Piezoelectric Linear Motors with Alternating Action for Motion Servo System of Probe Station
Abstract
1. Introduction
2. Structure and Working Principle
2.1. Structure of Motor
2.2. Working Principle
3. Design and Analysis
3.1. Mechanism Design and Static Analysis
3.2. Dynamic Analysis of the Motor
4. Experiments
4.1. Experimental Test System
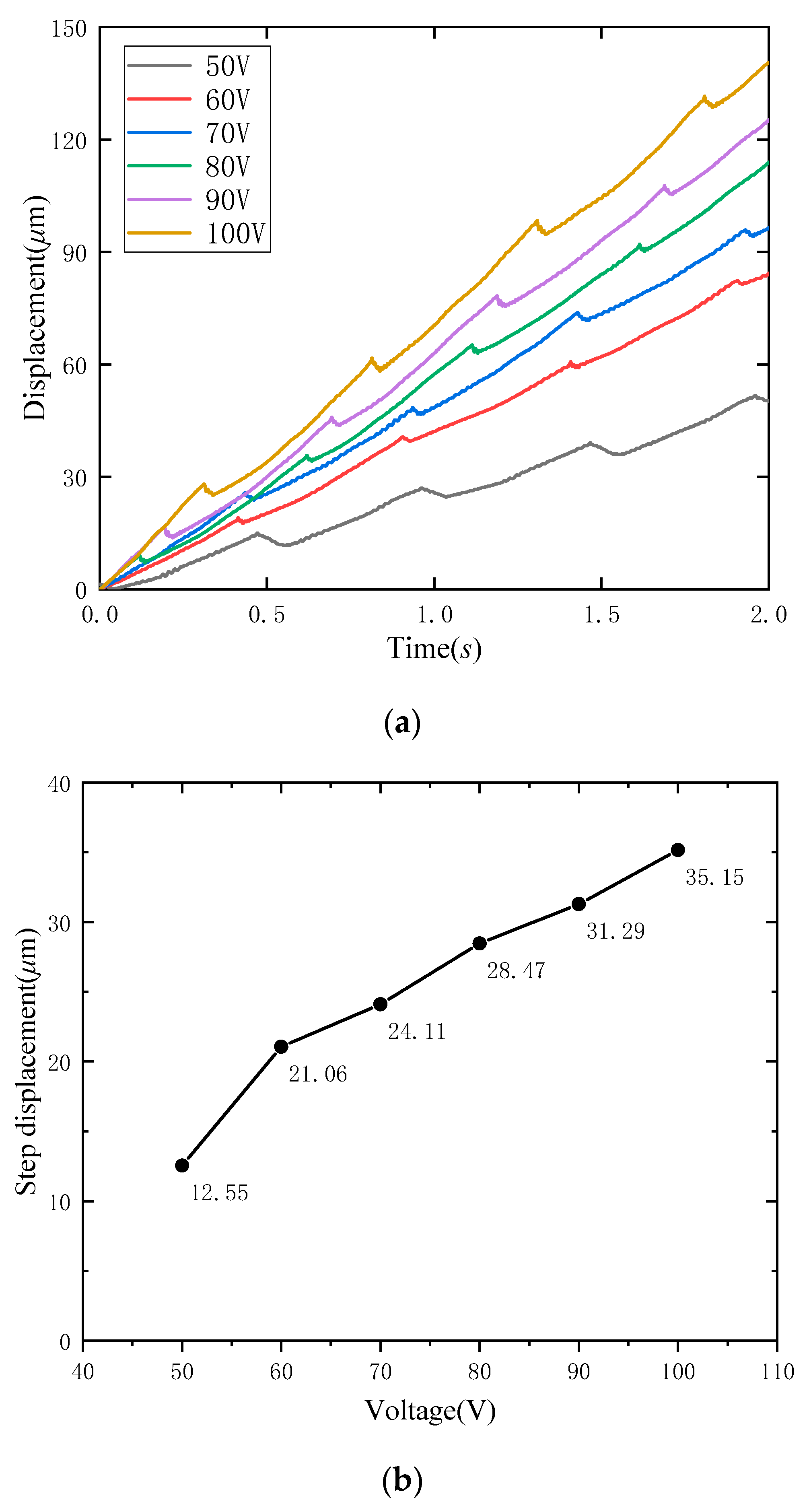
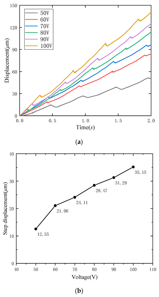
4.2. Motor Movement Characteristics
4.3. Simulation versus Experiment
5. Conclusions
Author Contributions
Funding
Data Availability Statement
Conflicts of Interest
References
- Zuo, Y.; Lin, H.; Guo, J.; Yuan, Y.; He, H.; Li, Y.; Xiao, Y.; Li, X.; Zhu, K.; Wang, T.; et al. Effect of the Pressure Exerted by Probe Station Tips in the Electrical Characteristics of Memristors. Adv. Electron. Mater. 2020, 6, 1901226. [Google Scholar] [CrossRef]
- Li, J.; Liao, H.; Ge, D.; Zhou, C.; Xiao, C.; Tian, Q.; Zhu, W. An Electromechanical Model and Simulation for Test Process of the Wafer Probe. IEEE Trans. Ind. Electron. 2017, 64, 1284–1291. [Google Scholar] [CrossRef]
- Deng, T.; Lan, T.; Tan, M.; Zhu, J.; Wu, J.; Xu, H.; Chen, C.; Adil, Y.; Zhang, S.; Wu, J.; et al. Fast Radial Scanning Probe System on KTX. Plasma Sci. Technol. 2020, 22, 45602. [Google Scholar] [CrossRef]
- Huang, T.; Kang, Y.; Du, S.; Zhang, Q.; Luo, Z.; Tang, Q.; Yang, K. A Survey of Modeling and Control in Ball Screw Feed-Drive System. Int. J. Adv. Manuf. Technol. 2022, 121, 2923–2946. [Google Scholar] [CrossRef]
- Brecher, C.; Eßer, B.; Falker, J.; Kneer, F.; Fey, M. Modelling of Ball Screw Drives Rolling Element Contact Characteristics. CIRP Ann. 2018, 67, 409–412. [Google Scholar] [CrossRef]
- Liu, J.; Cao, J.; Cheng, Z.; Li, L. Study on the Position Estimation Method of Winding Segmented Permanent Magnet Linear Motor. IEEE Access 2022, 10, 51242–51248. [Google Scholar] [CrossRef]
- Eguren, I.; Almandoz, G.; Egea, A.; Ugalde, G.; Escalada, A.J. Linear Machines for Long Stroke Applications—A Review. IEEE Access 2020, 8, 3960–3979. [Google Scholar] [CrossRef]
- McCrory, D.J.; Anders, M.A.; Ryan, J.T.; Shrestha, P.R.; Cheung, K.P.; Lenahan, P.M.; Campbell, J.P. Slow- and Rapid-Scan Frequency-Swept Electrically Detected Magnetic Resonance of MOSFETs with a Non-Resonant Microwave Probe within a Semiconductor Wafer-Probing Station. Rev. Sci. Instrum. 2019, 90, 14708. [Google Scholar] [CrossRef]
- Spanner, K.; Koc, B. Piezoelectric Motors, an Overview. Actuators 2016, 5, 6. [Google Scholar] [CrossRef]
- Li, J.; Huang, H.; Morita, T. Stepping Piezoelectric Actuators with Large Working Stroke for Nano-Positioning Systems: A Review. Sens. Actuators A Phys. 2019, 292, 39–51. [Google Scholar] [CrossRef]
- Shi, Y.; Lou, C.; Zhang, J. Investigation on a Linear Piezoelectric Actuator Based on Stick-Slip/Scan Excitation. Actuators 2021, 10, 39. [Google Scholar] [CrossRef]
- Kiong Tan, K.; Liang, W.; Huang, S.; Pham, L.P.; Chen, S.; Wee Gan, C.; Yee Lim, H. Precision Control of Piezoelectric Ultrasonic Motor for Myringotomy with Tube Insertion. J. Dyn. Syst. Meas. Control. 2015, 137, 064504. [Google Scholar] [CrossRef]
- Delibas, B.; Koç, B. Single Crystal Piezoelectric Motor Operating with Both Inertia and Ultrasonic Resonance Drives. Ultrasonics 2024, 136, 107140. [Google Scholar] [CrossRef]
- Jian, Y.; Yao, Z.; Silberschmidt, V.V. Linear Ultrasonic Motor for Absolute Gravimeter. Ultrasonics 2017, 77, 88–94. [Google Scholar] [CrossRef]
- Ryndzionek, R.; Sienkiewicz, Ł. A Review of Recent Advances in the Single- and Multi-Degree-of-Freedom Ultrasonic Piezoelectric Motors. Ultrasonics 2021, 116, 106471. [Google Scholar] [CrossRef] [PubMed]
- Li, H.; Liu, Y.; Deng, J.; Chen, W.; Li, K. Design Philosophy for Ultrasonic Motors Using the Bending Hybrid Modes. Sens. Actuators A Phys. 2021, 331, 113029. [Google Scholar] [CrossRef]
- Sanikhani, H.; Akbari, J. Design and Analysis of an Elliptical-Shaped Linear Ultrasonic Motor. Sens. Actuators A Phys. 2018, 278, 67–77. [Google Scholar] [CrossRef]
- Wang, L.; Chen, W.; Liu, J.; Deng, J.; Liu, Y. A Review of Recent Studies on Non-Resonant Piezoelectric Actuators. Mech. Syst. Signal Process. 2019, 133, 106254. [Google Scholar] [CrossRef]
- Sun, M.; Huang, W.; Wang, Y.; Lu, Q.; Su, Z. Research on a Novel Non-Resonant Piezoelectric Linear Motor with Lever Amplification Mechanism. Sens. Actuators A Phys. 2017, 261, 302–310. [Google Scholar] [CrossRef]
- Wang, Y.; Chen, Z.; Shi, Y.; Cui, C.; Cheng, F. Longitudinal Composite-Mode Linear Ultrasonic Motor for Motion Servo System of Probe Station. Actuators 2020, 9, 111. [Google Scholar] [CrossRef]
- Li, J.; Wang, Y.; Chen, Z.; Cheng, F.; Yu, Q. A Compact Linear Ultrasonic Motor Composed by Double Flexural Vibrator. Micromachines 2021, 12, 958. [Google Scholar] [CrossRef] [PubMed]
- Cheng, T.; He, M.; Li, H.; Lu, X.; Zhao, H.; Gao, H. A Novel Trapezoid-Type Stick–Slip Piezoelectric Linear Actuator Using Right Circular Flexure Hinge Mechanism. IEEE Trans. Ind. Electron. 2017, 64, 5545–5552. [Google Scholar] [CrossRef]
- He, L.; Chu, Y.; Hao, S.; Zhao, X.; Dong, Y.; Wang, Y. Inertial Piezoelectric Linear Motor Driven by a Single-Phase Harmonic Wave with Automatic Clamping Mechanism. Rev. Sci. Instrum. 2018, 89, 55008. [Google Scholar] [CrossRef]
- Qiao, G.; Li, H.; Lu, X.; Wen, J.; Cheng, T. Piezoelectric Stick-Slip Actuators with Flexure Hinge Mechanisms: A Review. J. Intell. Mater. Syst. Struct. 2022, 33, 1879–1901. [Google Scholar] [CrossRef]
- Ma, X.; Liu, Y.; Deng, J.; Zhang, S.; Liu, J. A Walker-Pusher Inchworm Actuator Driven by Two Piezoelectric Stacks. Mech. Syst. Signal Process. 2022, 169, 108636. [Google Scholar] [CrossRef]
- Wang, L.; Jin, J.; Zhang, H.; Wang, F.; Jiang, Z. Theoretical Analysis and Experimental Investigation on a Novel Self-Moving Linear Piezoelectric Stepping Actuator. Mech. Syst. Signal Process. 2020, 135, 106183. [Google Scholar] [CrossRef]
- Wang, Y.; Yang, C.; Cui, C. Non-Resonant Piezoelectric Linear Motor with Alternating Normal Contact Force. Rev. Sci. Instrum. 2022, 93, 25007. [Google Scholar] [CrossRef]
- Yun, H.; Kong, D.; Aoyagi, M. Development of a Multi-Drive-Mode Piezoelectric Linear Actuator with Parallel-Arrangement Dual Stator. Precis. Eng. 2022, 77, 127–140. [Google Scholar] [CrossRef]
- Zhang, Y.; Peng, Y.; Sun, Z.; Yu, H. A Novel Stick–Slip Piezoelectric Actuator Based on a Triangular Compliant Driving Mechanism. IEEE Trans. Ind. Electron. 2019, 66, 5374–5382. [Google Scholar] [CrossRef]
- Huang, W.; Sun, M. Design, Analysis, and Experiment on a Novel Stick-Slip Piezoelectric Actuator with a Lever Mechanism. Micromachines 2019, 10, 863. [Google Scholar] [CrossRef]
- Dong, H.; Li, T.; Wang, Z.; Ning, Y. Design and Experiment of a Piezoelectric Actuator Based on Inchworm Working Principle. Sens. Actuators A Phys. 2020, 306, 111950. [Google Scholar] [CrossRef]
- Yang, C.; Wang, Y.; Fan, W. Long Stroke Design of Piezoelectric Walking Actuator for Wafer Probe Station. Micromachines 2022, 13, 412. [Google Scholar] [CrossRef] [PubMed]
- Wen, J.; Wan, N.; Wang, R.; Chen, S.; Zheng, J.; Li, J. A Novel Linear Walking Type Piezoelectric Actuator Based on the Parasitic Motion of Flexure Mechanisms. IEEE Access 2019, 7, 25908–25914. [Google Scholar] [CrossRef]
- Li, J.; Cai, J.; Wan, N.; Hu, Y.; Wen, J.; Kan, J.; Chen, S.; Zhao, H. A Novel Bionic Piezoelectric Actuator Based on the Walrus Motion. J. Bionic Eng. 2021, 18, 1117–1125. [Google Scholar] [CrossRef]
- Khalil, H.K. Nonlinear Systems; MacMillan Publishing Company: New York, NY, USA, 1992. [Google Scholar]
- Mathu, A.; Badr, S.R. Dynamic Characteristic of Combined Viscous and Coulomb Damping under Varying Nature of Material and Coefficient of Friction. J. Phys. Conf. Ser. 2020, 1706, 12179. [Google Scholar] [CrossRef]












| Model Number | Nominal Travel [μm] ±10% | Stiffness [N/μm] ±10% | Electrostatic Capacity [μF] ±10% | Length [mm] ±0.3 |
|---|---|---|---|---|
| PSt150/7/7VS12 | 9 | 120 | 0.7 | 19 |
| PSt150/7/60VS12 | 57 | 15 | 5.4 | 64 |
| Parameter | Value | Parameter | Value |
|---|---|---|---|
| MP1 | 0.047 kg | CP1 | 40 N∙s/m |
| MP2 | 0.069 kg | CP2 | 20 N∙s/m |
| Mf | 0.011 kg | F0 | 5 N |
| MD | 0.079 kg | n1d33 | 1.026 × 10−10 m/V |
| MS | 0.689 kg | n2d33 | 3.456 × 10−10 m/V |
| KP1 | 50 × 106 N/m | µc | 0.35 |
| KP2 | 15 × 106 N/m | µv | 0.4 |
Disclaimer/Publisher’s Note: The statements, opinions and data contained in all publications are solely those of the individual author(s) and contributor(s) and not of MDPI and/or the editor(s). MDPI and/or the editor(s) disclaim responsibility for any injury to people or property resulting from any ideas, methods, instructions or products referred to in the content. |
© 2024 by the authors. Licensee MDPI, Basel, Switzerland. This article is an open access article distributed under the terms and conditions of the Creative Commons Attribution (CC BY) license (https://creativecommons.org/licenses/by/4.0/).
Share and Cite
Huang, L.; Wang, Y.; Cheng, F.; Yu, Q.; Huang, W. Piezoelectric Linear Motors with Alternating Action for Motion Servo System of Probe Station. Actuators 2024, 13, 288. https://doi.org/10.3390/act13080288
Huang L, Wang Y, Cheng F, Yu Q, Huang W. Piezoelectric Linear Motors with Alternating Action for Motion Servo System of Probe Station. Actuators. 2024; 13(8):288. https://doi.org/10.3390/act13080288
Chicago/Turabian StyleHuang, Lin, Yin Wang, Fang Cheng, Qing Yu, and Weiqing Huang. 2024. "Piezoelectric Linear Motors with Alternating Action for Motion Servo System of Probe Station" Actuators 13, no. 8: 288. https://doi.org/10.3390/act13080288
APA StyleHuang, L., Wang, Y., Cheng, F., Yu, Q., & Huang, W. (2024). Piezoelectric Linear Motors with Alternating Action for Motion Servo System of Probe Station. Actuators, 13(8), 288. https://doi.org/10.3390/act13080288

