Next Article in Journal
Multi-Scale Feature Enhancement for Gearbox Fault Diagnosis Under Variable Operating Conditions
Previous Article in Journal
Control of Powered Ankle–Foot Prostheses on Compliant Terrain: A Quantitative Approach to Stability Enhancement
 
 
Font Type:
Arial Georgia Verdana
Font Size:
Aa Aa Aa
Line Spacing:
Column Width:
Background:
Article

Anti-Disturbance Trajectory Tracking Control of Large Space Flexible Truss by Four Space Robots

State Key Laboratory of Mechanics and Control for Aerospace Structures, Nanjing University of Aeronautics and Astronautics, No. 29 Yudao Street, Nanjing 210016, China
*
Author to whom correspondence should be addressed.
Actuators 2026, 15(2), 108; https://doi.org/10.3390/act15020108
Submission received: 31 December 2025 / Revised: 2 February 2026 / Accepted: 6 February 2026 / Published: 8 February 2026
(This article belongs to the Section Aerospace Actuators)

Abstract

This paper addresses the high-precision transportation control of a large space flexible truss using four space robots, with a focus on dynamic modeling and control strategy design. The system’s dynamic model is derived based on Kane’s method, which facilitates efficient modeling of the complicated rigid–flexible dynamics. Considering the truss’s flexible vibration as a key disturbance source, a nonlinear disturbance observer (NDO) is designed to achieve effective disturbance estimation. Then, to ensure high-precision trajectory tracking of such a complicated dynamics system, an integral sliding mode control (ISMC) strategy is developed based on NDO. Furthermore, leveraging the system’s actuator redundancy, the actuator inputs are weighted and allocated by accounting for individual actuator performance, which enhances the operational reliability. The effectiveness of the proposed control strategy is verified through theoretical analysis and numerical simulations.

1. Introduction

In the past few decades, with the rapid development of space exploration missions, large space flexible trusses have become core components of space stations, space telescopes, and other key facilities, undertaking critical tasks such as structural support and payload installation [1,2,3]. However, their on-orbit transportation poses significant challenges due to characteristics such as large structural flexibility, high precision requirements, and complex space disturbance environments. On-orbit space robots, as versatile executors in space operations, offer a reliable solution for the transportation of such large flexible structures with their high maneuverability and precise control capabilities [4,5].
To enhance the system’s anti-disturbance capability, disturbance observer-based control has emerged as a well-established and effective approach, which has been successfully applied to space manipulators, flexible spacecraft, and other relevant space engineering scenarios. For instance, Yao [6] adopted a fixed-time disturbance observer to estimate the lumped disturbances of space manipulators. Yan et al. [7] introduced an NDO for accurately estimating the lumped uncertainty. Chu et al. [8] developed a disturbance observer at each joint of space manipulator to decouple and simplify the controller design. Chen et al. [9] proposed an improved learning observer to address the attitude control problem of spacecraft subject to external disturbances and composite actuator faults. To compensate for the system uncertainty with complex and uncertain dynamics, Zhu et al. [10] proposed a novel adaptive sliding-mode disturbance observer. Wang et al. [11] developed a finite-time disturbance observer based on a flatness dynamic model to estimate the lumped unknown time-varying disturbances and unmeasurable states. To suppress the adverse influence of the high dynamic disturbances, Zhang et al. [12] designed a high-order disturbance observer for space unmanned systems to maintain accurate approximation of such disturbances. For the attitude control of flexible spacecraft, a super-twisting controller based on a disturbance observer was proposed in [13]. Xia et al. [14] utilized a disturbance observer to simultaneously estimate disturbances in spacecraft attitude and orbit control, thereby enhancing the system’s adaptability to complex space environments. In summary, disturbance observer-based control has become indispensable in modern space robotics systems. However, its utilization in space transportation systems is still an open problem. To address this gap, this study employs an NDO to estimate the time-varying flexible disturbances induced during the flexible truss transportation phase.
Sliding mode control (SMC) has emerged as a cornerstone in space robotics and transportation systems due to its inherent robustness against parameter uncertainties, external disturbances, and complex nonlinear dynamics of space environments. Wang et al. [15] utilized a robust sliding mode controller to accurately control the space robot for implementing the proposed tangent release strategy. To address the stabilization problem of a dual-arm free-floating space robot after capturing a rotating target, Wang et al. [16] further proposed an adaptive sliding mode control (ASMC) approach. Jia et al. [17] utilized an ASMC approach for the trajectory tracking of a novel space robot equipped with control moment gyros. Aiming at the attitude control problem of flexible spacecraft, Wang et al. [18] presented a predefined time-adaptive sliding mode controller. Based on the singular perturbation method, Xie et al. [19] proposed a robust fuzzy sliding mode control approach to achieve joint desired trajectory tracking for the slow subsystem. Fu et al. [20] designed an integrated sliding mode control approach to address the problem of multiple flexible vibrations. Zhang et al. [21] developed a novel, fast nonsingular integral sliding-mode control method to tackle the complex control problem in rigid–flexible coupled spacecraft attitude tracking. In [22], an adaptive fuzzy integral sliding mode controller based on time-delay estimation was designed for trajectory tracking. In [23], a novel observer-based sliding mode controller is presented, which is designed to control the Continuous Stirred Tank Reactor (CSTR) with high accuracy and fast response speed. Summarizing the above, it is clear that SMC offers exceptional performance in trajectory tracking of flexible structures, particularly in suppressing flexible vibrations and handling nonlinearities induced by rigid–flexible coupling. Aimed at the emerging scenario of collaborative transportation by four space robots, this study designs an ISMC strategy to tackle the tracking control challenge.
This paper focuses on the dynamic modeling and control scheme design for the transportation of a large space flexible truss using four space robots, aiming to address issues such as coordinated control of multi-robot systems and disturbance rejection during the transportation process. As a modern dynamic analysis method, Kane’s method exhibits unique advantages in the dynamic modeling and analysis of complex multibody systems [24,25]. In particular, when dealing with flexible multibody systems, Kane’s method can naturally separate elastic deformations from rigid-body motions, significantly simplifying the derivation process of dynamic equations [26]. Meanwhile, integrating real-time disturbance estimation into the control law can improve the real-time control accuracy [23,27,28]. Therefore, the dynamics of the system are derived using Kane’s method in this paper. An NDO is used to estimate the disturbances induced by the truss’s flexible deformations, as it exhibits excellent adaptability to time-varying and nonlinear disturbance, with advantages of a simpler structure, high estimation accuracy, and high efficiency [29]. To meet the high-precision requirement for transportation, an ISMC strategy is designed for the trajectory tracking of the flexible truss, which maintains robust performance throughout the entire process. The main contributions of this paper are summarized as follows:
  • The system’s dynamic model is derived using Kane’s method, with a discrete quasi-coordinate formulation adopted to describe the elastic deformation of the flexible truss, which effectively improves simulation efficiency. Furthermore, by introducing angular frequency into the generalized elastic force calculation, the original complex integral operation is transformed into a simple algebraic operation, which reduces the computational burden.
  • An NDO is designed to estimate the disturbances caused by the system’s flexibility. The disturbance estimation is directly integrated into the control law to compensate for the time-varying flexible disturbances.
  • An ISMC strategy combined with the NDO is designed to address the core control challenges of the system. On one hand, the ISMC ensures full-time anti-disturbance capability and trajectory tracking accuracy. On the other hand, the feedforward disturbance compensation term derived from NDO effectively suppresses control chattering. This ensures continuous and smooth actuator input, avoiding the excitation of additional flexible vibrations in the truss caused by high-frequency control oscillations.
The rest of this paper is organized as follows. Section 2 establishes the dynamic model of the multi-robot flexible truss system using Kane’s method. An ISMC based on NDO, along with its stability analysis, is given in Section 3. Section 4 presents numerical simulation and result analysis to verify the effectiveness of the designed controller. Section 5 summarizes the conclusions of this study.

2. System Modeling

2.1. Transportation Scenario and Assumptions

The mission considered in this paper is the transportation of a large space flexible truss by four space robots. The proposed large space flexible truss consists of several segmented modules, each with a dimension of 2.55   m × 1.275   m × 1.275   m . Each robot involved in the transport operation is equipped with a 7-degree-of-freedom rigid robotic arm, whose end-effector grasps the truss. The entire structure is shown in Figure 1. Through the movement of the robots’ bases and the operation of the robotic arms, the truss is transported to the designated position for subsequent tasks.
This paper focuses on the dynamics and control of the process in which four space robots transport a large space flexible truss to designated positions. In order to determine the dynamic model, the following assumptions are adopted.
Assumption 1.
The effect of orbital mechanics is negligible.
Assumption 2.
The effects of solar radiation pressure, aerodynamic torque, and gravity gradient on system are ignored.
Assumption 3.
The connection between the robot’s end-effector and the truss ensures zero relative displacement and rotation.
Assumption 4.
The initial configuration and the desired transportation trajectory are set appropriately to avoid the singular motion.

2.2. System Equivalency and Nomenclature

Upon analyzing the structural configuration of the system, in the modeling process, the large space flexible truss is treated as the main body of the system, with four robotic arms mounted on it. Thus, an equivalent system corresponding to the original is developed. Similar to the original system, the equivalent system is also a composite system that consists of a flexible truss and rigid robotic arms.
In light of Assumption 3, the first link of the robotic arm in the composite system, which is the end-effector in the original system, is mounted on the main body using a fixed connection.
To facilitate the description of the composite systems, the flexible truss is denoted as Bt, Bi represents the ith robot base, while Bi,j (i = 1,…,4, j = 0,…,7) refers to the jth link of the ith robotic arm. As shown in Figure 1 and Figure 2, some coordinate frames are defined for modeling. Oe represents the inertial coordinate frame. A body-fixed coordinate frame of Bt is defined as Ot. Oi and Oi,j represent the body-fixed coordinate frames of Bi and Bi,j, respectively. Oci refers to the body-fixed coordinate frame of Bi with its origin at the centroid. The joint at the start of the jth link is denoted as Ci,j, where Ci,0 is a fixed joint (per Assumption 3), and all others are revolute joints.
In this paper, sgn ( · ) denotes the signum function. For vector variable x v , sgn ( x ) = [ sgn ( x 1 ) , , sgn ( x v ) ] T , sgn b ( x ) = [ x 1 b sgn ( x 1 ) , , x v b sgn ( x v ) ] T with a positive constant b. Additionally, · represents the standard Euclidean norm.

2.3. Dynamics of the System

In this subsection, a forward recursive formulation for multibody systems is adopted to establish the dynamics of the system, with the derivation based on Kane’s method.
In order to describe the motion of the composite system, the generalized velocity vector q ˙ n is chosen as
q ˙ = v t T , ω t T , θ ˙ 1 T , θ ˙ 2 T , θ ˙ 3 T , θ ˙ 4 T , τ ˙ T T
where v t and ω t denote the translational and rotational velocity vectors of Bt relative to Oe, respectively, with their components expressed in Ot. θ ˙ i = θ ˙ i , 1 , θ ˙ i , 2 , θ ˙ i , 3 , θ ˙ i , 4 , θ ˙ i , 5 , θ ˙ i , 6 , θ ˙ i , 7 T ( i = 1 , , 4 ) represent the joint angular velocities of Ci,j. τ ˙ = τ ˙ 1 , , τ ˙ h T denotes the velocity vector corresponding to modal coordinates of Bt, where h refers to the number of selected modes. n = 34 + h denotes the dimension of the generalized velocity vector q ˙ .

2.3.1. Kane’s Method for Multibody Dynamics

For the kth generalized velocity q ˙ k , the dynamic equations derived by Kane’s method are given as
F k I + F k A + F k E = 0   ( k = 1 , , n )
where F k I , F k A , and F k E represent the generalized inertial force, generalized active force, and generalized elastic force associated with the kth generalized velocity q ˙ k .
For the composite system, the generalized inertial force corresponding to the kth generalized velocity is expressed as
F k I = B t v m , t k p · v ˙ m , t d m i = 1 4 B i v m , i k p · v ˙ m , i d m i = 1 4 j = 0 7 B i , j v m , i , j k p · v ˙ m , i , j d m
where v m , t k p , v m , i k p , and v m , i , j k p denote the kth partial velocities of the mass element dm on Bt, Bi, and Bi,j, respectively. v ˙ m , t , v ˙ m , i , and v ˙ m , i , j represent the accelerations of dm on Bt, Bi, and Bi,j with respect to Oe. The symbol ‘ · ’ denotes the vector dot product.

2.3.2. Partial Velocity Matrix and Acceleration Formulation

For the mass element dm on the flexible body Bt, its velocity relative to the inertial frame Oe can be expressed as
v m , t = v t e + ω t e × ( r m , t e + δ m , t e ) + δ ˙ m , t e
where the superscript “e” indicates that the vector is expressed in Oe. v t e and ω t e are the velocity and angular velocity of Ot with respect to Oe. r m , t e denotes the undeformed position vector of the mass element dm in Ot. δ m , t e represents the elastic displacement at dm relative to Ot. The symbol “ × ” denotes the vector cross product.
Expand v m , t as a linear combination of the system’s generalized velocities q ˙ k , i.e.,
v m , t = k = 1 n v m , t k p q ˙ k + v m , t nl
where v m , t nl denotes the nonlinear term of v m , t . Define the partial velocity matrix of dm on Bt as
V m , t p = v m , t 1 p , v m , t 2 p , , v m , t n p
The compact form of Equation (5) is obtained as
v m , t = V m , t p q ˙ + v m , t nl
Similarly, expanding v t e and ω t e as a linear combination of q ˙ k yields
v t e = V t p q ˙ + v t nl ,   ω t e = Ω t p q ˙ + ω t nl
where V t p = v t 1 p , , v t n p and Ω t p = ω t 1 p , , ω t n p are the partial velocity matrix and partial angular velocity matrix of Ot. Define the modal selection matrix of the flexible body Bt as Δ t = 0 h × 34 , I h , where I h denotes the h-dimensional identity matrix, to satisfy τ ˙ = Δ t q ˙ . Accordingly,
δ ˙ m , t e = b t T T m , t τ ˙ = b t T T m , t Δ t q ˙
where b t T is the unit basis matrix of Ot expressed in Oe. T m , t denotes the translational modal matrix at dm. Substituting Equations (8) and (9) into Equation (4) yields
v m , t = V t p ( r m , t e + δ m , t e ) ×   Ω t p + b t T T m , t Δ t q ˙ + v t nl + ω t nl × ( r m , t e + δ m , t e )
The cross-product operator ‘ { · } × ’, corresponding to the vector cross product, is defined such that
x y z × 0 z y z 0 x y x 0
Since a discrete quasi-coordinate formulation is used to describe the elastic deformation of the flexible body, the velocity expression (10) takes a very concise form, which is beneficial to simulation efficiency [30]. By comparing Equations (7) and (10), the critical relationship between the partial velocity matrices is derived as follows
V m , t p = V t p ( r m , t e + δ m , t e ) ×   Ω t p + b t T T m , t Δ t
By taking the time derivative of Equation (4), the acceleration of dm on Bt is obtained as
v ˙ m , t = v ˙ t e + ω ˙ t e × ( r m , t e + δ m , t e ) + δ ¨ m , t e + ω t e × ω t e × ( r m , t e + δ m , t e ) + 2 ω t e × δ ˙ m , t e
Similarly, for the mass element dm on the rigid bodies Bi and Bi,j, the velocities, partial velocity matrices, and accelerations are given directly as
v m , i = v i e + ω i e × r m , i e ,   v m , i , j = v i , j e + ω i , j e × r m , i , j e
V m , i p = V i p r m , i e , ×   Ω i p ,   V m , i , j p = V i , j p r m , i , j e , ×   Ω i , j p
v ˙ m , i = v ˙ i e + ω ˙ i e × r m , i e + ω i e × ( ω i e × r m , i e ) ,   v ˙ m , i , j = v ˙ i , j e + ω ˙ i , j e × r m , i , j e + ω i , j e × ( ω i , j e × r m , i , j e )

2.3.3. Generalized Inertial Force Formulation

According to Equations (3) and (6), the generalized inertial force F I = F 1 I , , F n I T of the entire system can be cast into the sum of contributions from each body
F I = F t I + i = 1 4 F i I + i = 1 4 j = 0 7 F i , j I = B t V m , t T p v ˙ m , t d m i = 1 4 B i V m , i T p v ˙ m , i d m i = 1 4 j = 0 7 B i , j V m , i , j T p v ˙ m , i , j d m
The contribution of the flexible body Bt to F I is
F t I = B t V m , t T p v ˙ m , t d m
Substituting Equations (11) and (12) into Equation (17) yields
F t I = V t T p m t v ˙ t e S t e × ω ˙ t e + b t T P t τ ¨ + ω t e × ( ω t e × S t e ) + 2 ω t e × ( b t T P t τ ˙ ) Ω t T p S t e × v ˙ t e + J t e ω ˙ t e + b t T H t τ ¨ + ω t e × ( J t e ω t e ) + 2 b t T H ω t τ ˙ Δ t T ( b t T P t ) T v ˙ t e + ( b t T H t ) T ω ˙ t e + E t τ ¨ + F ω ω t + 2 F ω t τ ˙
where m t , S t e , and J t e represent the mass, static moment, and inertia moment of Bt, respectively. The modal coupling coefficients P t , H t , and E t denote the modal momentum coefficient, modal angular momentum coefficient, and modal mass matrices, respectively. H ω t , F ω t , and F ω ω t are the nonlinear integral terms. Since some of the aforementioned integral terms include the elastic displacement δ m , t e , their results are time-varying. To improve computational efficiency, the influence of δ m , t e is neglected, and the integral terms are calculated as follows
S t = B t r m t d m , J t = B t ( r m t · r m t I 3 r m t r m t T ) d m , P t = B t T m t d m H t = B t r m t × T m t d m , E t = B t T m t T T m t d m , H ω t = B t r m t × ω t × T m t d m F ω t = B t T m t T ω t × T m t d m , F ω ω t = B t T m t T ω t × ( ω t × r m t ) d m
All variables in the above equation are expressed in Ot.
Taking the time derivative of Equation (8) gives the acceleration of Ot
v ˙ t e = V t p q ¨ + v ˙ t nl ,   ω ˙ t e = Ω t p q ¨ + ω ˙ t nl
where v ˙ t nl V ˙ t p q ˙ + v ˙ t nl ,   ω ˙ t nl Ω ˙ t p q ˙ + ω ˙ t nl . By substituting Equation (20) into Equation (18), F t I is decomposed into two parts: a linear term with respect to the first-order derivative of q ˙ , and a nonlinear term, i.e.,
F t I = M t q ¨ F t I , nl
where M t and F t I , nl denote the contributions of Bt to the generalized inertia matrix and the nonlinear term of F I , respectively. The specific forms are given as follows
M t = V t T p m t V t p b t T S t × b t Ω t p + b t T P t Δ t + Ω t T p b t T S t × b t V t p + b t T J t b t Ω t p + b t T H t Δ t + Δ t T ( b t T P t ) T V t p + ( b t T H t ) T Ω t p + E t Δ t
F t I , nl = V t T p m t v ˙ t nl b t T S t × ( b t ω ˙ t nl ) + b t T ω t × ( ω t × S t ) + 2 b t T ω t × ( P t τ ˙ ) + Ω t p b t T S t × ( b t v ˙ t nl ) + b t T J t b t ω ˙ t nl + b t T ω t × ( J t ω t ) + 2 b t T H ω t τ ˙ + Δ t T ( b t T P t ) T v ˙ t nl + ( b t T H t ) T ω ˙ t nl + F ω ω t + 2 F ω t τ ˙
Similarly, the contributions of the rigid bodies Bi and Bi,j to F I are
F i I = M i q ¨ F i I , nl ,   F i , j I = M i , j q ¨ F i , j I , nl
Taking the rigid body Bi as an example, M i and F i I , nl can be expressed as
M i = V i T p m i V i p b i T S i × b i Ω i p + Ω i T p b i T S i × b i V i p + b i T J i b i Ω i p
F i I , nl = V i T p m i v ˙ i nl b i T S i × ( b i ω ˙ i nl ) + b i T ω i × ( ω i × S i ) + Ω i T p b i T S i × ( b i v ˙ i nl ) + b i T J i b i ω ˙ i nl + b i T ω i × ( J i ω i )
M i , j and F i , j I , nl have a similar form to the above.
Substituting Equations (21) and (22) into Equation (16) yields
F I = ( M t + i = 1 4 M i + i = 1 4 j = 0 7 M i , j ) q ¨ ( F t I , nl + i = 1 4 F i I , nl + i = 1 4 j = 0 7 F i , j I , nl ) = M q ¨ F I , nl
where M and F I , nl denote the generalized inertia matrix of the entire system and the nonlinear term of F I , respectively.

2.3.4. Formulation of Generalized Active and Elastic Forces

The external forces and torques acting on the system are provided by the robot base’s thrusters, its reaction wheels, and the robot’s joints. Thus, the generalized active force F A = F 1 A , , F n A T of the entire system can be expressed as
F A = i = 1 4 F i A + i = 1 4 U i A + i = 1 4 j = 1 7 U i , j A
where F i A , U i A , and U i , j A denote the generalized active forces arising from the external force of Bi, external torque of Bi, and joint torque of Ci,j, respectively.
Herein, F i A and U i A are defined as
F i A = V c i T p F c i e ,   U i A = Ω i T p U i e
where F c i e and U i e are the external force acting on the centroid of Bi and the external torque of Bi, both expressed in Oe. V c i p and Ω i p represent the partial velocity matrix of Oci and the partial angular velocity matrix of Oi.
As for U i , j A , it can be derived that
U i , j A = Ω i , j T p U i , j e Ω i , j 1 T p U i , j e
where Ω i , j p and Ω i , j 1 p are the partial velocity matrices of Oi,j and Oi,j−1, respectively. U i , j e denotes the control torque exerted by Ci,j on Bi,j, and it exerts a reaction torque of U i , j e on Bi,j−1.
For the elasticity of the flexible body Bt described by modal coordinates τ , the corresponding free vibration dynamic equations are as follows
E t τ ¨ + K t τ = 0
where K t is the modal equivalent stiffness matrix. Therefore, the generalized elastic force of Bt is expressed as F t E = K t τ . As is well known, the modal stiffness and the natural angular frequency of Bt satisfy the following relationship
K t = E t ω t 1 2             ω t h 2 = E t Λ t
where ω t h denotes the natural angular frequency of the hth mode. Λ t = diag ( ω t 1 2 , , ω t h 2 ) is a diagonal matrix whose diagonal elements are the squares of the natural angular frequencies. In this work, mass-normalized modes are adopted, such that E t = I h . Thus, the generalized elastic force of Bt can be further expressed as F t E = K t τ = E t Λ t τ = Λ t τ .
Based on the above analysis, the generalized elastic force F E = F 1 E , , F n E T of the entire system can be expressed as
F E = [ 0 , , 0 34 , ( Λ   t τ ) T ] T n
In summary, on the basis of Equations (2), (23), (24), and (29), the system’s dynamic equations is given as follows
M q ¨ = F A + F E F I , nl

2.4. Recursive Kinematic Formulation

In this subsection, the recursive relationships for relevant kinematic variables are derived to enhance modeling efficiency. These variables include the velocity, angular velocity, nonlinear term of acceleration, and angular acceleration, as well as the partial velocity matrix and partial angular velocity matrix of each body.
The recursion starts with the main body Bt, and the kinematic variables of adjacent bodies are then derived. The velocity and angular velocity of Bt expressed in Oe are given by v t e = b t T v t ,   ω t e = b t T ω t . Differentiating these expressions with respect to time, the acceleration and angular acceleration are obtained as
v ˙ t e = b t T v ˙ t + b t T ω t × v t , ω ˙ t e = b t T ω ˙ t
Accordingly, by comparing Equation (20) with Equation (31), the following result is obtained
v ˙ t nl = b t T ω t × v t , ω ˙ t nl = 0 V t p = [ b t T , 0 3 × 3 , 0 , , 0 n 6 ] , Ω t p = [ 0 3 × 3 , b t T , 0 , , 0 n 6 ]
For the rigid body Bi,0 adjacent to the flexible body Bt, the relationships between their velocities and angular velocities are given by
v i , 0 e = b t T v t + ω t × ( r O i , 0 , t + δ O i , 0 , t ) + δ ˙ O i , 0 , t = v t e b t T ( r O i , 0 , t + Τ O i , 0 , t τ ) × b t ω t e + b t T Τ O i , 0 , t τ ˙ ω i , 0 e = ω t e + b t T R O i , 0 , t τ ˙
where r O i , 0 , t denotes the position vector of the origin of the coordinate frame Oi,0 in Ot, prior to the elastic deformation of Bt. δ O i , 0 , t represents the elastic displacement at the origin of Oi,0 relative to Ot. Τ O i , 0 , t and R O i , 0 , t denote the translational and rotational modal matrices at the origin of Oi,0, respectively. Taking the time derivative of the above equations yields
v ˙ i , 0 e = v ˙ t e + b t T Τ O i , 0 , t τ ¨ b t T ( r O i , 0 , t + Τ O i , 0 , t τ ) × b t ω ˙ t e + b t T ω t × ω t × ( r O i , 0 , t + Τ O i , 0 , t τ ) + 2 b t T ω t × b t T Τ O i , 0 , t τ ˙ ω ˙ i , 0 e = ω ˙ t e + b t T R O i , 0 , t τ ¨ + b t T ω t × R O i , 0 , t τ ˙
Based on v ˙ i , 0 e = V i , 0 p q ¨ + v ˙ i , 0 nl ,   ω ˙ i , 0 e = Ω i , 0 p q ¨ + ω ˙ i , 0 nl , it can be concluded that
v ˙ i , 0 nl = v ˙ t nl b t T ( r O i , 0 , t + Τ O i , 0 , t τ ) × b t ω ˙ t e + b t T ω t × ω t × ( r O i , 0 , t + Τ O i , 0 , t τ ) + 2 b t T ω t × b t T Τ O i , 0 , t τ ˙ ω ˙ i , 0 nl = ω ˙ t nl + b t T ω t × R O i , 0 , t τ ˙ , Ω i , 0 p = Ω t p + [ 0 , , 0 34 , b t T R O i , 0 , t ] V i , 0 p = V t p b t T ( r O i , 0 , t + Τ O i , 0 , t τ ) × b t Ω t p + [ 0 , , 0 34 , b t T Τ O i , 0 , t ]
In this paper, the coordinate frame Oi,j is established at the revolute joints Ci,j, with the z-axis of Oi,j aligned along the rotational axis of Ci,j. Subsequently, for the rigid body Bi,j adjacent to Bi,j−1 (j = 1,…,7), the velocity and angular velocity relationships are expressed as
v i , j e = v i , j 1 e b i , j 1 T r O i , j , i , j 1 × b i , j 1 ω i , j 1 e , ω i , j e = ω i , j 1 e + b i , j T Γ i , j θ ˙ i , j
where b i , j 1 T is the unit basis matrix of Oi,j−1. r O i , j , i , j 1 denotes the position vector of the origin of Oi,j in Oi,j−1. Γ i , j = [ 0 , 0 , 1 ] T represents the component column vector of the rotational axis direction of Ci,j in Oi,j. Differentiating the above equations with respect to time yields
v ˙ i , j e = v ˙ i , j 1 e b i , j 1 T r O i , j , i , j 1 × b i , j 1 ω ˙ i , j 1 e + b i , j 1 T ω i , j 1 × ω i , j 1 × r O i , j , i , j 1 ω ˙ i , j e = ω ˙ i , j 1 e + b i , j T Γ i , j θ ¨ i , j + b i , j T ω i , j × Γ i , j θ ˙ i , j
Similarly, the relationships involving the remaining kinematic variables are obtained as
v ˙ i , j nl = v ˙ i , j 1 nl b i , j 1 T r O i , j , i , j 1 × b i , j 1 ω ˙ i , j 1 nl + b i , j 1 T ω i , j 1 × ω i , j 1 × r O i , j , i , j 1 ω ˙ i , j nl = ω ˙ i , j 1 nl + b i , j T ω i , j × Γ i , j θ ˙ i , j , Ω i , j p = Ω i , j 1 p + [ 0 , , 0 7 i + j 2 , b i , j T Γ i , j , 0 , , 0 n ( 7 i + j 1 ) ] V i , j p = V i , j 1 p b i , j 1 T r O i , j , i , j 1 × b i , j 1 Ω i , j 1 p
By analogy, for the robot base Bi, the associated kinematic relationships are derived as
v i e = v i , 7 e b i , 7 T r O i , i , 7 × b i , 7 ω i , 7 e , ω i e = ω i , 7 e v ˙ i nl = v ˙ i , 7 nl b i , 7 T r O i , i , 7 × b i , 7 ω ˙ i , 7 nl + b i , 7 T ω i , 7 × ω i , 7 × r O i , i , 7 ω ˙ i nl = ω ˙ i , 7 nl , Ω i p = Ω i , 7 p V i p = V i , 7 p b i , 7 T r O i , i , 7 × b i , 7 Ω i , 7 p ,   V c i p = V i p b i T r O c i , i × b i Ω i p

3. Controller Design and Stability Analysis

3.1. Control System Formulation

In the entire system governed by Equation (30), the generalized active forces are equivalent to the control forces supplied by three types of actuators: the robot base’s thrusters, its reaction wheels, and the robot’s joints. The actuator inputs are denoted as
Q = [ F c 1 T , U c 1 T , , F c 4 T , U c 4 T 3 × 8 , U 1 , 1 , , U 1 , 7 , , U 4 , 1 , , U 4 , 7 7 × 4 ] T 52
where F c i and U c i denote the force and torque acting on the centroid of Bi, with both expressed in Oci. U i , j   ( i = 1 4 , j = 1 7 ) represents the magnitude of the joint torque U i , j of Ci,j.
As described in Section 2.3.4, it can be concluded that
F i A = V c i T p F c i e = V c i T p b c i T F c i ,   U i A = Ω i T p U i e = Ω i T p b c i T U c i U i , j A = ( Ω i , j T p Ω i , j 1 T p ) b i , j T U i , j = [ 0 , , 0 7 i + j 2 , b i , j T Γ i , j , 0 , , 0 n ( 7 i + j 1 ) ] T b i , j T Γ i , j U i , j = [ 0 , , 0 7 i + j 2 , U i , j , 0 , , 0 n ( 7 i + j 1 ) ] T n
Substituting Equation (40) into Equation (24) yields
F A = [ V c 1 T p b c 1 T , Ω 1 T p b c 1 T , , V c 4 T p b c 4 T , Ω 4 T p b c 4 T 3 × 8 , ε 7 , , ε 34 28 ] Q = P Q n
where ε l = [ 0 , , 0 l 1 , 1 , 0 , , 0 n l ] T n is the standard unit column vector with 1 at the lth position and 0 elsewhere. P n × 52 denotes the actuator input allocation matrix.
To decouple the flexible components in the dynamic equations, Equation (30) is rewritten in the following block matrix form
M rr M rf M fr M ff q ¨ r τ ¨ = F r A F f A + 0 Λ t τ F r I , nl F f I , nl
where q ¨ r 34 contains the accelerations of the flexible truss and the joint angle accelerations. Furthermore, the controlled part of the aforementioned equation can be formulated as
q ¨ r = M rr 1 F r A M rr 1 F r I , nl M rr 1 M rf τ ¨
where F r A = P r Q 34 denotes the control inputs. P r 34 × 52 is a submatrix of P n × 52 .
To facilitate the subsequent controller design, define G = M rr , u = F r A , c = F r I , nl , x ˙ 1 = [ v t e , T , Θ ˙ t T , θ ˙ 1 T , θ ˙ 2 T , θ ˙ 3 T , θ ˙ 4 T ] T 34 , x 2 = [ v t T , ω t T , θ ˙ 1 T , θ ˙ 2 T , θ ˙ 3 T , θ ˙ 4 T ] T 34 . Specifically, the Euler angles Θ t = [ ϕ , θ , ψ ] T refer to the three successive rotation angles in the 3-1-2 Euler angle sequence, describing the attitude of the main body Bt relative to the inertial frame Oe. Thus, the following kinematic relationship holds
v t e = b t T v t ,   ω t = A t Θ ˙ t
where b t denotes the coordinate transformation matrix from Oe to Ot. A t represents the Euler-absolute angular velocity transformation matrix. Both symbols are calculated as follows
b t T = cos θ cos ψ sin ϕ sin θ sin ψ cos ϕ sin ψ sin θ cos ψ + sin ϕ cos θ sin ψ cos θ sin ψ + sin ϕ sin θ cos ψ cos ϕ cos ψ sin θ sin ψ sin ϕ cos θ cos ψ cos ϕ sin θ sin ϕ cos ϕ cos θ
A t = cos θ 0 cos ϕ sin θ 0 1 sin ϕ sin θ 0 cos ϕ cos θ
Accordingly, the state–space equation of the control system can be expressed as
x ˙ 1 = J g x 2 x ˙ 2 = G 1 u G 1 c + d
where J g 34 × 34 is the generalized Jacobian matrix to be established, which maps the control space to the task space. Based on Equation (44), J g can be expressed as the following block matrix
J g = b t T 0 3 × 3 0 3 × 28 0 3 × 3 A t 1 0 3 × 28 0 28 × 3 0 28 × 3 I 28 34 × 34
In light of Assumption 4, the generalized Jacobian matrix J g is nonsingular and bounded by J g J ¯ , where J ¯ > 0 is the upper bound of the spectral norm J g . To simplify the control design, the system flexibility is regarded as a disturbance term d = M rr 1 M rf τ ¨ 34 .
Assumption 5.
The time derivative of the disturbance vector d  is bounded by d ˙ ξ , where ξ > 0  is the upper bound of the Euclidean norm d ˙ .
Lemma 1.
[31] If there exists a continuous and positive definite Lyapunov function V ( x )  that satisfies κ 1 ( x ) V ( x ) κ 2 ( x )  ( κ 1  and κ 2  belong to class K  functions) with a bounded initial condition, such that V ˙ ( x ) ο 1 V ( x ) + ο 2 , where ο 1  and ο 2  are positive constants, then V ( x )  and the solution x ( t )  are uniformly ultimately bounded.
Lemma 2.
[31] Let D v × v be a positive definite symmetric matrix; therefore, all the eigenvalues of D are real and positive. Then, for x v , there exist λ min x 2 x T D x λ max x 2 , where λ min and λ max denote the minimum and maximum eigenvalues of D .

3.2. Nonlinear Disturbance Observer

Since the flexibility of the truss is formulated as a disturbance, an NDO [32] is developed for the system to achieve disturbance estimation. The disturbance estimation d ^ 34 is given by
d ^ = L x 2 + z z ˙ = L d ^ L ( G 1 u G 1 c )
where L > 0 denotes the bandwidth of the disturbance observer and is a positive constant.
Define the estimation error d ˜ = d ^ d . Based on Equations (45) and (46), the time derivative of d ˜ can be formulated as
d ˜ ˙ = d ^ ˙ d ˙ = L x ˙ 2 + z ˙ d ˙ = L ( G 1 u G 1 c + d ) L d ^ L ( G 1 u G 1 c ) d ˙ = L d ˜ d ˙
Theorem 1.
For the control system (45) under the Assumptions 1–5, the NDO given by Equation (46) guarantees that the estimation error d ˜  converges to a small neighborhood of the origin.
Proof. 
Consider a Lyapunov function candidate as follows
V 1 = 1 2 d ˜ T d ˜
Taking the time derivative of Equation (48) and substituting Equation (47) into account yields
V ˙ 1 = d ˜ T d ˜ ˙ = L d ˜ T d ˜ d ˜ T d ˙ L d ˜ 2 + d ˜ d ˙ = ( L d ˜ + d ˙ ) d ˜
In light of Assumption 5 (i.e., d ˙ ξ ), the above inequality can be further derived using Young’s inequality as
V ˙ 1 L d ˜ 2 + d ˜ d ˙ L d ˜ 2 + L 2 d ˜ 2 + 1 2 L d ˙ 2 L 2 d ˜ 2 + 1 2 L ξ 2 = L V 1 + ξ 2 2 L
According to Lemma 2, there exist positive constants a 1 and a 2 such that a 1 d ˜ 2 V 1 ( d ˜ ) a 2 d ˜ 2 . Therefore, based on the conclusions of Lemma 1, it can be concluded that V 1 and d ˜ are uniformly ultimately bounded.
Specifically, by multiplying both sides of the Equation (50) by e L t and integrating the resulting equation over [ 0 , t ] , it can be obtained that
V 1 ( t ) V 1 ( 0 ) ξ 2 2 L 2 e L t + ξ 2 2 L 2
Obviously, as t , V 1 ( t ) ξ 2 2 L 2 . Meanwhile, by further investigating Equation (49), it can be inferred that V ˙ 1 < 0 when d ˜ lies outside the set d ˜ | d ˜ ξ L . Hence, it can be concluded that d ˜ is uniformly, ultimately bounded with the ultimate bound given by d ˜ ξ L . Furthermore, by increasing the observer parameter L , the estimation error d ˜ is ensured to converge to a small neighborhood around the origin. Thus, Theorem 1 is proven. □

3.3. Integral Sliding Mode Control Based on NDO

A centralized control architecture is designed to manage the coordination of the four robotic arms. For the transportation mission, the desired trajectory is denoted by x 1 d 34 . To achieve the tracking control of the system, the following integral sliding surface [33,34,35] is employed
s ( t ) = e ˙ ( t ) + 0 t γ sgn β e ˙ ( t ) + μ sgn β 2 β e ( t ) d t
where e = x 1 x 1 d and e ˙ = J g x 2 x ˙ 1 d are the tracking error and its time derivative, respectively. The parameter γ and μ are chosen such that the polynomial p 2 + γ p + μ is Hurwitz. β ( 0 , 1 ) is a constant to be designed.
To ensure the tracking performance of the system, the control law u = u eq + u sw + u ff is designed to comprise three components: an equivalent control term u eq , a switching control term u sw , and a feedforward compensation term u ff . These specific forms are given as follows
u eq = G J g 1 J ˙ g x 2 + c + G J g 1 x ¨ 1 d G J g 1 γ sgn β ( e ˙ ) + μ sgn β 2 β ( e )
u sw = η G J g 1 s s σ G J g 1 s
u ff = G d ^
where η denotes a positive constant, and σ > J ¯ 2 L is a properly designed positive constant that ensures the convergence of the system.
Theorem 2.
For the control system (45) under the Assumptions 1–5, the control law given by Equations (53)–(55) guarantees that the tracking error e  converges to a small neighborhood of the origin.
Proof. 
Taking the time derivative of Equation (52) and substituting Equation (45), one can obtain
s ˙ = J ˙ g x 2 + J g ( G 1 u G 1 c + d ) x ¨ 1 d + γ sgn β ( e ˙ ) + μ sgn β 2 β ( e )
By substituting u into s ˙ , Equation (56) can be transformed into the following simpler form
s ˙ = J g d ˜ η s s σ s
Now, define a Lyapunov function candidate
V = V 0 + V 1 = 1 2 s T s + 1 2 d ˜ T d ˜
where V 0 = 1 2 s T s , V 1 = 1 2 d ˜ T d ˜ . Differentiating V 0 with respect to time, the following inequality is derived based on Equation (57) and Young’s inequality
V ˙ 0 = s T s ˙ = s T ( J g d ˜ η s s σ s ) ( η σ s + J g d ˜ ) s η s σ s 2 + J ¯ s d ˜ η s σ 2 s 2 + J ¯ 2 2 σ d ˜ 2
Then, taking the time derivative of Equation (58) and substituting Equations (50) and (59) into it yields
V ˙ = V ˙ 0 + V ˙ 1 η s σ 2 s 2 + J ¯ 2 2 σ d ˜ 2 L 2 d ˜ 2 + ξ 2 2 L = η s σ 2 s 2 ( L 2 J ¯ 2 2 σ ) d ˜ 2 + ξ 2 2 L σ 2 s 2 1 2 ( L J ¯ 2 σ ) d ˜ 2 + ξ 2 2 L ρ ( 1 2 s 2 + 1 2 d ˜ 2 ) + ξ 2 2 L = ρ V + ξ 2 2 L
where ρ = min σ , L J ¯ 2 σ . Since σ > J ¯ 2 L , it follows that L J ¯ 2 σ > 0 . By integrating both sides of the above expression, the following inequality holds
V ( t ) V ( 0 ) ξ 2 2 ρ L e ρ t + ξ 2 2 ρ L
According to Lemma 2, define y = [ s T , d ˜ T ] T , there exist positive constants α 1 and α 2 such that α 1 y 2 V ( y ) α 2 y 2 . By reviewing Equation (61) and Lemma 1, it can be concluded that V ( t ) and y are uniformly ultimately bounded. Then, s and d ˜ are bounded. In light of Equation (52), the tracking error e is also bounded. Moreover, by adjusting the initial values and design parameters of the system, the tracking error e and the disturbance estimation error d ˜ can be guaranteed to converge to the small neighborhood of the origin. Thus, the proof of Theorem 2 is completed. □
Remark. 
In order to obtain a continuous control law, the boundary layer technique is adopted to modify u sw  given by Equation (54) as follows
u sw = η G J g 1 s s + ι σ G J g 1 s
where ι  is a positive constant.

3.4. Actuator Redundancy

The system exhibits actuator redundancy, and accordingly, the control inputs u can be rationally distributed among the actuators to achieve the load balancing of control authority. From Section 3.1, the following relation holds
u = P r Q 34
To distribute the spatial control load of the large flexible truss, a weighted pseudoinverse-based task allocation strategy is implemented within the central controller. Employing the weighted minimum norm approach, the actuator input vector Q is derived as follows
Q = W 1 P r T ( P r W 1 P r T ) 1 u 52
where W = diag ( w 1 , w 2 , , w 52 ) is a diagonal positive definite weighting matrix. By designing W appropriately, it is possible to configure the actuator inputs to avoid actuator overshoot and account for practical operating conditions such as remaining fuel. In this paper, larger weight element is selected for an actuator with poorer output capacity.

4. Numerical Simulation

4.1. Simulation Setup

The effectiveness of the proposed controller is verified through numerical simulations. The modal parameters of the flexible truss are obtained by performing modal analysis in ANSYS 2022 R2 under clamped-free boundary conditions. Note that the first six vibration modes are considered. The nonlinear state–space equations are integrated using a fourth-order Runge–Kutta method, with a sampling time of Δ t = 0.001   s . In addition, the parameters of the flexible truss Bt and robot bases Bi are presented in Table 1.
The structural parameters of the links Bi,j are tabulated in Table 2, where q m O i , 0 , t denotes the rotation angles for rotating from the coordinate frame Ot to Oi,0 following the x−y−z rotation sequence. Likewise, q m O i , j , i , j 1 denotes the rotation angles from Oi,j−1 to Oi,j with the same rotation sequence. It is worth noting that r O i , 0 , t also represents the grasping coordinates of the end-effectors in Ot. This arrangement enables uniform load distribution to avoid actuator saturation, enhances system manipulability for high-precision trajectory tracking, improves structural stability to suppress flexible truss vibration, and facilitates subsequent assembly tasks.

4.2. Simulation Case 1

The objective of the transportation task is to move the truss along the z-axis of Oe by a displacement of s z within t d . For the transportation task, a fifth-order polynomial interpolation trajectory is utilized. With the initial and terminal velocities and accelerations all specified as zero, the following desired trajectory is derived
z d = s z 10 t d 3 t 3 15 t d 4 t 4 + 6 t d 5 t 5
Meanwhile, during the transportation task, it is desired that the displacement in other directions and attitude of the truss, as well as the joint angles of the space robots, remain at their initial states.
The initial conditions are set as x 1 ( 0 ) = 0 34 and x ˙ 1 ( 0 ) = 0 34 . Therefore, the tracking trajectory for the entire transportation task is given by x 1 d = [ 0 , 0 , z d , 0 , , 0 31 ] T 34 . The control parameters are specified as L = 4 , γ = 1 , μ = 0.25 , β = 0.9 , η = 0.001 , σ = 0.3 , ι = 0.001 . To avoid overshoot in the robots’ control torques, the weighting matrix is set as follows
W = diag ( 1 , 1 , 1 , 2 , 1.2 , 1 6 , 1 , 1 , 1 , 2 , 1.2 , 1 6 , 1 , 1 , 1 , 2 , 1.2 , 1 6 , 1 , 1 , 1 , 2 , 1.2 , 1 6 , 1 , , 1 28 )
Let s z = 6   m and t d = 60   s . The simulation results are presented in Figure 3, Figure 4, Figure 5, Figure 6, Figure 7 and Figure 8.
It can be seen from Figure 3 and Figure 4 that the proposed control strategy exhibits excellent tracking performance, with the tracking error converging to a small neighborhood around zero and remaining stable. As shown in Figure 5, the application of NDO remarkably reduces the control chattering in the system, thus ensuring the continuity and smoothness of the actuator input. Collectively, these results demonstrate the validity of the proposed control strategy.
Under the designed weighting matrix W , it can be seen from Figure 6 that most of the control force is supplied by Robot 4 during transportation, whereas Robot 3 contributes nearly no control force. Specifically, Robots 1, 2, and 4 achieve the force balance of the system, while Robot 3, which is positioned close to the truss centroid and the system force balance point, only needs to provide a minimal control force to maintain structural stability. This result verifies that the proposed weighting matrix W enables appropriate force distribution, effectively reducing redundant actuator input and energy consumption. Additionally, it is evident from Figure 7 that the control torques remain within 0.25 N·m, which verifies that the control allocation scheme effectively complies with the actuator torque limits. In subsequent applications, the control force allocation can be adjusted dynamically according to the actual operating conditions.
Robot 4 is thus expected to be the robot most affected by the flexible deformation. As shown in Figure 8, the proposed control strategy not only fulfills the transportation task effectively but also ensures a small, flexible displacement. Figure 9 presents the dynamic response of the first revolute joint C4,1 of the Robot 4, where the joint motion remains stable near the initial value. Collectively, these results verify the strategy’s ability to balance operational performance and structural flexibility constraints.

4.3. Simulation Case 2

To validate the adaptability of the proposed control strategy under more sophisticated operational task requirements, the truss transportation task is designed to implement a translational displacement of s x along the x-axis, s y along the y-axis, and a rotational motion of θ z around the z-axis within t d . Consistent with Case 1, a fifth-order polynomial interpolation trajectory is adopted, and the corresponding desired trajectories are given as follows.
x d = s x 10 t d 3 t 3 15 t d 4 t 4 + 6 t d 5 t 5 , y d = s y 10 t d 3 t 3 15 t d 4 t 4 + 6 t d 5 t 5 , ψ d = θ z 10 t d 3 t 3 15 t d 4 t 4 + 6 t d 5 t 5
The initial conditions and weighting matrix W are set the same as in Case 1. Then, the tracking trajectory corresponding to the entire transportation task is given by x 1 d = [ x d , y d , 0 , 0 , 0 , ψ d , 0 , , 0 28 ] T 34 , and the control parameters are defined as L = 2 , γ = 1 , μ = 0.25 , β = 0.9 , η = 0.001 , σ = 0.52 , ι = 0.001 .
Let x d = y d = 6 m , ψ d = π 3   rad and t d = 60   s . The simulation results of Case 2 are illustrated in Figure 10, Figure 11, Figure 12, Figure 13, Figure 14 and Figure 15.
As illustrated in Figure 10, Figure 11 and Figure 12, the proposed control strategy successfully fulfills the complex transportation task with a small tracking error, which verifies its excellent adaptability and outstanding control performance for complex tasks. As shown in Figure 13, the incorporation of NDO still effectively mitigates the control chattering in the system, thus guaranteeing smooth and continuous actuator input. Collectively, these results validate the effectiveness and feasibility of the proposed control strategy.
As can be seen from Figure 14, the designed weighting matrix W still ensures that the control torques remain within 0.8 N·m under the requirement of rotational tasks, which verifies the effectiveness of the control allocation scheme subject to actuator torque constraints.
As shown in Figure 15, the proposed control strategy still ensures a small magnitude of flexible displacement for complex tasks, which verifies the strategy’s capability to ensure stable operational performance amid the inherent flexible deformation effects of the system.

4.4. Simulation Comparisons

In this subsection, additional comparative analyses are conducted to further demonstrate the effectiveness and superiority of the proposed control strategy.
The conventional PD and SMC control strategies are employed as comparative methods. The control parameters of the PD controller are set as k p = k d = 2000 . For the SMC, the sliding surface is designed as s = 2 e + e ˙ , and the switching control term is given by u sw = 0.001 G J g 1 sgn ( s ) .
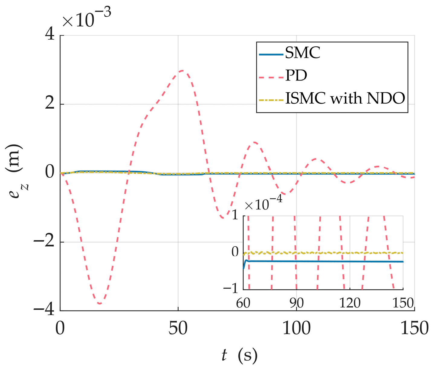
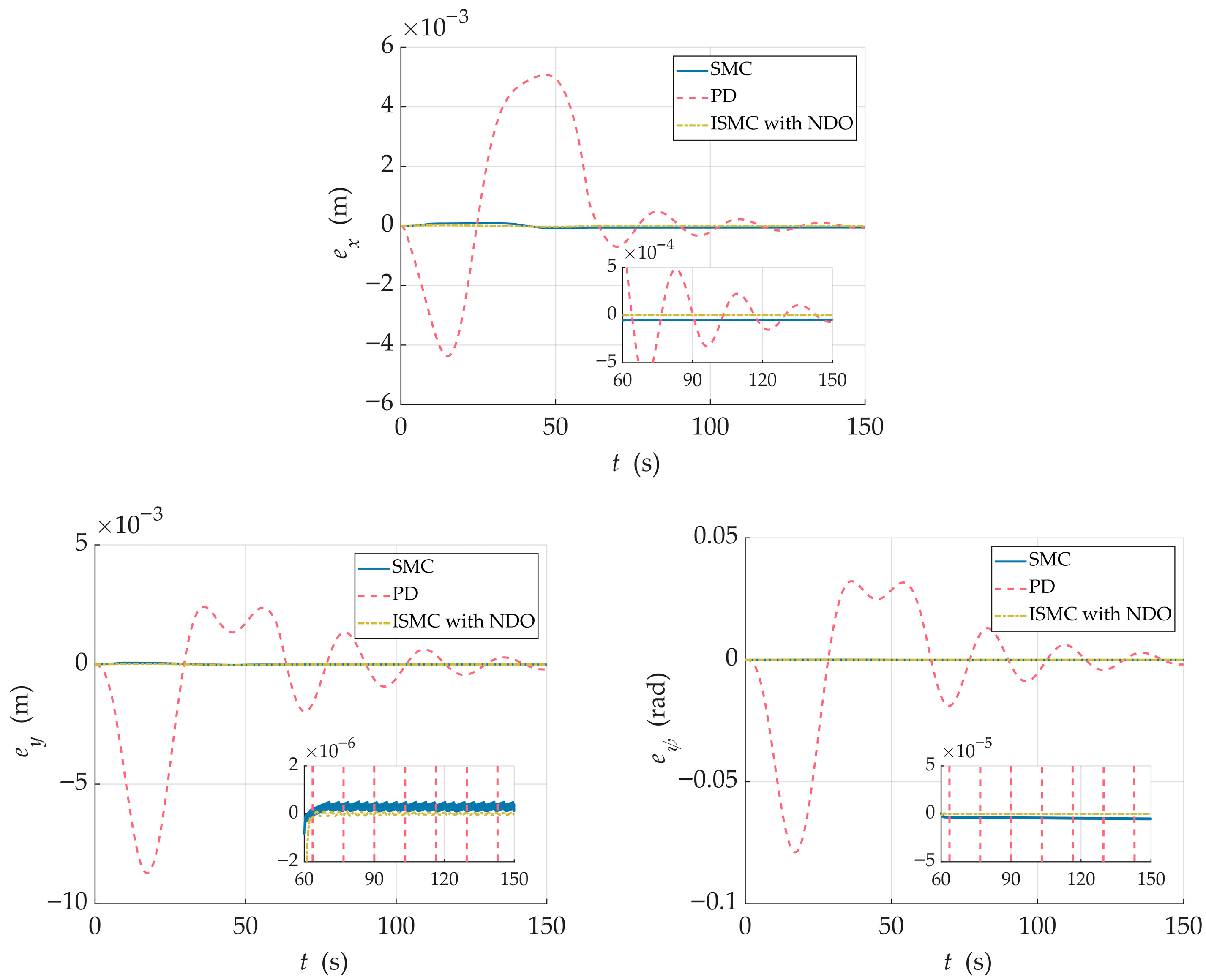
As shown in Figure 16 and Figure 17, the proposed control strategy exhibits significantly superior performance to the PD controller in Case 1. In comparison with the SMC strategy, it achieves a smaller steady-state error and can notably mitigate velocity chattering.
As can be seen from Figure 18 and Figure 19, the proposed control strategy still maintains superior tracking control performance for complex tasks in Case 2, and it also achieves a notable reduction in velocity chattering compared with the SMC strategy.
In summary, the proposed control strategy delivers excellent control performance in various task scenarios and achieves superior control accuracy compared with the other controllers. It also effectively mitigates velocity chattering and maintains small steady-state errors, fully demonstrating its comprehensive advantages in practical applications.

5. Conclusions

This paper presents the dynamic modeling and control strategy for the transportation of a large space flexible truss by four space robots. The complicated dynamics model of the system is derived based on Kane’s method. In this study, the flexibility of the truss is treated as a disturbance. Accordingly, a nonlinear disturbance observer is designed to achieve effective disturbance estimation. Then, an integral sliding mode control strategy is designed to achieve high-precision trajectory tracking for such a system with complicated dynamics behaviors. In addition, benefiting from the system’s actuator redundancy, the actuator inputs are designed by considering each actuator’s performance. Subsequently, numerical simulation results demonstrate that the designed control strategy exhibits excellent performance in achieving the transportation of flexible payloads.
However, the proposed method is unable to optimize the control allocation weighting matrix and update control parameters in real time. Real-time adaptive optimization for multi-robot coordinated control thus remains a key technical challenge. The curse of dimensionality inevitably elevates the control complexity. Accordingly, dimensionality reduction will be incorporated into our follow-up research plan. In addition, the method’s validity is only confirmed by numerical simulations, without experimental tests on a physical prototype. In the future, the experimental validation of the control algorithm will be actively conducted on a micro-gravity simulation platform.

Author Contributions

Conceptualization, L.L.; methodology, L.L.; software, L.L.; validation, L.L.; formal analysis, L.L.; investigation, L.L.; resources, L.L.; data curation, L.L.; writing—original draft preparation, L.L.; writing—review and editing, Z.W. and W.C.; visualization, L.L.; supervision, W.C.; project administration, Z.W. and W.C.; funding acquisition, Z.W. and W.C. All authors have read and agreed to the published version of the manuscript.

Funding

This work was supported in part by the National Natural Science Foundation of China under Grant Nos. 12502010 and 12494562, and in part by the National Key Laboratory of Space Intelligent Control under Grant HTKJ2024KL502032.

Data Availability Statement

The datasets generated during and analyzed during the current study are available from the corresponding author upon reasonable request.

Conflicts of Interest

The authors declare no conflicts of interest.

References

  1. Youmans, J.S.; Olson, M.F.; Watkins, B.S. ISS truss attached payload accommodations overview. AIP Conf. Proc. 1999, 458, 70–75. [Google Scholar]
  2. Doggett, W.; Dorsey, J.; Jones, T.; Mikulas, M.; Teter, J.; Paddock, D. TriTruss: A new and novel structural concept enabling modular space telescopes and space platforms. In Proceedings of the International Astronautical Congress, Washington, DC, USA, 21–25 October 2019. No. NF1676L-32522. [Google Scholar]
  3. Orlov, V.; Monakhova, U.; Ovchinnikov, M.; Ivanov, D. Fuelless on-orbit assembly of a large space truss structure using repulsion of the service spacecraft by robotic manipulators. Aerospace 2024, 11, 635. [Google Scholar] [CrossRef]
  4. Ishijima, Y.; Tzeranis, D.; Dubowsky, S. The on-orbit maneuvering of large space flexible structures by free-flying robots. In Proceedings of the 8th International Symposium on Artificial Intelligence, Robotics and Automation in Space, Munich, Germany, 5–8 September 2005; pp. 1–6. [Google Scholar]
  5. Kawai, Y.; Endo, T.; Matsuno, F. Cooperative control of large flexible space structure by two planar robots. IET Control Theory Appl. 2021, 15, 771–783. [Google Scholar] [CrossRef]
  6. Yao, Q. Disturbance observer-based robust fixed-time integrated trajectory tracking control for space manipulator. Robotica 2022, 40, 3214–3232. [Google Scholar] [CrossRef]
  7. Yan, Y.X.; Cui, H.; Han, P. Disturbance observer-based fixed-time tracking control for space manipulators with parametric uncertainty and unknown disturbance. Aeronaut. J. 2025, 129, 1399–1420. [Google Scholar] [CrossRef]
  8. Chu, Z.Y.; Sun, F.C. Disturbance-Observer-Based Motion Control of Free-Floating Space Robot. In Proceedings of the Multiconference on “Computational Engineering in Systems Applications”, Beijing, China, 4–6 October 2006; pp. 733–738. [Google Scholar]
  9. Chen, Z.; Cao, T.; Yang, S.; Cao, Y. Prescribed-Performance-Bound-Based Adaptive Fault-Tolerant Control for Rigid Spacecraft Attitude Systems. Actuators 2025, 14, 455. [Google Scholar] [CrossRef]
  10. Zhu, Y.K.; Qiao, J.Z.; Guo, L. Adaptive Sliding Mode Disturbance Observer-Based Composite Control With Prescribed Performance of Space Manipulators for Target Capturing. IEEE Trans. Ind. Electron. 2019, 66, 1973–1983. [Google Scholar] [CrossRef]
  11. Wang, H.; Zhang, Y.; Zhao, Z.; Tang, X.; Yang, J.; Chen, I.-M. Finite-Time Disturbance Observer-Based Trajectory Tracking Control for Flexible-Joint Robots. Nonlinear Dyn. 2021, 106, 459–471. [Google Scholar] [CrossRef]
  12. Zhang, Y.; Ning, X.; Wang, Z.; Yu, D. High-Order Disturbance Observer-Based Neural Adaptive Control for Space Unmanned Systems With Stochastic and High-Dynamic Uncertainties. IEEE Access 2021, 9, 77028–77043. [Google Scholar] [CrossRef]
  13. Hajnorouzali, Y.; Malekzadeh, M.; Ataei, M. Finite-Time Disturbance Observer-Based Control of Flexible Spacecraft. J. Vib. Control 2021, 29, 346–361. [Google Scholar] [CrossRef]
  14. Xia, K.W.; Eun, Y.; Lee, T.; Park, S.Y. Integrated Adaptive Control for Spacecraft Attitude and Orbit Tracking Using Disturbance Observer. Int. J. Aeronaut. Space Sci. 2021, 22, 936–947. [Google Scholar] [CrossRef]
  15. Wang, X.; Katupitiya, J. A Tangent Release Manipulation Controlled by a Dual-Arm Space Robot. Actuators 2023, 12, 325. [Google Scholar] [CrossRef]
  16. Wang, X.Y.; Chen, Z.Y. Adaptive Sliding Mode Control for Dual-Arm Space Robots Post-Capturing Spinning Targets. Adv. Space Res. 2025; in press. [Google Scholar] [CrossRef]
  17. Jia, Y.H.; Xu, S.J. Decentralized Adaptive Sliding Mode Control of a Space Robot Actuated by Control Moment Gyroscopes. Chin. J. Aeronaut. 2016, 29, 688–703. [Google Scholar] [CrossRef]
  18. Wang, S.; Wang, Y.P.; Li, S.X.; Yu, H. Predefined-time Adaptive Sliding Mode Control for Flexible Spacecraft. In Proceedings of the 2024 43rd Chinese Control Conference (CCC), Kunming, China, 28–31 July 2024; pp. 869–874. [Google Scholar]
  19. Xie, L.; Yu, X.; Chen, L. Robust fuzzy sliding mode control and vibration suppression of free-floating flexible-link and flexible-joints space manipulator with external interference and uncertain parameter. Robotica 2022, 40, 997–1019. [Google Scholar] [CrossRef]
  20. Fu, X.; Ai, H.; Chen, L. Integrated sliding mode control with input restriction, output feedback and repetitive learning for space robot with flexible-base, flexible-link and flexible-joint. Robotica 2023, 41, 370–391. [Google Scholar] [CrossRef]
  21. Zhang, G.W.; Chen, X.Q.; Xi, R.C.; Li, H.Y. Nonsingular Integral Sliding Mode Attitude Control for Rigid-Flexible Coupled Spacecraft With High-Inertia Rotating Appendages. Complexity 2021, 2021, 8812187. [Google Scholar] [CrossRef]
  22. Li, Z.; Zhou, Y.; Zhu, M.; Wu, Q. Adaptive Fuzzy Integral Sliding Mode Cooperative Control Based on Time-Delay Estimation for Free-Floating Close-Chain Manipulators. Sensors 2024, 24, 3718. [Google Scholar] [CrossRef] [PubMed]
  23. Abadi, A.S.S.; Dehkordi, P.H.; Hajiyan, R.; Kowalik, R.; Wróblewski, W. Design and real-time evaluation of a novel observer-based predefined-time controller for the industrial processes. ISA Trans. 2025, 156, 551–564. [Google Scholar] [CrossRef]
  24. Kane, T.R. Dynamics of nonholonomic systems. ASME J Appl Mech. 1961, 28, 574–578. [Google Scholar] [CrossRef]
  25. Jia, S.; Shan, J. Finite-time trajectory tracking control of space manipulator under actuator saturation. IEEE Trans. Ind. Electron. 2020, 67, 2086–2096. [Google Scholar] [CrossRef]
  26. Roithmayr, C.M.; Hodges, D.H. Dynamics: Theory and application of Kane’s method. ASME J. Comput. Nonlinear Dynam. 2016, 11, 066501. [Google Scholar] [CrossRef]
  27. Kalibala, A.; Nada, A.A.; Ishii, H.; El-Hussieny, H. Real-time force/position control of soft growing robots: A data-driven model predictive approach. Nonlinear Eng. 2025, 14, 20250099. [Google Scholar] [CrossRef]
  28. Radac, M.B.; Chirla, D.P. Near real-time online reinforcement learning with synchronous or asynchronous updates. Sci. Rep. 2025, 15, 17158. [Google Scholar] [CrossRef]
  29. Chen, W.H.; Yang, J.; Guo, L.; Li, S.H. Disturbance-observer-based control and related methods—An overview. IEEE Trans. Ind. Electron. 2016, 63, 1083–1095. [Google Scholar] [CrossRef]
  30. D’Eleuterio, G.M.T.; Barfoot, T.D. A discrete quasi-coordinate formulation for the dynamics of elastic bodies. ASME J. Appl. Mech. 2007, 74, 231–239. [Google Scholar] [CrossRef]
  31. He, W.; Dong, Y.; Sun, C. Adaptive Neural Impedance Control of a Robotic Manipulator With Input Saturation. IEEE Trans. Syst. Man Cybern. Syst. 2016, 46, 334–344. [Google Scholar] [CrossRef]
  32. Chen, W.H.; Ballance, D.J.; Gawthrop, P.J.; O’Reilly, J. A Nonlinear Disturbance Observer for Robotic Manipulators. IEEE Trans. Ind. Electron. 2000, 47, 932–938. [Google Scholar] [CrossRef]
  33. Zong, Q.; Zhao, Z.S.; Zhang, J. Higher Order Sliding Mode Control With Self-Tuning Law Based on Integral Sliding Mode. IET Control. Theory Appl. 2010, 4, 1282–1289. [Google Scholar] [CrossRef]
  34. Mao, J.H.; Gao, D.F.; Yu, Z.B.; Liu, L.X.; Guo, Y. Adaptive Nonlinear Disturbance Observer Based Integral Terminal Sliding Mode Tracking Control of Free-Flying Space Robot in 3D Space. J. Frankl. Inst. 2025, 362, 107980. [Google Scholar] [CrossRef]
  35. Bhat, S.; Bernstein, D. Geometric Homogeneity With Applications to Finite-Time Stability. Math. Control. Signals Syst. 2005, 17, 101–127. [Google Scholar] [CrossRef]
Figure 1. Structure of the transportation system.
Figure 1. Structure of the transportation system.
Actuators 15 00108 g001
Figure 2. Coordinate frames of the space robot.
Figure 2. Coordinate frames of the space robot.
Actuators 15 00108 g002
Figure 3. Displacement of the truss.
Figure 3. Displacement of the truss.
Actuators 15 00108 g003
Figure 4. Tracking errors of the displacement.
Figure 4. Tracking errors of the displacement.
Actuators 15 00108 g004
Figure 5. Control force of the system.
Figure 5. Control force of the system.
Actuators 15 00108 g005
Figure 6. Control forces of the robots.
Figure 6. Control forces of the robots.
Actuators 15 00108 g006
Figure 7. Control torques of Robot 4.
Figure 7. Control torques of Robot 4.
Actuators 15 00108 g007
Figure 8. Flexible displacement at C4,0 of Robot 4.
Figure 8. Flexible displacement at C4,0 of Robot 4.
Actuators 15 00108 g008
Figure 9. Joint angle and angular velocity of C4,1.
Figure 9. Joint angle and angular velocity of C4,1.
Actuators 15 00108 g009
Figure 10. Motion of the truss.
Figure 10. Motion of the truss.
Actuators 15 00108 g010
Figure 11. Tracking errors of the displacement in Case 2.
Figure 11. Tracking errors of the displacement in Case 2.
Actuators 15 00108 g011
Figure 12. Tracking errors of the attitude.
Figure 12. Tracking errors of the attitude.
Actuators 15 00108 g012
Figure 13. Control force of the system in Case 2.
Figure 13. Control force of the system in Case 2.
Actuators 15 00108 g013
Figure 14. Control torques of the robots.
Figure 14. Control torques of the robots.
Actuators 15 00108 g014
Figure 15. Flexible displacement at C4,0 of Robot 4 in Case 2.
Figure 15. Flexible displacement at C4,0 of Robot 4 in Case 2.
Actuators 15 00108 g015
Figure 16. Tracking errors under different controllers in Case 1.
Figure 16. Tracking errors under different controllers in Case 1.
Actuators 15 00108 g016
Figure 17. Velocity of the truss under different controllers in Case 1.
Figure 17. Velocity of the truss under different controllers in Case 1.
Actuators 15 00108 g017
Figure 18. Tracking errors under different controllers in Case 2.
Figure 18. Tracking errors under different controllers in Case 2.
Actuators 15 00108 g018
Figure 19. Velocity and angular velocity of the truss under different controllers in Case 2.
Figure 19. Velocity and angular velocity of the truss under different controllers in Case 2.
Actuators 15 00108 g019
Table 1. Physical parameter of Bt and Bi.
Table 1. Physical parameter of Bt and Bi.
Physical ParameterValueUnit
mt499.7333kg
ft0.3593, 0.9700, 1.4392, 2.0239, 2.6408, 4.7984Hz
mi (i = 1, …, 4)13.9, 13.9, 13.9, 13.9kg
Ji (i = 1, …, 4)diag (0.8494, 0.4894, 1.1940)kg·m2
Table 2. Structural parameter of Bi,j.
Table 2. Structural parameter of Bi,j.
Body (i = 1, …, 4)Structural ParameterValueUnit
Bi,0mi,00.9900kg
Ji,0diag (0.0102, 0.0102, 0.0006)kg·m2
r O i , 0 , t [0, 0, 0] T, [3.8250, 0, 0] T, [7.6500, 0, 0] T, [9.5625, −3.3120, 0] Tm
q m O i , 0 , t [π, 0, π/2] Trad
Bi,1mi,10.4630kg
Ji,1diag (0.0018, 0.0018, 0.0001)kg·m2
r O i , 1 , i , 0 [0, 0, 0.1600] Tm
q m O i , 1 , i , 0 [π/2, 0, π] Trad
Bi,2mi,20.4630kg
Ji,2diag (0.0016, 0.0004, 0.0012)kg·m2
r O i , 2 , i , 1 [0, 0, 0.1038] Tm
q m O i , 2 , i , 1 [−π/2, 0, π] Trad
Bi,3mi,30.6763kg
Ji,3diag (0.0122, 0.0111, 0.0014)kg·m2
r O i , 3 , i , 2 [0, 0.1038, 0] Tm
q m O i , 3 , i , 2 [π/2, 0, π] Trad
Bi,4mi,40.8447kg
Ji,4diag (0.0114, 0.0025, 0.0093)kg·m2
r O i , 4 , i , 3 [0, −0.0114, 0] Tm
q m O i , 4 , i , 3 [−π/2, 0, π] Trad
Bi,5mi,50.8447kg
Ji,5diag (0.0112, 0.0091, 0.0025)kg·m2
r O i , 5 , i , 4 [0, 0.2050, 0] Tm
q m O i , 5 , i , 4 [π/2, 0, 0] Trad
Bi,6mi,60.7477kg
Ji,6diag (0.0041, 0.0015, 0.0031)kg·m2
r O i , 6 , i , 5 [0, 0, 0.2050] Tm
q m O i , 6 , i , 5 [π/2, 0, π] Trad
Bi,7mi,70.4678kg
Ji,7diag (0.0014, 0.0014, 0.0004)kg·m2
r O i , 7 , i , 6 [0, −0.1188, 0.0016] Tm
q m O i , 7 , i , 6 [0, π, π] Trad
Note: Superscript ‘T’ indicates the transpose operator.
Disclaimer/Publisher’s Note: The statements, opinions and data contained in all publications are solely those of the individual author(s) and contributor(s) and not of MDPI and/or the editor(s). MDPI and/or the editor(s) disclaim responsibility for any injury to people or property resulting from any ideas, methods, instructions or products referred to in the content.

Share and Cite

MDPI and ACS Style

Li, L.; Wei, Z.; Chen, W. Anti-Disturbance Trajectory Tracking Control of Large Space Flexible Truss by Four Space Robots. Actuators 2026, 15, 108. https://doi.org/10.3390/act15020108

AMA Style

Li L, Wei Z, Chen W. Anti-Disturbance Trajectory Tracking Control of Large Space Flexible Truss by Four Space Robots. Actuators. 2026; 15(2):108. https://doi.org/10.3390/act15020108

Chicago/Turabian Style

Li, Luyao, Zhengtao Wei, and Weidong Chen. 2026. "Anti-Disturbance Trajectory Tracking Control of Large Space Flexible Truss by Four Space Robots" Actuators 15, no. 2: 108. https://doi.org/10.3390/act15020108

APA Style

Li, L., Wei, Z., & Chen, W. (2026). Anti-Disturbance Trajectory Tracking Control of Large Space Flexible Truss by Four Space Robots. Actuators, 15(2), 108. https://doi.org/10.3390/act15020108

Note that from the first issue of 2016, this journal uses article numbers instead of page numbers. See further details here.

Article Metrics

Back to TopTop