Event-Triggered Data-Driven Robust Model Predictive Control for an Omni-Directional Mobile Manipulator
Abstract
1. Introduction
- (1)
- An event-triggered Koopman data-driven MPC scheme is proposed for OMMs based on GPR and ESO, without using any prior knowledge of the robot dynamics.
- (2)
- The introduction of an event-triggered mechanism significantly reduces unnecessary online controller recomputations and lowers the controller update frequency, while the control performance is guaranteed.
- (3)
- Comparative experiments are conducted to validate the effectiveness and performance superiority of the proposed control scheme.
2. Modeling
2.1. Basis of Koopman Operator Theory
2.2. Data-Driven Finite-Dimensional Approximation of the Koopman Operator
3. Controller Design
3.1. MPC Design Based on Koopman Model
3.2. Modeling Error Compensation Based on GPR
3.3. Disturbance Compensation Based on Reduced-Order ESO
3.4. Controller Design Based on Event-Triggered Mechanism
- (1)
- When one of the event-triggering conditions (33), (34) or (35) is satisfied, let , and the control signal is recalculated. Subsequently, the optimization problem (21) is solved to obtain the optimal control sequence and the predicted state sequence, as follows:The control signal is obtained as
- (2)
- If the event-triggering conditions are not satisfied, the time instant is set as , where n is a constant and T represents the sampling period. In this case, the MPC, GPR and ESO remain dormant, and the control signal is defined as follows:
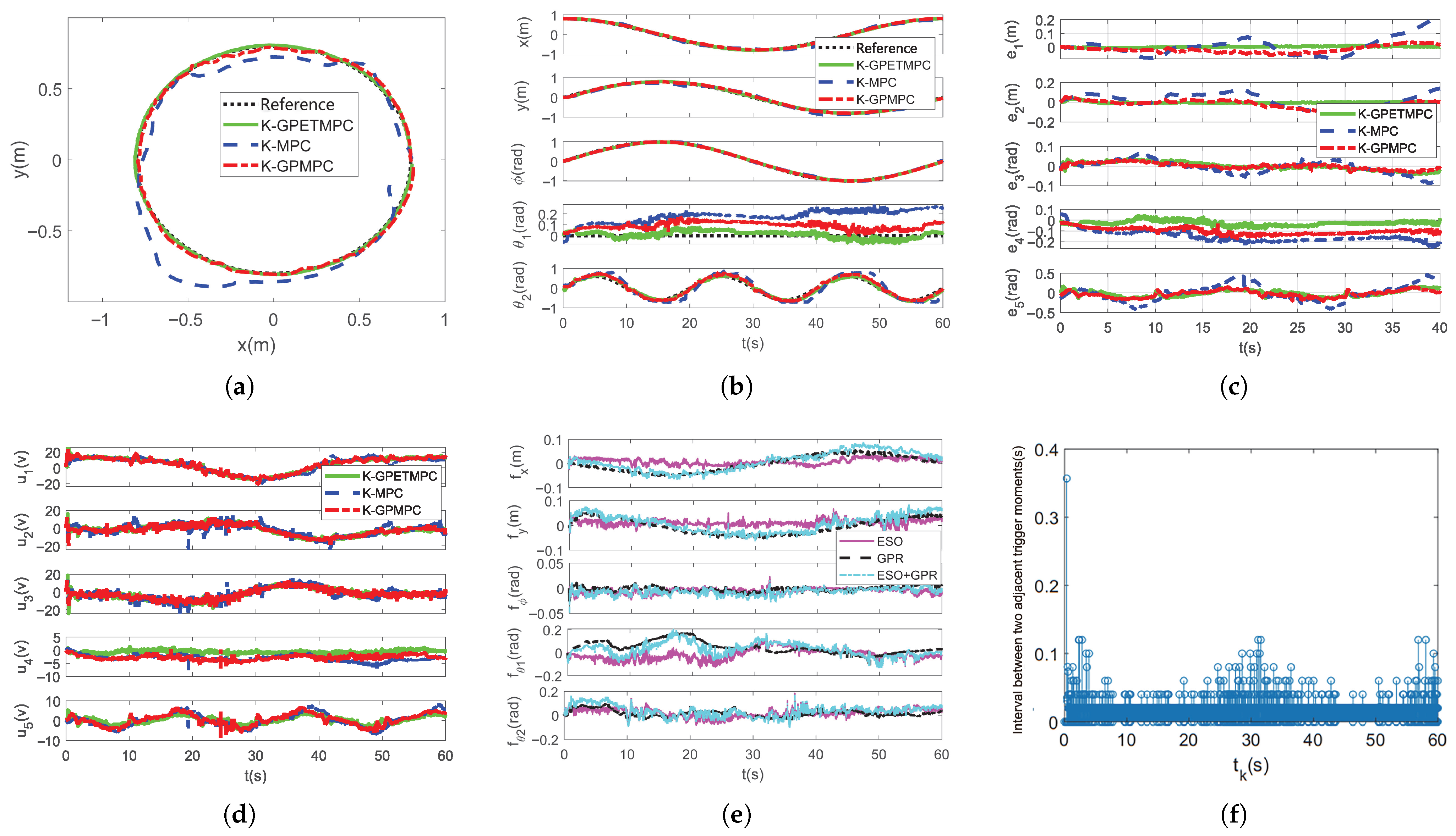
4. Experiment Analysis
4.1. Experimental Setup
4.2. Data Collection for Koopman Model
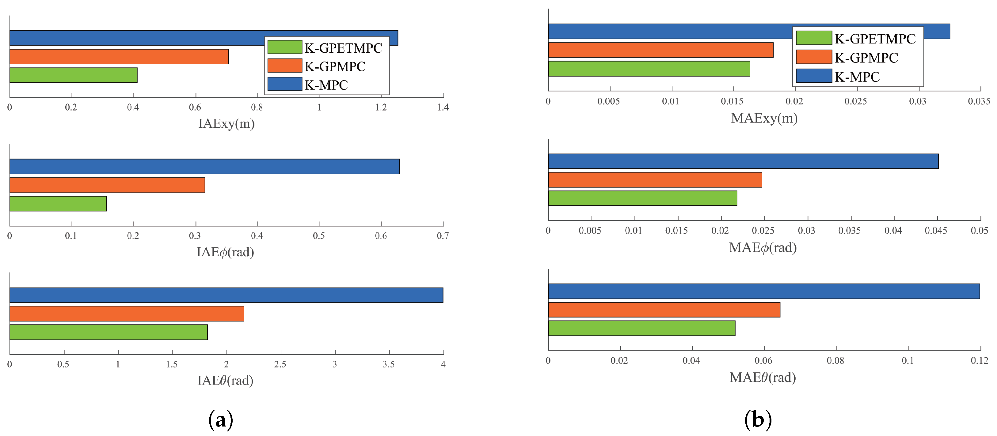
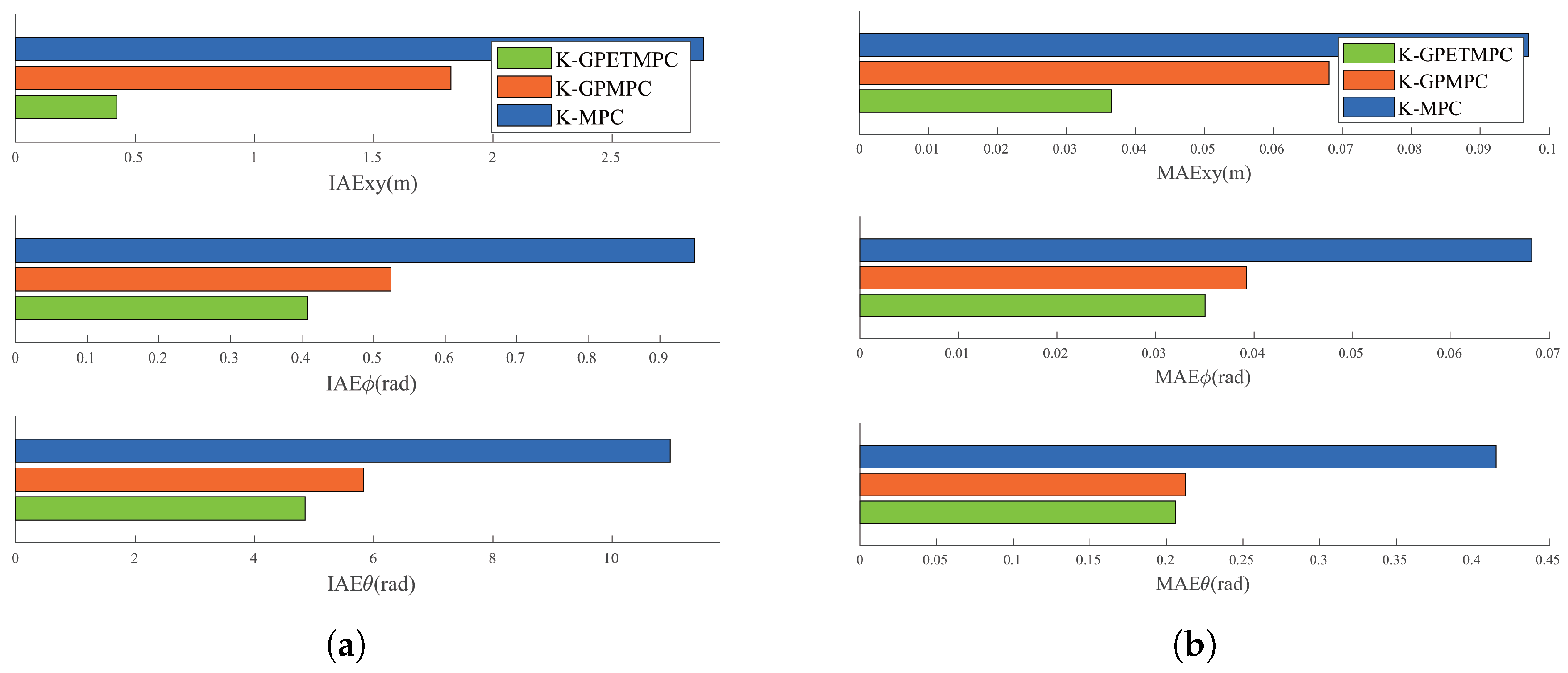
4.3. Control Performance
- (a)
- Integral absolute error (IAE):
- (b)
- Maximum absolute error (MAE):
5. Conclusions
Author Contributions
Funding
Institutional Review Board Statement
Informed Consent Statement
Data Availability Statement
Conflicts of Interest
Appendix A
References
- Wang, F.; Olvera, J.R.G.; Cheng, G. Optimal order pick-and-place of objects in cluttered scene by a mobile manipulator. IEEE Robot. Autom. Lett. 2021, 6, 6402–6409. [Google Scholar] [CrossRef]
- Rigotti-Thompson, M.; Torres-Torriti, M.; Auat Cheein, F.A.; Troni, G. ∞-Based Terrain Disturbance Rejection for Hydraulically Actuated Mobile Manipulators With a Nonrigid Link. IEEE/ASME Trans. Mechatron. 2020, 25, 2523–2533. [Google Scholar] [CrossRef]
- Xu, D.; Zhao, D.; Yi, J.; Tan, X. Trajectory tracking control of omnidirectional wheeled mobile manipulators: Robust neural network-based sliding mode approach. IEEE Trans. Syst. Man Cybern. Syst. 2009, 39, 788–799. [Google Scholar]
- Gongor, F.; Tutsoy, O. On the remarkable advancement of assistive robotics in human-robot interaction-based healthcare applications: An exploratory overview of the literature. Int. J. Hum.-Comput. Interact. 2025, 41, 1502–1542. [Google Scholar] [CrossRef]
- Canaza Ccari, L.F.; Adrian Ali, R.; Valdeiglesias Flores, E.; Medina Chilo, N.O.; Sulla Espinoza, E.; Silva Vidal, Y.; Pari, L. JVC-02 Teleoperated Robot: Design, Implementation, and Validation for Assistance in Real Explosive Ordnance Disposal Missions. Actuators 2024, 13, 254. [Google Scholar] [CrossRef]
- Chen, N.; Song, F.; Li, G.; Sun, X.; Ai, C. An adaptive sliding mode backstepping control for the mobile manipulator with nonholonomic constraints. Commun. Nonlinear Sci. Numer. Simul. 2013, 18, 2885–2899. [Google Scholar] [CrossRef]
- Viet, T.D.; Doan, P.T.; Hung, N.; Kim, H.K.; Kim, S.B. Tracking control of a three-wheeled omnidirectional mobile manipulator system with disturbance and friction. J. Mech. Sci. Technol. 2012, 26, 2197–2211. [Google Scholar] [CrossRef]
- Sun, Z.; Tang, S.; Zhou, Y.; Yu, J.; Li, C. A GNN for repetitive motion generation of four-wheel omnidirectional mobile manipulator with nonconvex bound constraints. Inf. Sci. 2022, 607, 537–552. [Google Scholar] [CrossRef]
- Sun, Z.; Tang, S.; Fei, Y.; Xiao, X.; Hu, Y.; Yu, J. An Orthogonal Repetitive Motion and Obstacle Avoidance Scheme for Omnidirectional Mobile Robotic Arm. IEEE Trans. Ind. Electron. 2025, 72, 4978–4989. [Google Scholar] [CrossRef]
- Khan, A.H.; Li, S.; Chen, D.; Liao, L. Tracking control of redundant mobile manipulator: An RNN based metaheuristic approach. Neurocomputing 2020, 400, 272–284. [Google Scholar] [CrossRef]
- Nie, J.; Wang, Y.; Mo, Y.; Miao, Z.; Jiang, Y.; Zhong, H.; Lin, J. An HQP-Based Obstacle Avoidance Control Scheme for Redundant Mobile Manipulators Under Multiple Constraints. IEEE Trans. Ind. Electron. 2022, 70, 6004–6016. [Google Scholar] [CrossRef]
- Zhang, S.; Wu, Y.; He, X.; Wang, J. Neural Network-Based Cooperative Trajectory Tracking Control for a Mobile Dual Flexible Manipulator. IEEE Trans. Neural Netw. Learn. Syst. 2023, 34, 6545–6556. [Google Scholar] [CrossRef]
- Bruder, D.; Fu, X.; Gillespie, R.B.; Remy, C.D.; Vasudevan, R. Data-Driven Control of Soft Robots Using Koopman Operator Theory. IEEE Trans. Robot. 2021, 37, 948–961. [Google Scholar] [CrossRef]
- Wang, H.; Shi, Z.; Zhu, C.; Qiao, Y.; Zhang, C.; Yang, F.; Ren, P.; Lu, L.; Xuan, D. Integrating learning-based manipulation and physics-based locomotion for whole-body badminton robot control. In Proceedings of the EEE International Conference on Robotics and Automation (ICRA); IEEE: Piscataway, NJ, USA, 2025; pp. 15114–15120. [Google Scholar]
- Hazem, Z.B. A fuzzy-TD3 hybrid reinforcement learning framework for robust trajectory tracking of the Mitsubishi RV-2AJ robotic arm. Sci. Rep. 2026; online ahead of print. [CrossRef] [PubMed]
- Koopman, B.O. Hamiltonian systems and transformation in Hilbert space. Proc. Natl. Acad. Sci. USA 1931, 17, 315–318. [Google Scholar] [CrossRef]
- Zheng, H.; Li, Y.; Zheng, L.; Hashemi, E. Koopman-Based Hybrid Modeling and Zonotopic Tube Robust MPC for Motion Control of Automated Vehicles. IEEE Trans. Intell. Transp. Syst. 2024, 25, 13598–13612. [Google Scholar] [CrossRef]
- Zhao, T.; Yue, M.; Wang, J. Deep-Learning-Based Koopman Modeling for Online Control Synthesis of Nonlinear Power System Transient Dynamics. IEEE Trans. Ind. Inform. 2023, 19, 10444–10453. [Google Scholar] [CrossRef]
- Goyal, T.; Hussain, S.; Martinez-Marroquin, E.; Brown, N.A.; Jamwal, P.K. Learning Koopman embedding subspaces for system identification and optimal control of a wrist rehabilitation robot. IEEE Trans. Ind. Electron. 2022, 70, 7092–7101. [Google Scholar] [CrossRef]
- Xiao, Y.; Zhang, X.; Xu, X.; Liu, X.; Liu, J. Deep neural networks with Koopman operators for modeling and control of autonomous vehicles. IEEE Trans. Intell. Veh. 2022, 8, 135–146. [Google Scholar] [CrossRef]
- Lee, S.M. Global-Initialization-Based Model Predictive Control for Mobile Robots Navigating Nonconvex Obstacle Environments. Actuators 2025, 14, 454. [Google Scholar] [CrossRef]
- Yang, W.; Chen, Y.; Su, Y. A Double-Layer Model Predictive Control Approach for Collision-Free Lane Tracking of On-Road Autonomous Vehicles. Actuators 2023, 12, 169. [Google Scholar] [CrossRef]
- Carron, A.; Arcari, E.; Wermelinger, M.; Hewing, L.; Hutter, M.; Zeilinger, M.N. Data-driven model predictive control for trajectory tracking with a robotic arm. IEEE Robot. Autom. Lett. 2019, 4, 3758–3765. [Google Scholar] [CrossRef]
- Choi, T.; Schervish, M.J. On posterior consistency in nonparametric regression problems. J. Multivar. Anal. 2007, 98, 1969–1987. [Google Scholar] [CrossRef]
- Yuan, Z.; Zhu, M. Lightweight distributed Gaussian process regression for online machine learning. IEEE Trans. Autom. Control 2024, 69, 3928–3943. [Google Scholar] [CrossRef]
- Wang, J.; Filippi, P.; Haan, S.; Pozza, L.; Whelan, B.; Bishop, T.F. Gaussian process regression for three-dimensional soil mapping over multiple spatial supports. Geoderma 2024, 446, 116899. [Google Scholar] [CrossRef]
- Huang, Y.; Lin, X.; Hernandez-Rocha, M.; Narain, S.; Pochiraju, K.; Englot, B. Mission-Oriented Gaussian Process Motion Planning for UUVs Over Complex Seafloor Terrain and Current Flows. IEEE Rob. Autom. Lett. 2024, 9, 1780–1787. [Google Scholar] [CrossRef]
- Cai, L.; Yin, H.; Lin, J.; Zhao, D. An Update-Strategy-Based Gaussian Process Regression Method for Aeroengines Fault Prediction. IEEE Trans. Ind. Inform. 2024, 20, 1941–1951. [Google Scholar] [CrossRef]
- Han, J. From PID to active disturbance rejection control. IEEE Trans. Ind. Electron. 2009, 56, 900–906. [Google Scholar] [CrossRef]
- Cui, R.; Chen, L.; Yang, C.; Chen, M. Extended State Observer-Based Integral Sliding Mode Control for an Underwater Robot With Unknown Disturbances and Uncertain Nonlinearities. IEEE Trans. Ind. Electron. 2017, 64, 6785–6795. [Google Scholar] [CrossRef]
- Shao, X.; Wang, H. Back-stepping active disturbance rejection control design for integrated missile guidance and control system via reduced-order ESO. ISA Trans. 2015, 57, 10–22. [Google Scholar]
- Xu, Y.; Hao, X.; Zhu, D.; Wu, L.; Li, P. Model Predictive Control for Pneumatic Manipulator via Receding-Horizon-Based Extended State Observers. Actuators 2025, 14, 343. [Google Scholar] [CrossRef]
- Yang, J.; Wu, H.; Hu, L.; Li, S. Robust predictive speed regulation of converter-driven DC motors via a discrete-time reduced-order GPIO. IEEE Trans. Ind. Electron. 2018, 66, 7893–7903. [Google Scholar] [CrossRef]
- Shao, X.; Zhang, J.; Zhang, W. Distributed Cooperative Surrounding Control for Mobile Robots With Uncertainties and Aperiodic Sampling. IEEE Trans. Intell. Transp. Syst. 2022, 23, 18951–18961. [Google Scholar] [CrossRef]
- Ge, C.; Ma, L.; Xu, S. Distributed Fixed-Time Leader-Following Consensus for Multi-Agent Systems: An Event-Triggered Mechanism. Actuators 2024, 13, 40. [Google Scholar] [CrossRef]
- Qin, D.; Jin, Z.; Liu, A.; Zhang, W.A.; Yu, L. Asynchronous event-triggered distributed predictive control for multiagent systems with parameterized synchronization constraints. IEEE Trans. Autom. Control 2023, 69, 403–409. [Google Scholar] [CrossRef]
- Liu, C.; Li, H.; Shi, Y.; Xu, D. Codesign of event trigger and feedback policy in robust model predictive control. IEEE Trans. Autom. Control 2019, 65, 302–309. [Google Scholar] [CrossRef]
- Shi, T.; Shi, P.; Wu, Z.G. Dynamic event-triggered asynchronous MPC of Markovian jump systems with disturbances. IEEE Trans. Cybern. 2021, 52, 11639–11648. [Google Scholar] [CrossRef]
- Hu, L.; Ding, L.; Yang, H.; Liu, T.; Zhang, A.; Chen, S.; Gao, H.; Xu, P.; Deng, Z. LNO-Driven Deep RL-MPC: Hierarchical Adaptive Control Architecture for Dynamic Legged Locomotion. IEEE Trans. Ind. Inform. 2025, 21, 8574–8584. [Google Scholar] [CrossRef]
- Korda, M.; Mezić, I. Linear predictors for nonlinear dynamical systems: Koopman operator meets model predictive control. Automatica 2018, 93, 149–160. [Google Scholar] [CrossRef]
- Shi, H.; Meng, M.Q.H. Deep Koopman operator with control for nonlinear systems. IEEE Rob. Autom. Lett. 2022, 7, 7700–7707. [Google Scholar] [CrossRef]
- Chen, H.; Lv, C. Incorporating ESO into Deep Koopman Operator Modeling for Control of Autonomous Vehicles. IEEE Trans. Control Syst. Technol. 2024, 32, 1854–1864. [Google Scholar] [CrossRef]
- Qin, B.; Yan, H.; Zhang, H.; Wang, Y.; Yang, S.X. Enhanced reduced-order extended state observer for motion control of differential driven mobile robot. IEEE Trans. Cybern. 2021, 53, 1299–1310. [Google Scholar] [CrossRef]
- Huang, Y.; Wang, J.; Shi, D.; Shi, L. Performance Assessment of Discrete-Time Extended State Observers: Theoretical and Experimental Results. IEEE Trans. Circuits Syst. I Reg. Pap. 2018, 65, 2256–2268. [Google Scholar] [CrossRef]
- Khalil, H.K.; Praly, L. High-gain observers in nonlinear feedback control. Int. J. Robust Nonlin. Control 2014, 24, 993–1015. [Google Scholar] [CrossRef]
- Girard, A. Dynamic triggering mechanisms for event-triggered control. IEEE Trans. Autom. Control 2014, 60, 1992–1997. [Google Scholar] [CrossRef]
- Ding, L.; Han, Q.L.; Ge, X.; Zhang, X.M. An overview of recent advances in event-triggered consensus of multiagent systems. IEEE Trans. Cybern. 2017, 48, 1110–1123. [Google Scholar] [CrossRef] [PubMed]
- Lehmann, D.; Henriksson, E.; Johansson, K.H. Event-triggered model predictive control of discrete-time linear systems subject to disturbances. In Proceedings of the European Control Conference (ECC); IEEE: Piscataway, NJ, USA, 2013; pp. 1156–1161. [Google Scholar]






| Parameter | Value |
|---|---|
| 5 | |
| 5 | |
Disclaimer/Publisher’s Note: The statements, opinions and data contained in all publications are solely those of the individual author(s) and contributor(s) and not of MDPI and/or the editor(s). MDPI and/or the editor(s) disclaim responsibility for any injury to people or property resulting from any ideas, methods, instructions or products referred to in the content. |
© 2026 by the authors. Licensee MDPI, Basel, Switzerland. This article is an open access article distributed under the terms and conditions of the Creative Commons Attribution (CC BY) license.
Share and Cite
Guo, P.; Li, C.; Wang, B.; Ren, C. Event-Triggered Data-Driven Robust Model Predictive Control for an Omni-Directional Mobile Manipulator. Actuators 2026, 15, 185. https://doi.org/10.3390/act15040185
Guo P, Li C, Wang B, Ren C. Event-Triggered Data-Driven Robust Model Predictive Control for an Omni-Directional Mobile Manipulator. Actuators. 2026; 15(4):185. https://doi.org/10.3390/act15040185
Chicago/Turabian StyleGuo, Pu, Chunli Li, Binjie Wang, and Chao Ren. 2026. "Event-Triggered Data-Driven Robust Model Predictive Control for an Omni-Directional Mobile Manipulator" Actuators 15, no. 4: 185. https://doi.org/10.3390/act15040185
APA StyleGuo, P., Li, C., Wang, B., & Ren, C. (2026). Event-Triggered Data-Driven Robust Model Predictive Control for an Omni-Directional Mobile Manipulator. Actuators, 15(4), 185. https://doi.org/10.3390/act15040185

