The Study of Multi-Objective Adaptive Fault-Tolerant Control for In-Wheel Motor Drive Electric Vehicles Under Demagnetization Faults
Abstract
1. Introduction
- In contrast to prior studies that primarily address single- or dual-motor faults, we systematically investigate multi-objective FTC under single-, dual-, and simultaneous four-motor partial demagnetization, bridging an important gap in extreme multi-motor fault scenarios.
- A REDQ-based design of dynamic weight and current compensation coefficients, which balances yaw stability with energy efficiency.
- Development of a high-fidelity co-simulation platform integrating CarSim, MATLAB/Simulink, and Python, with comprehensive validation under DLC, SLC, and driving cycle scenarios.
2. System Modeling
2.1. Overall Hierarchical Control Architecture
2.2. Vehicle Dynamics Model
3. Controller Design
3.1. Upper-Layer Controller
3.1.1. Lateral Stability Controller
3.1.2. Vehicle Stability Assessment
3.2. Lower–Layer Controller
3.3. DRL for Multi-Objective Adaptive Control
| Algorithm 1 REDQ-based Adaptive Control with Dual Factors |
|
4. Simulation Results and Discussion
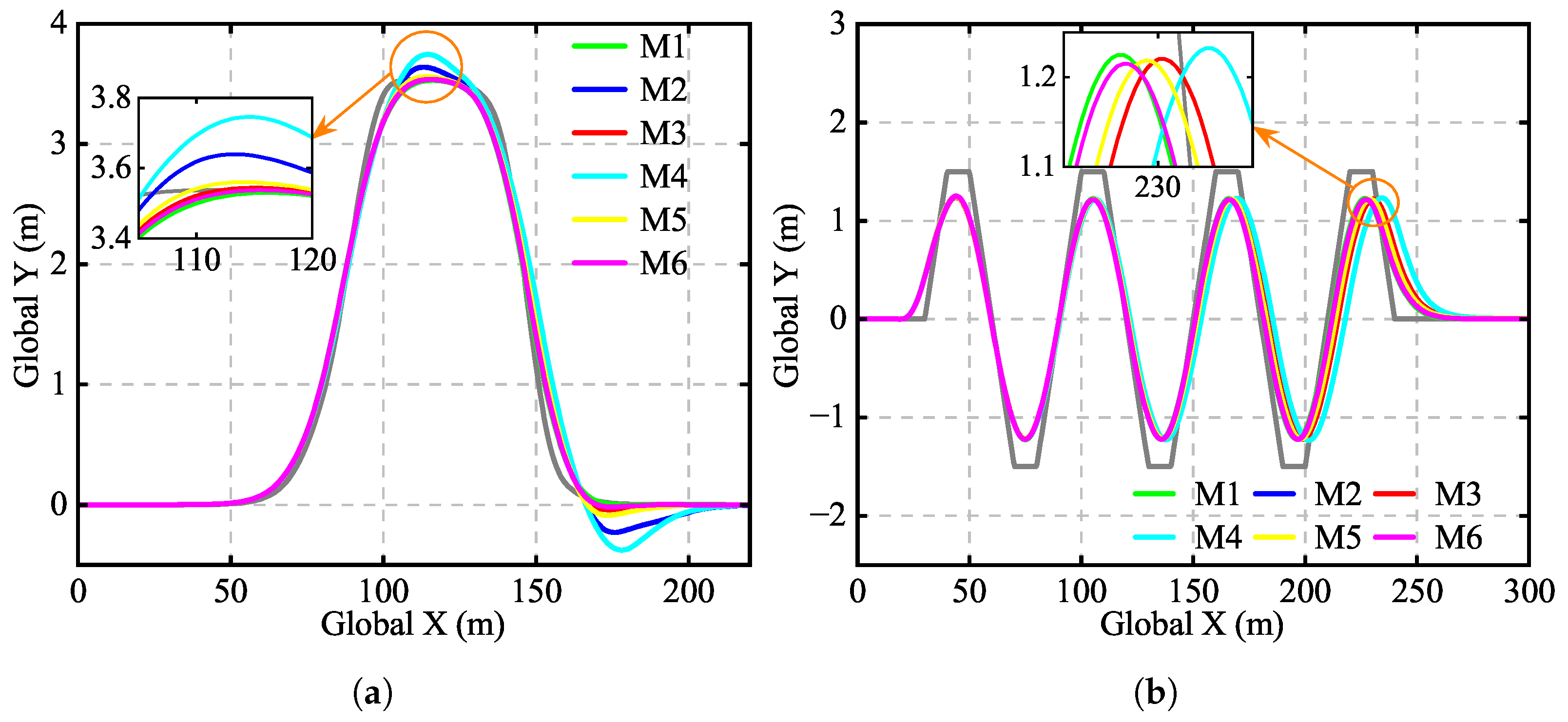
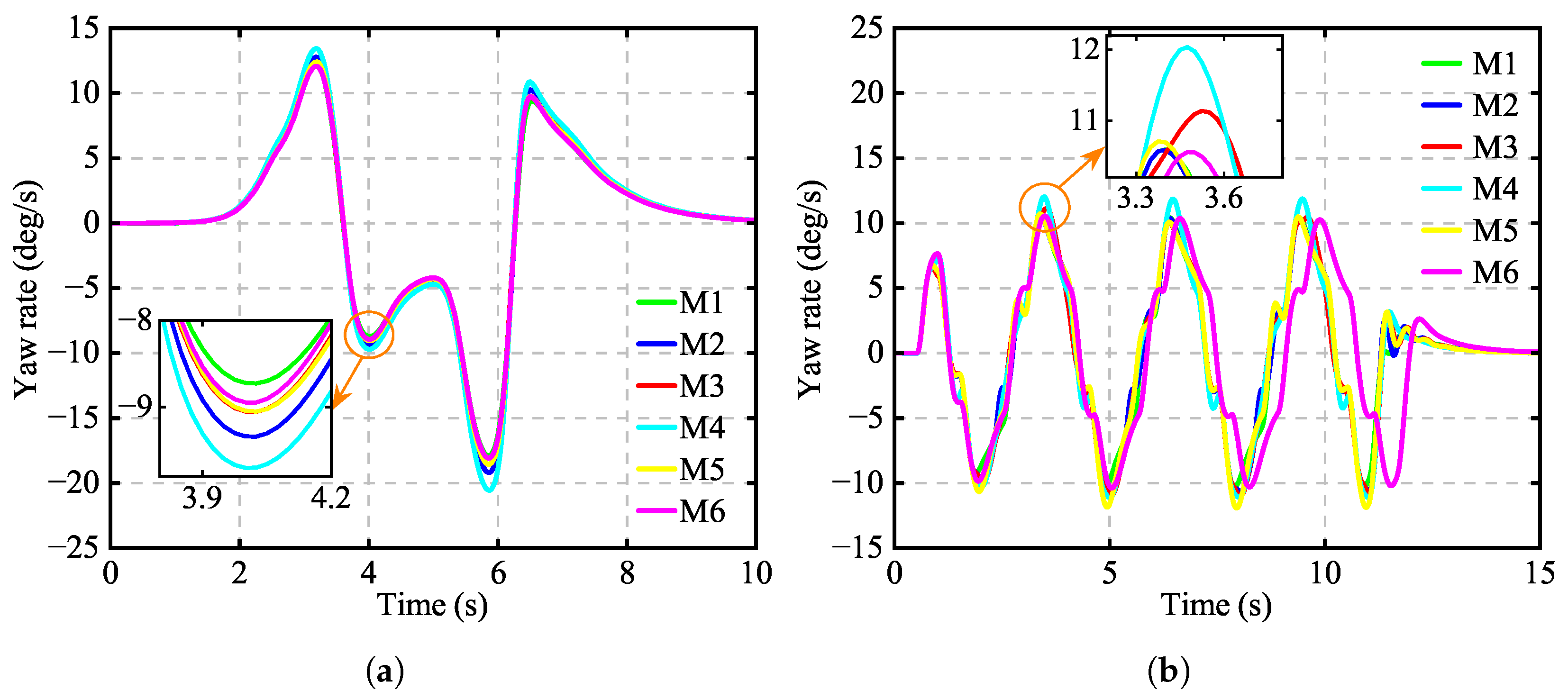
4.1. Influence of Different Fault Modes on Vehicle Stability
- M1: Healthy mode, .
- M2: Single–motor fault, .
- M3: Dual–motor fault on the same axle, .
- M4: Dual–motor fault on the same side, .
- M5: Diagonal dual–motor fault, .
- M6: Four–motor partial demagnetization, .
4.2. Validation of the Proposed Control Strategy Under Multiple Motor Faults
4.3. Comparative Energy Consumption Analysis Under Cyclic Driving Conditions
4.4. HIL Experimental Result
4.5. Discussion and Limitations
5. Conclusions
Author Contributions
Funding
Institutional Review Board Statement
Data Availability Statement
Acknowledgments
Conflicts of Interest
References
- Zhou, Y.; Chen, X.; Li, Z.; Wang, X.; Yu, Y. Adaptive distributed explicit model predictive controller with road surface identification for HM-AS. Nonlinear Dyn. 2025, 113, 8655–8678. [Google Scholar] [CrossRef]
- Wang, Y.; Yin, G.; Hang, P.; Zhao, J.; Lin, Y.; Huang, C. Fundamental estimation for tire road friction coefficient: A model-based learning framework. IEEE Trans. Veh. Technol. 2025, 74, 481–493. [Google Scholar] [CrossRef]
- Chen, R.; Ou, J. A hybrid fault-tolerant control strategy for four-wheel independent drive vehicles. Adv. Mech. Eng. 2021, 13, 16878140211045486. [Google Scholar] [CrossRef]
- Tian, M.; Gao, B. Dynamics analysis of a novel in-wheel powertrain system combined with dynamic vibration absorber. Mech. Mach. Theory. 2021, 156, 1041482021. [Google Scholar] [CrossRef]
- Guo, M.; Bao, C.; Cao, Q.; Xu, F.; Miao, X.; Wu, J. Fault-Tolerant control study of four-Wheel independent drive electric vehicles based on drive actuator faults. Machines 2024, 12, 450. [Google Scholar] [CrossRef]
- Zhu, S.; Li, H.; Wang, G.; Kuang, C.; Chen, H.; Gao, J.; Xie, W. Research on fault-tolerant control of distributed-drive electric vehicles based on fuzzy fault diagnosis. Actuators 2023, 12, 246. [Google Scholar] [CrossRef]
- Li, J.; Yang, C.; Fang, J.; Zhang, Y. A fault-tolerant trajectory tracking strategy of four-wheel independent drive electric vehicles using super-twisting sliding model control. IEEE Trans. Transp. Electrif. 2025, 11, 3907–3917. [Google Scholar] [CrossRef]
- Zhang, B.; Lu, S.; Wu, W.; Li, C.; Lu, J. Robust fault-tolerant control for four-wheel individually actuated electric vehicle considering driver steering characteristics. J. Franklin Inst. 2021, 358, 5883–5908. [Google Scholar] [CrossRef]
- Wang, Q.; Wang, Z.; Wang, H.; Shang, Z.; Xu, W. Coordinated control of ARS and DYC for full X-by-Wire distributed drive electric vehicles based on stability domain division in extension phase plane. Control Eng. Pract. 2025, 162, 106344. [Google Scholar] [CrossRef]
- Zhu, Y.; Zheng, W. An integrated design approach for fault-tolerant control of switched LPV systems with actuator faults. IEEE Trans. Syst. Man Cybern. Syst. 2022, 53, 908–921. [Google Scholar] [CrossRef]
- Subroto, R.; Wang, C.; Lian, K. Four-wheel independent drive electric vehicle stability control using novel adaptive sliding mode control. IEEE Trans. Ind. Appl. 2020, 56, 5995–6006. [Google Scholar] [CrossRef]
- Wang, D.; Gu, T.; Zhang, K. Fault tolerant control of 4-wheel independent drive vehicle subject to actuator faults based on feasible region. IEEE Trans. Veh. Technol. 2024, 73, 1652–1666. [Google Scholar] [CrossRef]
- Li, F.; Chen, Y.; Tang, H.; Xia, F.; Luo, J.; Du, C. Event-triggered adaptive fault tolerant sliding mode control for FWID-EV. IEEE Trans. Transp. Electrif. 2024, 10, 9192–9208. [Google Scholar] [CrossRef]
- Zhang, B.; Lu, S.; Xie, F.; Xie, W. Stochastic cooperative game-based assistant fault-tolerant control considering driver behavior uncertainty. IEEE Trans. Transp. Electrif. 2022, 8, 2595–2607. [Google Scholar] [CrossRef]
- Lu, Y.; Liang, J.; Zhuang, W.; Yin, G.; Feng, J.; Zhou, C. Four-wheel independent drive vehicle fault tolerant strategy using stochastic model predictive control with model parameter uncertainties. IEEE Trans. Veh. Technol. 2023, 73, 3287–3299. [Google Scholar] [CrossRef]
- Chen, X.; Jiang, R.; Zhao, W.; Wang, C. Tube-based cooperative robust control for distributed drive electric vehicles suffering actuator faults. IEEE Trans. Transp. Electrif. 2025, 11, 3502–3513. [Google Scholar] [CrossRef]
- Huang, X.; Zha, Y.; Lv, X.; Quan, X. Torque fault-tolerant hierarchical control of 4wid electric vehicles based on improved MPC and SMC. IEEE Access 2023, 11, 132718–132734. [Google Scholar] [CrossRef]
- Feng, H.; Tao, Y.; Feng, J.; Zhang, Y.; Xue, H.; Wang, T.; Xu, X.; Chen, P. Fault-tolerant collaborative control of four-wheel-drive electric vehicle for one or more in-wheel motors’ faults. Sensors 2025, 25, 1540. [Google Scholar] [CrossRef] [PubMed]
- Ji, Y.; Liu, Y. Force allocation control for distributed drive electric vehicles under split-friction regions and actuator faults. ISA Trans. 2022, 129, 398–412. [Google Scholar] [CrossRef]
- Zhou, Z.; Zhang, G.; Chen, M. A fault-tolerant control strategy for distributed drive electric vehicles based on model reference adaptive control. Actuators 2024, 13, 486. [Google Scholar] [CrossRef]
- Peng, H.; Wang, W.; Xiang, C.; Li, L.; Wang, X. Torque coordinated control of four in-wheel motor independent-drive vehicles with consideration of the safety and economy. IEEE Trans. Veh. Technol. 2019, 68, 9604–9618. [Google Scholar] [CrossRef]
- Liu, S.; Zhang, H.; Wang, S.; Zhao, X. Hierarchical torque vectoring control strategy of distributed driving electric vehicles considering stability and economy. Sensors 2025, 25, 3933. [Google Scholar] [CrossRef]
- Hu, X.; Chen, H.; Li, Z.; Wang, P. An energy-saving torque vectoring control strategy for electric vehicles considering handling stability under extreme conditions. IEEE Trans. Veh. Technol. 2020, 69, 10787–10796. [Google Scholar] [CrossRef]
- Guo, N.; Zhang, X.; Zou, Y.; Lenzo, B.; Du, G.; Zhang, T. A supervisory control strategy of distributed drive electric vehicles for coordinating handling, lateral stability, and energy efficiency. IEEE Trans. Transp. Electrif. 2021, 7, 2488–2504. [Google Scholar] [CrossRef]
- Ming, F.; Gong, W.; Wang, L.; Jin, Y. Constrained multi-objective optimization with deep reinforcement learning assisted operator selection. IEEE-CAA J. Automatica Sin. 2024, 11, 919–931. [Google Scholar] [CrossRef]
- He, X.; Yu, Q.; Jiang, Z.; Tan, Y.; Chen, Y.; Xie, B.; Wen, C. Dual-layer adaptive power management strategy for E-tractor incorporating operating information and deep reinforcement learning. Energy 2025, 319, 134942. [Google Scholar] [CrossRef]
- Al-Sharman, M.; Dempster, R.; Daoud, M.A.; Nasr, M.; Rayside, D.; Melek, W. Self-learned autonomous driving at unsignalized intersections: A hierarchical reinforced learning approach for feasible decision-making. IEEE Trans. Intell. Transp. Syst. 2023, 24, 12345–12356. [Google Scholar] [CrossRef]
- Fan, J.; Zhang, X.; Zou, Y.; Li, Y.; Liu, Y.; Sun, W. Improving policy training for autonomous driving through randomized ensembled double Q-learning with Transformer encoder feature evaluation. Appl. Soft. Comput. 2024, 167, 112386. [Google Scholar] [CrossRef]
- Haarnoja, T.; Moran, B.; Lever, G.; Huang, S.H.; Tirumala, D.; Humplik, J.; Wulfmeier, M.; Tunyasuvunakool, S.; Siegel, N.Y.; Hafner, R.; et al. Learning agile soccer skills for a bipedal robot with deep reinforcement learning. Sci. Robot. 2024, 9, eadi8022. [Google Scholar] [CrossRef]
- Wei, H.; Zhang, N.; Liang, J.; Ai, Q.; Zhao, W.; Huang, T.; Zhang, Y. Deep reinforcement learning based direct torque control strategy for distributed drive electric vehicles considering active safety and energy saving performance. Energy 2022, 238, 121725. [Google Scholar] [CrossRef]
- Ning, G.; Su, L.; Zhang, Y.; Wang, J.; Gong, C.; Zhou, Y. Research on TD3-based distributed micro-tillage traction bottom control strategy. Agriculture 2023, 13, 1263. [Google Scholar] [CrossRef]
- Deng, H.; Zhao, Y.; Nguyen, A.T.; Huang, C. Fault-tolerant predictive control with deep-reinforcement-learning-based torque distribution for four in-wheel motor drive electric vehicles. IEEE-ASME Trans. Mechatron. 2023, 28, 668–680. [Google Scholar] [CrossRef]
- Liang, Y.; Zhang, S.; Zhao, W.; Wang, C.; Xu, K.; Liang, W. Coordinated control of yaw and roll stability in heavy vehicles considering dynamic safety requirements. Control Eng. Pract. 2024, 148, 105963. [Google Scholar] [CrossRef]
- Ji, X.; He, X.; Lv, C.; Liu, Y.; Wu, J. A vehicle stability control strategy with adaptive neural network sliding mode theory based on system uncertainty approximation. Veh. Syst. Dyn. 2018, 56, 923–946. [Google Scholar] [CrossRef]
- Cabrera, J.; Castillo, J.; Pérez, J.; Velasco, J.; Guerra, A.; Hernández, P. A procedure for determining tire-road friction characteristics using a modification of the magic formula based on experimental results. Sensors 2018, 18, 896. [Google Scholar] [CrossRef]
- Xue, H.; Liu, B.; Ding, D.; Zhou, J.; Cui, X. Diagnosis method based on hidden Markov model and Weibull mixture model for mechanical faults of in-wheel motors. Meas. Sci. Technol. 2022, 33, 114002. [Google Scholar] [CrossRef]
- Xue, H.; Ding, D.; Zhang, Z.; Wu, M.; Wang, H. A fuzzy system of operation safety assessment using multimodel linkage and multistage collaboration for in-wheel motor. IEEE Trans. Fuzzy Syst. 2021, 30, 999–1013. [Google Scholar] [CrossRef]
- Dai, Y.; Zhang, L.; Xu, D.; Chen, Q.; Li, J. Development of deep learning-based cooperative fault diagnosis method for multi-PMSM drive system in 4WID-EVs. IEEE Trans. Instrum. Meas. 2024, 73, 3506513. [Google Scholar] [CrossRef]
- Li, Y.; Wang, J.; Dong, J. Robust fault estimation based on asymptotic partial decoupling disturbances for linear systems with invariant zeros. J. Franklin Inst. 2025, 362, 107859. [Google Scholar] [CrossRef]
- Chen, T.; Cai, Y.; Chen, L.; Xu, X. Sideslip angle fusion estimation method of three-axis autonomous vehicle based on composite model and adaptive cubature kalman filter. IEEE Trans. Transp. Electrif. 2024, 10, 316–330. [Google Scholar] [CrossRef]
- Zhai, L.; Sun, T.; Wang, J. Electronic stability control based on motor driving and braking torque distribution for a four in-wheel motor drive electric vehicle. IEEE Trans. Veh. Technol. 2016, 65, 4726–4739. [Google Scholar] [CrossRef]














| Parameter | Value |
|---|---|
| ensemble size N | 10 |
| in-target minimization parameter M | 2 |
| update-to-data ratio G | 20 |
| sampling time/s | 0.01 |
| learning rate | |
| discount () | 0.99 |
| soft update rate () | 0.995 |
| replay buffer size | |
| mini-batch size | 256 |
| number of hidden layers for all networks | 2 |
| number of hidden units per layer | 256 |
| Name | Symbol | Value |
|---|---|---|
| Vehicle mass | m | 1410 kg |
| Length from the center of gravity(CG) to front wheel axis | a | 1.015 m |
| Length from CG to rear wheel axis | b | 1.895 m |
| Tread width | B | 1.675 m |
| Tire radius | r | 0.325 m |
| Height of center of mass | 0.54 m | |
| Moment of inertia about yaw axis | 2031.4 kg·m2 | |
| Rated power | 12 kW | |
| Maximum power | 24 kW | |
| Rated speed | 750 rpm | |
| Maximum speed | 1600 rpm | |
| Rated torque | 153 N·m | |
| Maximum torque | 300 N·m |
| State | Error Type | FTC | DRL–FTC | Error Reduction |
|---|---|---|---|---|
| Yaw rate (°/s) | Peak error | 2.139 | 1.411 | 34.0% |
| Mean error | −0.051 | −0.050 | 1.0% | |
| Root mean square error | 0.972 | 0.810 | 16.7% | |
| Sideslip angle (°) | Peak error | 0.367 | 0.239 | 34.9% |
| Mean error | 0.0047 | 0.0038 | 19.1% | |
| Root mean square error | 0.091 | 0.072 | 20.9% |
| State | Error Type | FTC | DRL–FTC | Error Reduction |
|---|---|---|---|---|
| Yaw rate (°/s) | Peak error | 0.814 | 0.286 | 64.9% |
| Mean error | −0.038 | −0.015 | 61.2% | |
| Root mean square error | 0.932 | 0.673 | 27.8% | |
| Sideslip angle (°) | Peak error | 0.177 | 0.116 | 34.5% |
| Mean error | −0.0024 | −0.0020 | 16.7% | |
| Root mean square error | 0.076 | 0.051 | 32.9% |
| Modes | Modes | ||
|---|---|---|---|
| A1 | 0.7/0.7//0.7/0.7 | D1 | 0.8/0.8//0.7/0.7 |
| A2 | 0.7/0.7//0.7/0.8 | D2 | 0.8/0.8//0.7/0.8 |
| A3 | 0.7/0.7//0.7/0.9 | D3 | 0.8/0.8//0.7/0.9 |
| A4 | 0.7/0.7//0.8/0.8 | D4 | 0.8/0.8//0.8/0.8 |
| A5 | 0.7/0.7//0.8/0.9 | D5 | 0.8/0.8//0.8/0.9 |
| A6 | 0.7/0.7//0.9/0.9 | D6 | 0.8/0.8//0.9/0.9 |
| B1 | 0.7/0.8//0.7/0.7 | E1 | 0.8/0.9//0.7/0.7 |
| B2 | 0.7/0.8//0.7/0.8 | E2 | 0.8/0.9//0.7/0.8 |
| B3 | 0.7/0.8//0.7/0.9 | E3 | 0.8/0.9//0.7/0.9 |
| B4 | 0.7/0.8//0.8/0.8 | E4 | 0.8/0.9//0.8/0.8 |
| B5 | 0.7/0.8//0.8/0.9 | E5 | 0.8/0.9//0.8/0.9 |
| B6 | 0.7/0.8//0.9/0.9 | E6 | 0.8/0.9//0.9/0.9 |
| C1 | 0.7/0.9//0.7/0.7 | F1 | 0.9/0.9//0.7/0.7 |
| C2 | 0.7/0.9//0.7/0.8 | F2 | 0.9/0.9//0.7/0.8 |
| C3 | 0.7/0.9//0.7/0.9 | F3 | 0.9/0.9//0.7/0.9 |
| C4 | 0.7/0.9//0.8/0.8 | F4 | 0.9/0.9//0.8/0.8 |
| C5 | 0.7/0.9//0.8/0.9 | F5 | 0.9/0.9//0.8/0.9 |
| C6 | 0.7/0.9//0.9/0.9 | F6 | 0.9/0.9//0.9/0.9 |
| State | Error Type | FTC | DRL–FTC | Error Reduction |
|---|---|---|---|---|
| Yaw rate (°/s) | Peak error | 5.465 | 5.190 | 5.0% |
| Mean error | −0.039 | −0.038 | 1.8% | |
| Root mean square error | 92.3% | |||
| Sideslip angle (°) | Peak error | 0.240 | 0.214 | 10.7% |
| Mean error | 45.7% | |||
| Root mean square error | 91.9% |
Disclaimer/Publisher’s Note: The statements, opinions and data contained in all publications are solely those of the individual author(s) and contributor(s) and not of MDPI and/or the editor(s). MDPI and/or the editor(s) disclaim responsibility for any injury to people or property resulting from any ideas, methods, instructions or products referred to in the content. |
© 2026 by the authors. Licensee MDPI, Basel, Switzerland. This article is an open access article distributed under the terms and conditions of the Creative Commons Attribution (CC BY) license.
Share and Cite
Wang, Q.; Ren, Z.; Cui, C.; Jiang, G. The Study of Multi-Objective Adaptive Fault-Tolerant Control for In-Wheel Motor Drive Electric Vehicles Under Demagnetization Faults. Actuators 2026, 15, 44. https://doi.org/10.3390/act15010044
Wang Q, Ren Z, Cui C, Jiang G. The Study of Multi-Objective Adaptive Fault-Tolerant Control for In-Wheel Motor Drive Electric Vehicles Under Demagnetization Faults. Actuators. 2026; 15(1):44. https://doi.org/10.3390/act15010044
Chicago/Turabian StyleWang, Qiang, Ze Ren, Changhui Cui, and Gege Jiang. 2026. "The Study of Multi-Objective Adaptive Fault-Tolerant Control for In-Wheel Motor Drive Electric Vehicles Under Demagnetization Faults" Actuators 15, no. 1: 44. https://doi.org/10.3390/act15010044
APA StyleWang, Q., Ren, Z., Cui, C., & Jiang, G. (2026). The Study of Multi-Objective Adaptive Fault-Tolerant Control for In-Wheel Motor Drive Electric Vehicles Under Demagnetization Faults. Actuators, 15(1), 44. https://doi.org/10.3390/act15010044

