. Total Environ. 2021, 763, 144218. [Google Scholar] [CrossRef]
- Duhan, P.; Bansal, P.; Rani, S. Isolation, identification and characterization of endophytic bacteria from medicinal plant Tinospora cordifolia. S. Afr. J. Bot. 2020, 134, 43–49. [Google Scholar] [CrossRef]
- Das, S.; Dash, H.R.; Chakraborty, J. Genetic basis and importance of metal resistant genes in bacteria for bioremediation of contaminated environments with toxic metal pollutants. Appl. Microbiol. Biotechnol. 2016, 100, 2967–2984. [Google Scholar] [CrossRef]
- Rensing, C.; Moodley, A.; Cavaco, L.M.; McDevitt, S.F. Resistance to Metals Used in Agricultural Production. Microbiol. Spectr. 2018, 6, 20. [Google Scholar] [CrossRef]
- Khalid, M.; Ur-Rahman, S.; Hassani, D.; Hayat, K.; Zhou, P.; Hui, N. Advances in fungal-assisted phytoremediation of heavy metals: A review. Pedosphere 2021, 31, 475–495. [Google Scholar] [CrossRef]
- Cicatelli, A.; Lingua, G.; Todeschini, V.; Biondi, S.; Torrigiani, P.; Castiglione, S. Arbuscular mycorrhizal fungi restore normal growth in a white poplar clone grown on heavy metal-contaminated soil, and this is associated with upregulation of foliar metallothionein and polyamine biosynthetic gene expression. Ann. Bot. 2010, 106, 791–802. [Google Scholar] [CrossRef] [PubMed]
- Zhang, Y.F.; He, L.Y.; Chen, Z.J.; Zhang, W.H.; Wang, Q.Y.; Qian, M.; Sheng, X.F. Characterization of lead-resistant and ACC deaminase-producing endophytic bacteria and their potential in promoting lead accumulation of rape. J. Hazard. Mater. 2011, 186, 1720–1725. [Google Scholar] [CrossRef] [PubMed]
- Sim, C.S.F.; Cheow, Y.L.; Ng, S.L.; Ting, A.S.Y. Discovering Metal-Tolerant Endophytic Fungi from the Phytoremediator Plant Phragmites. Water Air Soil Pollut. 2018, 229, 68. [Google Scholar] [CrossRef]
- Khan, A.L.; Lee, I.J. Endophytic Penicillium funiculosum LHL06 secretes gibberellin that reprograms Glycine max L. growth during copper stress. BMC Plant Biol. 2013, 13, 86. [Google Scholar] [CrossRef] [Green Version]
- Fajardo, C.; Costa, G.; Nande, M.; Botias, P.; Garcia-Cantalejo, J.; Martin, M. Pb, Cd, and Zn soil contamination: Monitoring functional and structural impacts on the microbiome. Appl. Soil. Ecol. 2019, 135, 56–64. [Google Scholar] [CrossRef]
- Zhang, C.; Nie, S.; Liang, J.; Zeng, G.; Wu, H.; Hua, S.; Liu, J.; Yuan, Y.; Xiao, H.; Deng, L.; et al. Effects of heavy metals and soil physicochemical properties on wetland soil microbial biomass and bacterial community structure. Sci. Total Environ. 2016, 557, 785–790. [Google Scholar] [CrossRef]
- Bobbink, R.; Tomassen, H.; Weijters, M.; van den Berg, L.; Strengbom, J.; Braun, S.; Nordin, A.; Schütz, K.; Hettelingh, J.-P. Effects and Empirical Critical Loads of Nitrogen for Europe. In Critical Loads and Dynamic Risk Assessments; Springer: Dordrecht, The Netherlands, 2015; pp. 85–127. [Google Scholar]
- Yu, Z. Holocene carbon flux histories of the world’s peatlands: Global carbon-cycle implications. Holocene 2011, 21, 761–774. [Google Scholar] [CrossRef]
- Cook, B.D.; Allan, D.L. Dissolved organic-carbon in old field soils—Compositional changes during the biodegradation of soil orgainc-matter. Soil Biol. Biochem. 1992, 24, 595–600. [Google Scholar] [CrossRef]
- Liu, C.C.; Chen, G.B. Reclamation of cadmium-contaminated soil using dissolved organic matter solution originating from wine-processing waste sludge. J. Hazard. Mater. 2013, 244, 645–653. [Google Scholar] [CrossRef]
- Liu, C.C.; Lin, Y.C. Reclamation of copper-contaminated soil using EDTA or citric acid coupled with dissolved organic matter solution extracted from distillery sludge. Environ. Pollut. 2013, 178, 97–101. [Google Scholar] [CrossRef] [PubMed]
- Chen, Y.-M.; Lin, W.-H.; Lin, Y.-A.; Liu, C.-C.; Wang, M.-K. Remediation of lead-contaminated soil using dissolved organic carbon solutions prepared by wine-processing waste sludge. Geoderma 2014, 235, 233–239. [Google Scholar] [CrossRef]
- Egea, L.G.; Jimenez-Ramos, R.; Hernandez, I.; Brun, F.G. Differential effects of nutrient enrichment on carbon metabolism and dissolved organic carbon (DOC) fluxes in macrophytic benthic communities. Marine Environ. Res. 2020, 162, 105179. [Google Scholar] [CrossRef] [PubMed]
- Gu, W.J.; Lu, Y.S.; Tan, Z.Y.; Xu, P.Z.; Xie, K.Z.; Li, X.; Sun, L.L. Fungi diversity from different depths and times in chicken manure waste static aerobic composting. Bioresour. Technol. 2017, 239, 447–453. [Google Scholar] [CrossRef]
- Jones, E.B.G.; Sakayaroj, J.; Suetrong, S.; Somrithipol, S.; Pang, K.L. Classification of marine Ascomycota, anamorphic taxa and Basidiomycota. Fungal Divers 2009, 35, 1–187. [Google Scholar]
- Cheng, Z.S.; Pan, J.H.; Tang, W.C.; Chen, Q.J.; Lin, Y.C. Biodiversity and biotechnological potential of mangrove-associated fungi. J. Forestry Res. 2009, 20, 63–72. [Google Scholar] [CrossRef]
- Velez, P.; Gonzalez, M.C.; Rosique-Gil, E.; Cifuentes, J.; Reyes-Montes, M.D.; Capello-Garcia, S.; Hanlin, R.T. Community structure and diversity of marine ascomycetes from coastal beaches of the southern Gulf of Mexico. Fungal Ecol. 2013, 6, 513–521. [Google Scholar] [CrossRef]
- Liu, H.C.; You, C.F.; Huang, B.J.; Huh, C.A. Distribution and accumulation of heavy metals in carbonate and reducible fractions of marine sediment from offshore mid-western Taiwan. Mar. Pollut. Bull. 2013, 73, 37–46. [Google Scholar] [CrossRef]
- Meng, J.; Wang, L.; Zhong, L.B.; Liu, X.M.; Brookes, P.C.; Xu, J.M.; Chen, H.J. Contrasting effects of composting and pyrolysis on bioavailability and speciation of Cu and Zn in pig manure. Chemosphere 2017, 180, 93–99. [Google Scholar] [CrossRef]
- Wang, S.F.; Jia, Y.F.; Wang, S.Y.; Wang, X.; Wang, H.; Zhao, Z.X.; Liu, B.Z. Fractionation of heavy metals in shallow marine sediments from Jinzhou Bay, China. J. Environ. Sci. 2010, 22, 23–31. [Google Scholar] [CrossRef]








| Soil | Biochar | |
|---|---|---|
| Sand (0.05–2 mm)% | 85.4 ± 3.1 | / |
| Silt (0.002–0.05 mm)% | 13.9 ± 2.5 | / |
| Clay (<0.002 mm)% | 0.660 ± 0.067 | / |
| Available P (mg/kg) | 7.29 ± 0.44 | / |
| Available K (mg/kg) | 13.8 ± 0.5 | 1.05 ± 0.131 |
| Total K (mg/kg) | 113 ± 7 | 6.53 ± 0.287 |
| Volume weight (g/cm3) | 0.690 ± 0.131 | / |
| Al (mg/kg) | 13,242 ± 118 | 13.7 ± 0.8 |
| Cu (mg/kg) | 2361 ± 285 | 0.164 ± 0.005 |
| Zn (mg/kg) | 1405 ± 660 | 2.71 ± 0.15 |
| Pb (mg/kg) | 2805 ± 846 | 0.375 ± 0.019 |
| Ni (mg/kg) | 83.4 ± 15.2 | n.d. |
| Mg (mg/kg) | 398 ± 26 | 12.0 ± 0.4 |
| Mn (mg/kg) | 1262 ± 286 | 0.796 ± 0.049 |
| Fe (mg/kg) | 14,137 ± 4638 | 12.4 ± 0.7 |
| C/N | 22.2 ± 0.7 | 50.4 ± 0.7 |
| pH | 8.15 ± 0.01 | 10.5 ± 0.3 |
| Treatments | CK | RB | Z1 | Z2 | RB-Z1 | RB-Z2 |
|---|---|---|---|---|---|---|
| description | Blank soil | 2.5% rice straw biochar | Chinese cabbage of New Beijing 3 (low accumulated cultivar) | Chinese cabbage of Beijingxiaoza 56 (non-low-accumulated cultivar) | rice straw biochar and New Beijing 3 | rice straw biochar and Beijingxiaoza 56 |
| Step | Operational Definition | Extract Reagents and Conditions | ||
|---|---|---|---|---|
| Reagents | Temperature (°C) | Time (h) | ||
| 1 | Acid-extractable (AF) | Dry sample (0.50 g) + 0.1 M CH3COOH2 (20.00 mL) | 22 ± 5 | 16 |
| 2 | Reducible fraction (RF) | AF residue + 0.1M NH2OH·HCl (20.00 mL, pH 1.5) | 22 ± 5 | 16 |
| 3 | Oxidisable fraction (OF) | RF residue + 30% H2O2 (10 mL, pH 2.0) | 85 ± 0.5 | 1 |
| A second 30% H2O2 (10.00 mL, pH 2.0) addition and heated with intermittent agitation, then cool | 85 ± 0.5 | 1 | ||
| Followed, add 1 M NH4OAc (pH 2.0) to make up the volume to 50.00 mL | 22 ± 5 | 16 | ||
| 4 | Residual fraction (ResF) | OF residue + 4:1:1 HNO3/HClO4/HF (v/v/v) (HF, 1.00 mL) | 240 ± 10 | 10 |
| CK | RB | Z1 | Z2 | RB-Z1 | RB-Z2 | |
|---|---|---|---|---|---|---|
| pH | 7.15 ± 0.01 a | 7.22 ± 0.04 a | 7.01 ± 0.03 b | 7.10 ± 0.07 ab | 7.09 ± 0.09 ab | 7.18 ± 0.05 a |
| SOM (mg·g−1) | 241 ± 3 a | 249 ± 6 a | 247 ± 6 a | 227 ± 10 a | 235 ± 5 a | 236 ± 20 a |
| TN (%) | 0.630 ± 0.008 ab | 0.593 ± 0.019 abc | 0.640 ± 0.016 a | 0.590 ± 0.020 bc | 0.575 ± 0.005 c | 0.573 ± 0.037 c |
| DOC (mg·kg−1) | 514 ± 19 abc | 531 ± 40 ab | 572 ± 19 a | 444 ± 43 cd | 466 ± 15 bcd | 435 ± 45 d |
Publisher’s Note: MDPI stays neutral with regard to jurisdictional claims in published maps and institutional affiliations. |
© 2022 by the authors. Licensee MDPI, Basel, Switzerland. This article is an open access article distributed under the terms and conditions of the Creative Commons Attribution (CC BY) license (https://creativecommons.org/licenses/by/4.0/).
Share and Cite
Lu, J.; Yuan, M.; Hu, L.; Yao, H. Migration and Transformation of Multiple Heavy Metals in the Soil–Plant System of E-Waste Dismantling Site. Microorganisms 2022, 10, 725. https://doi.org/10.3390/microorganisms10040725
Lu J, Yuan M, Hu L, Yao H. Migration and Transformation of Multiple Heavy Metals in the Soil–Plant System of E-Waste Dismantling Site. Microorganisms. 2022; 10(4):725. https://doi.org/10.3390/microorganisms10040725
Chicago/Turabian StyleLu, Jianming, Ming Yuan, Lanfang Hu, and Huaiying Yao. 2022. "Migration and Transformation of Multiple Heavy Metals in the Soil–Plant System of E-Waste Dismantling Site" Microorganisms 10, no. 4: 725. https://doi.org/10.3390/microorganisms10040725
APA StyleLu, J., Yuan, M., Hu, L., & Yao, H. (2022). Migration and Transformation of Multiple Heavy Metals in the Soil–Plant System of E-Waste Dismantling Site. Microorganisms, 10(4), 725. https://doi.org/10.3390/microorganisms10040725

