Next Article in Journal
Observer-Based Volumetric Flow Control in Nonlinear Electro-Pneumatic Extrusion Actuator with Rheological Dynamics
Previous Article in Journal
Quadratic Programming Vision-Based Control of a Scale-Model Autonomous Vehicle Navigating in Intersections
Previous Article in Special Issue
A Novel Principle for Transparent Applications of Force Impulses in Cable-Driven Rehabilitation Systems
 
 
Font Type:
Arial Georgia Verdana
Font Size:
Aa Aa Aa
Line Spacing:
Column Width:
Background:
Article

Identification and Fuzzy Control of the Trajectory of a Parallel Robot: Application to Medical Rehabilitation

by
Elihu H. Ramirez-Dominguez
,
José G. Benítez-Morales
,
Jesus E. Cervantes-Reyes
,
Ma. de los Angeles Alamilla-Daniel
,
Angel R. Licona-Rodríguez
,
Juan M. Xicoténcatl-Pérez
and
Julio Cesar Ramos-Fernández
*
The Graduate Department of Mechatronics, Universidad Politécnica de Pachuca, Carr. Pachuca-Cd. Sahagún Km. 20, Zempoala PC 43830, Hidalgo, Mexico
*
Author to whom correspondence should be addressed.
Actuators 2025, 14(10), 495; https://doi.org/10.3390/act14100495
Submission received: 19 August 2025 / Revised: 27 September 2025 / Accepted: 30 September 2025 / Published: 13 October 2025

Abstract

A specific challenge in robotic control applications is the identification and regulation of actuators that provide mechanical traction and motion to the robot links. The design of actuator control laws, grounded in parametric identification and experimental motor characterization, enables numerical simulations to explore diverse operating scenarios. This article presents the initial phases in the development of a robotic rehabilitation system, focused on the kinematic modeling of a parallelogram-configuration robot for upper-limb therapy, the fuzzy identification of its actuators, and their closed-loop evaluation using a fuzzy Parallel Distributed Compensation (PDC) controller with state feedback (Ackermann), whose poles are optimized via the Grey Wolf Optimizer (GWO) metaheuristic. This controller was selected for its congruence with the nonlinear universe of discourse defined by the identified model, a key feature for operation within specific functional ranges in medical applications. The simulation and hardware platform results provide evidence that fuzzy dynamic models constitute a valuable tool for application in rehabilitation systems. This work serves as a foundation for future physical implementations with the fully coupled robotic system, in order to ensure operational safety prior to the start of clinical trials.

1. Introduction

Robotic rehabilitation has become a pivotal approach in addressing the sequelae of cerebrovascular and musculoskeletal disorders, providing technologically advanced strategies to accelerate and optimize recovery outcomes. Cerebrovascular disease (CVD) remains one of the leading causes of global mortality. From 2000 to 2008, the number of deaths attributed to CVD increased from 25,357 to 30,212, corresponding to a rate of 28.3 per 100,000 inhabitants in 2008 [1]. These complex clinical manifestations pose a considerable challenge to modern healthcare systems. To confront this issue, advanced therapeutic solutions incorporating robotic devices and sophisticated control strategies have been proposed. This study introduces a Takagi–Sugeno fuzzy control system implemented in a parallelogram-configured robotic manipulator specifically designed to rehabilitate the motor functions of the forearm and elbow. This control methodology was selected for its capacity to manage the intrinsic variability of human movement, thereby enabling consistent and adaptive performance under diverse therapeutic conditions.
On the other hand, the study presented in [2] explores a hybrid control methodology that integrates fuzzy logic with sliding mode regulation, applied to a rehabilitation system of comparable architecture. While the numerical outcomes reported in the simulations exhibit favorable performance, the scope of the investigation remains constrained to virtual environments, lacking validation through physical hardware deployment.

2. Related Works

Parallel robots have emerged as a pivotal solution in the field of medical rehabilitation, primarily due to their high structural rigidity, positional accuracy, and capacity to apply controlled forces—features that are essential for executing therapeutic exercises in a safe and effective manner. Recent research highlights these advantages, noting that such systems enable repetitive and assisted motion tasks, thereby facilitating the restoration of motor function across various segments of the human body [3].
One of the key challenges in designing these systems lies in their ability to accommodate physiological variability among patients, as well as the intrinsic uncertainties of human biomechanics and the dynamic nature of clinical environments. In this context, the integration of fuzzy control techniques has proven to be an effective strategy for addressing these limitations. Unlike conventional control methods, fuzzy logic controllers model expert human knowledge through linguistic rules and membership functions, enabling robust and adaptive responses to uncertain or mathematically complex conditions [4].
Fuzzy control can be seamlessly combined with robust control strategies such as sliding mode control, admittance control, and multimodal feedback mechanisms including visual and haptic interfaces. This compatibility has led to the development of hybrid control architectures that capitalize on the strengths of each individual method. For instance, a recently proposed control scheme integrates an adaptive fuzzy impedance model with a sliding mode control in a lower-limb rehabilitation robot. The resulting approach has been shown to enhance human–robot interaction, suppress undesirable phenomena such as chattering, and improve the system’s overall dynamic responsiveness [5].
In rehabilitation scenarios, where each patient presents unique clinical conditions and responses, fuzzy control offers a powerful framework for individualized therapy. It enables real-time adjustment of assistance levels and contributes to the creation of a safe and efficient therapeutic environment tailored to patient needs [6].
The application of parallel robots in medical rehabilitation has garnered significant attention due to their inherent structural rigidity, high positional accuracy, and ability to exert precisely controlled forces—features that are essential for ensuring safe and effective therapeutic interventions. Jiménez-Fabián and Medrano-León emphasize these advantages in their recent review, highlighting the versatility of parallel mechanisms not only in rehabilitation but also in physical assistance and humanoid applications [3].
Recent research has explored the integration of fuzzy logic to enhance the safety, adaptability, and intelligence of these robotic systems. For instance, Vu et al. developed an adaptive fuzzy controller for a cable-driven parallel robot (CDPR), achieving substantial improvements in trajectory tracking compared to conventional control techniques, particularly under dynamic uncertainty conditions [7]. In a complementary study, the same group implemented fuzzy logic within a sliding mode control framework for a Stewart platform, resulting in reduced chattering and enhanced dynamic performance of the robot [8].
Addressing the challenges posed by elastic cables in parallel robots, Aghaseyedabdollah et al. proposed a control scheme combining interval type-2 fuzzy logic and sliding mode control, optimized through metaheuristic algorithms. Their approach demonstrated improved compensation for cable elasticity variations and maintained accurate trajectory tracking even under external disturbances [9]. In a similar vein, Pulloquinga et al. designed a fuzzy-augmented admittance controller for a 4-DOF parallel robot dedicated to knee rehabilitation. This system incorporated a real-time singularity avoidance strategy, significantly enhancing patient safety during clinical use [10].
Ayas and Altaş introduced an adaptive fuzzy admittance control method for a parallel robot oriented toward ankle rehabilitation. The system dynamically adjusts control parameters based on the patient’s detected effort level, thereby improving human–robot interaction and optimizing the overall therapeutic experience [11]. Likewise, Hu et al. presented a passive adaptive fuzzy control strategy for a bilateral upper-limb rehabilitation robot. This approach enables real-time adjustment of assistance levels based on patient performance, encouraging voluntary participation while maintaining system stability and safety [6].
Another significant contribution comes from Coco et al., who designed a fuzzy logic-based parameter tuning system for upper-limb exoskeletons. By leveraging electromyographic (EMG) signals, the controller autonomously adjusts system gains in real time, minimizing perceived resistance and enhancing movement naturalness [12]. Finally, Chalaki et al. developed a vision-based fuzzy control system integrated into a smart walker for post-stroke patients with unilateral upper-limb impairments. The fuzzy controller interprets user intent through artificial vision inputs, significantly increasing the device’s usability and reducing physical strain on the user [13]. The previous information is summarized in the following table (Table 1).
In this section, we present the foundational survey of various fuzzy controllers applied to rehabilitation systems, which serves as the basis for analyzing the current contributions in rehabilitation robotics.

3. Materials and Methods

This study outlines the formulation and implementation of two control schemes derived from the characterization of fuzzy models associated with the actuators of a parallel robotic mechanism. The following sections detail the analytical representations of both the forward and inverse kinematics underpinning the manipulator’s structure.

3.1. Rehabilitation System

Figure 1 illustrates the four-bar parallel mechanism integrated into the rehabilitation robotic system, whose mechanical system design and development process are detailed in [15], this figure shows the actuators corresponding to joints q 1 and q 12 , as well as the links that form the parallelogram-type mechanism, which are depicted in the wireframe diagram of Figure 2 and used for the kinematic computation.
The four-bar rehabilitation robot integrates two independent actuators. The lower unit modulates the planar displacement of the mechanical links along the x- and y-axes, while the upper actuator governs the trajectory and orientation of the end-effector to achieve the prescribed therapeutic posture.
In terms of transmission architecture, the motors are decoupled from the linkage structure through the use of precision bearings and flexible couplings. This configuration preserves concentric alignment and minimizes the transmission of shear loads to the motor shaft, thereby extending operational lifespan and improving mechanical reliability.
The selected motors operate at a nominal voltage of 24 V DC, drawing a current of 10.4 A and achieving a rotational velocity of 120 rpm. Each motor is outfitted with an integrated gearbox rated to deliver a torque output of 20 Nm, supporting robust actuation under rehabilitation constraints.
To regulate actuator motion, the Takagi–Sugeno fuzzy model introduced in Section 4.1 is employed for dynamic representation of both motors. This modeling approach enables the design of intelligent position controllers. Kinematic formulations developed in the subsequent sections underpin this control framework, ensuring accurate estimation of joint parameters and task-space coordinates.
The mathematical models employed in this study are grounded in the theoretical frameworks established by [16,17,18], which provide a rigorous foundation for analyzing parallel robotic mechanisms.
For the direct kinematic model, the analysis was carried out based on the geometric conception of Figure 2 and Figure 3. The Figure 2 shows the structure in the x y plane with the placement of coordinate frames according to the Denavit–Hartenberg algorithm. Likewise, Figure 3 presents the distances along the z axis of the rehabilitation robot, which were used to construct the D–H parameter Table 2. It is important to mention that joints q 12 and q 12 are coupled in the base coordinate system, as shown in Figure 1.
The Denavit–Hartenberg (D–H) parameters are listed in Table 2.
Based on the table shown, the equations that represent the position of the end-effector are as follows:
x = cos ( q 12 ) l 3 + l 5 l 1 sin ( q 1 )
y = sin ( q 12 ) l 3 + l 5 + l 1 cos ( q 1 )
z = a 1 + a 2
This mathematical model was analyzed as a hybrid model, as it corresponds to a parallelogram-type mechanism with a closed kinematic chain. In this way, by treating it as a hybrid model, two possible trajectories are generated toward the end-effector; however, the joint angles are considered according to the configuration of the parallelogram rather than as a conventional planar representation. Likewise, it is considered that the origin coordinate system contains two joints, which are shown in Figure 1, corresponding to the render of the rehabilitation robot.
To obtain the inverse kinematic model, which will help calculate the joint coordinates, an analysis was performed using triangle relationships, supported by Figure 4.
The link l 1 acts as the crank that generates planar motion through joint q 1 ; link l 2 is the second crank, responsible for adjusting the end-effector position via the pair l 3 l 5 , actuated through joint q 12 ; and l 4 is the closing link of the parallelogram. In an ideal parallelogram, the lengths satisfy l 1 = l 4 and l 2 = l 3 , which ensures the parallelism of opposite sides of the loop. Moreover, points A, B, C, and D are used as vertices to construct the triangle relations.
The magnitude of the vector P is given by:
P = x 2 + y 2 .
Based on the diagram and geometric analysis, the following equations are shown, to determine the rotation angles of the actuators when tracking trajectories.
The angle β represents the orientation of the vector P with respect to the coordinate system. It is calculated using trigonometric relations:
cos ( β ) = y P
sin ( β ) = 1 cos 2 ( β ) sin ( β ) = 1 y P 2
β = tan 1 sin ( β ) cos ( β ) = tan 1 1 y P 2 y P
cos ( γ ) = l 4 2 l 2 2 2 l 2 l 5 l 5 2 P 2 2 ( l 2 + l 5 ) P
sin ( γ ) = 1 cos 2 ( γ ) = 1 l 4 2 l 2 2 2 l 2 l 5 l 5 2 P 2 2 ( l 2 + l 5 ) P 2
γ = tan 1 sin ( γ ) cos ( γ ) = tan 1 1 l 4 2 l 2 2 2 l 2 l 5 l 5 2 P 2 2 ( l 2 + l 5 ) P 2 l 4 2 l 2 2 2 l 2 l 5 l 5 2 P 2 2 ( l 2 + l 5 ) P
α = γ β
q 12 = π 2 α
sin ( q 2 ) = P 2 ( l 2 + l 5 ) 2 l 4 2 2 ( l 2 + l 5 ) l 4
cos ( q 2 ) = 1 sin 2 ( q 2 ) = 1 P 2 ( l 2 + l 5 ) 2 l 4 2 2 ( l 2 + l 5 ) l 4 2
q 2 = tan 1 sin ( q 2 ) cos ( q 2 ) = tan 1 P 2 ( l 2 + l 5 ) 2 l 4 2 2 ( l 2 + l 5 ) l 4 1 P 2 ( l 2 + l 5 ) 2 l 4 2 2 ( l 2 + l 5 ) l 4 2
q 1 = q 12 q 2

3.2. Analysis of the Dynamic Model of the Actuators

Effective regulation of the rehabilitation robot requires an accurate mathematical characterization of its actuators. This modeling framework serves as a foundational component for integrating fuzzy control schemes and extending their applicability across diverse therapeutic methodologies. The DC motor model is shown in Figure 5; it is in the form of a state-space variable [19,20,21].

3.3. Motor Electrical Circuit

The electrical circuit of the motor is represented by the following equation:
u ( t ) = R a i a ( t ) + L a d i a ( t ) d t + e b ( t )
e b ( t ) = K b ω ( t ) .
where u ( t ) is the voltage applied to the motor armature, R a and L a are the armature resistance and inductance, i a is the armature current, e b ( t ) is the EMF (electromotive force), K b is the EMF constant, and ω ( t ) is the angular velocity of the motor.
The relationship between torque and current is as follows.
τ ( t ) = K a i a
where τ ( t ) is the motor torque and K a is the motor torque constant.

3.4. Engine Mechanical Dynamics

The mechanical dynamics is described by the momentum equation
τ ( t ) = J d ω ( t ) d t + B ω ( t )
where J is the moment of inertia of the rotor and B is the coefficient of viscous friction.

3.5. State Space Representation

Defining the state variables as
x 1 ( t ) = i a ( t ) , x 2 ( t ) = ω ( t )
we can rewrite the equations in state space:
d x 1 ( t ) d t = u ( t ) L a R a L a x 1 ( t ) K b L a x 2 ( t )
d x 2 ( t ) d t = K a J x 1 ( t ) B J x 2 ( t )
In matrix form, the system is expressed as
x 1 ˙ ( t ) x 2 ˙ ( t ) = R a L a K b L a K a J B J x 1 ( t ) x 2 ( t ) + 1 L a 0 u ( t )
The identification of the parameters R a , L a , K b , K a , J, and B is a critical prerequisite for developing accurate models and control architectures for the electromechanical system.

3.6. Fuzzy Identification of Actuators

Proper and accurate parametric identification of the system is essential for the design and tuning of model-based control laws, as it enables effective manipulation of the system. To carry out parametric identification, the system is regarded as a gray box, where an input is applied and a corresponding output is observed. Figure 6 illustrates, in block format, the identification process of a dynamic system as presented in this paper.
System identification is approached by minimizing the error signal, which is obtained by comparing the actual output y ( k ) with the estimated output y ^ ( k ) of the model, as shown in Figure 7.
When modeling linear systems, that is, those with a single input and a single output (SISO), the ARX (autoregressive with exogenous input) model methodology is one of the simplest ways to represent them [22,23]. Its structure can be observed in Equation (25).
y ( k ) + a 1 y ( k 1 ) + + a n a y ( k n a ) = b 1 u ( k 1 ) + + b n b u ( k n k n b + 1 ) + e ( k )
where y ( k ) denotes the output of the system, u ( k ) the input signal, and e ( k ) the modeling error. The coefficients a i and b i define the system’s dynamic characteristics, with n a and n b representing the orders of the autoregressive and input polynomials, respectively. The parameter n k indicates the time delay in the system’s response.
Most nonlinear dynamic systems with input u ( k ) and output y ( k ) can be represented in discrete time using the NARX (Nonlinear AutoRegressive model with eXogenous input) framework [24,25,26]. This structure is formalized in Equation (26).
y ( k + 1 ) = f ( x ( k ) )
where y ( k + 1 ) is the predicted output at time instant ( k + 1 ) and f ( x ( k ) ) is a nonlinear function that models the system and depends on the regressor vector x ( k ) .
The regressor matrix x ( k ) is defined by Equation (27).
x ( k ) = y ( k ) y ( k n y + 1 ) u ( k ) u ( k n u + 1 ) .

3.7. Fuzzy Identification

Linear identification is useful for analyzing actuator behavior; however, when parametric variations occur—including uncertainties or internal changes such as temperature, friction, and moment of inertia—these models become unsuitable for model-based control applications.
To address this limitation, more refined approaches are required to capture actuator or system behavior, giving rise to “multi-model” methodologies. Modeling nonlinear dynamic systems poses a significant challenge.
Conventional methods based on differential equations may be inadequate when dealing with high uncertainty or when precise mathematical modeling is difficult. In such cases, fuzzy inference systems offer an effective alternative by encoding expert knowledge through IF–THEN rules, without requiring explicit equations to define system dynamics. Nevertheless, determining appropriate membership functions and tuning fuzzy system parameters remains a complex task. To mitigate this issue, the Adaptive Neuro-Fuzzy Inference System (ANFIS) was developed. This technique merges the learning capabilities of artificial neural networks with the interpretability of fuzzy logic, enabling the autonomous generation of accurate models from input–output data, without prior knowledge of the system’s internal dynamics [27].

3.8. Modeling Assumptions and Simplifications

We consider: (i) quasi-stationarity within data windows (electromechanical parameters are approximately constant over short intervals); (ii) SISO, decoupled identification per actuator for the rehabilitation system (cross-coupling is negligible during data acquisition); (iii) a bounded universe of discourse (specific ranges of PWM and angular position); and (iv) disturbances and practical non linearities handled implicitly by the fuzzy rules (dead zones, saturation, friction).

3.9. Implications for Control Performance

Closed-loop performance is primarily guaranteed within the identified range; slow drifts (e.g., thermal) are tolerated by the multi-rule structure but may require re-tuning if persistent; significant coupling in full-robot operation may degrade tracking, which will be addressed in future coupled-validation stages.

3.10. ANFIS Architecture

The ANFIS (Adaptive Neuro-Fuzzy Inference System) architecture comprises five sequential layers that operate collaboratively to establish mappings between system inputs and outputs. These layers are as follows: Layer 1—Input Membership Function, Layer 2—Rule Evaluation, Layer 3—Normalization, Layer 4—Rule Output Calculation, and Layer 5—Aggregation and Final Output Generation. Each layer executes a distinct task within the fuzzy inference mechanism and contributes to the system’s adaptive learning process [27,28,29]. These stages are depicted in Figure 8.

3.11. Fuzzy Control

Linear control systems have been extensively utilized in conventional applications; however, their performance deteriorates when applied to complex environments. In the presence of parametric variations, such controllers may fail to maintain system stability.
To mitigate this issue, various nonlinear control laws have been proposed, formulated through either mathematical modeling or heuristic techniques.
Within this framework, fuzzy control presents a viable alternative. Unlike traditional methods based on rigid mathematical formulations, fuzzy control enables the incorporation of operator experience into dynamic and nonlinear systems. This methodology is particularly beneficial in contexts characterized by uncertainty and variability, where conventional techniques prove inadequate. The structure of fuzzy controllers is detailed below [30].
In Figure 9, the basic structure of a fuzzy system is shown.
In the fuzzifier stage, numerical inputs are transformed into fuzzy values using membership functions, these map the input variables x U R n through linguistic terms such as low, medium, or high, allowing classification of the system state for control modeling purposes. Each membership function assigns a degree of membership within the interval [ 0 , 1 ] to each input variable.
The inference mechanism employs a set of fuzzy IF–THEN rules derived from expert knowledge. These rules are combined to generate a fuzzy output.
The defuzzifier then converts the fuzzy output into a crisp numerical value. While outputs are typically derived through membership functions, in Takagi–Sugeno models—as implemented in this work—the output is defined as a linear function.
To enhance actuator performance and control of the parallelogram robot, the following fuzzy controllers were implemented.

3.12. Fuzzy PDC

Parallel Distributed Compensation (PDC) is a model-based methodology for designing fuzzy controllers. This approach initially represents nonlinear systems through Takagi–Sugeno (T–S) fuzzy models, where each control rule corresponds directly to a rule in the T–S fuzzy structure.
Fuzzy control rules incorporate linear controllers in the consequent part, permitting the integration of any compatible control technique. In this case, a state feedback control strategy is employed. PDC control offers notable robustness under collaborative operation, as it adjusts controller weights based on the model’s state. The control architecture is outlined below [31,32,33,34,35].
A diagram illustrating the PDC (Parallel Distributed Compensation) controller is presented in Figure 10.
The control rules for the fuzzy system are formalized in Equation (28).
IF z 1 ( k ) is M i 1 and and z p ( k ) is M i p , THEN u ( k ) = K i x ( k ) , i = 1 , 2 , , r .
The global fuzzy controller is expressed as in Equation (29).
u ( k ) = i = 1 r h i ( z ( k ) ) K i x ( k ) .
where K i represents the state feedback gains associated with the consequents, and h i ( z ( k ) ) represents the normalized firing strengths of the fuzzy rules. The normalized firing strengths are given by Equation (30).
h i ( z ( k ) ) = w i ( z ( k ) ) j = 1 r w j ( z ( k ) )
where w i ( z ( k ) ) represents the activation degree of rule i, with i = 1 , 2 , , r .
Similarly, the normalized activation degrees satisfy the convex sum property, as shown in Equation (31).
i = 1 r h i ( z ( k ) ) = 1 , h i ( z ( k ) ) 0 , i .
The system dynamics at the next time step is represented as in Equation (32).
x ( k + 1 ) = i = 1 r j = 1 r h i ( z ( k ) ) h j ( z ( k ) ) ( A i B i K j ) x ( k ) .
As previously mentioned, for linear controls derived from the consequents of the T–S fuzzy model, the Ackermann methodology was employed. This approach enables the modification of the system’s dynamic behavior through pole placement. The procedure is outlined below [36,37].
Recall that the discrete-time state-space representation is given by Equation (33).
x ( k + 1 ) = A x ( k ) + B u ( k ) y ( k ) = C x ( k ) + D u ( k )
The Ackermann formula for determining the state feedback gain matrix K is given by Equation (34).
K = 0 0 1 C 1 α c ( F )
where C refers to the controllability matrix and is expressed as in Equation (35).
C = B A B A 2 B A n 1 B
The polynomial α c ( F ) denotes the characteristic equation implied by the desired pole configuration, evaluated on the companion matrix F, which encodes these poles. To compute the gain matrices for each actuator, the optimal poles associated with each consequent were tuned using the Grey Wolf Optimizer (GWO) metaheuristic.
In our setting, each candidate solution encodes two discrete-time poles per fuzzy consequent (8 rules in total). For the shared-gain experiment, this yields a 16-dimensional vector z = [ p 1 , 1 , p 2 , 1 , , p 1 , 8 , p 2 , 8 ] [ 0.04 , 0.98 ] 16 . These bounds ensure that all discrete-time closed-loop poles satisfy | p | < 1 (inside the unit circle), the necessary and sufficient condition for asymptotic stability in linear time-invariant discrete systems. The lower bound ( 0.04 ) avoids near-zero poles that can induce overly aggressive control effort and numerical ill-conditioning in the Ackermann computation, whereas the upper bound ( 0.98 ) keeps poles away from the unit circle, preventing marginal stability and excessively slow responses [37].
From z , a state-feedback gain K i is computed for each rule via the Ackermann method, and the overall PDC law is by Equation (29).
For joint j { 1 , 12 } , the tracking RMSE is by Equation (39).
The decision vector z stacks the two discrete-time poles for each fuzzy rule; from z , the gains { K i ( z ) } i = 1 8 are computed via Ackermann and used in Equation (29). The sampling time T s , the horizon N, and the reference trajectory are identical across all runs for a fair comparison.
We use the classical GWO with search bounds fixed to [ 0.04 , 0.98 ] . The algorithm updates positions under the standard encircling and hunting equations; we report the number of agents (S), maximum iterations (T), and seeds/hardware in the results section for reproducibility [38,39,40].
The classical GWO is inspired by the leadership hierarchy and hunting behavior of grey wolves. It models a pack’s social structure by ranking candidate solutions as alpha, beta, delta, and omega. The best solutions (alpha, beta, delta) guide the rest during the search, mimicking encircling and hunting. Each agent updates its position under the influence of the top three leaders, gradually moving toward promising regions of the search space. This balances exploration and exploitation, enabling effective global search while refining local solutions.
Figure 11 provides the flowchart of the classical GWO and summarizes its iterative position-update scheme based on this social behavior.

4. Results

4.1. Identification Using ANFIS

Once each ANFIS layer had been addressed, system model identification was performed using the MATLAB®–2016a Neuro-Fuzzy Designer Toolbox [41,42]. In contrast to the parametric identification of the linear model, a NARX model was utilized.
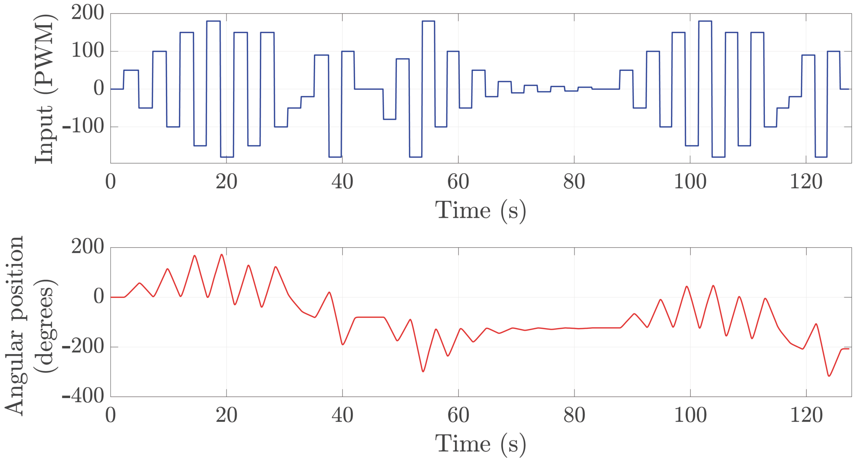
To obtain the data for the NARX model, real-time and open-loop measurements were collected using a sequence of step inputs and their corresponding output responses. Both low and high PWM values were applied incrementally to capture the actuator’s dynamics under varying conditions. The input signal corresponds to the PWM, while the output reflects the angular position of the DC motor. The zero PWM case was also included to account for dead time effects.
It is important to note that, during data collection, the position within the universe of discourse must be taken into consideration.
Figure 12 presents the relationship between the input and output of the NARX model. A total of 1275 samples were used for parametric identification.
Once the NARX model was established, regression matrices were constructed to carry out system identification using the previously mentioned MATLAB® Neuro-Fuzzy Designer Toolbox. To evaluate the identified models and select the most appropriate configuration, a comparative table was employed. Gaussian membership functions were used in all cases, with a linear output type and a total of 10,000 training epochs. Table 3 summarizes this process.
To compute the number of rules as a function of the number of membership functions per input, we use Equation (36):
R = i = 1 n in MF i ,
where n in is the number of inputs and MF i is the number of membership functions assigned to input i.
Based on Table 3, which summarizes the ANFIS identification results, error values are significantly lower when three inputs are considered, indicating higher accuracy and better parameter tuning. In model selection, it is essential to evaluate not only the error magnitude but also the number of consequents and fuzzy rules, since these factors directly affect feasibility on the physical platform: the more membership functions and rules, the higher the computational load on the microcontroller. Accordingly, the final model with three inputs and eight fuzzy rules was selected, as it offers a low identification error without incurring an excessive rule count.
Figure 13 illustrates the ANFIS neural network structure obtained from the Toolbox.
The analysis of the surfaces generated by the ANFIS model enables visualization of the relationship between inputs and the system output. As shown in Figure 14, both plots exhibit a nonlinear response, indicating that the model has effectively captured the system’s dynamic behavior.
As previously indicated, the selected membership functions for modeling have a Gaussian shape, the equation of which is given in Equation (37); its parameters are given in Table 4.
μ ( x ) = e ( x c ) 2 2 σ 2
The membership functions ( μ ) functions denoted in Figure 13 refer to the membership functions listed in Table 4, following the same order.
The following IF–THEN rules were obtained from the FUZZY identification. Recall that each input membership function was selected as Gaussian.
  • If θ ( k ) is Neg and θ ( k 1 ) is Neg and u ( k ) is Neg, then θ ( k + 1 ) is θ ( k + 1 ) 1
  • If θ ( k ) is Neg and θ ( k 1 ) is Neg and u ( k ) is Pos, then θ ( k + 1 ) is θ ( k + 1 ) 2
  • If θ ( k ) is Neg and θ ( k 1 ) is Pos and u ( k ) is Neg, then θ ( k + 1 ) is θ ( k + 1 ) 3
  • If θ ( k ) is Neg and θ ( k 1 ) is Pos and u ( k ) is Pos, then θ ( k + 1 ) is θ ( k + 1 ) 4
  • If θ ( k ) is Pos and θ ( k 1 ) is Neg and u ( k ) is Neg, then θ ( k + 1 ) is θ ( k + 1 ) 5
  • If θ ( k ) is Pos and θ ( k 1 ) is Neg and u ( k ) is Pos, then θ ( k + 1 ) is θ ( k + 1 ) 6
  • If θ ( k ) is Pos and θ ( k 1 ) is Pos and u ( k ) is Neg, then θ ( k + 1 ) is θ ( k + 1 ) 7
  • If θ ( k ) is Pos and θ ( k 1 ) is Pos and u ( k ) is Pos, then θ ( k + 1 ) is θ ( k + 1 ) 8
Each function θ ( k + 1 ) i with i = 1 , 2 , , 8 in the fuzzy rules are the consequent, which are
θ ( k + 1 ) 1 = 1.3429 θ ( k ) 0.3224 θ ( k 1 ) + 0.0930 u ( k ) + 28.9315 θ ( k + 1 ) 2 = 2.2161 θ ( k ) 1.2784 θ ( k 1 ) + 0.0605 u ( k ) 35.1175 θ ( k + 1 ) 3 = 14.9584 θ ( k ) + 15.6563 θ ( k 1 ) + 1.9878 u ( k ) 9.2235 θ ( k + 1 ) 4 = 14.4779 θ ( k ) 14.9297 θ ( k 1 ) + 0.8762 u ( k ) 55.4237 θ ( k + 1 ) 5 = 15.2692 θ ( k ) 13.6119 θ ( k 1 ) 1.8353 u ( k ) + 20.2845 θ ( k + 1 ) 6 = 7.8124 θ ( k ) + 9.3320 θ ( k 1 ) 0.7844 u ( k ) 67.6131 θ ( k + 1 ) 7 = 2.0902 θ ( k ) 1.1247 θ ( k 1 ) 0.0908 u ( k ) 18.8767 θ ( k + 1 ) 8 = 0.3426 θ ( k ) + 0.4922 θ ( k 1 ) 0.0381 u ( k ) + 90.6751
The consequents f i , shown in Figure 13, correspond to those previously denoted as θ ( k + 1 ) i .

4.2. Grey Wolf Optimizer-Based Controller Gain Tuning

We report two complementary experiments. E1 (shared gains): the same set of eight pole pairs is used by both actuators, reducing dimensionality and enforcing symmetry. E2 (per-actuator gains): each actuator has its own eight pole pairs, allowing adaptation to non-identical dynamics; the decision vector has 32 variables in this case. For E1, we report RMS1_GWO (the cost computed inside GWO on the internal model) and RMS1_SIMU (the RMSE obtained by simulating the complete system with the optimized gains). For E2, we analogously report RMS1_GWO/RMS1_SIMU for joint q 1 and RMS2_GWO/RMS2_SIMU for the second joint, under the same protocol (trajectory, T s , N).
Five independent runs of classical GWO were performed, varying the number of search agents and the maximum iterations each time. Search bounds were constant across all tests, [ 0.04 , 0.98 ] .
Performance was assessed using two criteria: the final RMSE computed internally by GWO (its cost function) and the RMSE obtained when the optimized gains were applied to the complete simulated system, reflecting realistic behavior.
Table 5 presents the results of the five GWO tests. The row highlighted in green corresponds to the configuration with the best performance.
Table 6 shows the poles assigned by GWO for the decoupled rehabilitation-robot actuator.
The gain matrix is given by Equation (38).
K = 5.867 2.714 26.442 20.498 8.031 8.003 15.829 16.975 7.826 7.312 11.458 12.336 1.214 1.592 22.752 19.425
The above gains were obtained from trajectory tests with a single actuator. To deploy them on both actuators, and given the kinematic characteristics of the rehabilitation robot, distinct pole assignments were configured for each actuator.
Note that fuzzy identification was carried out on one actuator only. Although both actuators are physically identical, they were decoupled during identification. Likewise, for pole selection and gain computation—both in simulation and in single-actuator tests—the GWO algorithm was used with the selection scheme described above.
Table 7 summarizes five tests for the two-actuator case and highlights (in green) the parameters that produced the best pole configuration.
As shown in Table 8, the poles were obtained using GWO with the parameters in Table 7.
Gains   for   joint   q 1 Gains   for   joint   q 2 K q 2 = 4.319 1.528 27.212 19.858 7.817 7.911 15.804 16.933 7.824 7.323 10.759 12.021 9.725 8.857 30.902 26.690 K q 2 = 7.591 2.398 4.210 5.234 8.005 7.955 15.715 16.941 7.899 7.340 10.166 11.905 1.214 1.592 12.321 17.220
Both joints are depicted in the wireframe diagrams used to construct the kinematic models. The gain matrix was used for actuator-level simulation and for real-time evaluation. The per-joint gains above were used in the two-actuator experiments.
For implementations involving both actuators, each control system is built independently from the fuzzy dynamic model of its corresponding actuator. The controllers are unified only during trajectory generation.

4.3. Result of Actuator Control in Simulation

To evaluate the performance of the PDC fuzzy controller, actuator simulations were carried out based on the fuzzy dynamic model presented in Section 4.1, using a sinusoidal input with an amplitude of 45 ° and a frequency of 0.005 Hz. This input was chosen as it is suitable for rehabilitation testing within the context of the robotic system.
These simulations were used as a preliminary step to validate the controller, employing the RMSE performance index to ensure stable behavior prior to its implementation on the physical platform.
Figure 15 shows the angular position response of the PDC fuzzy controller with respect to the reference signal. A good trajectory tracking performance is observed, although small oscillations persist along the motion path.

4.3.1. Error Dynamics Graphs

The fuzzy PDC controller exhibits oscillatory error dynamics. Although the position follows the reference accurately, the error shows several fluctuations. As shown in Figure 16, the error oscillates with peak values of approximately ± 0 . 2 ° .

4.3.2. PWM Graph

The pulse-width modulation (PWM) generated by the control law is analyzed to evaluate how the controller adjusts the PWM signal and its influence on the system’s behavior.
The fuzzy PDC controller produces an abrupt and oscillatory PWM signal, characterized by multiple rapid variations throughout the trajectory. Although this behavior may reflect increased sensitivity to changes in the error, it does not compromise the position tracking performance, as previously demonstrated. Figure 17 illustrates this behavior.
Once the simulation results were obtained, a performance evaluation of the control system was carried out using the Root Mean Square Error (RMSE) metric [43,44,45]. This work focused exclusively on implementing a single control strategy: the fuzzy PDC controller. Despite being based on linear control laws with state feedback, the controller effectively compensated for system uncertainties and maintained appropriate trajectory tracking. Under the stated protocol, the fuzzy PDC controller achieved an RMSE of 0.7578 .
The equation corresponding to the Root Mean Square Error (RMSE) is presented in Equation (39).
R M S E = 1 N k = 1 N ( y ( k ) y ^ ( k ) ) 2

4.4. Results of the Controllers Applied to the Actuator in a Physical Setup

This section presents the results obtained from implementing the fuzzy PDC controller on a microcontroller, without considering forward kinematics for trajectory generation and using the same trajectory as that employed in the simulation from Section 4.3. The experimental setup consists of a direct current motor coupled with an encoder, which provides position measurements. These components are connected to a microcontroller that transmits control signals for direction and speed through an H-bridge driver.
Given the good performance observed in simulation, the fuzzy PDC controller was physically implemented to evaluate its behavior under real conditions. Although this study focuses on the autonomous control of the actuator, the friction present in the gearbox is also considered. Therefore, despite the absence of external disturbances—such as those found in robotic rehabilitation systems—a notable difference between simulated and real behavior is observed. This comparison makes it possible to validate the feasibility of the controller for use in rehabilitation environments.
Figure 18 illustrates the actuator’s behavior under the operation of the PDC fuzzy controller. When compared with the simulated response shown in Figure 15, it is observed that the oscillations remain present, albeit with lower intensity. In terms of trajectory tracking, the controller maintains a high level of performance throughout the test.
In the error graph for this controller, shown in Figure 19, a maximum error of 1 ° is observed. Likewise, the oscillations in the error dynamics have decreased compared to those shown in Figure 16.
Regarding the pulse-width modulation (PWM) of the physical controller, Figure 20 shows a signal exhibiting continuous switching, with positive and negative peaks distributed over time. This dynamic behavior aligns with the oscillatory nature of the position response associated with the sinusoidal trajectory. The signal remains within moderate levels and does not exhibit signs of saturation.
The PDC fuzzy controller implemented on the actuator using a microcontroller exhibits visually improved behavior compared to the simulation, particularly in trajectory tracking. The signal remains stable throughout the activation period, indicating consistent performance under real physical conditions.
To assess the controller’s on-hardware performance, the Root Mean Square Error (RMSE) was used. Under the stated protocol, the PDC fuzzy controller achieved an RMSE of 0.3979 , reflecting accurate and reliable trajectory tracking.
During real-time implementation, the controller demonstrated robustness to sudden changes in direction and amplitude in the trajectory, validating its capability to maintain adequate performance without the need for complex dynamic modeling of the system. Despite the variations in the PWM signal caused by trajectory dynamics, the controller preserves the required stability and accuracy.
These results confirm that the PDC fuzzy controller is an effective solution for real-world applications, standing out for its precision and robustness in trajectory tracking.

4.5. Simulation Results of the Trajectory Tracking of the Rehabilitation Robot

Following the verification of the controllers using the fuzzy model obtained from actuator identification, the goal is to test trajectory tracking that closely resembles natural movement for rehabilitation purposes. The targeted therapeutic movements involve elbow flexion and extension in the horizontal plane.
To realize these motions, an analysis was conducted to determine which polynomial-based trajectories could allow the four-bar robot, via inverse kinematics, to generate motion consistent with the aforementioned movements. An elliptical trajectory was selected, which—although not intended to produce specific shapes at the end-effector—approximates the desired movement pattern.
For trajectory planning, sine and cosine functions were employed. Specifically, the sine function is multiplied by the length of the minor semi-axis of the ellipse (in meters) and the cosine function by the length of the major semi-axis (in meters). To ensure the trajectory originates from a specific point and fits within an appropriate workspace, initial conditions were defined. The equations describing the elliptical trajectory are provided in Equation (40).
x d = x c + a cos ( t ) , y d = y c + b sin ( t ) ,
where x c and y c represent the initial conditions of each coordinate for the end-effector, a corresponds to the major semi-axis, and b to the minor semi-axis.
The values used for the trajectory are a = 0.058 m, b = 0.11 m, x c = 0.1 m, and y c = 0.32 m. Additionally, note that the origin ( 0 , 0 ) is located at the actuators’ axes.
The generated trajectory is shown in Figure 21.
The position results with respect to the desired elliptical reference for each joint are shown in Figure 22. The controller maintains acceptable tracking accuracy throughout most of the trajectory, with a slight overshoot observed in joint q 12 at the beginning. This deviation is attributed to the initial trajectory point for that joint being slightly offset from zero.
The error dynamics of both joints, shown in Figure 23 and Figure 24, reveal an initial large jump in error for both. However, once the trajectory begins to take shape, the error remains oscillating within a small range.
In the pulse-width modulation (PWM) of both joints, an initially high value is observed, which is necessary to initiate the motion and overcome the system’s inertia. Subsequently, the trajectory is followed by a more stable and lower-magnitude PWM signal, as shown in Figure 25 and Figure 26.
In this section, the behavior of both actuators under the influence of the fuzzy PDC controller is analyzed, showing acceptable performance in trajectory tracking. Although the joints exhibit different dynamics, the system response remains predictable and comparable to previous sections where the controller was applied to each actuator individually. Notable robustness to position reversal is observed.
It is important to note that this controller is applied to a model that incorporates complex nonlinear dynamics, including phenomena such as gearbox friction. Under the same evaluation protocol, the fuzzy PDC controller achieved an RMSE of 2.7817 for joint q 1 and 5.1978 for joint q 12 . Although performance for q 12 was slightly lower, both results are considered satisfactory given the system’s nonlinear characteristics and the imposed trajectory demands.

5. Conclusions

In this study, fuzzy identification and fuzzy control techniques were implemented for trajectory tracking on the identified actuators. Two studies were conducted: (i) actuator tests in simulation and in current time using sinusoidal inputs; and (ii) a simulation study that incorporated the inverse kinematics model, for which a trajectory was designed to emulate elbow flexion–extension typical of an upper-limb therapeutic session.
The fuzzy model showed high reliability, reproducing similar dynamic behavior in both the simulation and on the physical platform.
The fuzzy controller exhibited good performance (evaluated using the root mean square error (RMSE)). The implemented controller was a fuzzy PDC controller operating in parallel with the fuzzy model; its gains were computed by determining optimal poles with the Grey Wolf Optimizer (GWO) and subsequently applying the Ackermann method.
When deployed on the microcontroller, this controller achieved satisfactory trajectory tracking. The PWM signal exhibited an initial peak to overcome inertia, followed by a stable response with reduced oscillations, consistent with the identified dynamics. For the decoupled actuator case (from the rehabilitation robotic system), the RMSE obtained in simulation was 0.7578 , while in current time it was 0.3979 , yielding mutually consistent results. Furthermore, in the simulation study with per-actuator control using inverse kinematics for trajectory generation (elliptical trajectory), an RMSE of 2.7817 was obtained for q 1 and one of 5.1978 was obtained for q 12 .
In addition, the fuzzy model proved highly effective at capturing the actuators’ dynamics. The gains tuned in simulation yielded consistent results on the physical platform without additional adjustments, underscoring the robustness of fuzzy modeling for representing non linear dynamic systems.

Author Contributions

Conceptualization, E.H.R.-D., J.C.R.-F., J.G.B.-M. and A.R.L.-R.; methodology, E.H.R.-D., J.C.R.-F., J.G.B.-M. and A.R.L.-R.; software, E.H.R.-D., J.E.C.-R., J.C.R.-F., J.G.B.-M. and J.M.X.-P.; validation, J.C.R.-F., J.G.B.-M. and A.R.L.-R.; formal analysis, E.H.R.-D., J.C.R.-F., J.G.B.-M. and A.R.L.-R.; investigation, E.H.R.-D., J.E.C.-R., A.R.L.-R., M.d.l.A.A.-D. and J.M.X.-P.; resources, E.H.R.-D. and J.G.B.-M.; writing—original draft preparation, E.H.R.-D. and J.C.R.-F.; writing—review and editing, E.H.R.-D., J.C.R.-F. and M.d.l.A.A.-D.; supervision, J.C.R.-F., J.G.B.-M., A.R.L.-R. and M.d.l.A.A.-D.; project administration, E.H.R.-D., J.C.R.-F. and J.G.B.-M. All authors have read and agreed to the published version of the manuscript.

Funding

This project was carried out with the help of national scholarships for postgraduate studies, awarded by Mexico’s Secretariat of Science, Humanities, Innovation and Technology (Secihti).

Data Availability Statement

The original contributions presented in this study are included in the article. Further inquiries can be directed to the corresponding author(s).

Acknowledgments

Mexico’s Secretariat of Science, Humanities, Innovation and Technology for the scholarships awarded to engineers Elihu H. Ramírez-Domínguez and Jesús Eduardo Cervantes-Reyes with CV 1316798 and 1317169, respectively, and The National Laboratory of Autonomous Vehicles and Exoskeletons of the Secihti.

Conflicts of Interest

The authors declare that there are no conflicts of interest with respect to the reported study.

References

  1. Chiquete, E.; Ruiz-Sandoval, J.L.; Murillo-Bonilla, L.M.; Arauz, A.; Villarreal-Careaga, J.; Barinagarrementería, F.; Cantú-Brito, C. Mortalidad por enfermedad vascular cerebral en México, 2000–2008: Una exhortación a la acción. Rev. Mex. Neurocienc. 2011, 12, 235–241. [Google Scholar]
  2. Orozco-Soto, S.M.; Ramos-Fernández, J.C.; García-Barrientos, A.; Vilchis-Rodríguez, C.A.; Domínguez-Ramírez, O.A. Fuzzy sliding mode control for trajectory tracking and force compensation of a robotic haptic interface. In Proceedings of the 14th International Carpathian Control Conference (ICCC), Rytro, Poland, 26–29 May 2013; pp. 267–273. [Google Scholar] [CrossRef]
  3. Abarca, V.E.; Elias, D.A. A Review of Parallel Robots: Rehabilitation, Assistance, and Humanoid Applications for Neck, Shoulder, Wrist, Hip, and Ankle Joints. Robotics 2023, 12, 131. [Google Scholar] [CrossRef]
  4. Chen, L.; Huang, J.; Wang, Y.; Guo, S.; Wang, M.; Guo, X. Adaptive patient-cooperative compliant control of a lower-limb rehabilitation robot. Biomim. Intell. Robot. 2024, 4, 100155. [Google Scholar] [CrossRef]
  5. Imani, B.; Najafi, F. Sliding mode controller for a hybrid lower limb rehabilitation robot with fuzzy adjustment of impedance interaction: A patient cooperation approach. Proc. Inst. Mech. Eng. Part I J. Syst. Control. Eng. 2023, 237, 1678–1689. [Google Scholar] [CrossRef]
  6. Hu, X.; Liu, Y.; Wang, J. Fuzzy adaptive passive control strategy design for upper-limb rehabilitation robot. Sensors 2023, 23, 4042. [Google Scholar] [CrossRef]
  7. Vu, M.T.; Hsia, K.H.; El-Soussy, F.F.M.; Rojsiraphisal, T.; Rahmani, R.; Mobayen, S. Adaptive fuzzy control of a cable-driven parallel robot. Mathematics 2022, 10, 3826. [Google Scholar] [CrossRef]
  8. Vu, M.T.; Alattas, K.A.; Bouteraa, Y.; Rahmani, R.; Fekih, A.; Mobayen, S.; Assawinchaichote, W. Optimized fuzzy enhanced robust control design for a Stewart parallel robot. Mathematics 2022, 10, 1917. [Google Scholar] [CrossRef]
  9. Aghaseyedabdollah, M.; Abedi, M.; Pourgholi, M. Interval Type-2 fuzzy sliding mode control for a cable-driven parallel robot with elastic cables using metaheuristic optimization methods. Math. Comput. Simul. 2023, 218, 435–461. [Google Scholar] [CrossRef]
  10. Pulloquinga, J.L.; Escarabajal, R.J.; Valles, M.; Díaz-Rodríguez, M.; Mata, V. Admittance controller complemented with real-time singularity avoidance for rehabilitation parallel robots. Mechatronics 2023, 94, 103017. [Google Scholar] [CrossRef]
  11. Ayas, M.S.; Altas, I.H. Fuzzy logic based adaptive admittance control of a redundantly actuated ankle rehabilitation robot. Control Engineering Practice 2017, 59, 44–54. [Google Scholar] [CrossRef]
  12. Coco, C., Jr.; Spanos, J.; Osooli, H.; Azadeh, R. Design of fuzzy logic parameter tuners for upper-limb assistive robots. arXiv 2024, arXiv:2405.02495. [Google Scholar] [CrossRef]
  13. Chalaki, M.; Zakerimanesh, A.; Soleymani, A.; Mushahwar, V.; Tavakoli, M. Vision-based fuzzy control system for smart walkers: Enhancing usability for stroke survivors with unilateral upper limb impairments. arXiv 2025, arXiv:2502.00233. [Google Scholar] [CrossRef]
  14. Wang, Z.; Wang, Y.; Li, M.; Yang, Y. Research on fuzzy assisted interactive control of lower limb rehabilitation robot. J. Adv. Mech. Des. Syst. Manuf. 2025, 19, JAMDSM0028. [Google Scholar] [CrossRef]
  15. Ramirez Dominguez, E.H.; Benítez-Morales, J.G.; Licona Rodríguez, Á.R.; Alamilla Daniel, M.d.l.A.; Hernández-Pérez, J.; Xicoténcatl-Pérez, J.M. Design of a Robotic Device for Arm Rehabilitation. Int. J. Comb. Optim. Probl. Informatics 2025, 16, 46–63. [Google Scholar] [CrossRef]
  16. Sciavicco, L.; Siciliano, B. Modelling and Control of Robot Manipulators; Springer Science & Business Media: Berlin/Heidelberg, Germany, 2012. [Google Scholar]
  17. Company, O.; Marquet, F.; Pierrot, F. A new high-speed 4-DOF parallel robot synthesis and modeling issues. IEEE Trans. Robot. Autom. 2003, 19, 411–420. [Google Scholar] [CrossRef]
  18. Merlet, J.P. Parallel Robots; Springer Science & Business Media: Berlin/Heidelberg, Germany, 2005; Volume 128. [Google Scholar]
  19. Wu, W. DC motor parameter identification using speed step responses. Model. Simul. Eng. 2012, 2012, 189757. [Google Scholar] [CrossRef]
  20. Emhemed, A.A.; Mamat, R.B. Modelling and Simulation for Industrial DC Motor Using Intelligent Control. Procedia Eng. 2012, 41, 420–425. [Google Scholar] [CrossRef]
  21. Kuczmann, M. Review of DC Motor Modeling and Linear Control: Theory with Laboratory Tests. Electronics 2024, 13, 2225. [Google Scholar] [CrossRef]
  22. Ashar, N.; Yusoff, Z.M.; Ismail, N.; Hairuddin, M.A. ARX model identification for the real-time temperature process with Matlab-arduino implementation. ICIC Express Lett. 2020, 14, 103–111. [Google Scholar]
  23. Isaksson, A. Identification of ARX-models subject to missing data. IEEE Trans. Autom. Control. 1993, 38, 813–819. [Google Scholar] [CrossRef]
  24. Babuška, R.; Verbruggen, H. Neuro-fuzzy methods for nonlinear system identification. Annu. Rev. Control. 2003, 27, 73–85. [Google Scholar] [CrossRef]
  25. Basso, M.; Giarre, L.; Groppi, S.; Zappa, G. NARX models of an industrial power plant gas turbine. IEEE Trans. Control. Syst. Technol. 2005, 13, 599–604. [Google Scholar] [CrossRef]
  26. Piroddi, L.; Spinelli, W. An identification algorithm for polynomial NARX models based on simulation error minimization. Int. J. Control. 2003, 76, 1767–1781. [Google Scholar] [CrossRef]
  27. Jang, J.S. ANFIS: Adaptive-network-based fuzzy inference system. IEEE Trans. Syst. Man Cybern. 1993, 23, 665–685. [Google Scholar] [CrossRef]
  28. Al-Hmouz, A.; Shen, J.; Al-Hmouz, R.; Yan, J. Modeling and Simulation of an Adaptive Neuro-Fuzzy Inference System (ANFIS) for Mobile Learning. IEEE Trans. Learn. Technol. 2012, 5, 226–237. [Google Scholar] [CrossRef]
  29. Jovanovic, B.; Reljin, I.; Reljin, B. Modified ANFIS architecture - improving efficiency of ANFIS technique. In Proceedings of the 7th Seminar on Neural Network Applications in Electrical Engineering, Belgrade, Serbia, 23–25 September 2004; pp. 215–220. [Google Scholar] [CrossRef]
  30. Wang, L. A Course in Fuzzy Systems and Control; Prentice Hall PTR: Upper Saddle River, NJ, USA, 1997. [Google Scholar]
  31. Tanaka, K.; Wang, H.O. Fuzzy Control Systems Design and Analysis: A Linear Matrix Inequality Approach; John Wiley & Sons: Hoboken, NJ, USA, 2004. [Google Scholar]
  32. Chen, C.W. Modeling and Fuzzy PDC Control and Its Application to an Oscillatory TLP Structure. Math. Probl. Eng. 2010, 2010, 120403. [Google Scholar] [CrossRef]
  33. Lin, C.; Mon, Y. A fuzzy-PDC-based control for robotic systems. Inf. Sci. 2001, 137, 135–155. [Google Scholar] [CrossRef]
  34. Chang, W.J.; Ku, C.C.; Chang, C.H. PDC and Non-PDC fuzzy control with relaxed stability conditions for contintuous-time multiplicative noised fuzzy systems. J. Frankl. Inst. 2012, 349, 2664–2686. [Google Scholar] [CrossRef]
  35. Gholami, M.; Dashti, Z.; Hajimani, M. Design & implementation of fuzzy parallel distributed compensation controller for magnetic levitation system. IOSR J. Electr. Electron. Eng. 2017, 12, 20–28. [Google Scholar]
  36. Franklin, G.F.; Powell, J.D.; Emami-Naeini, A. Control de Sistemas Dinámicos con Retroalimentación; Addison-Wesley Iberoamericana: Mexico City, Mexico, 1991. [Google Scholar]
  37. Ogata, K. Ingeniería de Control Moderna; Pearson Educación: Mexico City, Mexico, 2003. [Google Scholar]
  38. Şen, M.A.; Kalyoncu, M. Optimal Tuning of PID Controller Using Grey Wolf Optimizer Algorithm for Quadruped Robot. Balk. J. Electr. Comput. Eng. 2018, 6, 29–35. [Google Scholar] [CrossRef]
  39. Seyyedabbasi, A.; Kiani, F. I-GWO and Ex-GWO: Improved algorithms of the Grey Wolf Optimizer to solve global optimization problems. Eng. Comput. 2021, 37, 509–532. [Google Scholar] [CrossRef]
  40. Faris, H.; Aljarah, I.; Al-Betar, M.A.; Mirjalili, S. Grey wolf optimizer: A review of recent variants and applications. Neural Comput. Appl. 2018, 30, 413–435. [Google Scholar]
  41. Jang, J.-S.R. MATLAB: Fuzzy Logic Toolbox User’s Guide: Version 1; Math Works, Inc.: Natick, MA, USA, 1997. [Google Scholar]
  42. Jamil, M.; Zeeshan, M. A Comparative Analysis of ANN and Chaotic Approach-Based Wind Speed Prediction in India. Neural Comput. Appl. 2019, 31, 6807–6819. [Google Scholar] [CrossRef]
  43. Hodson, T. Root-mean-square error (RMSE) or mean absolute error (MAE): When to use them or not. Geosci. Model Dev. 2022, 15, 5481–5487. [Google Scholar] [CrossRef]
  44. Liemohn, M.W.; Shane, A.D.; Azari, A.R.; Petersen, A.K.; Swiger, B.M.; Mukhopadhyay, A. RMSE is not enough: Guidelines to robust data-model comparisons for magnetospheric physics. J. Atmos. Sol.-Terr. Phys. 2021, 218, 105624. [Google Scholar] [CrossRef]
  45. Chen, J.L.; Liu, H.B.; Wu, W.; Xie, D.T. Estimation of monthly solar radiation from measured temperatures using support vector machines—A case study. Renew. Energy 2011, 36, 413–420. [Google Scholar] [CrossRef]
Figure 1. Render of the rehabilitation robotic system.
Figure 1. Render of the rehabilitation robotic system.
Actuators 14 00495 g001
Figure 2. D-H wired diagram.
Figure 2. D-H wired diagram.
Actuators 14 00495 g002
Figure 3. Diagram of distance along the Z-axis.
Figure 3. Diagram of distance along the Z-axis.
Actuators 14 00495 g003
Figure 4. Inverse kinematics diagram.
Figure 4. Inverse kinematics diagram.
Actuators 14 00495 g004
Figure 5. DC motor model.
Figure 5. DC motor model.
Actuators 14 00495 g005
Figure 6. Parametric identification of the system with a description of the input–output.
Figure 6. Parametric identification of the system with a description of the input–output.
Actuators 14 00495 g006
Figure 7. Error system.
Figure 7. Error system.
Actuators 14 00495 g007
Figure 8. ANFIS architecture.
Figure 8. ANFIS architecture.
Actuators 14 00495 g008
Figure 9. Basic configuration of fuzzy systems.
Figure 9. Basic configuration of fuzzy systems.
Actuators 14 00495 g009
Figure 10. PDC fuzzy controller.
Figure 10. PDC fuzzy controller.
Actuators 14 00495 g010
Figure 11. Grey Wolf Optimizer flowchart.
Figure 11. Grey Wolf Optimizer flowchart.
Actuators 14 00495 g011
Figure 12. Input and output learning data.
Figure 12. Input and output learning data.
Actuators 14 00495 g012
Figure 13. MATLAB® model of ANFIS structure.
Figure 13. MATLAB® model of ANFIS structure.
Actuators 14 00495 g013
Figure 14. ANFIS model inputs and output surfaces.
Figure 14. ANFIS model inputs and output surfaces.
Actuators 14 00495 g014
Figure 15. Simulated angular position of the PDC fuzzy controller compared to the reference trajectory.
Figure 15. Simulated angular position of the PDC fuzzy controller compared to the reference trajectory.
Actuators 14 00495 g015
Figure 16. Error dynamics of the fuzzy PDC controller.
Figure 16. Error dynamics of the fuzzy PDC controller.
Actuators 14 00495 g016
Figure 17. Output of the fuzzy PDC controller (PWM).
Figure 17. Output of the fuzzy PDC controller (PWM).
Actuators 14 00495 g017
Figure 18. Current time position of the PDC fuzzy controller.
Figure 18. Current time position of the PDC fuzzy controller.
Actuators 14 00495 g018
Figure 19. Current time Error Dynamics of the PDC fuzzy controller.
Figure 19. Current time Error Dynamics of the PDC fuzzy controller.
Actuators 14 00495 g019
Figure 20. Current time output of the PDC fuzzy controller (PWM).
Figure 20. Current time output of the PDC fuzzy controller (PWM).
Actuators 14 00495 g020
Figure 21. Reference trajectory.
Figure 21. Reference trajectory.
Actuators 14 00495 g021
Figure 22. Current position vs. desired position with trajectory for rehabilitation (fuzzy PDC controller).
Figure 22. Current position vs. desired position with trajectory for rehabilitation (fuzzy PDC controller).
Actuators 14 00495 g022
Figure 23. Error dynamics of joint q 1 with PDC fuzzy controller.
Figure 23. Error dynamics of joint q 1 with PDC fuzzy controller.
Actuators 14 00495 g023
Figure 24. Error dynamics of joint q 12 with PDC fuzzy controller.
Figure 24. Error dynamics of joint q 12 with PDC fuzzy controller.
Actuators 14 00495 g024
Figure 25. Pulse width modulation of joint q 1 of the PDC fuzzy controller.
Figure 25. Pulse width modulation of joint q 1 of the PDC fuzzy controller.
Actuators 14 00495 g025
Figure 26. Pulse width modulation of joint q 12 of the PDC fuzzy controller.
Figure 26. Pulse width modulation of joint q 12 of the PDC fuzzy controller.
Actuators 14 00495 g026
Table 1. Summary of recent fuzzy control strategies in parallel and assistive rehabilitation robots (2022–2025).
Table 1. Summary of recent fuzzy control strategies in parallel and assistive rehabilitation robots (2022–2025).
YearAuthor(s)Robot (DOF)/TypeFuzzy Control AppliedApplicationKey Contribution
2023Hu et al. [6]Bilateral upper-limb robotFuzzy adaptive passive controlUpper-limb rehabPersonalized assistance, promotes user initiative
2022Vu et al. [7]CDPR (simulation)Adaptive fuzzy controllerGeneral simulationHigh-precision trajectory tracking, dynamic gain tuning
2022Vu et al. [8]Stewart platform (6 DOF)Sliding mode control with fuzzy gain adjustmentParallel platform controlReduced chattering, smoother dynamic behavior
2023Aghaseyedabdollah et al. [9]Elastic cable CDPRInterval type-2 fuzzy SMCSimulationRobustness to cable elasticity and dynamic uncertainty
2024Pulloquinga et al. [10]Parallel robot (4 DOF, knee)Admittance control with fuzzy logic and singularity avoidanceKnee rehabilitationReal-time safety near singular configurations
2023Ayas & Altaş [11]Parallel ankle robotAdaptive fuzzy admittance controlAnkle rehabilitationEnhances human–robot cooperation and adaptive impedance
2024Coco et al. [12]Upper-limb exoskeletonFuzzy parameter tuning via EMGAssistive roboticsReal-time gain adaptation using muscle signals
2025Chalaki et al. [13]Smart walker (vision-based)Vision-driven fuzzy logic controlPost-stroke walking assistanceInterprets user intent, reduces effort with one arm
2025Wang et al. [14]CDPR (legs)Fuzzy-assisted interaction + impedance/admittanceLower-limb rehabAdaptive assistance based on cable tension and interaction
Table 2. D–H parameters for the two-joint model.
Table 2. D–H parameters for the two-joint model.
Joint ( i ) θ i d i a i α i
1 π 2 + q 1 a 1 l 1 0
2 π 2 + ( q 1 q 12 ) a 2 l 3 + l 5 0
Table 3. ANFIS identification (1275 datapoints).
Table 3. ANFIS identification (1275 datapoints).
Learning DataTypeMF/InputRMSE
θ ( k ) , u ( k ) Gaussian3, 31.6801
θ ( k ) , u ( k ) Gaussian3, 21.7007
θ ( k ) , u ( k ) Gaussian2, 31.729
θ ( k ) , u ( k ) Gaussian2, 21.7414
θ ( k ) , θ ( k 1 ) , u ( k ) Gaussian3, 3, 30.26446
θ ( k ) , θ ( k 1 ) , u ( k ) Gaussian3, 3, 20.28177
θ ( k ) , θ ( k 1 ) , u ( k ) Gaussian3, 2, 20.31008
θ ( k ) , θ ( k 1 ) , u ( k ) Gaussian2, 2, 20.31842
Table 4. Parameters of the membership functions.
Table 4. Parameters of the membership functions.
Parameters
InputLinguistic VariableMFCenter  ( c )Dispersion ( σ )
θ ( k ) Neg μ 11 −289.0366245.1064
θ ( k ) Pos μ 12 165.5040244.5231
θ ( k 1 ) Neg μ 21 −294.3894240.4092
θ ( k 1 ) Pos μ 22 169.8350230.1140
u ( k ) Neg μ 31 −156.2638173.1065
u ( k ) Pos μ 32 167.7756199.8454
Table 5. Results of the GWO in five experiments (values rounded to four decimal places).
Table 5. Results of the GWO in five experiments (values rounded to four decimal places).
TestIterationsAgentsBoundsRMS1_GWORMS1_SIMU
1510[0.04, 0.98]0.81170.8302
21515[0.04, 0.98]0.79710.7995
33015[0.04, 0.98]0.76010.8008
45050[0.04, 0.98]0.75620.7579
5100100[0.04, 0.98]0.75460.7729
Table 6. Poles assigned to each consequent using GWO for the actuator.
Table 6. Poles assigned to each consequent using GWO for the actuator.
RulePoles
10.26760.6735
20.21800.3513
30.16540.4146
40.39940.2308
50.64100.2691
60.27780.3491
70.81300.3941
80.99000.5299
Table 7. Performance of GWO for pole selection in both joints of the rehabilitation robot (values rounded to four decimal places).
Table 7. Performance of GWO for pole selection in both joints of the rehabilitation robot (values rounded to four decimal places).
TestIterationsAgentsBoundsRMS1_GWORMS1_SIMURMS2_GWORMS2_SIMU
1510[0.04, 0.98]2.53062.90062.61785.2355
21515[0.04, 0.98]2.52252.90672.56925.2414
33015[0.04, 0.98]2.51972.90672.56095.1954
45050[0.04, 0.98]2.78412.78412.53845.5211
5100100[0.04, 0.98]2.51372.81162.53175.5522
Table 8. Poles assigned using the GWO algorithm.
Table 8. Poles assigned using the GWO algorithm.
RulePoles q 1 Poles q 2
10.11560.07800.36290.2737
20.74150.70770.99000.9713
30.27750.35170.21190.7413
40.16680.22970.15510.5529
50.31690.17320.47280.3004
60.85930.45360.08780.0740
70.93600.99000.99000.9900
80.59100.79660.37400.4380
Disclaimer/Publisher’s Note: The statements, opinions and data contained in all publications are solely those of the individual author(s) and contributor(s) and not of MDPI and/or the editor(s). MDPI and/or the editor(s) disclaim responsibility for any injury to people or property resulting from any ideas, methods, instructions or products referred to in the content.

Share and Cite

MDPI and ACS Style

Ramirez-Dominguez, E.H.; Benítez-Morales, J.G.; Cervantes-Reyes, J.E.; Alamilla-Daniel, M.d.l.A.; Licona-Rodríguez, A.R.; Xicoténcatl-Pérez, J.M.; Ramos-Fernández, J.C. Identification and Fuzzy Control of the Trajectory of a Parallel Robot: Application to Medical Rehabilitation. Actuators 2025, 14, 495. https://doi.org/10.3390/act14100495

AMA Style

Ramirez-Dominguez EH, Benítez-Morales JG, Cervantes-Reyes JE, Alamilla-Daniel MdlA, Licona-Rodríguez AR, Xicoténcatl-Pérez JM, Ramos-Fernández JC. Identification and Fuzzy Control of the Trajectory of a Parallel Robot: Application to Medical Rehabilitation. Actuators. 2025; 14(10):495. https://doi.org/10.3390/act14100495

Chicago/Turabian Style

Ramirez-Dominguez, Elihu H., José G. Benítez-Morales, Jesus E. Cervantes-Reyes, Ma. de los Angeles Alamilla-Daniel, Angel R. Licona-Rodríguez, Juan M. Xicoténcatl-Pérez, and Julio Cesar Ramos-Fernández. 2025. "Identification and Fuzzy Control of the Trajectory of a Parallel Robot: Application to Medical Rehabilitation" Actuators 14, no. 10: 495. https://doi.org/10.3390/act14100495

APA Style

Ramirez-Dominguez, E. H., Benítez-Morales, J. G., Cervantes-Reyes, J. E., Alamilla-Daniel, M. d. l. A., Licona-Rodríguez, A. R., Xicoténcatl-Pérez, J. M., & Ramos-Fernández, J. C. (2025). Identification and Fuzzy Control of the Trajectory of a Parallel Robot: Application to Medical Rehabilitation. Actuators, 14(10), 495. https://doi.org/10.3390/act14100495

Note that from the first issue of 2016, this journal uses article numbers instead of page numbers. See further details here.

Article Metrics

Back to TopTop