Diagnosis Model for the Intelligence of Dual-Clutch Transmission Control Systems Based on Utility Weights
Abstract
1. Introduction
2. DCT Control System Dynamics Model and Its Intelligence Analysis
2.1. Analysis of DCT Vehicle Transmission Model
2.2. Construction and Analysis of the Dynamics Model for the DCT Control Process
- 1.
- The system consists of elastic and inertial components with concentrated masses.
- 2.
- Torsional vibrations in the transmission system and the attenuation effects of clutch thermal dynamics are neglected.
- 3.
- The elasticity between bearings, gears, and their related components is ignored.
- 4.
- System backlash and the engagement process of synchronizers are neglected.
- 1.
- Dynamics Analysis of the Clutch Torque Transmission Model
- 2.
- Dynamics Analysis of Vehicle Load During Operation
- 3.
- Dynamics Analysis of the DCT Starting Process
- 4.
- Dynamics Analysis of the DCT Gear-Shifting Process
2.3. Definition for the Intelligence of DCT Control Systems
3. Analysis and Construction of Diagnosis Model for the Intelligence of DCT Control Systems
3.1. Analysis of Diagnostic Principle and Function Construction for the Intelligence
3.2. Establishment of Weight Matrices Based on the AHP
3.3. Construction of the Intelligence Diagnosis Model Based on Utility Weights
4. Experiments and Analysis
4.1. Construction of the Integrated Testing System for DCT Vehicle Driving Data
4.2. Experiment Design for DCT Vehicles Based on Multi-Dimensional Scenarios
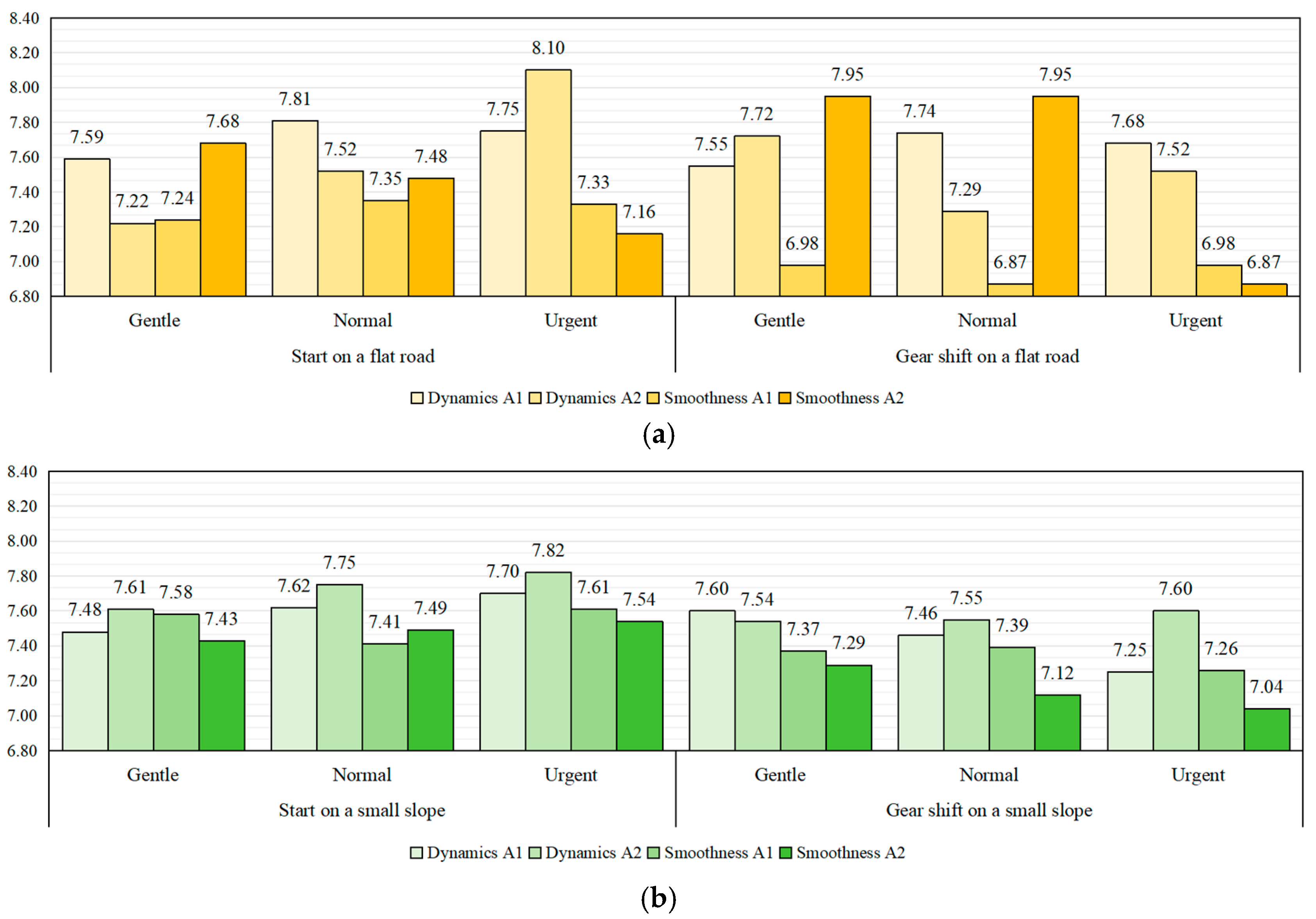
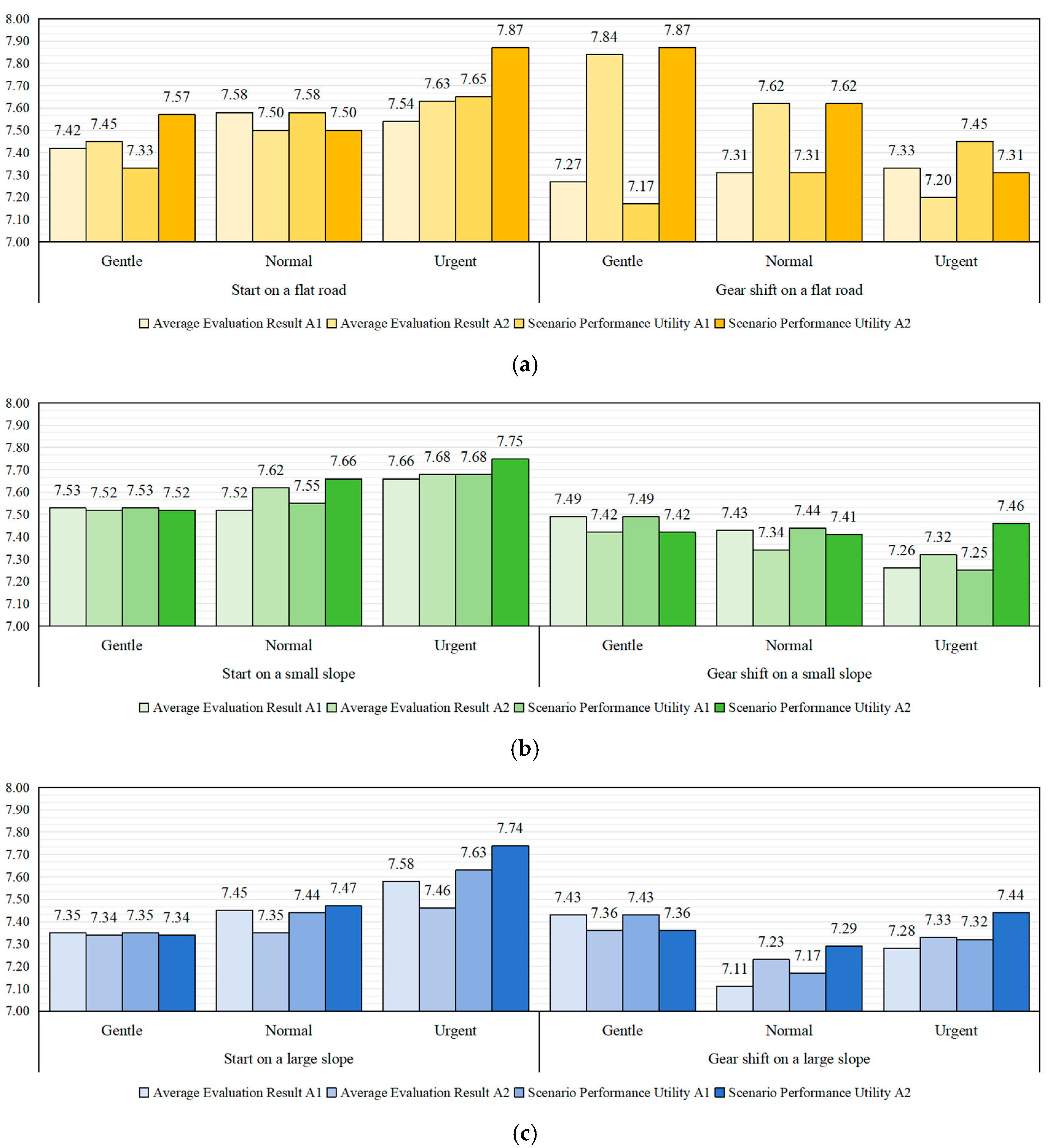
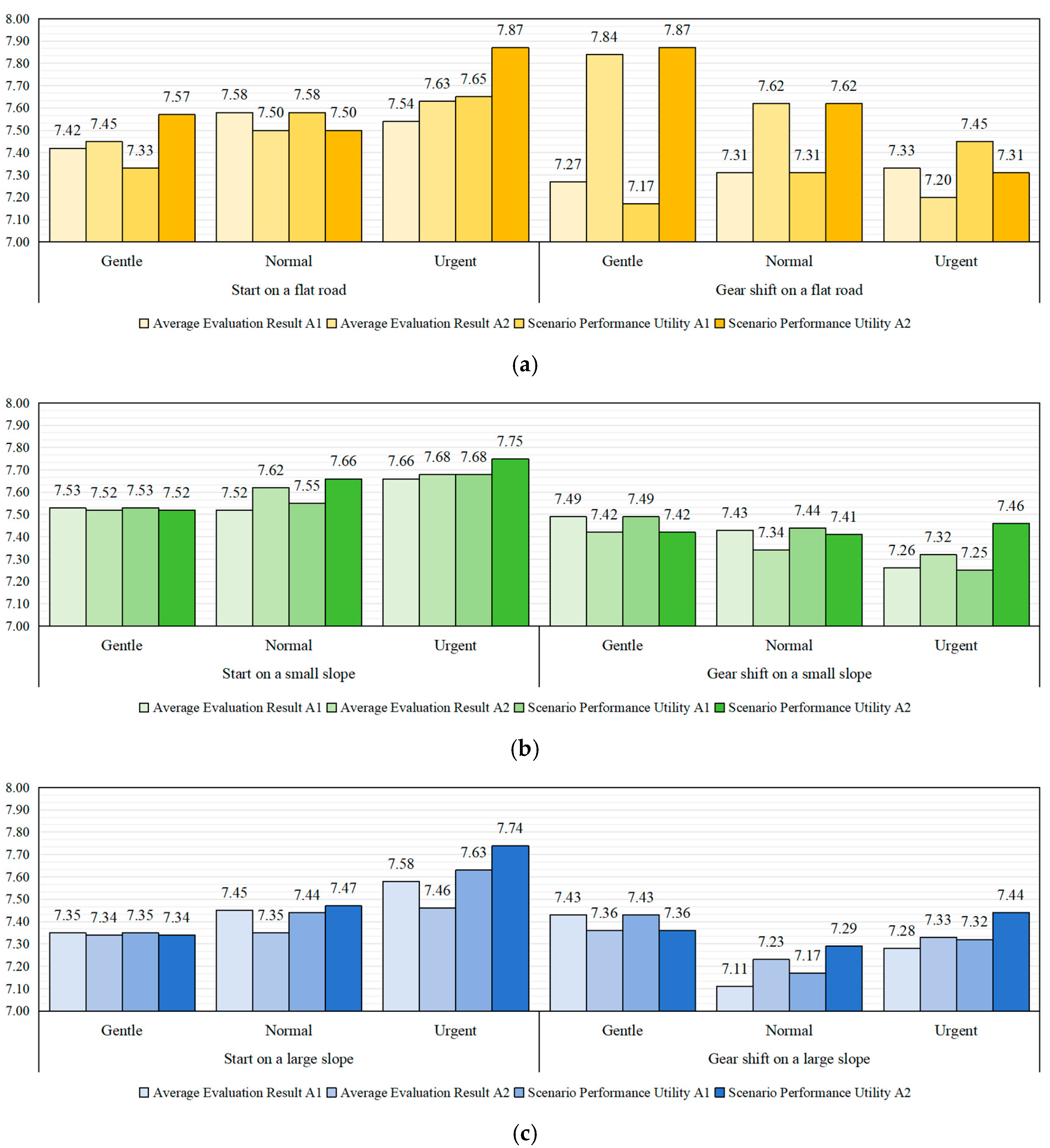
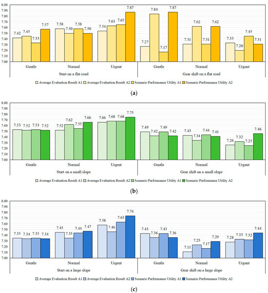
4.3. Results Analysis
5. Conclusions
Author Contributions
Funding
Data Availability Statement
Conflicts of Interest
Abbreviations
| DCT | Dual-clutch Transmission |
| AHP | Analytic Hierarchy Process |
| ECU | Engine Control Unit |
| TCU | Transmission Control Unit |
| VCU | Vehicle Control Unit |
| CAN | Controller Area Network |
| DCM | Discrete Choice Model |
References
- Lu, K.-F.; Liu, Y.; Peng, Z.-R. Unraveling urban bike-sharing dynamics: Spatiotemporal imbalances in bike rentals and returns in Washington D.C. Cities 2025, 162, 105967. [Google Scholar] [CrossRef]
- Liu, Y.; Lu, K.; Peng, Z.-R.; Zhai, W. Autonomous shuttle acceptance in an American suburban context: A revealed preference study in Lake Nona, Florida. Travel Behav. Soc. 2024, 37, 100865. [Google Scholar] [CrossRef]
- China Association of Automobile Manufacturers; China Automotive Technology and Research Center Co., Ltd.; Beijing Automotive Group Co., Ltd. Automotive Industry Blue Book: Annual Report on China’s Automotive Industry Development (2023); Social Sciences Academic Press: Beijing, China, 2023. [Google Scholar]
- Lu, C. Research on the Construction and Optimization of Dynamic Models Based on Subjective Evaluation of Passenger Vehicles. Master’s Thesis, Tongji University, Shanghai, China, 2018. [Google Scholar]
- Lei, Y.; Zhang, Y.; Fu, Y.; Wang, L.; Zhang, L. Objective Evaluation Model of Automatic Transmission Shift Quality Based on Multi-Hierarchical Grey Relational Analysis; SAE International: Warrendale, PA, USA, 2018. [Google Scholar]
- Huang, W.; Liu, H.J. Application of fuzzy dynamic weights drivability evaluation model in tip-in condition. J. Vib. Control 2019, 25, 9. [Google Scholar] [CrossRef]
- Zhou, W.; Guo, X.; Pei, X.; Zhang, C.; Xia, J. Objective Evaluation of Drivability in Passenger Cars with Dual-Clutch Transmission: A Case Study of Static Gearshift Condition. Math. Probl. Eng. 2020, 2020, 2061083. [Google Scholar] [CrossRef]
- Zhou, W.; Guo, X.; Zhang, C.; Yan, J.; Xia, J. A novel objective evaluation method of drivability for passenger cars considering subjective and objective consistency. Proc. Inst. Mech. Eng. Part D J. Automob. Eng. 2023, 237, 607–621. [Google Scholar] [CrossRef]
- Wang, W.; Wu, L.G.; Li, X.; Qu, F.F.; Li, W.B.; Ma, Y.Y.; Ma, D.H. An Evaluation Method for Automated Vehicles Combining Subjective and Objective Factors. Machines 2023, 11, 597. [Google Scholar] [CrossRef]
- Wang, Y. Comprehensive Performance Evaluation of Autonomous Driving Products with Integrated Driving and Parking for Company A. Master’s Thesis, Zhejiang University, Hangzhou, China, 2024. [Google Scholar]
- Liu, C. Research on AUV Intelligence Evaluation Index System and Evaluation Method. Master’s Thesis, Harbin Engineering University, Harbin, China, 2022. [Google Scholar]
- Matthes, B. Dual Clutch Transmissions—Lessons Learned and Future Potential. SAE Trans. 2005, 114, 941–952. [Google Scholar]
- Wu, G.; Yang, W.; Qin, D. Key technologies of control system for dual clutch transmission. J. Mech. Eng. 2007, 43, 13–21. [Google Scholar] [CrossRef]
- Jiang, L. Modern Automotive Technology, 3rd ed.; Peking University Press: Beijing, China, 2018. [Google Scholar]
- Wang, M. Intelligent Launch Control of Dual Clutch Transmission Based on Data-Driven Approach. Master’s Thesis, Chongqing University, Chongqing, China, 2020. [Google Scholar]
- Liu, Y. Research on Integrated Matching Control of Passenger Car Dual Clutch Automatic Transmission System. Ph.D. Thesis, Chongqing University, Chongqing, China, 2010. [Google Scholar]
- Wan, Y. Research on Intelligent Shift Control of DCT Based on Data-Driven Approach. Master’s Thesis, Chongqing University, Chongqing, China, 2020. [Google Scholar]
- Xu, Z.Y.; Liu, H.J. Research on the DCT vehicle starting process evaluation based on LSTM neural network with attention mechanism. J. Mech. Sci. Technol. 2024, 38, 4743–4756. [Google Scholar] [CrossRef]
- Liu, Z.; Qin, D.; Ye, M.; Hu, J. Research progress analysis of dual clutch automatic transmission technology for vehicles. Trans. Chin. Soc. Agric. Mach. 2005, 36, 167–170. [Google Scholar]
- Xing, Z. Analysis and Evaluation of DCT Control Quality Considering Driving Intention and Driving Environment. Master’s Thesis, Tongji University, Shanghai, China, 2022. [Google Scholar]
- Sun, Y. Research on Shift Model and Shift Quality Evaluation System of Six-Speed DCT. Master’s Thesis, Hefei University of Technology, Hefei, China, 2015. [Google Scholar]
- Peng, Z.-R.; Lu, K.-F.; Liu, Y.; Zhai, W. The Pathway of Urban Planning AI: From Planning Support to Plan-Making. J. Plan. Educ. Res. 2023, 44, 2263–2279. [Google Scholar] [CrossRef]
- Ma, Y.; Yang, X.; Li, R.; Tian, H. Intelligent and Connected Vehicle Testing and Evaluation Technology; China Communications Press: Beijing, China, 2022. [Google Scholar]
- Mao, C.; Mang, X. Intelligent Control-Based Vehicle Technology: Principles and Applications; Central South University Press: Changsha, China, 2021. [Google Scholar]
- Yu, X. Research and Development of China’s Strategic Emerging Industries: Intelligent Vehicles; China Machine Press: Beijing, China, 2020. [Google Scholar]
- Zhao, X.; Guo, W.; Li, L.; Guan, L. Intelligent Vehicle Measurement and Control Technology; China Communications Press: Beijing, China, 2022. [Google Scholar]
- Zhang, X. How Cars Become Intelligent; Publishing House of Electronics Industry: Beijing, China, 2023. [Google Scholar]
- Jing, H.; Ji, Z.; Peng, X.; Hu, L. Driving Style Adaptive Lane-changing Trajectory Planning and Control. China J. Highw. Transp. 2019, 32, 226–239+247. [Google Scholar] [CrossRef]
- Guo, Z.; Qin, D.; Li, A.; Feng, J.; Liu, Y. Influence of random road excitation on DCT vehicle dynamic characteristics during starting and shifting. J. Mech. Sci. Technol. 2023, 37, 4567–4582. [Google Scholar] [CrossRef]
- Xu, Z.; Liu, H.; Xing, Z. Estimation of Road Slope Based on IMU Error Compensation and GPS Based Multi-Sensor Fusion. In Volume 5: Dynamics, Vibration, and Control, Proceedings of the ASME International Mechanical Engineering Congress and Exposition, Columbus, OH, USA, 30 October–3 November 2022; American Society of Mechanical Engineers: New York, NY, USA, 2022. [Google Scholar]
- Nie, C.; Jia, S. Basic principles and development evolution of discrete choice models. J. Quant. Tech. Econ. 2005, 22, 151–159. [Google Scholar]
- Berry, S.T. Estimating Discrete-Choice Models of Product Differentiation. Rand J. Econ. 1994, 25, 242–262. [Google Scholar] [CrossRef]
- Greene, W.H.; Hensher, D.A. A latent class model for discrete choice analysis: Contrasts with mixed logit. Transp. Res. Part B Methodol. 2003, 37, 681–698. [Google Scholar] [CrossRef]
- Duan, P. Theory and Application Research of Discrete Choice Models; World Book Publishing Guangdong Company: Guangzhou, China, 2014. [Google Scholar]
- Wu, S.; Shi, Q.; Lu, H. Research on nonlinear utility discrete choice model for urban passenger travel. J. Wuhan Univ. Technol. 2008, 30, 108–111. [Google Scholar]
- Su, Z. Sales Forecasting and Discrete Choice Models in Automotive Market. Ph.D. Thesis, University of Science and Technology of China, Hefei, China, 2009. [Google Scholar]
- Ra, K.; Chang, S. An Improved Cost-Benefit Criterion Using Utility Theory. Trans. Am. Nucl. Soc. 1984, 46, 523–525. [Google Scholar]
- Wallenius, J.; Dyer, J.S.; Fishburn, P.C.; Steuer, R.E.; Zionts, S.; Deb, K. Multiple criteria decision making, multiattribute utility theory: Recent accomplishments and what lies ahead. Manag. Sci. 2008, 54, 1336–1349. [Google Scholar] [CrossRef]
- Dyer, J.S.; Fishburn, P.C.; Steuer, R.E.; Wallenius, J.; Zionts, S. Multiple Criteria Decision-Making, Multiattribute Utility-Theory—The Next 10 Years. Manag. Sci. 1992, 38, 645–654. [Google Scholar] [CrossRef]
- Wu, Y. Development of Multi-Source Vehicle Performance Parameter Detection System Under Precise Control of Throttle Opening. Master’s Thesis, Tongji University, Shanghai, China, 2022. [Google Scholar]
- JTG B01-2014; Technical Standard of Highway Engineering. Ministry of Transport of China: Beijing, China, 2014.













| No | Notation | Parameter |
|---|---|---|
| 1 | Engine output torque | |
| 2 | Reaction torque of clutch 1 on the engine input shaft | |
| 3 | Reaction torque of clutch 2 on the engine input shaft | |
| 4 | Torque transmitted by clutch 1 | |
| 5 | Torque transmitted by clutch 2 | |
| 6 | Reaction torque of clutch 1 on the engine output shaft | |
| 7 | Reaction torque of clutch 2 on the engine output shaft | |
| 8 | Resistance torque experienced by the DCT vehicle during operation | |
| 9 | Rotational speed of the engine and input shaft | |
| 10 | Rotational speed of clutch 1 | |
| 11 | Rotational speed of clutch 2 | |
| 12 | Rotational speed of the vehicle output shaft | |
| 13 | Moment of inertia of the engine crankshaft and clutch driving plate | |
| 14 | Moment of inertia of the output shaft of clutch 1 | |
| 15 | Moment of inertia of the output shaft of clutch 2 | |
| 16 | Equivalent moment of inertia of the entire vehicle on the final output shaft |
| No | Parameter | Notation |
|---|---|---|
| 1 | Speed | |
| 2 | Longitudinal acceleration | |
| 3 | Inclination angle | |
| 4 | Accelerator pedal position | |
| 5 | Actual gear | |
| 6 | Engine speed | |
| 7 | Speed of clutch 1 | |
| 8 | Speed of clutch 2 | |
| 9 | Engine output torque | |
| 10 | Torque of clutch 1 | |
| 11 | Torque of clutch 2 | |
| 12 | Engagement oil pressure of clutch 1 | |
| 13 | Engagement oil pressure of clutch 2 |
| No | Configuration | Value |
|---|---|---|
| 1 | Vehicle mass | 1620 kg |
| 2 | Transmission ratio | [4.21, 3.11, 1.72, 1.27, 1.27, 1.05, 0.89] |
| 3 | Speed ratio | [3.94, 3.23] |
| 4 | The rolling radius | 0.36 m |
| 5 | Transmission efficiency | 93% |
| 6 | Windward area | 2.6 m2 |
| 7 | Wind-resistance coefficient | 0.36 |
| No | Experimental Category | Detailed Scenario |
|---|---|---|
| 1 | Actual driving area on the road | Urban area road operating conditions (Interchange and similar environments in the urban area) |
| 2 | Suburb normal road operating conditions (Arterial road and similar environments in the suburb) | |
| 3 | Mountain road operating conditions (foothill road and similar environments) | |
| 4 | Urban expressway operating conditions (inner ring expressway and similar environments) | |
| 5 | Highway operating conditions (the certain ring expressway) | |
| 6 | Actual road slope condition | 1~3° (The slope beside the certain square of the certain school) |
| 7 | 4~7° (The slope adjacent to the certain film academy) | |
| 8 | 8~15° (Mountain road of the certain mountain) |
| No | Experimental Category | Detailed Scenario |
|---|---|---|
| 1 | Start | Light throttle, medium throttle, medium-high throttle, full throttle |
| 2 | Sudden change among gentle, normal and urgent | |
| 3 | Gear shift | Power upshift |
| 4 | Power downshift | |
| 5 | Lift-throttle upshift | |
| 6 | Coast-down downshift | |
| 7 | Slope | Start on a small slope |
| 8 | Power upshift on a small slope | |
| 9 | Start on a medium slope | |
| 10 | Power upshift on a medium slope |
Disclaimer/Publisher’s Note: The statements, opinions and data contained in all publications are solely those of the individual author(s) and contributor(s) and not of MDPI and/or the editor(s). MDPI and/or the editor(s) disclaim responsibility for any injury to people or property resulting from any ideas, methods, instructions or products referred to in the content. |
© 2025 by the authors. Licensee MDPI, Basel, Switzerland. This article is an open access article distributed under the terms and conditions of the Creative Commons Attribution (CC BY) license (https://creativecommons.org/licenses/by/4.0/).
Share and Cite
Chi, M.; Xv, Z.; Liu, H. Diagnosis Model for the Intelligence of Dual-Clutch Transmission Control Systems Based on Utility Weights. Actuators 2025, 14, 519. https://doi.org/10.3390/act14110519
Chi M, Xv Z, Liu H. Diagnosis Model for the Intelligence of Dual-Clutch Transmission Control Systems Based on Utility Weights. Actuators. 2025; 14(11):519. https://doi.org/10.3390/act14110519
Chicago/Turabian StyleChi, Mingshen, Zeyu Xv, and Haijiang Liu. 2025. "Diagnosis Model for the Intelligence of Dual-Clutch Transmission Control Systems Based on Utility Weights" Actuators 14, no. 11: 519. https://doi.org/10.3390/act14110519
APA StyleChi, M., Xv, Z., & Liu, H. (2025). Diagnosis Model for the Intelligence of Dual-Clutch Transmission Control Systems Based on Utility Weights. Actuators, 14(11), 519. https://doi.org/10.3390/act14110519
