Next Article in Journal
A Reasoned Attempt to Mitigate Vibrations in Nonlinear Flexible Systems Influenced by Tractive–Elastic Rolling Contact Friction Through Input Shaping: A Case Study on a Trolley–Pipe Benchmark Transport System
Previous Article in Journal
Design, Simulation, and Testing of Active Cooperative Control Strategies for a Light Sensation Transfer Nursing Robot
 
 
Due to scheduled maintenance work on our servers, there may be short service disruptions on this website between 11:00 and 12:00 CEST on March 28th.
Font Type:
Arial Georgia Verdana
Font Size:
Aa Aa Aa
Line Spacing:
Column Width:
Background:
Article

Design and Performance Analysis of an All-Metal Phase-Change-Material Actuator for Enhanced Sealing and Displacement Output Characteristics

1
Changchun Institute of Optics, Fine Mechanics and Physics, Chinese Academy of Sciences, Changchun 130033, China
2
University of Chinese Academy of Sciences, Beijing 100049, China
*
Author to whom correspondence should be addressed.
Actuators 2025, 14(2), 96; https://doi.org/10.3390/act14020096
Submission received: 2 January 2025 / Revised: 9 February 2025 / Accepted: 10 February 2025 / Published: 16 February 2025
(This article belongs to the Section Actuator Materials)

Abstract

The phase-change-material (PCM) actuator, a non-pyrotechnic technology in aerospace, offers enhanced safety and convenience. This paper presents a novel PCM actuator featuring an all-metal construction to improve reliability and sealing. Characterized by high energy density and temperature-dependent actuation, the actuator’s displacement output characteristics (DOCs) are examined through visualization experiments. The results show the formation of a concave gap within the PCM upon cooling, which can be controlled by adjusting the cooling load and temperature to minimize its impact on displacement output. A two-dimensional physical model is developed to investigate how varying thermophysical parameters and boundary conditions affect the phase change process and DOC. The study finds that increasing the thermal conductivity of the PCM and surface heat flow enhances displacement velocity, although the effect diminishes at higher values. Additionally, reducing latent heat significantly boosts output velocity. For a fixed surface heat flow, changes in wall thickness have a minor impact, with velocity variation under 2%.

1. Introduction

Advancements in aerospace science and technology have expanded the operational environments of spacecraft from low Earth orbit to the surfaces of the Moon and Mars. In these extreme thermal conditions—such as those found on the lunar surface, where temperatures can vary drastically—managing the temperature of internal components becomes increasingly complex. Thermal control systems must rely on passive actuators to maintain critical functions, particularly during energy shortages or unforeseen events like cold welding of mechanical structures. These passive actuators serve as safety mechanisms, enhancing the reliability of the thermal control system.
PCM actuators are one such solution. These actuators, powered solely by temperature changes, use phase change materials (PCMs) to generate actuation through volume changes during the phase change process [1]. The key advantage of PCM actuators lies in their ability to produce displacement and torque with minimal mechanical impact and the ability to reset after actuation. Due to the inherent stability of PCMs and their low supercooling behavior, PCM actuators offer reliable, repeatable performance. Studies have shown that compared to other actuator materials—such as shape memory alloy, electromagnetic, thermopneumatic, bimetallic, electrostatic, and piezoelectric actuators—PCMs exhibit the highest energy density (Figure 1).
Ogden et al. classified mechanical transmission components into pistons, membranes, composite materials, and direct contact [2]. Initially, paraffin was used as PCM in temperature-sensitive enclosed devices [3]. Today, PCM actuators based on piston designs are credited to Sherwood, who invented the electrically heated PCM actuator in the 1960s. PCM is now widely used in micro-drivers and has also found applications as a functional material in intelligent structures. Mirvakili et al. reviewed the current research on twisted nanofibers [4].
In piston-type PCM actuators, annular seals are commonly used. Tibbitts introduced a cylinder piston design [5], sealed with an O-ring and secured by threads, with a length of 58 mm and a stroke of 25 mm. Kabei proposed an alternative piston design [6], with a length of 90 mm, a diameter of 2 mm, and a stroke of 9 mm, sealed in silicone tubing. This design allows for greater force and displacement. In addition to O-ring seals, diaphragms can also be used for sealing in piston drives [7]. However, due to the large volume of PCM in these systems, which influences the choice of output, PCM actuators with larger membrane sealing designs are less commonly used.
PCM actuators have found extensive applications in aerospace engineering [1]. Their unique property—significant volume changes during phase transitions [8]—enables them to generate displacement, making them highly effective for various thermal control applications. The first use of PCM actuators was on the US Mars rover, where they served as a backup mechanism for regulating battery temperatures [9]. In 2014, Shinozaki and Keisuke designed a thermal switch driven by a PCM actuator with a switching ratio exceeding 110 for a planned lunar rover application. However, their experiments were limited to a maximum temperature of 338 K, and leakage testing was not conducted on the PCM actuator [10]. Later, Yoshikawa and colleagues integrated a PCM actuator into the SPRINT-A spacecraft to operate a vacuum gate [11]. In this design, the actuator generates displacement as the PCM undergoes phase change. However, as PCMs transition to a liquid state after the phase change, the risk of leakage arises, which often imposes temperature limitations on their use.
PCM actuators are also widely used in micro-drive applications due to their high energy density, enabling them to generate significant torque in small volumes with limited displacement [1]. For instance, Dowen et al. designed a linear micro-drive actuator for positioning the mirror of the Far Ultraviolet Spectroscopic Explorer spacecraft [12]. Similarly, Liu et al. developed a disposable phase-change actuator microvalve capable of withstanding up to 40 psi of pressure [13]. J.M. Park and colleagues introduced a micro-valve controlled by a single laser diode, achieving a response time of less than 0.5 s [14]. Liu et al. also proposed a composite PCM-based micro-actuator that can achieve 140 µm of displacement within 5 s with an input power of 1.42 W [15].
While PCM actuators are effective in delivering high torque at small displacements, their output torque decreases significantly as displacement increases. Membrane-based structures and other sealing methods can effectively maintain the sealing performance of PCM. When sealing is sufficiently robust, the torque generated by PCM during phase change can be analyzed through analogy. For example, Mann et al. developed a macroscopic phase-change actuator that generates a high driving force in a confined space at small displacements. This actuator, with a volume of approximately 4948 mm3, can generate a driving force of 65 kN. However, as the displacement increases, the driving force drops significantly, reducing to 37.5 kN at just 0.1 mm of output displacement [16].
The significant force generated by the PCM actuator results in high internal pressure on the liquid PCM, placing stringent demands on the actuator’s sealing performance. This study aims to design a PCM actuator with enhanced sealing capabilities and large output displacement for use in outer space environments. Given the vacuum and weightlessness of space, along with the need for high displacement, this study does not prioritize output force, as PCM actuators typically experience a rapid decrease in output force with increasing displacement. Instead, the focus is on selecting the appropriate seals and structural designs that ensure higher reliability in the unique conditions of space. To achieve this, the study employs visualization and numerical simulations to investigate the phase transition process, aiming to understand how PCM properties and actuator dimensions influence the output characteristics of PCM actuators.

2. Structural Design of PCM Actuator

The design principle of the PCM actuator is to ensure that the output displacement meets the required specifications while maintaining a high level of sealing integrity. To achieve this, a linear displacement PCM actuator is proposed in this paper. The actuator has a total length of 160 mm, with a maximum flange diameter of Φ56 mm, an output rod diameter of Φ13 mm, and a cavity diameter of Φ30 mm for storing the phase change material (PCM). The structure is made of 304 stainless steel, and n-octadecane (99% purity) is used as the PCM, with a phase change temperature between 301 K and 305 K (Table 1). The overall design is divided into three main parts: the output section, the PCM storage cavity (referred to as the “cavity”), and the anti-overpressure section. The output section is responsible for generating displacement through the output rod, while the cavity stores the PCM. The anti-overpressure section is designed to prevent the structural damage caused by the continued expansion of the PCM after the specified displacement of the output rod is reached.
The PCM actuator uses a corrugated metal hose (CMH) as an elastic element (Stiffness of approx. 20 N/mm). As the PCM expands upon heating, the output rod is pushed outward, compressing the CMH. When the PCM is fully heated above its phase change temperature, the volume expansion of the PCM reaches its maximum, and the position of the output rod at this point corresponds to the actuator’s maximum output displacement. Upon cooling, the PCM contracts, releasing pressure from the compressed CMH, which causes the output rod to retract under the force of the CMH. The retraction continues until the CMH’s compression force is insufficient to push the output rod further. At this point, the output rod reaches the actuator’s zero position.
The actuator is designed to deliver a precise displacement, with a limit sleeve positioned adjacent to the output rod. This limit sleeve is securely bolted to the flange, and when the actuator reaches the specified displacement, the piston inside the output rod makes contact with the limit sleeve. The limit sleeve then prevents further extension of the output rod. The final output displacement of the actuator can be adjusted by changing the relative position between the limit sleeve and the output rod.
The anti-overpressure section protects the actuator from the damage caused by the over-expansion of PCM. After the actuator reaches the specified displacement, the volume of PCM continues to expand. The contraction of the CMH in the anti-overpressure section counteracts the excess expansion of the PCM. The shoulder’s role is to prevent the CMH from affecting the stroke at the anti-overpressure section. In the actuator’s initial state, the shoulder compresses the CMH in the anti-overpressure section by 5 mm (sleeve in Figure 2). Before the actuator delivers the specified displacement, the compression force on the CMH in the output section is less than that in the anti-overpressure section, ensuring that the CMH in the anti-overpressure section remains unaffected during the specified displacement.
The actuator is sealed using a knife-edge flange and a copper ring (Figure 3). This method involves machining a space between the flanges to accommodate the copper ring and incorporating a sharp cut-out. The sharp cutter ensures a reliable internal seal by penetrating the copper ring. For this sealing approach to be effective, the flanges must apply sufficient compression to allow the cutter to penetrate the copper ring to the required depth. Additionally, due to the high pressure resulting from the phase change in the PCM, the flange connection must maintain adequate preload to ensure a high-quality seal under pressure. To achieve this, six bolts secure the knife-edge flanges, ensuring the necessary preload force is applied [16].
A 0.1 mm gap exists between the piston and the housing (Figure 3), allowing the PCM to flow between the CMH and the cavity. To ensure a proper seal, welding is used between the CMH and the shell. At the opposite end of the piston, the PCM is sealed using a similar knife-edge flange and copper ring configuration.

3. Experimental Setup and Procedure

3.1. Experimental Setup

The experiment utilized a dial indicator as the primary instrument for the precise measurement of the output displacement. Other equipment included a data acquisition system, an Agilent DC power supply, a computer, and the PCM actuator assembly. The PCM actuator assembly itself was equipped with multilayer insulation blankets, thermocouples, and polyimide film. The actuator was wrapped in the insulation blankets to minimize external heat flow and radiation effects. As shown in Figure 4, a T-type thermocouple was used to record the temperature at the measurement point during the experiment.
The polyimide film and actuator are securely bonded using GD414C-A silicone rubber (China Bluestar Chengrand Co., Ltd., Chengdu, China). When powered by an Agilent DC power (Agilent, Santa Clara, CA, USA) supply, the polyimide film generates heat, which is transferred through the silicone rubber to the actuator housing and subsequently to the PCM inside.

3.2. Experimental Procedure

(1) Weigh and Prepare PCM: After placing the CMH into the liquid PCM, remove it and allow the PCM in the CMH gap to fully solidify. The calculated cavity volume is 29,452.43 mm3, which corresponds to a mass of 22.80 g after converting based on the PCM density. To minimize residual air in the PCM, weigh 25 g of PCM and load it into the chamber. An additional 2.2 g of PCM is used to fill the gaps between the CMH corrugation (Figure 3). Once the PCM has transformed into a paste, place the CMH in position and prepare for assembly.
(2) Assemble the PCM actuator: Mount the PCM actuator connecting flange, place the copper ring, and progressively tighten each bolt 1/12 turn at a time using a torque of 5 N·m, ensuring even tightening according to the specified pattern.
(3) Bond Polyimide Film: Use silicone rubber to bond the polyimide film to the designated location on the outer wall of the PCM actuator. Allow the adhesive to cure and rest for 24 h. After this period, switch on the DC power supply and heat the PCM actuator with constant power until the output displacement of the output rod stabilizes. Once stabilized, stop the heating and allow the system to cool to ambient temperature. This constitutes the initial state before the experiment begins. After sealing is complete, repeat heating and cooling 10 times.
(4) Install Measurement Devices: Bond the T-type thermocouple to the designated location on the PCM actuator. Connect all the necessary laboratory equipment. Completely wrap the PCM actuator with multilayer insulation blankets to minimize the external heat flow. Position the dial indicator relative to the output rod and zero the dial indicator.
(5) Heating and Data Recording: Start the DC power supply and heat the PCM actuator at constant power. During the experiment, record both temperature and displacement changes. When the output displacement of the output rod stabilizes, stop the heating and allow the system to cool to ambient temperature.
(6) Verify Temperature: Leave the actuator stationary for 20 h and monitor the temperature at the thermocouple measurement point on the outer wall of the cavity. When the temperature at the measuring point stabilizes, the internal PCM is assumed to have fully solidified.
(7) Repeat Process: Repeat steps 4 through 6 for further measurements or experiments.

4. Numerical Simulation

4.1. Governing Equations

As shown in Figure 5, the volume of the PCM varies with temperature. Within the actuator structure, the PCM is enclosed and subjected to pressure due to the CMH. Given the extended phase change time of the PCM, the flow of the liquid phase is not considered in this analysis.
The general governing equation for phase change and heat transfer is as follows:
Continuity equation:
· v = 0
Momentum equation:
ρ v t + ρ v · v = p + μ 2 v + f
Energy equation:
H t + v · H = k ρ T + Q ˙
This paper focuses on the rate of phase change and the law of volume change during the phase change process. In a confined, stressed space, the velocity distribution of the liquid phase is of no consequence [19]. The above governing Equations (1)–(3) can be simplified as one energy equation [20]:
H t = · k ρ T
This numerical simulation used the effective heat capacity model to elucidate the energy transformations occurring during phase change [21]. ∂H/∂t is replaced by Cp ∂T/∂t, then Equation (4) can be written as follows:
C p T t = · k ρ T
where the equivalent specific heat is [22]
C p = C p   s T < T s L T l T s + C p   s + C p   l 2 T s T T l C p   l T > T l
where L is the latent heat per kg of PCM and β is the liquid fraction of PCM. The unit of L is J/kg. In general, the liquid fraction is employed to indicate the degree of phase change [22]. The liquid fraction β is defined as follows:
β = 0 T < T s T T s T l T s T s < T < T l 1 T > T l

4.2. Boundary Condition

On the outside surface of the actuator, the heat transfer from the polyimide film to the surface is mainly by convection. On the outside surface of the actuator, the boundary condition is
k T w = q w

4.3. Initial Condition

At the initial time (t = 0), the temperature (T0) of the inner PCM and outwall of the actuator is assumed uniformly distributed.
T 0 = T a

4.4. Calculation of Volumetric Change Rate

During phase change, in addition to thermal expansion due to increased intermolecular distances, phase change also causes volume changes [23]. Thermal strain is defined as follows:
ε = ε s e n + ε p s
where ε s e n is the thermal strain caused by increased intermolecular distances, and ε p s is the thermal strain caused by phase change.
The ε s e n can be described as follows:
ε s e n = α s 1 β + α l β d T
The ε p s can be described as follows:
ε p s = β V l V s V s = β M / ρ l M / ρ s M / ρ s = β ρ s 1 ρ l 1 ρ s
Then, Equation (10) can be written as
ε = α s β + α l 1 β d T + β ρ s 1 ρ l 1 ρ s
Figure 5. Thermal expansion coefficient vs. temperature relationship of paraffin wax upon heating at a very slow velocity [24] with fitted curve.
Figure 5. Thermal expansion coefficient vs. temperature relationship of paraffin wax upon heating at a very slow velocity [24] with fitted curve.
Actuators 14 00096 g005

4.5. Validation of the Computational Model

The discretized algebraic equations are solved using the Full Newton iteration method, with a convergence criterion set to 0.005. The software performs implicit computations, and the grid model used for the simulation is CAX4T. This type of grid model typically refers to a 4-node, 3D, thermally coupled element used in finite element analysis (FEA), often employed to simulate thermal and structural behaviors in materials and systems. Material properties and the experimental model are based on the real model from Q. Kong [19]. To assess the validity of the numerical model, we calculated the volume expansion rate of the PCM and compared the results with the experimental data from Q. Kong [19]. The comparison, shown in Figure 6, demonstrates strong agreement between the two models. The maximum relative error is 11.1%, indicating a favorable level of consistency between the numerical and experimental results.

4.6. Computational Domains of PCM Actuator

The simulation software is used to solve the governing equations presented in this paper, with secondary development possible through the custom module of the software. The physical model used in the experiments consists of two main components: the outer wall made of 304 steel, and the inner PCM composed of n-octadecane. As the actuator is an axisymmetric structure, the model is simplified to a two-dimensional axisymmetric form, facilitating the calculation process. The computational domains and boundary conditions are illustrated in Figure 7.
The polyimide film covers the entire outer shell of the cavity. Consequently, the heat flow rate of the polyimide film is calculated by dividing the power supplied by the DC power source by the surface area of the cavity shell. This calculation is used to determine the surface heat flux input into the model.
Due to the incomplete filling of the cavity with PCM and the migration of PCM between the CMH and the cavity, part of the volume change is absorbed by the gap as the PCM expands. Therefore, the coefficient of thermal expansion (CTE) of the liquid PCM must be adjusted to account for this effect. After several trials, the CTE of the liquid PCM (αl) was determined to be 0.00021 K−1.
To determine the appropriate time step and accurately predict the phase change time, three different time steps (5 s, 10 s, and 15 s) were evaluated. As shown in Figure 8a, the displacements remained almost unchanged for time steps below 10 s, with the mean relative error less than 0.01%. Based on this, a time step of 10 s was selected for further analysis.
Additionally, the impact of different cell numbers (759, 1006, and 1528) on the displacement results was investigated to choose the optimal grid resolution. As seen in Figure 8b, when the cell number increased from 1006 to 1528, the mean relative error in displacements remained below 1.12%. Therefore, a grid with 1006 cells was chosen for the subsequent simulations.

5. Result and Discussion

5.1. Sealing Results

As shown in Figure 9, after 50 repetitions of the phase change, no leakage of the PCM was observed. The PCM was found to be fully sealed on the internal surface of the knife edge, demonstrating the effectiveness of the sealing process.

5.2. Displacement Variation

The displacement output of the actuator is divided into three distinct stages: the un-phase-change stage, the phase-change stage, and the phase-change completion stage.
As illustrated in Case 1 (Figure 10), during the 0–13 min interval, the actuator’s displacement remains limited to a maximum of 0.03 mm. In this stage, the PCM has not yet begun the phase-change process. The output displacement results from the thermal expansion of the PCM, but due to the minimal temperature change, the volume change is also insignificant.
Between 13 and 39 min, the displacement output accelerates, increasing from 0.03 mm to 1.65 mm. This acceleration occurs as the PCM begins the phase-change process. The significant volume alteration of the PCM during this stage leads to a rapid displacement output.
From 39 to 44 min, the rate of displacement output decelerates, increasing slightly from 1.65 mm to 1.72 mm. By this point, the PCM has completed its phase change, and further displacement is minimal.

5.3. Effect of Concave PCM

During the cooling stage of the actuator, the outer wall transfers heat to the surrounding environment through radiation and convection. The PCM closest to the outer wall solidifies first, and due to its low thermal conductivity, a significant temperature gradient develops between the inner and outer portions of the PCM, causing a disparity in the rate of solidification. Once the outer PCM completely solidifies, it restricts further stretching of the CMH. Meanwhile, the inner PCM continues the solidification process. Upon the full solidification of the PCM within the actuator, the PCM assumes a concave shape (Figure 11), and the gap formed in the center of this concave configuration influences the actuator’s displacement output.
A small amount of residual air is inevitably present during the PCM loading process. However, as shown in Figure 11, the volume of this gap is relatively large and does not align with the volume of the residual air. Adjusting the heat flow and cooling temperature has minimal impact on the residual air. Furthermore, the significant variation in displacement output across different experimental cases suggests that residual air is not a contributing factor.
As the cooling temperature decreases, the outer PCM solidifies more quickly, causing the central gap to enlarge (Figure 12). In Case 3, the cooling temperature of the actuator was reduced from 297 K to 279 K (Table 2). After being cooled in the 279 K ambient condition, the actuator was then rested in the 297 K environment for over 14 h, allowing the actuator’s initial temperature to return to 297 K. The data for this case are presented in Case 3 in Figure 10. Around 13 min, the actuator’s output displacement became negative. This negative displacement occurred because the outer PCM began to melt first, reducing or eliminating the restriction imposed by the solid PCM on the CMH. As the liquid PCM filled the central gap, the CMH began to extend, resulting in negative displacement. After 17 min, the displacement rate turned positive as the gap was filled with liquid PCM, and the continued expansion of the PCM volume caused the CMH to compress. The concave morphology gap in Case 2 was larger initially compared to Case 1, which resulted in a smaller final displacement in Case 3 (1.28 mm) compared to Case 1 (1.65 mm), even after the phase change was complete (39 min).
When a load is applied to the output rod during the cooling process, the outer PCM, which has not yet fully solidified, is squeezed into the intermediate gap. This process reduces the size of the concave gap (Figure 12). In Case 4, a 40 N load was applied to the output rod (Table 2). The experimental results are shown in Case 4 in Figure 10. The reduction in the gap compared to Case 1 led to the earlier filling of the gap by the liquid PCM. As a result, the actuator’s displacement output phase was advanced from 13 min to 4 min, and at 39 min, the final displacement increased from 1.65 mm to 3.34 mm.
In addition to reducing the gap, altering the phase-change velocity without changing the gap also impacts the actuator’s displacement output. In Case 2, the heat flux was increased from 715.3 W/m2 to 1073.0 W/m2 (Table 2). The results for this case are shown in Figure 10. The increased heat flux raises the amount of heat absorbed by the PCM in the same amount of time, accelerating the phase-change process. Compared to Case 1, the displacement output was advanced from 13 min to 8 min, the phase-change end time moved from 39 min to 28 min, and the final displacement increased from 1.65 mm to 2.09 mm.

5.4. Numerical Result

The temperature and thermal strain of the PCM inside the actuator are shown in Figure 13. The temperature at the top of the PCM is lower than at the bottom due to the inhomogeneous volume change in the PCM. During the phase-change process, observed at times 1000 s, 1500 s, and 2000 s in the figures, the changes in thermal strain closely follow the temperature changes. At 2500 s, the PCM has nearly completed the phase change, and the thermal strain changes become smaller. Due to the poor thermal conductivity of the PCM, the temperature distribution within the material is not uniform.
The comparison between the experimental and numerical results is presented in Figure 14. The numerical calculations do not account for the effect of the concave morphology gap, as shown in Figure 11. Before 22 min, the numerical results deviate from the experimental results because of the need for the liquid PCM to fill the central gap. After 22 min, however, the discrepancy between the numerical and experimental results, excluding the effect of the gap, is minimal and does not exceed 1.9%. Therefore, the subsequent discussion will focus on the latter portion of the numerical results, where this difference is negligible.

5.5. Effect of Thermophysical Parameters of PCMs

Phase change materials (PCMs) face limitations in energy storage and actuation applications primarily due to their low thermal conductivity properties [25]. When selecting a PCM for such applications, it is crucial to consider the material’s thermophysical parameters. Both the thermal conductivity and latent heat of phase change significantly influence the phase change process, and consequently, the displacement output characteristic (DOC) of the PCM actuator [26]. C. Vélez et al. compared various n-alkanes and observed that the latent heat of phase change increases with the number of carbon atoms in the alkane [17].
It has also been demonstrated that incorporating additives like graphite into PCMs can enhance their thermal conductivity. For instance, Amit Kumar Mishra, B.B. Lahiri, and John Philip et al. incorporated graphite nanoparticles into PCMs, achieving a 195% increase in thermal conductivity while only experiencing a 5% reduction in latent heat [27]. In another study, Bin Yang et al. showed that adding metal foam to PCMs could increase their thermal conductivity by more than 800% [28]. Additionally, the thermal uniformity of PCMs can be indirectly improved by inserting fins within the PCM-filled cavity. An optimized fin structure can reduce the total melting time by as much as 85.9% [29]. However, it is important to note that composite materials can also influence the volume expansion rate of the PCM. For example, Tong Liu et al. developed a composite PCM with a 30% higher volume expansion rate compared to the original PCM [30].
This section analyzes the effect of the thermophysical parameters of PCMs on the DOC of the actuator. The analysis involves varying the thermophysical parameters (thermal conductivity and latent heat of phase change) in equal proportions, ranging from 0.5 to 2.0 times the original parameters.
The displacement output of the phase-change actuator primarily depends on the phase-change process of the PCM. Therefore, key parameters such as the phase change completion time of the internal PCM, the actuator’s displacement at the completion of phase change, and the average displacement speed of the actuator during the phase change process are essential to evaluate. The definitions of these parameters are as follows:
Phase Change Time (tps): The duration from the start of heating the actuator until the temperature of the PCM reaches above the termination temperature of the phase change.
Maximum Displacement (ups): The actuator’s output displacement at the time of phase change completion.
Average Speed of Displacement Output ( v ¯ ): The ratio of the maximum displacement (ups) to the phase change time (tps).
v ¯ = u p s t p s
V e l o c i t y   v a r i a t i o n = v ¯ i v ¯ i 1 v ¯ i

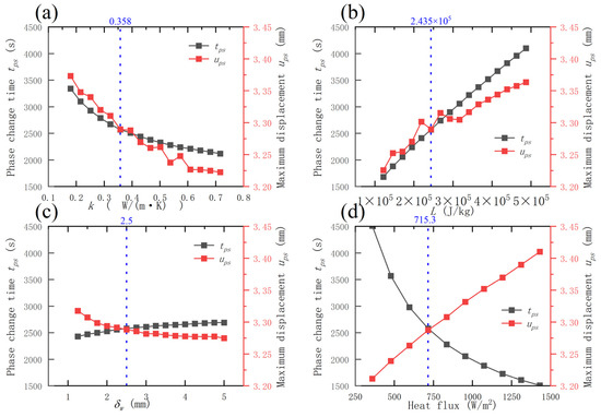
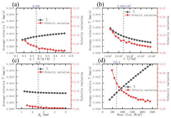
5.5.1. Effect of Coefficient of Thermal Conductivity (k)

The coefficient of thermal conductivity (k) quantifies a material’s ability to transfer thermal energy. Figure 15a compares the displacement output of the actuator at two different thermal conductivities, 0.358 W/(m·K) and 0.3222 W/(m·K). The difference between the un-phase-change and phase-change-completion stages is negligible, with a maximum discrepancy of 0.082 mm during the phase-change stage. Figure 16a shows the tps and ups of the actuator at varying thermal conductivities, ranging from 0.179 W/(m·K) to 0.716 W/(m·K). As the thermal conductivity increases, heat transfer between the PCMs accelerates, reducing tps from 3340 s to 2120 s. Shortened heating times reduce the heat transferred to the PCM, leading to a lower overall temperature, which in turn reduces ups from 3.373 mm to 3.222 mm.
Figure 17a shows the average speed of the actuator’s displacement output ( v ¯ ) under different thermal conductivities. As the thermal conductivity increases, v ¯   rises from 0.00101 mm/s to 0.00152 mm/s, but the rate of increase in v ¯ diminishes from 6.7% to 1.2%. This suggests that the impact of increasing thermal conductivity on the PCM actuator becomes less pronounced as conductivity continues to rise.

5.5.2. Effect of Latent Heat (L)

The latent heat of phase change influences the rate at which PCM temperature changes during the phase transition. For example, n-octadecane has a latent heat of phase change of 243,500 J/kg and a specific heat of 1934 J/(kg·K). The heat from a completed phase change in the PCM can warm up un-phase-changed PCM by approximately 125 K.
Figure 15b compares the displacement output at the latent heats of 219,150 J/kg and 243,500 J/kg. The difference in displacement between the un-phase-change and phase-change-completion stages is no more than 0.028 mm, with a maximum difference of 0.156 mm during the phase change. Figure 16b shows the tps and ups for different latent heats, ranging from 121,750 J/kg to 487,000 J/kg. As the latent heat increases, the heat required for phase change increases, which leads to a longer tps, extending from 1680 s to 4100 s. This prolonged heating time increases the heat transferred to the actuator, raising its overall temperature, which results in an increase in ups, from 3.226 mm to 3.363 mm.
Figure 17b shows the v ¯ at varying latent heats. As the latent heat increases, v ¯ decreases from 0.00192 mm/s to 0.00082 mm/s, and the percentage increase in v ¯ reduces from 13.1% to 3.3%. This suggests that increasing latent heat has a diminishing effect on the PCM actuator.

5.6. Effect of Boundary Conditions

To investigate the influence of boundary conditions on the phase change stage and displacement output of the actuator, two parameters are analyzed: the heat flux and the thickness of the outer wall (δw) of the actuator. The boundary of the PCM is in direct contact with the outer wall, so any changes in heat flux or δw will affect the temperature of the inner side of the outer wall, thereby influencing the temperature distribution within the PCM. This section examines how varying the δw and heat flux affects the DOC of the actuator, with parameters adjusted from 0.5 times to 2.0 times their original values. The effects are analyzed by varying one parameter while keeping the other constant.

5.6.1. Effect of Outer Wall Thickness (δw)

Figure 15c shows the displacement output for outer wall thicknesses of 2.25 mm and 2.5 mm. During the un-phase-change stage, the displacement difference is no greater than 0.033 mm. In the phase-change stage, the maximum difference is 0.143 mm, with a final discrepancy of 0.043 mm at phase change completion. Figure 16c shows the tps and ups for varying δw, ranging from 1.25 mm to 5 mm. As δw increases, tps is prolonged, increasing from 2430 s to 2690 s. Simultaneously, ups decreases from 3.318 mm to 3.275 mm.
Figure 17c presents the average speed of displacement output ( v ¯ ) for varying wall thicknesses. As δw increases, v ¯ decreases from 0.00137 mm/s to 0.00122 mm/s. Furthermore, the rate of increase in v ¯ diminishes from 2.0% to 0.1%.
The actuator is an axisymmetric structure, and increasing δw increases the heat capacity of the outer wall, reducing heat flow from the wall to the PCM. However, increasing δw also increases the outer wall’s surface area, which enhances the heating power (assuming constant heat flux). As a result, the influence of δw on the DOC of the actuator is somewhat counterbalanced.

5.6.2. Effect of Heat Flux

The heat flux determines the quantity of heat the actuator receives over a specified time interval. Figure 15d compares the displacement output for heat fluxes of 715.3 W/m2 and 834.5 W/m2. During the un-phase-change stage, the displacement difference is no greater than 0.031 mm. The maximum difference occurs during the phase change, reaching 0.329 mm, with a final discrepancy of 0.095 mm at phase change completion. Figure 16d shows the tps and ups for varying heat flux values, ranging from 357.6 W/m2 to 1430.6 W/m2. As the heat flux increases, the actuator receives more heat, reducing tps from 4510 s to 1510 s. The increased temperature of the PCM leads to a rise in the overall temperature of the PCM actuator, which increases ups from 3.211 mm to 3.410 mm.
Figure 17d presents the average speed of displacement output ( v ¯ ) for different heat flux values. As the heat flux increases, v ¯ rises from 0.00071 mm/s to 0.00343 mm, and the percentage increase in v ¯ decreases from 21.5% to 4.1%. This demonstrates that while increasing heat flux enhances the actuator’s performance, its effect diminishes with higher flux values.
This section investigates the influence of thermal conductivity, latent heat of phase change, outer wall thickness, and heat flux on the displacement output characteristic (DOC) of the actuator. Enhancements in the average velocity of the PCM actuator can be achieved by increasing the thermal conductivity, reducing the latent heat, decreasing the thickness of the outer wall, and increasing the heat flux. However, among these factors, the impact of increased thermal conductivity and heat flux on the displacement gradually diminishes with further increments.
When the original parameters are doubled, the influence on displacement reduces to 1.2% for thermal conductivity and 4.1% for heat flux. On the other hand, reducing the latent heat and outer wall thickness results in a gradual increase in the DOC. When the original parameters are reduced to 50% of their values, the effect increases to 13.1% for latent heat and 2.0% for outer wall thickness.
In the case of a 10% variation in the original parameters, the outer wall thickness has the least impact on the DOC, with a maximum difference of 0.054 mm, translating to a 1.3% effect on the average velocity. Conversely, heat flux exerts the most significant influence, resulting in a maximum displacement difference of 0.329 mm and an effect of 12.1% on the average velocity.
In practical applications, enhancing the thermal conductivity of PCM, reducing the latent heat of phase change, and increasing surface heat flux can all improve the actuator’s reaction rate. Therefore, prioritizing the optimization of these factors—maximizing thermal conductivity, minimizing latent heat, and increasing surface heat flux—will enhance performance. However, it is important to recognize that as these factors change, their impact on the PCM actuator gradually decreases. In real applications, the extent of these changes should be considered in relation to the operating environment and production costs.

6. Conclusions

This paper introduces a novel structural design for the PCM actuator, tailored to the unique properties of PCM. The displacement output characteristics (DOCs) of the actuator are analyzed through both visual experiments and numerical simulations. A two-dimensional physical model is developed to explore the effects of thermophysical parameters and boundary conditions on the actuator’s performance. The key conclusions are as follows:
(1)
To address the leakage issue of liquid PCM, the actuator is sealed using CMH and knife-edge, effectively solving the sealing challenge at moving joints. The experimental results confirm a stable displacement output of over 3 mm under a 60 mm column of PCM, with no leakage observed after 50 repeated tests.
(2)
The displacement output of the PCM actuator is accurately simulated by fitting the thermal expansion curve of the PCM, with a discrepancy of no more than 1.9% between the numerical and experimental results.
(3)
The experimental findings show that a concave gap forms inside the PCM after cooling. By adjusting the cooling load and temperature, the gap size can be controlled, minimizing its impact on displacement output.
(4)
The maximum displacement output, phase change time, and output speed of the actuator are influenced by both the PCM properties and the operating environment. Changes in one parameter can affect the other factors, and these interactions should be carefully considered.
These results emphasize critical design considerations and offer valuable insights for optimizing PCM actuators to enhance their performance.

Author Contributions

Conceptualization, S.G. and Q.W.; methodology, S.G. and Q.W.; software, S.G.; validation, S.G., X.Y. and Q.W.; formal analysis, S.G.; investigation, S.G.; resources, S.G.; data curation, S.G.; writing—original draft preparation, S.G.; writing—review and editing, X.Y. and Q.W.; visualization, S.G. and X.Y. All authors have read and agreed to the published version of the manuscript.

Funding

This research received no external funding.

Data Availability Statement

The raw data supporting the conclusions of this article will be made available by the authors on request.

Conflicts of Interest

The authors declare no conflicts of interest.

References

  1. Diaconu, B.M.; Cruceru, M.; Anghelescu, L. Phase change materials in space systems. Fundamental applications, materials and special requirements—A review. Acta Astronaut. 2024, 216, 163–213. [Google Scholar] [CrossRef]
  2. Ogden, S.; Klintberg, L.; Thornell, G.; Hjort, K.; Bodén, R. Review on miniaturized paraffin phase change actuators, valves, and pumps. Microfluid. Nanofluidics 2013, 17, 53–71. [Google Scholar] [CrossRef]
  3. Vernet, S. Sealing Means. US2368181A, 30 January 1945. [Google Scholar]
  4. Mirvakili, S.M.; Hunter, I.W. Artificial Muscles: Mechanisms, Applications, and Challenges. Adv. Mater. Weinheim. 2018, 30, 1704407. [Google Scholar] [CrossRef] [PubMed]
  5. Tibbitts, S. High output paraffin actuators: Utilization in aerospace mechanisms. In Proceedings of the 22nd Aerospace Mechanisms Symposium, Hampton, VA, USA, 4–6 May 1988; pp. 13–28. [Google Scholar]
  6. Kabei, N.; Kosuda, M.; Kagamibuchi, H.; Tashiro, R.; Mizuno, H.; Ueda, Y.; Tsuchiya, K. A Thermal-Expansion-Type Microactuator with Paraffin as the Expansive Material. (Basic Performance of a Prototype Linear Actuator): Basic performance of a prototype linear actuator. JSME Int. J. Ser. C Mech. Syst. Mach. Elem. Manuf. 1997, 40, 736–742. [Google Scholar] [CrossRef]
  7. Lee, J.S.; Lucyszyn, S. Design and pressure analysis for bulk-micromachined electrothermal hydraulic microactuators using a PCM. Sens. Actuators A Phys. 2007, 133, 294–300. [Google Scholar] [CrossRef]
  8. Cabeza, L.F.; Zsembinszki, G.; Martín, M. Evaluation of volume change in phase change materials during their phase transition. J. Energy Storage 2020, 28, 101206. [Google Scholar] [CrossRef]
  9. Ketith, S.N.; Charles, J.P.; Gajanan, C.B. Development of a Thermal Control Architecture for the Mars Exploration Rovers. AIP Conf. Proc. 2003, 654, 194–205. [Google Scholar] [CrossRef]
  10. Shinozaki, K.; Nohara, T.; Ando, M.; Okamoto, A.; Maeda, M.; Sugita, H.; Takada, S. Research and Development of Heat Switch for Future Space Missions. Trans. Jpn. Soc. Aeronaut. Space Sci. Aerosp. Technol. Jpn. 2014, 12, Po_4_7–Po_4_11. [Google Scholar] [CrossRef]
  11. Yoshikawa, I.; Yoshioka, K.; Murakami, G.; Yamazaki, A.; Tsuchiya, F.; Kagitani, M.; Sakanoi, T.; Terada, N.; Kimura, T.; Kuwabara, M.; et al. Extreme Ultraviolet Radiation Measurement for Planetary Atmospheres/Magnetospheres from the Earth-Orbiting Spacecraft (Extreme Ultraviolet Spectroscope for Exospheric Dynamics: EXCEED). Space Sci. Rev. 2014, 184, 237–258. [Google Scholar] [CrossRef]
  12. Dowen, D.E.; Hatheway, A.E. Design and implementation of a paraffin-based micropositioning actuator. Proc. SPIE Int. Soc. Opt. Eng. 1997, 3132, 127–134. [Google Scholar] [CrossRef]
  13. Liu, R.H.; Bonanno, J.; Yang, J.N.; Lenigk, R.; Grodzinski, P. Single-use, thermally actuated paraffin valves for microfluidic applications. Sens. Actuators B Chem. 2004, 98, 328–336. [Google Scholar] [CrossRef]
  14. Park, J.-M.; Cho, Y.-K.; Lee, B.-S.; Lee, J.-G.; Ko, C. Multifunctional microvalves control by optical illumination on nanoheaters and its application in centrifugal microfluidic devices. Lab Chip 2007, 7, 557–564. [Google Scholar] [CrossRef] [PubMed]
  15. Liu, B.; Yang, J.; Zhang, Z.; Yang, J.; Li, D. A phase change microactuator based on paraffin wax/expanded graphite/nickel particle composite with induction heating. Sens. Actuators A Phys. 2018, 275, 129–136. [Google Scholar] [CrossRef]
  16. Mann, A.; Germann, T.; Ruiter, M.; Groche, P. The challenge of upscaling paraffin wax actuators. Mater. Des. 2020, 190, 108580. [Google Scholar] [CrossRef]
  17. Vélez, C.; Khayet, M.; de Zárate, J.O. Temperature-dependent thermal properties of solid/liquid phase change even-numbered n-alkanes: N-Hexadecane, n-octadecane and n-eicosane. Appl. Energy 2015, 143, 383–394. [Google Scholar] [CrossRef]
  18. Cherif, Y.; Zalewski, L.; Sassine, E.; Groulx, D. Use of the inverse method to determine the thermal properties of liquid n-octadecane accounting for natural convection effect. Int. J. Heat Mass Transf. 2024, 231, 125864. [Google Scholar] [CrossRef]
  19. Kong, Q.; Ma, J.; Che, C. Theoretical and experimental study of volumetric change rate during phase change process. Int. J. Energy Res. 2009, 33, 513–525. [Google Scholar] [CrossRef]
  20. Cédric, L.B.; Anas, M.; Ryad, B.; Alain, S. Effect of Biot and Stefan numbers of a phase change material submitted to cyclic Robin conditions on the heat flux discharge. Int. J. Therm. Sci. 2024, 205, 109280. [Google Scholar] [CrossRef]
  21. Jalghaf, H.K.; Kovács, E. Simulation of phase change materials in building walls using effective heat capacity model by recent numerical methods. J. Energy Storage 2024, 83, 110669. [Google Scholar] [CrossRef]
  22. Yang, C.; Wang, X.-G.; Xu, Y.; Xu, X.-R.; Bake, M.; Wu, C.-M.; Li, Y.-R.; Yu, J.-J. Analysis of charging performance of thermal energy storage system with graded metal foam structure and active flip method. J. Energy Storage 2024, 99, 113254. [Google Scholar] [CrossRef]
  23. Dutkowski, K.; Kruzel, M.; Zajączkowski, B.; Białko, B. The experimental investigation of mPCM slurries density at phase change temperature. Int. J. Heat Mass Transf. 2020, 159, 120083. [Google Scholar] [CrossRef]
  24. Huang, W.M.; Zhao, Y.; Wang, C.C.; Ding, Z.; Purnawali, H.; Tang, C.; Zhang, J.L. Thermo/chemo-responsive shape memory effect in polymers: A sketch of working mechanisms, fundamentals and optimization. J. Polym. Res. 2012, 19, 9952. [Google Scholar] [CrossRef]
  25. Paul, U.K.; Mohtasim, S.; Kibria, G.; Das, B.K. Nano-material based composite phase change materials and nanofluid for solar thermal energy storage applications: Featuring numerical and experimental approaches. J. Energy Storage 2024, 98, 113032. [Google Scholar] [CrossRef]
  26. Arshad, A.; Jabbal, M.; Shi, L.; Yan, Y. Thermophysical characteristics and enhancement analysis of carbon-additives phase change mono and hybrid materials for thermal management of electronic devices. J. Energy Storage 2021, 34, 102231. [Google Scholar] [CrossRef]
  27. Mishra, A.K.; Lahiri, B.; Philip, J. Carbon black nano particle loaded lauric acid-based form-stable phase change material with enhanced thermal conductivity and photo-thermal conversion for thermal energy storage. Energy 2020, 191, 116572. [Google Scholar] [CrossRef]
  28. Yang, B.; Zhang, R.; Gao, Z.; Yu, X. Effect of nanoparticles and metal foams on heat transfer properties of PCMs. Int. J. Therm. Sci. 2022, 179, 107567. [Google Scholar] [CrossRef]
  29. Zhang, J.; Wen, S.; Liu, S.; Liu, J. Numerical study on melting process and heat transfer analysis of a multitube combination latent heat storage unit with innovative harpoon-type fins. Appl. Therm. Eng. 2023, 233, 121168. [Google Scholar] [CrossRef]
  30. Liu, T.; Sha, H.; Li, M.; Sun, M.; Chen, G.; Wang, J.; Jiang, D. A composite phase change material with large volume change rate for thermal underwater glider. Appl. Therm. Eng. 2023, 235, 121388. [Google Scholar] [CrossRef]
Figure 1. Energy density of different actuator materials (adapted by the author) [2].
Figure 1. Energy density of different actuator materials (adapted by the author) [2].
Actuators 14 00096 g001
Figure 2. Design of the PCM actuator in a cross-sectional view.
Figure 2. Design of the PCM actuator in a cross-sectional view.
Actuators 14 00096 g002
Figure 3. PCM is enclosed within the actuator by CMH and a knife-edge flange.
Figure 3. PCM is enclosed within the actuator by CMH and a knife-edge flange.
Actuators 14 00096 g003
Figure 4. Experimental system.
Figure 4. Experimental system.
Actuators 14 00096 g004
Figure 6. The comparison of the simulation results between the numerical result (Num) and experimental result (Kong, Q.) [19].
Figure 6. The comparison of the simulation results between the numerical result (Num) and experimental result (Kong, Q.) [19].
Actuators 14 00096 g006
Figure 7. Computational domains and boundary conditions.
Figure 7. Computational domains and boundary conditions.
Actuators 14 00096 g007
Figure 8. The performed analyses for the grid number (a) and time-step size (b) independence tests.
Figure 8. The performed analyses for the grid number (a) and time-step size (b) independence tests.
Actuators 14 00096 g008
Figure 9. Sealing results displayed after 50 repetitions.
Figure 9. Sealing results displayed after 50 repetitions.
Actuators 14 00096 g009
Figure 10. The out displacement of actuator comparing different cases.
Figure 10. The out displacement of actuator comparing different cases.
Actuators 14 00096 g010
Figure 11. Concave PCM state after solidification.
Figure 11. Concave PCM state after solidification.
Actuators 14 00096 g011
Figure 12. Schema of central gap in different cases.
Figure 12. Schema of central gap in different cases.
Actuators 14 00096 g012
Figure 13. The temperature (left) and thermal strain (right) for the simulation result.
Figure 13. The temperature (left) and thermal strain (right) for the simulation result.
Actuators 14 00096 g013
Figure 14. The results of experimental (Exp) and numerical calculation (Num).
Figure 14. The results of experimental (Exp) and numerical calculation (Num).
Actuators 14 00096 g014
Figure 15. Displacement output results after 10% parameter change. (a) k, (b) L, (c) δw, and (d) heat flux.
Figure 15. Displacement output results after 10% parameter change. (a) k, (b) L, (c) δw, and (d) heat flux.
Actuators 14 00096 g015
Figure 16. Results of the tps and ups for the 0.5× to 2.0× parameters. (a) k, (b) L, (c) δw, and (d) heat flux.
Figure 16. Results of the tps and ups for the 0.5× to 2.0× parameters. (a) k, (b) L, (c) δw, and (d) heat flux.
Actuators 14 00096 g016
Figure 17. Results of the average velocity and velocity variation for the 0.5× to 2.0× parameters. (a) k, (b) L, (c) δw, and (d) heat flux.
Figure 17. Results of the average velocity and velocity variation for the 0.5× to 2.0× parameters. (a) k, (b) L, (c) δw, and (d) heat flux.
Actuators 14 00096 g017
Table 1. Thermo-physical properties of the 304 steel and PCM [17,18].
Table 1. Thermo-physical properties of the 304 steel and PCM [17,18].
PropertiesN-Octadecane304Steel
ρ (kg/m3)7747930
Cp (J/(kg*K))1934502
k (W/(m*K))0.35816.3
L (J/kg)243,500
Ts~Tl (K)301~305
α (K-1)9.1*10−4
Table 2. Operating conditions for Cases 1–4.
Table 2. Operating conditions for Cases 1–4.
CaseHeat Flux (W/m2)Cooling Temperatures (K)Ambient Temperatures (K)Load During Cooling (N)
1715.32972970
21073.02972970
3715.32792970
4715.329729740
Disclaimer/Publisher’s Note: The statements, opinions and data contained in all publications are solely those of the individual author(s) and contributor(s) and not of MDPI and/or the editor(s). MDPI and/or the editor(s) disclaim responsibility for any injury to people or property resulting from any ideas, methods, instructions or products referred to in the content.

Share and Cite

MDPI and ACS Style

Guo, S.; Yang, X.; Wu, Q. Design and Performance Analysis of an All-Metal Phase-Change-Material Actuator for Enhanced Sealing and Displacement Output Characteristics. Actuators 2025, 14, 96. https://doi.org/10.3390/act14020096

AMA Style

Guo S, Yang X, Wu Q. Design and Performance Analysis of an All-Metal Phase-Change-Material Actuator for Enhanced Sealing and Displacement Output Characteristics. Actuators. 2025; 14(2):96. https://doi.org/10.3390/act14020096

Chicago/Turabian Style

Guo, Shuaiqi, Xianwei Yang, and Qingwen Wu. 2025. "Design and Performance Analysis of an All-Metal Phase-Change-Material Actuator for Enhanced Sealing and Displacement Output Characteristics" Actuators 14, no. 2: 96. https://doi.org/10.3390/act14020096

APA Style

Guo, S., Yang, X., & Wu, Q. (2025). Design and Performance Analysis of an All-Metal Phase-Change-Material Actuator for Enhanced Sealing and Displacement Output Characteristics. Actuators, 14(2), 96. https://doi.org/10.3390/act14020096

Note that from the first issue of 2016, this journal uses article numbers instead of page numbers. See further details here.

Article Metrics

Back to TopTop