Bearing-Based Formation Control of Multi-UAV Systems with Conditional Wind Disturbance Utilization
Abstract
1. Introduction
2. Problem Statement
2.1. Wind Disturbance Modeling
2.2. Mathematical Model
2.3. Bearing Rigidity and Control Goal
2.4. Formation Control Objective
3. Bearing Formation Control Scheme
3.1. Disturbance Observer
3.2. Bearing-Rigid Formation Controller
3.3. Conditional Disturbance Utilization
3.4. Control Law Design
4. Stability Analysis
4.1. Stability of the Disturbance Observer
4.2. Formation System Stability Analysis
5. Simulation
5.1. Wind Disturbance Simulation
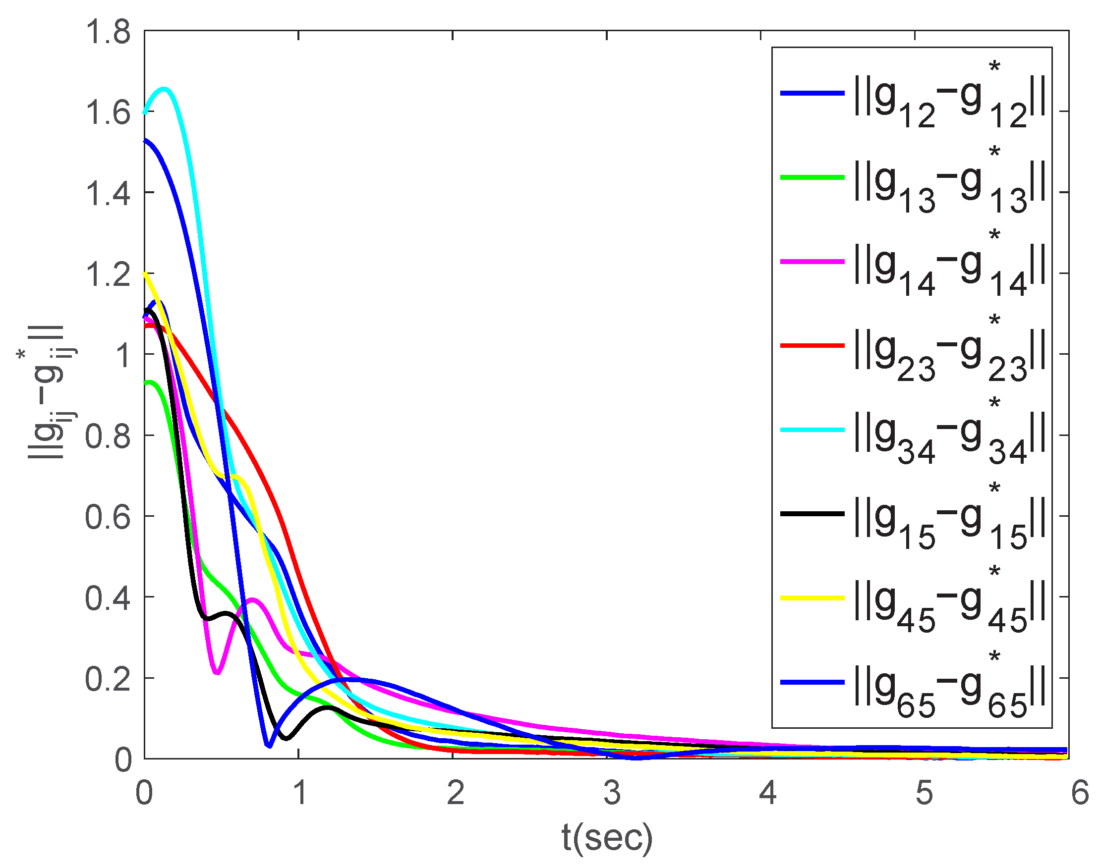
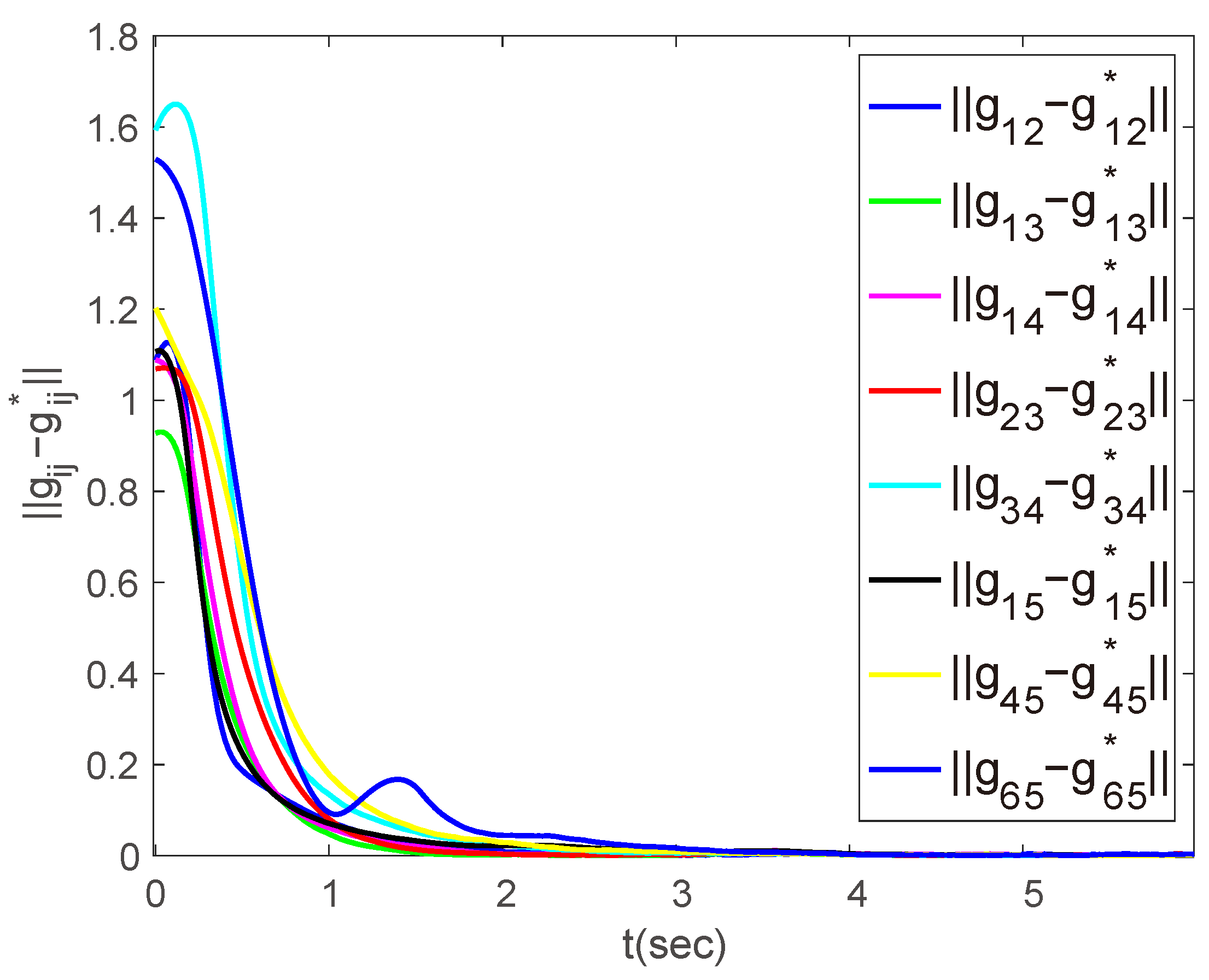
5.2. Case 1
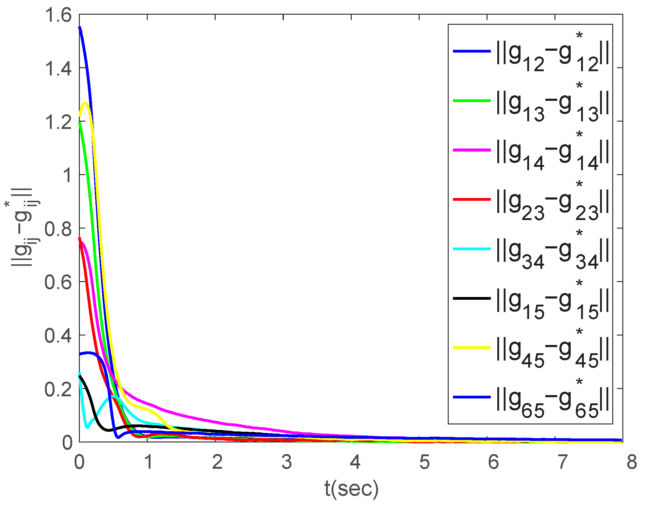
5.3. Case 2
6. Conclusions
Author Contributions
Funding
Institutional Review Board Statement
Informed Consent Statement
Data Availability Statement
Conflicts of Interest
References
- Zhu, X.; Gao, Y.; Li, Y.; Li, B. Fast Dynamic P-RRT*-Based UAV Path Planning and Trajectory Tracking Control Under Dense Obstacles. Actuators 2025, 14, 211. [Google Scholar] [CrossRef]
- Wang, H.; Li, W.; Ning, J. Collision Avoidance and Formation Tracking Control for Heterogeneous UAV/USV Systems with Input Quantization. Actuators 2025, 14, 309. [Google Scholar] [CrossRef]
- Satoh, Y.; Ohno, K. Robust Attitude Stabilization of Rigid Bodies Based on Control Lyapunov Function: Experimental Verification on a Quadrotor Testbed. Actuators 2025, 14, 509. [Google Scholar] [CrossRef]
- Zheng, Z.; Tong, S.; Wang, E.; Zhu, Y.; Shao, J. Robust Consensus Tracking Control for Multi-Unmanned-Aerial-Vehicle (UAV) System Subjected to Measurement Noise and External Disturbance. Drones 2025, 9, 61. [Google Scholar] [CrossRef]
- Di Ferdinando, M.; Bianchi, D.; Di Gennaro, S.; Pepe, P. On the Robust Quantized Sampled–Data Leaderless Consensus Tracking of Nonlinear Multi–Agent Systems. In Proceedings of the 2021 60th IEEE Conference on Decision and Control (CDC), Austin, TX, USA, 13–17 December 2021; pp. 3263–3268. [Google Scholar]
- Yuan, Q.; Li, X. Distributed Model Predictive Formation Control for a Group of UAVs With Spatial Kinematics and Unidirectional Data Transmissions. IEEE Trans. Netw. Sci. Eng. 2023, 10, 3209–3222. [Google Scholar] [CrossRef]
- Pan, Z.; Zhang, C.; Xia, Y.; Xiong, H.; Shao, X. An Improved Artificial Potential Field Method for Path Planning and Formation Control of the Multi-UAV Systems. IEEE Trans. Circuits Syst. II Express Briefs 2022, 69, 1129–1133. [Google Scholar] [CrossRef]
- Liu, R.; Qu, B.; Wei, T.; Zhang, L.; Yan, L.; Chai, X. Research on UAV Formation Obstacle Avoidance Based on Consistency Control. In Proceedings of the 2023 IEEE 12th Data Driven Control and Learning Systems Conference (DDCLS), Xiangtan, China, 12–14 May 2023; pp. 155–160. [Google Scholar]
- Wang, P.; Duan, G.; Li, P.; Wang, L. Adaptive Formation Control of Nonlinear High-Order Fully Actuated Multiagent Systems With Full-State Constraints and Its Application. IEEE Trans. Cybern. 2025, 55, 5002–5013. [Google Scholar] [CrossRef] [PubMed]
- Bouskela, A.; Kling, A.; Schuler, T.; Shkarayev, S.; Kalita, H.; Thangavelautham, J. Mars Exploration Using Sailplanes. Aerospace 2022, 9, 306. [Google Scholar] [CrossRef]
- Aranda, M.; López-Nicolás, G.; Sagüés, C.; Zavlanos, M.M. Distributed Formation Stabilization Using Relative Position Measurements in Local Coordinates. IEEE Trans. Autom. Control 2016, 61, 3925–3935. [Google Scholar] [CrossRef]
- Jing, G.; Wang, L. Multiagent Flocking With Angle-Based Formation Shape Control. IEEE Trans. Autom. Control 2020, 65, 817–823. [Google Scholar] [CrossRef]
- Zhang, H.; Gong, B. Multi-target bearing-only measurement association and IOD method for pseudo-coplanar orbits in dual-satellite systems. Acta Astronaut. 2025, 236, 1236–1248. [Google Scholar] [CrossRef]
- Bao, B.; Luo, C.; Hong, Y.; Chen, Z.; Fan, X. High-Precision UAV Positioning Method Based on MLP Integrating UWB and IMU. Tsinghua Sci. Technol. 2025, 30, 1315–1328. [Google Scholar] [CrossRef]
- Gaynutdinov, R.; Chermoshentsev, S. Electromagnetic Disturbance Study in On-board Equipment Coupling Paths of UAVs at Electromagnetic Influences from Radio Transmitters Antennas. In Proceedings of the 2019 International Russian Automation Conference (RusAutoCon), Sochi, Russia, 8–14 September 2019; pp. 1–5. [Google Scholar]
- Wei, L.; Tan, M.K.; Lim, K.G.; Teo, K.T.K. Adaptive Disturbance Stability Control for Uncrewed Aerial Vehicles Based on Radial Basis Function Neural Networks and Backstepping Sliding-Mode Control. IEEE Trans. Aerosp. Electron. Syst. 2025, 61, 11208–11219. [Google Scholar] [CrossRef]
- Zhang, D.; Wang, Y.; Meng, L.; Yan, J.; Qin, C. Adaptive critic design for safety-optimal FTC of unknown nonlinear systems with asymmetric constrained-input. ISA Trans. 2024, 155, 309–318. [Google Scholar] [CrossRef] [PubMed]
- Tong, L.; Gan, X.; Wu, Y.; Yang, N.; Lv, M. An ADS-B Information-Based Collision Avoidance Methodology to UAV. Actuators 2023, 12, 165. [Google Scholar] [CrossRef]
- Zhan, Q.; Shen, R.; Zhou, Y.; Zhang, J.; Sun, C.; Guo, F.; He, B. Multimodal adaptive anti-disturbance control for UAV trajectory tracking in hydropower penstock inspections. Control Eng. Pract. 2025, 165, 106615. [Google Scholar] [CrossRef]
- Meng, W.; Zhang, X.; Zhou, L.; Guo, H.; Hu, X. Advances in UAV Path Planning: A Comprehensive Review of Methods, Challenges, and Future Directions. Drones 2025, 9, 376. [Google Scholar] [CrossRef]
- Zhang, D.; Yu, C.; Li, Z.; Qin, C.; Xia, R. A lightweight network enhanced by attention-guided cross-scale interaction for underwater object detection. Appl. Soft Comput. 2025, 184, 113811. [Google Scholar] [CrossRef]
- Tan, G.; Wang, T. A New Result on H∞ Filtering Criterion Based on Improved Techniques. Circuits Syst. Signal Process. 2025. [Google Scholar] [CrossRef]
- Huang, Z.; Chen, M.; Shi, P. Disturbance Utilization-Based Tracking Control for the Fixed-Wing UAV With Disturbance Estimation. IEEE Trans. Circuits Syst. I Regul. Pap. 2023, 70, 1337–1349. [Google Scholar] [CrossRef]
- Guo, Z.; Guo, J.; Zhou, J.; Chang, J. Robust Tracking for Hypersonic Reentry Vehicles via Disturbance Estimation-Triggered Control. IEEE Trans. Aerosp. Electron. Syst. 2020, 56, 1279–1289. [Google Scholar] [CrossRef]
- Kong, S.; Sun, J.; Wang, J.; Zhou, Z.; Shao, J.; Yu, J. Piecewise Compensation Model Predictive Governor Combined With Conditional Disturbance Negation for Underactuated AUV Tracking Control. IEEE Trans. Ind. Electron. 2023, 70, 6191–6200. [Google Scholar] [CrossRef]
- Chen, P.; Zhang, G.; Guan, T.; Yuan, M.; Shen, J. The Motion Controller Based on Neural Network S-Plane Model for Fixed-Wing UAVs. IEEE Access 2021, 9, 93927–93936. [Google Scholar] [CrossRef]
- Akhtar, Z.; Naqvi, S.A.Z.; Hamayun, M.T.; Ahsan, M.; Nadeem, A.; Muyeen, S.M.; Oshnoei, A. Incorporation of Robust Sliding Mode Control and Adaptive Multi-Layer Neural Network-Based Observer for Unmanned Aerial Vehicles. IEEE Access 2024, 12, 98107–98120. [Google Scholar] [CrossRef]
- Li, J.; Bai, J.; Wang, J. High-Precision Trajectory-Tracking Control of Quadrotor UAVs Based on an Improved Crested Porcupine Optimiser Algorithm and Preset Performance Self-Disturbance Control. Drones 2025, 9, 420. [Google Scholar] [CrossRef]
- Qin, C.; Ran, X.; Zhang, D. Unsupervised image stitching based on Generative Adversarial Networks and feature frequency awareness algorithm. Appl. Soft Comput. 2025, 183, 113466. [Google Scholar] [CrossRef]
- Qin, C.; Pang, M.; Wang, Z.; Hou, S.; Zhang, D. Observer based fault tolerant control design for saturated nonlinear systems with full state constraints via a novel event-triggered mechanism. Eng. Appl. Artif. Intell. 2025, 161, 112221. [Google Scholar] [CrossRef]
- Qin, C.; Hou, S.; Pang, M.; Wang, Z.; Zhang, D. Reinforcement learning-based secure tracking control for nonlinear interconnected systems: An event-triggered solution approach. Eng. Appl. Artif. Intell. 2025, 161, 112243. [Google Scholar] [CrossRef]
- Wang, W.; Yi, Y.; Qiao, J.; Cao, S.; Yang, J.; Yu, J. Flexible Antidisturbance Control for a Class of Discrete-Time Systems With Packet Loss Based on Conditional Disturbance Utilization. IEEE Trans. Ind. Inform. 2025, 21, 9365–9376. [Google Scholar] [CrossRef]









| Metric | CDU | DOBC | Improvement |
|---|---|---|---|
| Convergence time (s) | 3.8 | 6.0 | 36.7% faster |
| Formation distance (m) | 19.8 | 17.1 | 15.8% farther |
| Metric | CDU | DOBC | Improvement |
|---|---|---|---|
| Convergence time (s) | 6.9 | 8.0 | 13.8% faster |
| Formation distance (m) | 12.8 | 10.6 | 26.4% farther |
Disclaimer/Publisher’s Note: The statements, opinions and data contained in all publications are solely those of the individual author(s) and contributor(s) and not of MDPI and/or the editor(s). MDPI and/or the editor(s) disclaim responsibility for any injury to people or property resulting from any ideas, methods, instructions or products referred to in the content. |
© 2025 by the authors. Licensee MDPI, Basel, Switzerland. This article is an open access article distributed under the terms and conditions of the Creative Commons Attribution (CC BY) license (https://creativecommons.org/licenses/by/4.0/).
Share and Cite
Wang, Q.; Shen, Y.; Zhang, Y.; Pan, Z. Bearing-Based Formation Control of Multi-UAV Systems with Conditional Wind Disturbance Utilization. Actuators 2025, 14, 586. https://doi.org/10.3390/act14120586
Wang Q, Shen Y, Zhang Y, Pan Z. Bearing-Based Formation Control of Multi-UAV Systems with Conditional Wind Disturbance Utilization. Actuators. 2025; 14(12):586. https://doi.org/10.3390/act14120586
Chicago/Turabian StyleWang, Qin, Yuhang Shen, Yanmeng Zhang, and Zhenqi Pan. 2025. "Bearing-Based Formation Control of Multi-UAV Systems with Conditional Wind Disturbance Utilization" Actuators 14, no. 12: 586. https://doi.org/10.3390/act14120586
APA StyleWang, Q., Shen, Y., Zhang, Y., & Pan, Z. (2025). Bearing-Based Formation Control of Multi-UAV Systems with Conditional Wind Disturbance Utilization. Actuators, 14(12), 586. https://doi.org/10.3390/act14120586

