Integrating Vehicle Slip and Yaw in Overarching Multi-Tiered Vehicle Steering Control to Balance Path Following Accuracy, Gracefulness, and Safety
Abstract
1. Introduction
1.1. Proposed Framework
1.2. Proposed Controllers
1.3. Evaluations
1.4. Structure of Paper
2. Related Work
Contributions
3. Modeling
3.1. Slip-Based Kinematic Model
3.2. Sideslip–Yaw Rate-Based Dynamic Model
3.3. Resolving Model Reference Frames
4. Kinematic Controller
4.1. Sideslip Compensation
4.2. Kinematic Control Law
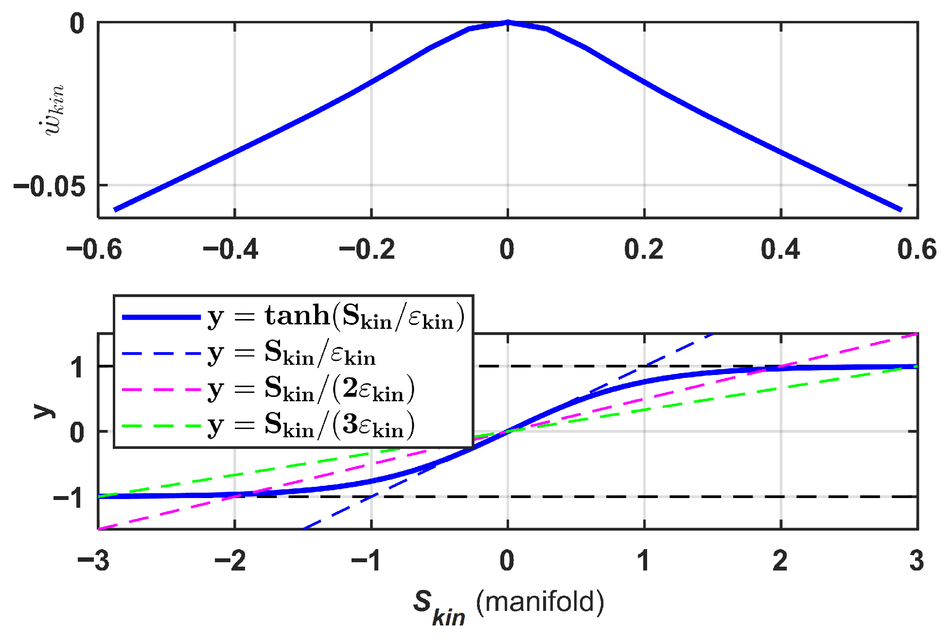
5. Time-Varying Path Manifold
5.1. Dynamic Response Characteristics
5.2. Vehicle Safety Factors
5.3. Steering Actuator Dynamic Response
5.4. Selecting and Varying
6. Dynamic Controller
6.1. Yaw Tracking Control
6.2. Steering Tracking Control
7. Output Feedback
7.1. High-Gain Observer
7.2. Output Feedback Controller
7.3. Peaking Mitigation
7.4. Overall Stability
8. Evaluation Procedures
8.1. Vehicle Platform
8.2. Test Fields and Paths
8.3. Controllers
8.3.1. Baseline A: Multi-Tiered PID Steering Controller
8.3.2. Baseline B: Robust Steering Controller
8.3.3. Proposed Controller
8.4. Experimental Procedure
8.5. Performance Metrics
9. Results
9.1. SFP Comprehensive Path Results
9.2. Basic Path Studies—MEB Parking Lot
9.3. Basic Path Studies—SFP Parking Lot
10. Discussion
10.1. Comparison to Baseline Controllers
10.2. Controller Features
10.3. Future Work
11. Conclusions
Author Contributions
Funding
Institutional Review Board Statement
Informed Consent Statement
Data Availability Statement
Conflicts of Interest
Appendix A

References
- Pina, M. Intelligent Transportation Systems (ITS) Strategic Plan 2015–2019. Available online: http://www.its.dot.gov/factsheets/pdf/ITS_JPO_StratPlan.pdf (accessed on 31 December 2017).
- Monaghan, M. Accident Avoidance 2.0. Automot. Eng. Int. 2008, 116, 28–32. [Google Scholar]
- Reinholtz, C.; Hong, D.; Wicks, A.; Bacha, A.; Bauman, C.; Faruque, R.; Fleming, M.; Terwelp, C.; Alberi, T.; Anderson, D.; et al. Odin: Team VictorTango’s entry in the DARPA urban challenge. J. Field Robot. 2008, 25, 467–492. [Google Scholar]
- Thrun, S.; Montemerlo, M.; Dahlkamp, H.; Stavens, D.; Aron, A.; Diebel, J.; Fong, P.; Gale, J.; Halpenny, M.; Hoffmann, G.; et al. Stanley: The robot that won the DARPA Grand Challenge. J. Field Robot. 2006, 23, 661–692. [Google Scholar] [CrossRef]
- Montemerlo, M.; Becker, J.; Bhat, S.; Dahlkamp, H.; Dolgov, D.; Ettinger, S.; Haehnel, D.; Hilden, T.; Hoffmann, G.; Huhnke, B.; et al. Junior: The Stanford entry in the urban challenge. J. Field Robot. 2008, 25, 569–597. [Google Scholar] [CrossRef]
- Kammel, S.; Ziegler, J.; Pitzer, B.; Werling, M.; Gindele, T.; Jagzent, D.; Schroder, J.; Thuy, M.; Goebl, M.; Hundelshausen, F.v. Team AnnieWAY’s autonomous system for the 2007 DARPA Urban Challenge. J. Field Robot. 2008, 25, 615–639. [Google Scholar] [CrossRef]
- Werling, M.; Groll, L.; Bretthauer, G. Invariant Trajectory Tracking With A Full-size Autonomous Road Vehicle. IEEE Trans. Rob. 2010, 26, 758–765. [Google Scholar] [CrossRef]
- Wang, J.; Steiber, J.; Surampudi, B. Autonomous ground vehicle control system for high-speed and safe operation. In Proceedings of the American Control Conference (ACC), Seattle, WA, USA, 11–13 June 2008. [Google Scholar]
- Raffo, G.V.; Gomes, G.K.; Normey-Rico, J.E.; Kelber, C.R.; Becker, L.B. A predictive controller for autonomous vehicle path tracking. IEEE Trans. Intell. Transp. Syst. 2009, 10, 92–102. [Google Scholar] [CrossRef]
- Xin, M.; Minor, M. Variable structure backstepping control via hierarchal manifolds set for graceful ground vehicle path following. In Proceedings of the IEEE International Conference on Robotics and Automation (ICRA), Karlsruhe, Germany, 6–10 May 2013; pp. 2826–2832. [Google Scholar] [CrossRef]
- Rajamani, R.; Han-Shue, T.; Boon Kait, L.; Wei-Bin, Z. Demonstration of integrated longitudinal and lateral control for the operation of automated vehicles in platoons. IEEE Trans. Control Syst. Technol. 2000, 8, 695–708. [Google Scholar] [CrossRef]
- Tan, H.S.; Guldner, J.; Chen, C.; Patwardhan, S.; Bougler, B. Lane changing with look-down reference systems on automated highways. Control Eng. Pract. 2000, 8, 1033–1043. [Google Scholar] [CrossRef]
- Gillespie, T.D. Fundamentals of Vehicle Dynamics; Society of Automotive Engineers Inc.: Warrendale, PA, USA, 1992. [Google Scholar]
- Lenain, R.; Thuilot, B.; Cariou, C.; Martinet, P. Mixed kinematic and dynamic sideslip angle observer for accurate control of fast off-road mobile robots. J. Field Robot. 2010, 27, 181–196. [Google Scholar] [CrossRef]
- Xin, M.; Zhang, K.; Lackner, D.; Minor, M.A. Slip-Based Nonlinear Recursive Backstepping Path Following Controller for Autonomous Ground Vehicles. In Proceedings of the 2020 IEEE International Conference on Robotics and Automation (ICRA), Paris, France, 31 May–31 August 2020; pp. 6169–6175. [Google Scholar] [CrossRef]
- Bartolozzi, M.; Massaro, M.; Mottola, M.; Savino, G. An enhanced motorcycle tyre model characterised through experimental riding data. Proc. Inst. Mech. Eng. Part D J. Automob. Eng. 2025, 239, 3540–3556. [Google Scholar] [CrossRef]
- Shi, Q.; Zhang, H. Road-Curvature-Range-Dependent Path Following Controller Design for Autonomous Ground Vehicles Subject to Stochastic Delays. IEEE Trans. Intell. Transp. Syst. 2022, 23, 17440–17450. [Google Scholar] [CrossRef]
- Vošahlík, D.; Hanis, T. Real-time estimation of the optimal longitudinal slip ratio for attaining the maximum traction force. Control Eng. Pract. 2024, 145, 105876. [Google Scholar] [CrossRef]
- Xin, M.; Yin, Y.; Zhang, K.; Lackner, D.; Ren, Z.; Minor, M. Continuous Robust Trajectory Tracking Control for Autonomous Ground Vehicles Considering Lateral and Longitudinal Kinematics and Dynamics via Recursive Backstepping. In Proceedings of the 2021 IEEE/RSJ International Conference on Intelligent Robots and Systems (IROS), Prague, Czech Republic, 27 September–1 October 2021; pp. 8373–8380. [Google Scholar] [CrossRef]
- Park, J.J.; Kuipers, B. A Smooth Control Law for Graceful Motion of Differential Wheeled Mobile Robots in 2D Environment. In Proceedings of the IEEE International Conference on Robotics and Automation (ICRA), Shanghai, China, 9–13 May 2011; pp. 4896–4902. [Google Scholar]
- Peña Fernández, C.A.; Cerqueira, J.J.F.; Lima, A.M.N. Nonlinear trajectory tracking controller for wheeled mobile robots by using a flexible auxiliary law based on slipping and skidding variations. Robot. Auton. Syst. 2019, 118, 231–250. (In English) [Google Scholar] [CrossRef]
- Xin, M.; Minor, M. Backstepping variable structure control of slip-based kinematics and dynamics for improved AGV cornering performance. In Proceedings of the IEEE International Conference on Robotics and Automation (ICRA), Hong Kong, China, 31 May–7 June 2014; pp. 5286–5291. [Google Scholar] [CrossRef]
- Rajamani, R. Vehicle Dynamics and Control; Springer: Berlin/Heidelberg, Germany, 2006. [Google Scholar]
- Fierro, R.; Lewis, F.L. Control of a Nonholonomic Mobile Robot: Backstepping Kinematics into Dynamics. J. Robot. Syst. 1997, 14, 149–163. [Google Scholar] [CrossRef]
- Zhu, X.; Minor, M.A.; Park, S. Distributed robust control of compliant framed wheeled modular mobile robots. J. Dyn. Syst. Meas. Control 2006, 128, 489–498. [Google Scholar] [CrossRef]
- Kim, M.S.; Kim, B.J.; Kim, C.I.; So, M.H.; Lee, G.S.; Lim, J.H. Vehicle Dynamics and Road Slope Estimation based on Cascade Extended Kalman Filter. In Proceedings of the 2018 International Conference on Information and Communication Technology Robotics, ICT-ROBOT 2018, Busan, South Korea, 6–8 September 2018; Institute of Electrical and Electronics Engineers Inc.: New York, NY, USA, 2018. [Google Scholar] [CrossRef]
- Sussmann, H.J.; Kokotovic, P.V. The Peaking Phenomenon and the Global Stabilization of Nonlinear Systems. IEEE Trans. Autom. Control 1991, 36, 424–440. [Google Scholar] [CrossRef]
- Song, G.; Mukherjee, R. A Comparative Study of Conventional Nonsmooth Time-Invariant and Smooth Time-Varying Robust Compensators. IEEE Trans. Control Syst. Technol. 1998, 6, 571–576. [Google Scholar]
- Tan, H.-S.; Rajamani, R.; Zhang, W.-B. Demonstration of an automated highway platoon system. In Proceedings of the American Control Conference (ACC), Evanston, IL, USA, 24–26 June 1998; pp. 1823–1827. [Google Scholar] [CrossRef]
- Tan, H.-S.; Guldner, J.; Patwardhan, S.; Chen, C.; Bougler, B. Development of an automated steering vehicle based on roadway magnets-a case study of mechatronic system design. IEEE ASME Trans. Mechatron. 1999, 4, 258–272. [Google Scholar] [CrossRef]
- Baidu. ApolloAuto/Apollo. Available online: https://github.com/ApolloAuto/apollo (accessed on 31 December 2017).
- Guldner, J.; Sienel, W.; Han-Shue, T.; Ackermann, J.; Patwardhan, S.; Bunte, T. Robust automatic steering control for look-down reference systems with front and rear sensors. IEEE Trans. Control Syst. Technol. 1999, 7, 2–11. [Google Scholar] [CrossRef]
- Hoffmann, G.M.; Tomlin, C.J.; Montemerlo, M.; Thrun, S. Autonomous automobile trajectory tracking for off-road driving: Controller design, experimental validation and racing. In Proceedings of the American Control Conference (ACC), New York, NY, USA, 9–13 July 2007; pp. 2296–2301. [Google Scholar]
- Jung, H.; Jung, D.; Choi, S.B. LQR Control of an All-Wheel Drive Vehicle Considering Variable Input Constraint. IEEE Trans. Control Syst. Technol. 2022, 30, 85–96. [Google Scholar] [CrossRef]
- Lee, D.H. Lane-Keeping Control of Autonomous Vehicles Through a Soft-Constrained Iterative LQR. IEEE Trans. Veh. Technol. 2025, 74, 5610–5623. [Google Scholar] [CrossRef]
- Tang, L.; Yan, F.; Zou, B.; Wang, K.; Lv, C. An Improved Kinematic Model Predictive Control for High-Speed Path Tracking of Autonomous Vehicles. IEEE Access 2020, 8, 51400–51413. [Google Scholar] [CrossRef]
- Qin, Z.; Liang, W.; Zang, Z.; Chen, L.; Hu, M.; Cui, Q.; Bian, Y. A Longitudinal and Lateral Coordinated Control Method of Autonomous Vehicles Considering Time-Varying Delay. IEEE Trans. Intell. Veh. 2024, 9, 7125–7137. [Google Scholar] [CrossRef]
- Geurts, M.E.; Katriniok, A.; Silvas, E.; Brouwer, N.J.; Heemels, W.P.M.H. Model Predictive Control for Lane Merging Automation With Recursive Feasibility Guarantees and Its Experimental Validation. IEEE Trans. Control Syst. Technol. 2025, 33, 566–581. [Google Scholar] [CrossRef]
- Liu, J.; Zhang, C.; Shi, C.; Lin, B.; Wu, D. Steering control for handling and stability and wear resistance of multi-axle vehicles. Veh. Syst. Dyn. 2025, 63, 825–852. [Google Scholar] [CrossRef]
- Taghia, J.; Wang, X.; Lam, S.; Katupitiya, J. A sliding mode controller with a nonlinear disturbance observer for a farm vehicle operating in the presence of wheel slip. Auton. Robot. 2017, 41, 71–88. [Google Scholar] [CrossRef]
- Taghavifar, H.; Mohammadzadeh, A. Adaptive Robust Terminal Sliding Mode Control with Integral Backstepping Synthesized Method for Autonomous Ground Vehicle Control. Vehicles 2023, 5, 1013–1029. [Google Scholar] [CrossRef]
- Sekban, H.T.; Basci, A. Designing New Model-Based Adaptive Sliding Mode Controllers for Trajectory Tracking Control of an Unmanned Ground Vehicle. IEEE Access 2023, 11, 101387–101397. [Google Scholar] [CrossRef]
- Martins, F.N.; Celeste, W.C.; Carelli, R.; Sarcinelli-Filho, M.; Bastos-Filho, T.F. An adaptive dynamic controller for autonomous mobile robot trajectory tracking. Control Eng. Pract. 2008, 16, 1354–1363. [Google Scholar]
- Zhou, X.; Wang, H.; Yang, Y.; Li, Q. Adaptive prescribed performance path following control of autonomous ground vehicles with unknown tire cornering stiffness and actuator saturation. ISA Trans. 2025, 167, 218–228. [Google Scholar] [CrossRef]
- Ryu, J.C.; Agrawal, S.K. Differential flatness-based robust control of mobile robots in the presence of slip. Int. J. Robot. Res. 2011, 30, 463–475. (In English) [Google Scholar] [CrossRef]
- Khalil, H.K. Nonlinear Systems, 3rd ed.; Pearson Education International: Upper Saddle River, NJ, USA, 2000. [Google Scholar]
- Spong, M.W.; Vidyasagar, M. Robot Dynamics and Control; John Wiley & Sons: Hoboken, NJ, USA, 2008. [Google Scholar]
- Xin, M.; Minor, M. A multi-tiered robust steering controller based on yaw rate and side slip estimation. In Proceedings of the IEEE/RSJ International Conference on Intelligent Robots and Systems (IROS), San Francisco, CA, USA, 25–30 September 2011; pp. 292–297. [Google Scholar] [CrossRef]
- Xin, M.; Minor, M. Backstepping vehicle steering controller using integral and robust control based on dynamic state estimation. In Proceedings of the IEEE/RSJ International Conference on Intelligent Robots and Systems (IROS), Algarve, Portugal, 7–12 October 2012; pp. 3132–3137. [Google Scholar] [CrossRef]
- Xin, M. Graceful and Robust Proprioceptive Steering and Parameter Estimation Of Automated Ground Vehicles. Doctoral Dissertation, Mechanical Engineering, University of Utah, Salt Lake City, UT, USA, 2018. Available online: https://my.mech.utah.edu/~minor/download/MXDissertationRev8_revised.pdf (accessed on 31 December 2017).
- Sun, H.; Wang, H. Research on Electric Vehicle Differential System Based on Vehicle State Parameter Estimation. Vehicles 2025, 7, 80. [Google Scholar] [CrossRef]
- Manning, W.J.; Crolla, D.A. A review of yaw rate and sideslip controllers for passenger vehicles. Trans. Inst. Meas. Control 2007, 29, 117–135. [Google Scholar] [CrossRef]
- Guvenc, B.A.; Guvenc, L.; Karaman, S. Robust Yaw Stability Controller Design and Hardware-in-the-loop Testing for a Road Vehicle. IEEE Trans. Veh. Technol. 2009, 58, 555–571. [Google Scholar] [CrossRef]
- Guo, J.; Luo, Y.; Li, K.; Dai, Y. Coordinated path-following and direct yaw-moment control of autonomous electric vehicles with sideslip angle estimation. Mech. Syst. Signal Process. 2018, 105, 183–199. [Google Scholar] [CrossRef]
- Wang, Y.; Hu, C.; Gao, H. Robust Kalman Filter Based Path-Tracking Control with Prescribed Performance for Autonomous Ground Vehicles under FDI Attack. In Proceedings of the 2024 IEEE International Conference on Systems, Man, and Cybernetics (SMC), Kuching, Malaysia, 6–10 October 2024. [Google Scholar]
- Zhao, J.; Li, R.; Zheng, X.; Li, W.; Hu, C.; Liang, Z.; Wong, P.K. Constrained Fractional-Order Model Predictive Control for Robust Path Following of FWID-AGVs With Asymptotic Prescribed Performance. IEEE Trans. Veh. Technol. 2025, 74, 2692–2705. [Google Scholar] [CrossRef]
- Huang, L.; Chen, J. Ship Motion Control Methods in Confined and Curved Waterways Combining Good Seamanship. J. Mar. Sci. Eng. 2025, 13, 1800. [Google Scholar] [CrossRef]
- Liu, J.; Huang, L.; Yu, D.; Xu, L.; He, Y. The control method for ship tracking when navigating through narrow and curved sections. Appl. Ocean Res. 2024, 145, 103943. [Google Scholar] [CrossRef]
- Liu, H.; Zhuo, Z.; Tian, X.; Mai, Q. Reinforcement learning-based prescribed-time H∞ optimal fault-tolerant formation control for multiple underactuated unmanned surface vessels with performance constraints. Ocean Eng. 2025, 342, 123086. [Google Scholar] [CrossRef]
- Li, S.; Zou, W.; Gao, J.; Yin, Y.; Kim, D.; Yang, S.; Li, S.E. Fast Online Computation of MPC-Based Integrated Decision Control for Autonomous Vehicles. IEEE Trans. Intell. Veh. 2024, 9, 7059–7069. [Google Scholar] [CrossRef]
- Kapania, N.R.; Gerdes, J.C. Design of a feedback-feedforward steering controller for accurate path tracking and stability at the limits of handling. Veh. Syst. Dyn. 2015, 53, 1687–1704. [Google Scholar] [CrossRef]
- Kang, C.M.; Kim, W.; Chung, C.C. Observer-based backstepping control method using reduced lateral dynamics for autonomous lane-keeping system. ISA Trans. 2018, 83, 214–226. [Google Scholar] [CrossRef]
- Cho, K.; Son, H.; Wang, Y.; Nam, K.; Choi, S. Vehicle Side-Slip Angle Estimation of Ground Vehicles Based on a Lateral Acceleration Compensation. IEEE Access 2020, 8, 180433–180443. [Google Scholar] [CrossRef]
- Khalil, H.K. High-gain observers in nonlinear feedback control. In New Directions in Nonlinear Observer Design; ch. Lecture Notes in Control and Information Sciences; Nijmeijer, H., Fossen, T.I., Eds.; Springer: London, UK, 1999; Volume 244, pp. 249–268. [Google Scholar]
- González-Prieto, J.A.; Villaverde, A.F. Smooth Non Linear High Gain Observers for a Class of Dynamical Systems. IEEE Access 2022, 10, 3693–3704. [Google Scholar] [CrossRef]
- Salt Ducaju, J.M.; Salt Llobregat, J.J.; Cuenca, A.; Tomizuka, M. Autonomous Ground Vehicle Lane-Keeping LPV Model-Based Control: Dual-Rate State Estimation and Comparison of Different Real-Time Control Strategies. Sensors 2021, 21, 1531. [Google Scholar] [CrossRef]
- Sebsadji, Y.; Glaser, S.; Mammar, S.; Dakhlallah, J. Road slope and vehicle dynamics estimation. In Proceedings of the 2008 American Control Conference, ACC, Seattle, WA, USA, 11–13 June 2008; Institute of Electrical and Electronics Engineers Inc.: New York, NY, USA; pp. 4603–4608. [Google Scholar] [CrossRef]
- Zhang, Y.; Wang, W.; Yang, C.; Qie, T.; Sun, R. Vehicle dynamics analysis and adaptive control scheme design under coupled slope for trajectory tracking of four-wheel independent drive autonomous vehicles. Veh. Syst. Dyn. 2025, 63, 1831–1860. [Google Scholar] [CrossRef]
- Lenain, R.; Deremetz, M.; Braconnier, J.B.; Thuilot, B.; Rousseau, V. Robust sideslip angles observer for accurate off-road path tracking control. Adv. Robot. 2017, 31, 453–467. [Google Scholar] [CrossRef]
- Li, Z.; Huang, C.; Li, X.; Long, Z. Robust observer-based adaptive backstepping levitation control for maglev trains with stochastic time delay and disturbance. Control Eng. Pract. 2025, 164, 106465. [Google Scholar] [CrossRef]
- Bae, I.; Kim, J.H.; Kim, S. Steering rate controller based on curvature of trajectory for autonomous driving vehicles. In Proceedings of the IEEE Intelligent Vehicles Symposium, Proceedings, Gold Coast City, Australia, 23–26 June 2013; pp. 1381–1386. [Google Scholar] [CrossRef]
- Bae, I.; Moon, J.; Park, H.; Kim, J.H.; Kim, S. Path generation and tracking based on a Bézier curve for a steering rate controller of autonomous vehicles. In Proceedings of the IEEE Conference on Intelligent Transportation Systems, Proceedings, ITSC, The Hague, The Netherlands, 6–9 October 2013; pp. 436–441. [Google Scholar] [CrossRef]
- Zhang, S.; Wang, Y.; Li, G. Adaptive backstepping finite-time output feedback control for path tracking of autonomous vehicle with asymmetric dead-zone. Mechatronics 2025, 110, 103362. [Google Scholar] [CrossRef]
- Rao, J.P.; Dukkipati, V.; Qatu, M.S.; Chen, G.S.; Shuguang, Z. Road Vehicle Dynamics, 1st ed.; SAE: Warrendale, PA, USA, 2008. [Google Scholar]
- McConnell, W.A. Human Sensitivity to Motion as Design Criterion for Highway Curves. Highw. Res. Board Bull. 1957, 149, 34–56. [Google Scholar]
- Kim, Y.; Minor, M.A. Path manifold-based kinematic control of wheeled mobile robots considering physical constraints. Int. J. Robot. Res. 2007, 26, 955–975. [Google Scholar] [CrossRef]
- Nise, N.S. Control Systems Engineering; John Wiley and Sons, Inc.: Hoboken, NJ, USA, 2008. [Google Scholar]
- Wood, G.A. Data smoothing and differentiation procedures in biomechanics. Exerc. Sport Sci. Rev. 1982, 10, 308–362. [Google Scholar] [CrossRef] [PubMed]














| Estimated Sideslip Response Characteristics | |||||||
| Observer Parameter Settings | α1 = 2, α2 = 1 | α1 = 1.5, α2 = 1 | α1 = 2.5, α2 = 1 | α1 = 2 α2 = 0.5 | α1 = 2 α2 = 1.5 | ||
| Observer Gain (ε) | 0.3 | 0.4 | 0.5 | 0.4 | 0.4 | 0.4 | 0.4 |
| Setting Time (Ts, s) | 0.744 | 0.603 | 0.536 | 0.635 | 0.577 | 0.483 | 0.727 |
| Overshoot (% o.s.) | 288% | 172% | 114% | 180% | 164% | 85% | 257% |
| Steady-state Estimation Error (%) | 39% | 34% | 32% | 35% | 34% | 31% | 38% |
| Estimated Yaw Rate Response Characteristics | |||||||
| Observer Parameter Settings | α1 = 2, α2 = 1 | α1 = 1.5, α2 = 1 | α1 = 2.5, α2 = 1 | α1 = 2 α2 = 0.5 | α1 = 2 α2 = 1.5 | ||
| Observer Gain (ε) | 0.3 | 0.4 | 0.5 | 0.4 | 0.4 | 0.4 | 0.4 |
| Setting Time (Ts, s) | 0.334 | 0.282 | 0.261 | 0.306 | 0.260 | 0.233 | 0.339 |
| Overshoot (% o.s.) | 0% | 0% | 0% | 0% | 0% | 0% | 0% |
| Steady-state Estimation Error (%) | 1% | 1% | 1% | 1% | 1% | 1% | 1% |
| SEG | Path Type | Path Settings | Length | Transition Type |
|---|---|---|---|---|
| a1 | Straight Line | L = 120 m | 120 m | Step (position) |
| b1 | Arc Curve | R = 50 m, Angle = 225° | ≈196.4 m | Step (curvature) |
| c1 | Euler’s Spiral | κ = 0.02 → 0, Angle = 10° | ≈17.5 m | Ramp (curvature) |
| d1 | Euler’s Spiral | κ = 0 → −0.01, Angle = 10° | ≈34.9 m | Ramp (curvature) |
| e1 | Arc Curve | R = −100 m, Angle = 20° | ≈17.5 m | Ramp (curvature) |
| f1 | Arc Curve | R = 100 m, Angle = 20° | ≈17.5 m | Step (curvature) |
| Gain | Kinematic Loop | Dynamic Loop |
|---|---|---|
| KP | 0.4 | 2 |
| KI | 0.08 | 0.5 |
| KD | 0.3 | 0.5 |
| Seg. (m) | Comprehensive Path | High Speed (8~10 m/s) | Middle Speed (5.5~7.5 m/s) | ||||||
| B | PROP | PROP-S | A | B | PROP | PROP-S | |||
| avg ± σ | avg ± σ | avg ± σ | avg ± σ | avg ± σ | avg ± σ | avg ± σ | |||
| a1 | Lateral Error (m) | ERNG | 0.79 ± 0.11 | 0.73 ± 0.09 | 0.72 ± 0.08 | 0.88 ± 0.08 | 0.70 ± 0.21 | 0.74 ± 0.08 | 0.73 ± 0.07 |
| ERMS | 0.22 ± 0.06 | 0.20 ± 0.05 | 0.19 ± 0.02 | 0.14 ± 0.02 | 0.19 ± 0.04 | 0.19 ± 0.08 | 0.20 ± 0.06 | ||
| EL10 | 0.09 ± 0.02 | 0.10 ± 0.06 | 0.07 ± 0.04 | 0.08 ± 0.02 | 0.06 ± 0.03 | 0.06 ± 0.02 | 0.03 ± 0.05 | ||
| %C | 0% | 60% | 100% | 90% | 100% | 100% | 100% | ||
| G.M. (m/s2) | ARMS | 0.24 ± 0.10 | 0.21 ± 0.06 | 0.21 ± 0.07 | 0.21 ± 0.02 | 0.17 ± 0.08 | 0.11 ± 0.03 | 0.11 ± 0.03 | |
| b1 | Lateral Error (m) | ERNG | 1.21 ± 0.38 | 1.31 ± 0.39 | 1.10 ± 0.3 | 0.69 ± 0.08 | 0.36 ± 0.06 | 0.37 ± 0.05 | 0.36 ± 0.07 |
| ERMS | 0.44 ± 0.04 | 0.32 ± 0.06 | 0.27 ± 0.07 | 0.17 ± 0.01 | 0.20 ± 0.02 | 0.05 ± 0.01 | 0.06 ± 0.02 | ||
| EL10 | 0.46 ± 0.08 | 0.1 ± 0.04 | 0.10 ± 0.02 | 0.09 ± 0.07 | 0.17 ± 0.03 | 0.06 ± 0.02 | 0.05 ± 0.02 | ||
| %C | 80% | 100% | 100% | 60% | 100% | 100% | 100% | ||
| G.M. (m/s2) | ARMS | 0.77 ± 0.32 | 0.75 ± 0.17 | 0.64 ± 0.15 | 0.33 ± 0.12 | 0.29 ± 0.06 | 0.19 ± 0.02 | 0.19 ± 0.02 | |
| c1 | Lateral Error (m) | ERNG | 0.71 ± 0.11 | 0.49 ± 0.07 | 0.43 ± 0.15 | 0.33 ± 0.12 | 0.23 ± 0.06 | 0.14 ± 0.05 | 0.17 ± 0.05 |
| ERMS | 0.3 ± 0.06 | 0.33 ± 0.07 | 0.27 ± 0.04 | 0.21 ± 0.03 | 0.12 ± 0.02 | 0.13 ± 0.03 | 0.11 ± 0.02 | ||
| EL10 | 0.34 ± 0.07 | 0.26 ± 0.08 | 0.28 ± 0.03 | 0.25 ± 0.04 | 0.14 ± 0.02 | 0.16 ± 0.03 | 0.13 ± 0.03 | ||
| %C | 0% | 0% | 0% | 0% | 0% | 0% | 20% | ||
| G.M. (m/s2) | ARMS | 0.55 ± 0.29 | 0.39 ± 0.17 | 0.40 ± 0.18 | 0.27 ± 0.18 | 0.16 ± 0.05 | 0.08 ± 0.03 | 0.08 ± 0.02 | |
| d1 | Lateral Error (m) | ERNG | 0.43 ± 0.09 | 0.34 ± 0.11 | 0.31 ± 0.09 | 0.31 ± 0.03 | 0.17 ± 0.04 | 0.15 ± 0.09 | 0.12 ± 0.03 |
| ERMS | 0.39 ± 0.04 | 0.31 ± 0.06 | 0.27 ± 0.04 | 0.29 ± 0.02 | 0.16 ± 0.03 | 0.14 ± 0.03 | 0.11 ± 0.03 | ||
| EL10 | 0.43 ± 0.07 | 0.27 ± 0.06 | 0.18 ± 0.04 | 0.23 ± 0.02 | 0.22 ± 0.04 | 0.13 ± 0.05 | 0.12 ± 0.04 | ||
| %C | 0% | 0% | 20% | 90% | 80% | 90% | 80% | ||
| G.M. (m/s2) | ARMS | 0.30 ± 0.13 | 0.31 ± 0.09 | 0.30 ± 0.08 | 0.13 ± 0.03 | 0.10 ± 0.03 | 0.08 ± 0.02 | 0.08 ± 0.02 | |
| e1 | Lateral Error (m) | ERNG | 0.47 ± 0.09 | 0.27 ± 0.07 | 0.21 ± 0.1 | 0.36 ± 0.06 | 0.29 ± 0.02 | 0.13 ± 0.05 | 0.14 ± 0.04 |
| ERMS | 0.42 ± 0.06 | 0.26 ± 0.04 | 0.16 ± 0.03 | 0.21 ± 0.03 | 0.21 ± 0.02 | 0.11 ± 0.03 | 0.10 ± 0.07 | ||
| EL10 | 0.45 ± 0.03 | 0.17 ± 0.03 | 0.10 ± 0.05 | 0.1 ± 0.05 | 0.21 ± 0.03 | 0.09 ± 0.02 | 0.11 ± 0.09 | ||
| %C | 40% | 50% | 60% | 0% | 80% | 90% | 80% | ||
| G.M. (m/s2) | ARMS | 0.32 ± 0.12 | 0.27 ± 0.07 | 0.19 ± 0.13 | 0.23 ± 0.11 | 0.18 ± 0.12 | 0.08 ± 0.01 | 0.06 ± 0.02 | |
| f1 | Lateral Error (m) | ERNG | 1.03 ± 0.15 | 1.01 ± 0.11 | 0.98 ± 0.34 | 0.57 ± 0.09 | 0.36 ± 0.24 | 0.38 ± 0.11 | 0.37 ± 0.12 |
| ERMS | 0.24 ± 0.03 | 0.22 ± 0.1 | 0.21 ± 0.03 | 0.36 ± 0.02 | 0.08 ± 0.03 | 0.10 ± 0.04 | 0.12 ± 0.06 | ||
| EL10 | 0.07 ± 0.03 | 0.05 ± 0.03 | 0.04 ± 0.04 | 0.30 ± 0.04 | 0.06 ± 0.05 | 0.06 ± 0.02 | 0.02 ± 0.03 | ||
| %C | 100% | 100% | 100% | 20% | 90% | 90% | 100% | ||
| G.M. (m/s2) | ARMS | 0.78 ± 0.31 | 0.85 ± 0.17 | 0.88 ± 0.12 | 0.47 ± 0.17 | 0.43 ± 0.21 | 0.41 ± 0.05 | 0.42 ± 0.05 | |
| Basic Paths | MEB Parking Lot (10% Slope Asphalt Ground) | ||||||||
|---|---|---|---|---|---|---|---|---|---|
| L-shaped Path | Performance Indices | Clear Day | Rainy Day | ||||||
| A | B | PROP | A | B | PROP | ||||
| avg ± s | avg ± s | avg ± s | avg ± s | avg ± s | avg ± s | ||||
| Lateral Error | 1st Seg (m) | ERNG | 0.82 ± 0.05 | 0.62 ± 0.05 | 0.65 ± 0.08 | 0.81 ± 0.16 | 0.60 ± 0.05 | 0.59 ± 0.05 | |
| ERMS | 0.27 ± 0.02 | 0.26 ± 0.03 | 0.26 ± 0.05 | 0.27 ± 0.06 | 0.25 ± 0.03 | 0.25 ± 0.03 | |||
| EL10 | 0.10 ± 0.02 | 0.05 ± 0.03 | 0.04 ± 0.01 | 0.10 ± 0.03 | 0.05 ± 0.01 | 0.04 ± 0.01 | |||
| %C | 100% | 100% | 100% | 60% | 60% | 100% | |||
| 2nd Seg (m) | ERNG | 0.63 ± 0.04 | 0.4 ± 0.04 | 0.21 ± 0.04 | 0.64 ± 0.05 | 0.44 ± 0.03 | 0.22 ± 0.05 | ||
| ERMS | 0.26 ± 0.01 | 0.24 ± 0.03 | 0.05 ± 0.01 | 0.26 ± 0.01 | 0.28 ± 0.03 | 0.05 ± 0.02 | |||
| EL10 | 0.05 ± 0.02 | 0.26 ± 0.05 | 0.03 ± 0.02 | 0.04 ± 0.02 | 0.34 ± 0.04 | 0.04 ± 0.03 | |||
| %C | 50% | 100% | 100% | 80% | 70% | 90% | |||
| 3rd Seg (m) | ERNG | 0.59 ± 0.05 | 0.33 ± 0.05 | 0.24 ± 0.04 | 0.68 ± 0.04 | 0.37 ± 0.07 | 0.32 ± 0.08 | ||
| ERMS | 0.35 ± 0.02 | 0.07 ± 0.01 | 0.09 ± 0.01 | 0.39 ± 0.03 | 0.12 ± 0.03 | 0.08 ± 0.02 | |||
| EL10 | 0.13 ± 0.03 | 0.03 ± 0.02 | 0.03 ± 0.02 | 0.21 ± 0.06 | 0.04 ± 0.05 | 0.02 ± 0.02 | |||
| %C | 100% | 100% | 100% | 100% | 100% | 100% | |||
| G.M. | ARMS (m/s2) | 1st Seg | 0.22 ± 0.02 | 0.14 ± 0.03 | 0.13 ± 0.03 | 0.26 ± 0.06 | 0.13 ± 0.03 | 0.10 ± 0.02 | |
| 2nd Seg | 0.22 ± 0.02 | 0.20 ± 0.03 | 0.18 ± 0.02 | 0.25 ± 0.02 | 0.21 ± 0.03 | 0.17 ± 0.05 | |||
| 3rd Seg | 0.28 ± 0.04 | 0.23 ± 0.03 | 0.22 ± 0.03 | 0.31 ± 0.05 | 0.29 ± 0.03 | 0.31 ± 0.06 | |||
| S-shaped: Euler spiral | Lateral Error | 1st Seg (m) | ERNG | 0.75 ± 0.14 | 0.61 ± 0.09 | 0.63 ± 0.05 | 0.70 ± 0.07 | 0.62 ± 0.11 | 0.64 ± 0.07 |
| ERMS | 0.26 ± 0.06 | 0.26 ± 0.03 | 0.24 ± 0.02 | 0.25 ± 0.02 | 0.28 ± 0.02 | 0.26 ± 0.04 | |||
| EL10 | 0.15 ± 0.02 | 0.09 ± 0.04 | 0.06 ± 0.04 | 0.11 ± 0.03 | 0.08 ± 0.02 | 0.06 ± 0.03 | |||
| %C | 0% | 0% | 40% | 0% | 0% | 30% | |||
| 2nd Seg (m) | ERNG | 0.12 ± 0.02 | 0.17 ± 0.05 | 0.07 ± 0.03 | 0.17 ± 0.17 | 0.18 ± 0.08 | 0.11 ± 0.03 | ||
| ERMS | 0.11 ± 0.03 | 0.15 ± 0.02 | 0.06 ± 0.04 | 0.17 ± 0.07 | 0.16 ± 0.02 | 0.10 ± 0.02 | |||
| EL10 | 0.10 ± 0.04 | 0.19 ± 0.01 | 0.04 ± 0.03 | 0.11 ± 0.06 | 0.21 ± 0.03 | 0.09 ± 0.03 | |||
| %C | 90% | 70% | 90% | 50% | 50% | 100% | |||
| G.M. | ARMS (m/s2) | 1st Seg | 0.20 ± 0.08 | 0.13 ± 0.03 | 0.14 ± 0.01 | 0.18 ± 0.03 | 0.12 ± 0.03 | 0.13 ± 0.01 | |
| 2nd Seg | 0.06 ± 0.02 | 0.04 ± 0.01 | 0.03 ± 0.01 | 0.08 ± 0.05 | 0.03 ± 0.01 | 0.03 ± 0.01 | |||
| Basic Paths | SFP Parking Lot (Gravel Yard, Uneven Ground) | ||||||||
| L-shaped Path | Performance Indices | Clear Day | Rainy Day | ||||||
| A | B | PROP | A | B | PROP | ||||
| avg ± s | avg ± s | avg ± s | avg ± s | avg ± s | avg ± s | ||||
| Lateral Error | 1st Seg (m) | ERNG | 0.70 ± 0.09 | 0.53 ± 0.08 | 0.50 ± 0.03 | 0.71 ± 0.08 | 0.54 ± 0.04 | 0.51 ± 0.06 | |
| ERMS | 0.25 ± 0.04 | 0.25 ± 0.02 | 0.28 ± 0.01 | 0.23 ± 0.03 | 0.26 ± 0.03 | 0.26 ± 0.05 | |||
| EL10 | 0.09 ± 0.03 | 0.05 ± 0.02 | 0.09 ± 0.03 | 0.07 ± 0.03 | 0.05 ± 0.02 | 0.05 ± 0.03 | |||
| %C | 100% | 100% | 100% | 70% | 50% | 70% | |||
| 2nd Seg (m) | ERNG | 0.66 ± 0.14 | 0.54 ± 0.12 | 0.37 ± 0.06 | 0.66 ± 0.08 | 0.38 ± 0.08 | 0.35 ± 0.06 | ||
| ERMS | 0.25 ± 0.02 | 0.25 ± 0.04 | 0.14 ± 0.03 | 0.24 ± 0.01 | 0.25 ± 0.03 | 0.09 ± 0.02 | |||
| EL10 | 0.06 ± 0.04 | 0.24 ± 0.08 | 0.05 ± 0.03 | 0.05 ± 0.03 | 0.25 ± 0.04 | 0.03 ± 0.02 | |||
| %C | 90% | 100% | 100% | 70% | 100% | 100% | |||
| 3rd Seg (m) | ERNG | 0.55 ± 0.05 | 0.36 ± 0.09 | 0.37 ± 0.03 | 0.68 ± 0.10 | 0.32 ± 0.08 | 0.34 ± 0.05 | ||
| ERMS | 0.37 ± 0.02 | 0.10 ± 0.08 | 0.11 ± 0.02 | 0.36 ± 0.04 | 0.13 ± 0.04 | 0.12 ± 0.04 | |||
| EL10 | 0.20 ± 0.04 | 0.05 ± 0.03 | 0.03 ± 0.02 | 0.19 ± 0.06 | 0.05 ± 0.06 | 0.03 ± 0.02 | |||
| %C | 60% | 80% | 100% | 80% | 100% | 100% | |||
| G.M. | ARMS (m/s2) | 1st Seg | 0.23 ± 0.05 | 0.11 ± 0.03 | 0.11 ± 0.02 | 0.22 ± 0.05 | 0.11 ± 0.03 | 0.11 ± 0.03 | |
| 2nd Seg | 0.35 ± 0.04 | 0.27 ± 0.04 | 0.21 ± 0.09 | 0.28 ± 0.04 | 0.25 ± 0.06 | 0.27 ± 0.04 | |||
| 3rd Seg | 0.28 ± 0.05 | 0.24 ± 0.03 | 0.25 ± 0.05 | 0.46 ± 0.19 | 0.32 ± 0.03 | 0.27 ± 0.08 | |||
| S-shaped: Euler spiral | Lateral Error | 1st Seg (m) | ERNG | 0.78 ± 0.07 | 0.65 ± 0.08 | 0.66 ± 0.12 | 0.70 ± 0.11 | 0.66 ± 0.04 | 0.57 ± 0.07 |
| ERMS | 0.27 ± 0.03 | 0.28 ± 0.04 | 0.27 ± 0.06 | 0.23 ± 0.03 | 0.24 ± 0.04 | 0.26 ± 0.02 | |||
| EL10 | 0.14 ± 0.02 | 0.03 ± 0.01 | 0.04 ± 0.01 | 0.10 ± 0.02 | 0.03 ± 0.02 | 0.04 ± 0.01 | |||
| %C | 40% | 40% | 80% | 0% | 10% | 80% | |||
| 2nd Seg (m) | ERNG | 0.17 ± 0.04 | 0.22 ± 0.04 | 0.13 ± 0.03 | 0.12 ± 0.01 | 0.19 ± 0.04 | 0.12 ± 0.03 | ||
| ERMS | 0.15 ± 0.02 | 0.14 ± 0.02 | 0.08 ± 0.03 | 0.14 ± 0.01 | 0.12 ± 0.01 | 0.11 ± 0.02 | |||
| EL10 | 0.13 ± 0.02 | 0.18 ± 0.04 | 0.08 ± 0.05 | 0.13 ± 0.02 | 0.17 ± 0.02 | 0.09 ± 0.02 | |||
| %C | 90% | 90% | 100% | 60% | 70% | 80% | |||
| G.M. | ARMS (m/s2) | 1st Seg | 0.26 ± 0.05 | 0.13 ± 0.04 | 0.13 ± 0.01 | 0.19 ± 0.03 | 0.15 ± 0.04 | 0.14 ± 0.03 | |
| 2nd Seg | 0.12 ± 0.05 | 0.06 ± 0.01 | 0.06 ± 0.02 | 0.11 ± 0.02 | 0.08 ± 0.02 | 0.07 ± 0.02 | |||
Disclaimer/Publisher’s Note: The statements, opinions and data contained in all publications are solely those of the individual author(s) and contributor(s) and not of MDPI and/or the editor(s). MDPI and/or the editor(s) disclaim responsibility for any injury to people or property resulting from any ideas, methods, instructions or products referred to in the content. |
© 2026 by the authors. Licensee MDPI, Basel, Switzerland. This article is an open access article distributed under the terms and conditions of the Creative Commons Attribution (CC BY) license.
Share and Cite
Xin, M.; Minor, M.A. Integrating Vehicle Slip and Yaw in Overarching Multi-Tiered Vehicle Steering Control to Balance Path Following Accuracy, Gracefulness, and Safety. Actuators 2026, 15, 68. https://doi.org/10.3390/act15010068
Xin M, Minor MA. Integrating Vehicle Slip and Yaw in Overarching Multi-Tiered Vehicle Steering Control to Balance Path Following Accuracy, Gracefulness, and Safety. Actuators. 2026; 15(1):68. https://doi.org/10.3390/act15010068
Chicago/Turabian StyleXin, Ming, and Mark A. Minor. 2026. "Integrating Vehicle Slip and Yaw in Overarching Multi-Tiered Vehicle Steering Control to Balance Path Following Accuracy, Gracefulness, and Safety" Actuators 15, no. 1: 68. https://doi.org/10.3390/act15010068
APA StyleXin, M., & Minor, M. A. (2026). Integrating Vehicle Slip and Yaw in Overarching Multi-Tiered Vehicle Steering Control to Balance Path Following Accuracy, Gracefulness, and Safety. Actuators, 15(1), 68. https://doi.org/10.3390/act15010068

