Next Article in Journal
Distributed Event-Triggered Optimal Algorithm Designs for Economic Dispatching of DC Microgrid with Conventional and Renewable Generators: Actuator-Based Control and Optimization
Previous Article in Journal
Piezoelectric Linear Motors with Alternating Action for Motion Servo System of Probe Station
 
 
Font Type:
Arial Georgia Verdana
Font Size:
Aa Aa Aa
Line Spacing:
Column Width:
Background:
Article

Experimental Study on the Longitudinal Motion Performance of a Spherical Robot Rolling on Sandy Terrain

1
School of Intelligent Engineering and Automation, Beijing University of Posts and Telecommunications, Beijing 100876, China
2
China Coal Research Institute, Beijing 100013, China
*
Authors to whom correspondence should be addressed.
Actuators 2024, 13(8), 289; https://doi.org/10.3390/act13080289
Submission received: 11 July 2024 / Revised: 27 July 2024 / Accepted: 29 July 2024 / Published: 31 July 2024
(This article belongs to the Section Actuators for Robotics)

Abstract

To provide the necessary theoretical models of sphere–soil interaction for the structural design, motion control, and simulation of spherical robots, this paper derives analytical expressions for traction force and driving torque when spherical robots slide and sink into sandy terrain, based on terramechanics and multibody dynamics. Furthermore, orthogonal experimental analysis identifies the load, joint angular acceleration, and maximum joint angular velocity of spherical robots as influencing factors, highlighting that the load significantly affects their longitudinal motion performance. Experimental results indicate that rolling friction and additional resistance on sandy terrain cannot be ignored. The corrected theoretical model effectively replicates the temporal variation of driving torque exerted by spherical robots on sandy terrain. Numerical computations and experimental analyses demonstrate that increasing the radius of the sphere shell, the load, and the slip ratio all lead to increased traction force and driving torque. However, traction force and driving torque begin to decrease once the slip ratio reaches approximately 0.5. Therefore, in the design of spherical robot structures and control laws, appropriate parameters such as load and slip ratio should be chosen based on the established sphere–soil interaction theoretical model to achieve high-quality longitudinal motion performance on sandy terrain.

1. Introduction

A spherical robot is a fully enclosed robot with a spherical shell that achieves movement through principles such as center of mass offset or momentum conservation. This type of robot has good sealing, strong balance, high maneuverability, and no risk of overturning. It offers significant advantages and wide application prospects in fields such as planetary exploration and hazardous environment detection [1]. In the study of spherical robot motion performance, three common assumptions are often made [2]: (1) The spherical shell undergoes pure rolling, meaning the linear velocity of the center of the sphere v = , where R is the radius of the sphere shell and ω is the angular velocity of the sphere shell. (2) The spherical shell does not move along the z-axis perpendicular to the ground; thus, the displacement z of the center and its linear velocity are both zero. (3) The spherical shell makes point contact with the ground, implying that the rolling friction on the ground is negligible and can be disregarded. When spherical robots roll on flat, hard surfaces, the above three assumptions are acceptable. However, when these robots operate in unstructured environments such as wilderness or planetary surfaces, they encounter challenges posed by soft terrains like sand, grass, snow, and mud. Issues such as shell sinking, slipping, and sliding arise, rendering the aforementioned assumptions inadequate for analyzing the motion performance of spherical robots in such conditions. Addressing these challenges involves studying the mechanics of interaction between spherical robots and soft ground surfaces.
Currently, there has been extensive research on the drive structure [3,4], control methods [5,6], and motion planning of spherical robots [7,8]. However, there is relatively limited literature on the analysis and testing of the mechanical interaction characteristics between spherical robots and soft ground surfaces. The research methods of terramechanics can be divided into five categories: pure empirical method; model test and dimensional analysis method; semi-empirical method; basic theoretical research method; and numerical simulation method. Based on classical terramechanics, the semi-empirical method obtains a series of semi-empirical calculation formulas through a large number of laboratory simulation tests. This method has controllable experimental conditions and strong repeatability and comparability of test results, so it is the most commonly used analysis method at present. The Bekker model [9] is the most commonly used semi-empirical model. Many researchers conduct experiments using Bekker models directly applied [10] or modified with additional parameters [11], utilizing soil bin test rigs to study the ground mechanics characteristics of the cylindrical wheels of planetary rovers [12,13] or the tracked wheels of off-road vehicles [14,15], aiming to improve the motion performance of robots. In 2001, Albert [16] studied empirical formulas for the drag force experienced by spherical and other shaped objects moving through a static, densely packed particle medium. In 2003, Durian [17] summarized semi-empirical formulas relating crater diameter and depth to sphere mass, diameter, and drop height based on experiments involving solid spheres sinking into granular materials. These formulas depend solely on intrinsic properties such as sphere density, particle density, and particle internal friction angle. In 2013, Durian [18] proposed a RFT (rolling friction theory) pressure model that does not include the sand sinkage coefficient n. This model involves sand parameters such as internal friction angle φ and sand density ρ when calculating load bearing capacity. The empirical model can be used to predict the motion forces of arbitrary-shaped objects in granular media [19]. In 2015, Zhang [20] used the discrete element method to simulate the free sinking process of spherical objects in dry sand, showing that the depth of sinking is linearly proportional to the object’s mass. In 2018, Kang [21] explained, using the Archimedes principle, that the relationship between penetration depth and the resisting force during the intrusion of solid objects into granular matter is initially nonlinear and later becomes linear.
In summary, the existing literature predominantly focuses on solid spheres interacting with dry loose sand, studying the mechanical characteristics of the static sinking or dragging of spheres in such conditions. These studies explain the relationship between sphere sinking depth and applied traction force but do not address how the slip ratio of the sphere shell affects the traction force and driving torque of spherical robots. By establishing a mechanical interaction model between spherical robots and dry loose sand, and conducting forced slipping experiments, one can determine how the traction force and driving torque of spherical robots vary with slip ratio and sphere shell parameters on dry loose sand surfaces where parameters can be calibrated. For unstructured terrains where exact ground parameters are unknown, adjustments to the spherical robot’s own parameters such as load, joint angular acceleration, and maximum joint angular velocity are necessary to achieve smooth rolling. Therefore, this paper primarily investigates the key factors influencing the longitudinal motion performance of spherical robots and constructs a mechanical interaction model between spherical robots and dry loose sand. The model is validated through experiments.
This research will provide referable sphere–soil interaction models for the structural design, motion control, and simulation of spherical robots in sandy terrain. The remaining work is organized as follows. Section 2 introduces contact modeling, including the sphere–soil interaction models and the multi-body dynamics model of spherical robot. Section 3 proposes the orthogonal experiment and the forced sliding experiment, and analyzes the experimental results. Section 4 presents the conclusion.

2. Mathematical Model

The modeling of the interaction between spherical robots and sandy terrain can be divided into two main parts. The first part elaborately derives the relationships among traction force, driving torque, and slip ratio of the spherical shell when rolling on sandy terrain. The second part discusses the dynamic relationships between the internal driving unit and the spherical shell.

2.1. The Mechanical Interaction Model between the Spherical Shell and Sandy Terrain

The modeling method of the interaction force model between the spherical shell and sandy terrain is as follows: The spherical shell is cut into countless small discs perpendicular to the rotation axis X of the spherical robot, as shown in Figure 1a. Each small disc is regarded as a small cylindrical wheel [17]. The dynamic force of the entire spherical shell can be calculated by the principles of calculus.
Defining the rotational angular velocity of the spherical shell as ω and the actual forward velocity as v , the slip ratio on the maximum cross-section of the spherical shell is given by s = ( R ω v ) / ( R ω ) , as shown in Figure 1b. Different cross-sections with varying diameters have different slip ratios. Once the slip ratio on the maximum cross-section is determined, the slip ratio s x on a cross-section with radius r x can be derived from geometric relationships, as shown in Figure 1c, as follows:
s x = [ r x R ( 1 s ) ] / r x
where r x = R 2 x 2 . The spherical robot has a slip ratio of 0 without sliding, that is, with pure rolling. When it slides on sandy terrain, its actual linear velocity is smaller than the theoretical linear velocity, and the actual linear velocity is not less than 0, which means that the spherical robot will not experience reverse displacement during its forward movement. Therefore, the sliding ratio range here is s [ 0 , 1 ] . The integral range of x is [ d / 2 , d / 2 ] , and the rut width d is related to the sinking depth z and the radius R of the spherical shell:
d = 2 [ R 2 ( R z ) 2 ] 1 / 2
The sinking depth z of the maximum cross-section of the spherical shell is as follows:
z = R ( 1 cos θ 1 )
where θ 1 is the approach angle of the maximum cross-section of the spherical shell and θ 2 is the departure angle. For rigid wheels or soft terrain with small cohesion, θ 2 can be taken as 0. The value θ m is the maximum stress angle, as shown in Figure 1b. The normal stress and shear stress in the interval [ θ 2 , θ m ] are σ 2 and τ 2 , respectively, and the normal stress and shear stress in the interval [ θ m , θ 1 ] are σ 1 and τ 1 , respectively.
Assume that θ x 1 is the approach angle and θ x 2 is the departure angle on the cross-section with radius r x , as shown in Figure 1c. If the spherical shell is a rigid body, then θ x 2 = 0 . The value θ x m is the maximum normal stress angle and z x is the maximum sinkage of this cross-section. The normal stress and tangential stress at a point on the outer edge of this cross-section are expressed as follows [18]:
{ σ 1 ( θ x ) = K s r x n ( cos θ x cos θ x 1 ) n , θ x m θ x θ x 1 σ 2 ( θ x ) = K s r x n { cos [ θ x 1 θ x ( θ x 1 θ x m ) / θ x m ] cos θ x 1 } n ,   0 θ x θ x m τ 1 ( θ x ) = [ c + σ 1 ( θ x ) tan ϕ ] ( 1 e j x / j 0 ) , θ x m θ x θ x 1 τ 2 ( θ x ) = [ c + σ 2 ( θ x ) tan ϕ ] ( 1 e j x / j 0 ) , 0 θ x θ x m
where n is the sinkage coefficient, which is calibrated through experimental fitting; c is the cohesion; ϕ is the internal friction angle; and K s = ( k c / b + k φ ) is the bearing coefficient. For cohesionless sandy soil, the influence of k c is minimal and can be ignored, so K s k φ . θ x 1 = arccos [ ( r x z x ) / r x ] is the approach angle of the cross-section with radius r x , j ( θ x ) = r x [ ( θ x 1 θ x ) ( 1 s x ) ( sin θ x 1 sin θ x ) ] is the cross-section shear displacement, z x = r x R cos θ 1 = ( R 2 x 2 ) 1 / 2 R cos θ 1 is the maximum sinkage, and θ x m = ( c 1 + c 2 s x ) θ x 1 is the maximum stress angle.
Then, the expressions of the load W , traction force D P , and driving torque T of the spherical shell can be written as follows:
W = 2 0 d / 2 d x [ θ x m θ x 1 ( σ 1 ( θ x ) cos θ x + τ 1 ( θ x ) sin θ x ) r x d θ x + 0 θ x m ( σ 2 ( θ x ) cos θ x + τ 2 ( θ x ) sin θ x ) r x d θ x ]
D P = 2 0 d / 2 d x [ θ x m θ x 1 ( τ 1 ( θ x ) cos θ x σ 1 ( θ x ) sin θ x ) r x d θ x + 0 θ x m ( τ 2 ( θ x ) cos θ x σ 2 ( θ x ) sin θ x ) r x d θ x ]
T = 2 0 d / 2 d x [ θ x m θ x 1 τ 1 ( θ x ) r x 2 d θ x + 0 θ x m τ 2 ( θ x ) r x 2 d θ x ]
Since the spherical shell is symmetrical about the Y-axis during sinkage, the integral limit of x is taken [ 0 , d / 2 ] and multiplied by two.
Through Equation (4), the maximum approach angle under the corresponding slip ratio can be solved, and then Equations (5) and (6) can be substituted to calculate the traction force and driving torque under the corresponding slip ratio. However, the expressions include the power integral of the compound trigonometric function, so it has no original function and it is difficult to obtain the analytical solution by computer. Therefore, the simplified stress expression is introduced as follows [20]:
σ 1 ( θ x ) = θ x 1 θ x θ x 1 θ x m σ x m ,       σ 2 ( θ x ) = θ x θ x m σ x m τ 1 ( θ x ) = θ x 1 θ x θ x 1 θ x m τ x m ,       τ 2 ( θ x ) = θ x θ x m τ x m
In the position of angle θ m , the following applies: σ x 1 = σ x 2 = σ x m = K s r x n ( cos θ x m cos θ x 1 ) n , τ x m = ( c + σ x m tan ϕ ) ( 1 e r x [ θ x 1 θ x m ( 1 s x ) ( sin θ x 1 sin θ x m ) ] / j 0 ) .
The simplified stress expression is substituted into Equations (4)–(6) and solved by numerical method.
During the rolling process of spherical robots, as the spherical shell sinks, circular soil mounds form at the edges of the sinkhole. As the robot moves forward, it must overcome the resistance R c of these soil mounds [22]. Additionally, under high slip ratios, slip-induced sinking can lead to additional resistance R f , which significantly affects the traction force [23]. In loose sandy soil, assuming localized shear failure ahead of the spherical shell, we can obtain the following:
R c = 2 0 d / 2 ( 0.67 c z x K λ + 0.5 z x 2 ρ K γ ) d x
where ρ is density of sandy soil; K λ = ( N λ tan δ ) cos 2 δ ; K γ = ( 2 N γ / tan δ + 1 ) cos 2 δ ; N λ and N γ are the bearing capacity coefficient of sandy soil, tan δ = 2 / 3 tan φ .
The additional resistance R f is related to the slip ratio s and load W , which is expressed as follows:
R f = ξ 1 W ( s ξ 2 ) ξ 3
where the additional resistance correction coefficients ξ 1 = 2 , ξ 2 = 0.45 , and ξ 3 = 2 are fitted by the experimental data.
The corrected expression of traction force is as follows:
D P = D P R c R f
The corrected expression of driving torque is as follows:
T = T R · ( R c + R f )

2.2. Dynamics Model of Spherical Robot

The pendulum-type eccentric torque-driven spherical robot used in the physical experiment mainly consists of three rigid bodies: a spherical shell, a inner frame, and a pendulum. The driving torque of the spherical shell is provided by the internal driving mechanism composed of the inner frame and the pendulum. A planar motion model considering the slope angle is established [4], as shown in Figure 1d. At the same time, the viscous damping effect of the motor rotor bearing and the load bearing and the effect of terrain friction are considered. Assuming that the viscous friction coefficient of the joint is μ , and the rolling friction coefficient between the spherical shell and the terrain is μ , according to the “Dissipation theory”, its dynamic model can be modified as follows:
{ [ ( 5 3 m 1 + m 2 + m 3 ) x ¨ + m 3 l cos ( ϕ γ ) ϕ ¨ + M t g sin γ m 3 l sin ( ϕ γ ) ϕ ˙ 2 + μ M t g cos γ ] R = T m 3 l cos ( ϕ γ ) x ¨ + ( m 3 l 2 + I 2 + I 3 ) ϕ ¨ + m 3 g l sin ϕ + μ ( x ˙ R + ϕ ˙ ) = T
where g is the acceleration due to gravity; Mt is the total mass of the spherical robot; T is the joint driving torque; R is the radius of the spherical shell; m1, m2, and m3 are the masses of the spherical shell, the inner frame, and the pendulum, respectively; I1, I2, and I3 are the moments of inertia of the spherical shell, the inner frame, and the pendulum, respectively; L is the pendulum length; ϕ is the angle of the pendulum in the inertial coordinate system; θ is the rolling angle of the spherical shell; γ is the climbing angle; and x is the rolling distance of the spherical shell.
Substituting the relevant parameters in Table 1 into Equation (11), the motion relationship between the spherical shell and the internal driving mechanism can be obtained. Combining Equation (6) with Equation (11) can describe the interaction between the slip rate and rolling driving torque during the straight-line rolling of the spherical robot on sandy terrain.

3. Experimental Design and Discussion

We design two main experiments: the experiment of factors affecting the performance of the spherical robot which is carried out by the orthogonal test method; and the experiment of the forced sliding of the spherical robot on sandy terrain which is carried out by the forced sliding principle. The following is a detailed introduction to the two main experiments.

3.1. Spherical Robot Longitudinal Motion Performance Influencing Factor Experiment

The longitudinal motion performance of spherical robots on sandy terrain is influenced by the robot’s load, joint angular acceleration, maximum joint angular velocity, and maximum driving torque. The maximum driving torque of the robot is related to the rated power of the motor, the load, and the pendulum length. Under conditions of constant rated power and pendulum length, the maximum driving torque of the spherical robot is determined by the load. The prototype spherical robot used in the experiment [4] had an initial total mass of 7.7 kg. This study adjusted the robot’s load by changing the pendulum mass in increments of 300 g. The spherical shell material is glass-fiber-reinforced polymer (GFRP). The experiment was conducted on surfaces of European oak boards and dry fine sand, with uniformly laid hardwood floorboards and a sand tank, as shown in Figure 2a. The sand tank had a depth of 15 mm; the dimensions of the tank are 1200   m × 300   m ×   15   mm . The dimensions of the hardwood floorboards are 2400   mm × 300   mm . Rolling experiments were conducted on both terrains, and the motor current of the robot was recorded in real-time and converted into output torque.
The experimental platform, as shown in Figure 3a, includes the following instruments, as shown in Figure 2b: a brushless DC servo motor with a Hall effect encoder (ECG2845, Beijing Patses Technology Co., Ltd., Beijing, China), a servo motor driver (WHI-A20/100, Elmo Motion Control Ltd., Tehran, Israel), an inertial measurement unit (IMU) system (Xsens MTi-300, MicoBo Technology (Shanghai) Co., Ltd., Beijing, China), and a wireless module (Microhard HP900, Microhard Systems Inc., Ottawa, Canada). The rolling process of the robot was recorded using a stereo depth camera (Intel RealSense D435, Intel Corporation, San Francisco, CA, USA), and the rolling speed and distance of the spherical robot in the videos were measured using Tracker software (Version 6.1.3), as shown in Figure 3b.
The motion of spherical robots on sandy terrain can be divided into four stages: the hardwood board acceleration stage, the sand tank penetration stage, the stable motion stage, and the deceleration stop stage. Starting from the hardwood board with a given joint angular acceleration and maximum angular velocity, the spherical robot accelerates. As the robot enters the sand tank from the hardwood board, gravity and inertia cause compression, penetration, and shearing of the sand particles in the tank, leading to subsidence and uplift of the sand. Upon contact between the sphere and the sand, a significant horizontal impact occurs, resulting in initial traction and substantial subsidence. Subsequently, under the resistance of the sand and the action of internal driving mechanisms, the robot gradually enters the stable motion stage. In this stage, the subsidence of the sand tank is relatively uniform. When the robot lacks power or enters the deceleration stop stage, the pendulum swings downward, reducing the sphere’s speed. The entire weight of the robot and the inertia during the pendulum swing process act completely on the contact surface between the sand tank and the sphere, causing increased subsidence of the sand tank, increased height of uplift, and increased earth-moving resistance, until the robot stops rolling.
This study varies robot mass, joint angular acceleration, and maximum joint angular velocity as experimental factors, with robot rolling distance as the experimental criterion, setting up an experimental factor level table. When the prototype is unloaded, the total mass of the machine is 7.7 kg, and the maximum load is 600 g. Therefore, the mass factor levels are taken as 7.7 kg, 8.0 kg, and 8.3 kg. Secondly, based on the performance of the driving motor, the levels of joint angular acceleration factors are 0.3 rot/s2, 0.4 rot/s2, and 0.5 rot/s2, and the levels of maximum joint angular velocity are 1 rot/s, 1.125 rot/s, and 1.25 rot/s. Based on this, a three-factor, three-level orthogonal experiment was conducted using an L9(34) orthogonal table, as shown in Table 2, with nine experimental runs (N = 9).
In Table 2, K1 represents the sum of the values of the test indicators corresponding to the “1” level; K2 represents the sum of the values of the test indicators corresponding to the “2” level; K3 represents the sum of the values of the test indicators corresponding to the “3” level; R is the range, and the larger R is, the more significant the impact will be. According to the results in Table 2, the primary order of the three factors that affect the longitudinal movement distance of the spherical robot on dry sandy soil is as follows: load, joint angular acceleration, and joint angular velocity. The optimal combination is as follows: a mass of 7.7 kg, a joint angular acceleration of 0.5 rad/s2, a joint angular velocity of 1.25 rad/s, and the passing distance is 2.387 m.
In Table 3, we used SPSS for analysis of variance and selected the S-N-K model for analysis; the table lists the sum of square, standard deviation, and other information for each group. Based on the comparison results, the differences between each group can be determined. According to the table of S-N-K method, if the p-value between two groups is less than 0.05, it indicates a significant difference; if the p-value is greater than 0.05, it indicates that there is no significant difference. We found that the load had the most significant effect, followed by joint angular acceleration. The results of the variance analysis were consistent with the range analysis, indicating that the results were generally reliable.
When the robot’s driving torque is limited, the robot’s load has the most significant impact on its longitudinal motion performance, followed by joint angular acceleration. Therefore, under rated power conditions for spherical robots, with the same levels of angular acceleration and maximum angular velocity, optimizing the robot’s load significantly improves its performance in traversing soft terrain.
We take the results of the ninth test in Table 2 as an example, comparing the numerical calculations and physical experimental results of the driving torque–time variation for spherical robots rolling in a straight line on hardwood floorboards and loose dry sand, as shown in Figure 4. It is observed that within the same timeframe, the trends of variation in the numerical calculations and the physical experimental results are generally consistent.
Under constant joint angular velocity, the variation of joint torque over time forms a sinusoidal curve. In Figure 4a, the curve is symmetric about y = 0, while in Figure 4b, the curve is symmetric about y = 700. This indicates a significant increase in the driving torque required for spherical robots on loose dry sand, highlighting the non-negligible frictional resistance between the sphere and the terrain.
Although there are still differences between the numerical calculations and the physical measurements in some time intervals, the introduction of the coefficient of determination (R2) to characterize the fit between the numerical calculation data and the experimental data shows that the correlation coefficients are both around 0.9, indicating a good agreement between the numerical calculations and the experimental measurements.

3.2. Experiment on Forced Sliding of Spherical Robot on Sandy Terrain

The above experiments were conducted under the assumption of zero slip ratio for the spherical robot. In order to quantitatively analyze the relationship between different slip ratios and the driving torque, as well as the traction force, we performed numerical calculations on the performance of the sphere’s motion with slip under two different loads (300 N and 150 N) and two different shell radii (0.3 m and 0.15 m) based on Equations (4)–(10). The calculation process is shown in Figure 5.
Firstly, we defined the parameters of the sand, initialized the slip ratio to 0, and then calculated the theoretical load W of the sphere based on Equation (4). If the absolute deviation between the theoretical load W and the actual load W0 is within a certain range ε = 10   g , then according to Equations (5) and (6), we calculated the traction force DP and the driving torque T. If the slip ratio is less than 1, the slip ratio is increased by 0.1, and the calculation process is repeated.
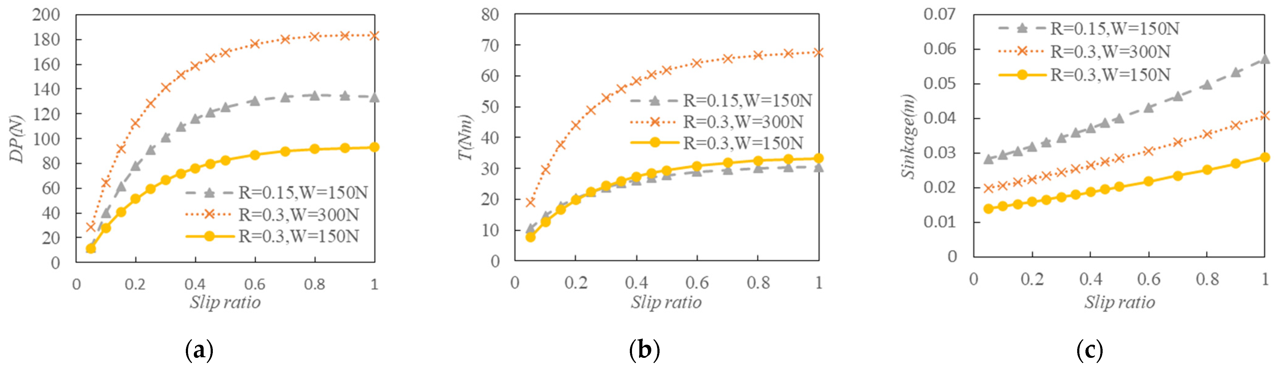
From the results in Figure 6, the following conclusions can be drawn: Under conditions where the shell radius is 0.3 m, increasing the load leads to increases in traction force, driving torque, and subsidence, but these increases are not linear. The traction force and driving torque stabilize after the slip ratio reaches 0.5. Under a load of 300 N, increasing the shell radius results in increased traction force and driving torque, but decreased subsidence. Therefore, increasing the shell radius increases the contact area, resulting in less subsidence under the same load conditions, and the traction force and driving torque also stabilize after the slip ratio reaches 0.5.
To validate the accuracy of our theoretical modeling in Equations (4)~(6) and (9)~(10), we constructed a forced slip test platform for spherical robots. The principle of forced slip involves rotating the sphere at a certain angular velocity, generating a theoretical translational speed. Simultaneously, the sphere is forced to translate at a certain linear velocity, resulting in an actual translational speed. When the theoretical translational speed exceeds the actual translational speed, the sphere exhibits slipping movement.
First, we calibrated the parameters of the experimental sand material: the angle of repose and the density of the sand were determined using the funnel method and the graduated cylinder method, respectively. The friction parameters between the sand and the sphere shell were calibrated using the slope method. For the interaction parameters between sand particles in contact, empirical values from the literature [24] were selected based on the sand density. The dry sand used in the experiment had very minimal moisture content and an uneven particle size distribution, but particles in the range of 0.1 to 0.5 mm diameter constituted over 90% by weight, dominating the overall particle medium analysis.
The structure of the forced slip test platform is shown in Figure 7a. A slip disc is securely attached to each side of the sphere shell. Depending on the required number of rotations for the sphere shell in the experiment, a driving rope is wound around the slip discs. The direction of winding ensures that the driving rope can unwind from the underside of the slip disc and is tied to a fixed rod at the end of the driving rope. The fixed rod of the driving rope is connected to a force sensor, which is in turn fixed to a stationary frame. A pulley is mounted at the center of the slip disc, allowing relative rotation with respect to the sphere shell. One end of a traction rope is tied to the pulley, and the other end is tied to a fixed rod for the traction rope, ensuring the traction rope is 100 mm longer than the radius of the sphere shell to prevent collision with the fixed rod. The fixed rod of the traction rope is connected to one end of a traction force sensor, with the other end of the sensor fixed to the end of an electric cylinder push rod.
The electric cylinder push rod drives the fixed rod of the traction rope to pull the sphere shell to the right at a constant speed. During the movement of the sphere shell, the driving rope continuously unwinds. Because the driving rope is not on the same horizontal line as the sphere center, it generates a torque on the sphere shell, causing it to rotate at a certain angular velocity. Due to the smaller radius of the slip discs compared to the sphere shell, the actual movement speed of the sphere shell is less than the theoretical speed, thereby achieving forced slip. Data from the two sensors are collected by a data recorder and subsequently stored on a computer. To ensure the horizontal alignment of the fixed bracket and all connecting rods, a gradienter is used for calibration before the experiment begins. The driving rope and traction rope used in this study are made of 0.5 mm diameter PE braided line. Compared to steel wire rope, PE braided line is softer, non-rebounding, easy to tie and wind, and has low stretchability, high strength, and abrasion resistance. It can withstand a tensile force of up to 40 kg, meeting the experimental requirements.
The side view of the forced slip test platform is shown in Figure 7b. Let r denote the radius of the slip discs, and let R denote the radius of the sphere shell. The magnitude of the traction force measured by the traction force sensor is F 1 , and the magnitude of the pulling force measured by the driving force sensor is F 2 . When the sphere shell rotates uniformly for one revolution, the length of the driving rope unwound is 2 π r , while the distance moved by the sphere shell is 2 π R . Due to the unequal lengths, the sphere shell undergoes slip, and the slip ratio of the sphere shell can be expressed as follows:
s = 2 π R 2 π r 2 π R = 1 r R
The traction force of the spherical shell can be expressed as follows:
D P = F 2 F 1
The driving torque of the spherical shell can be expressed as follows:
T = F 2 · r
In numerical calculations, we found that the traction force and driving torque tend to stabilize around a slip ratio of 0.5. Therefore, we selected slip ratios of 0.3, 0.4, 0.5, 0.6, and 0.7 for the physical experiments. The specific steps of the forced slip experiment are as follows: Firstly, the sand is leveled and compacted, and the fixed bracket is adjusted to ensure the bracket is horizontal. Next, the slip discs and pulleys are mounted on both sides of the sphere shell, ensuring that the fixing rods at both ends are horizontal and that the sphere shell is centered. The height and width of the traction rope are adjusted to ensure it remains straight in both the horizontal and vertical directions. The sensor values are zeroed out, the electric cylinder speed is set to 28 mm/min, the distance is set to 150 mm, and the data are collected and recorded from the two tension sensors. The slip discs are replaced with different diameters and the above steps are repeated to obtain tension data at different slip ratios. For each set of slip ratio settings, experiments are repeated multiple times; a stable dataset is selected as the measurement result. The data are processed accordingly, as shown in Figure 8. The values of F1 and F2 when they reach stability were substituted into Equations (13) and (14) to obtain the corresponding values for DP and T, as shown in Table 4.
The experimental sphere shell radius is 0.22 m with a load of 150 N. The traction force–slip ratio curves and the driving torque–slip ratio curves from the numerical calculations and the physical experiments are shown in Figure 9a,b. In the figure, Theory 1 represents the numerical calculation results without considering pushing resistance or additional resistance, while Theory 2 represents the numerical calculation results considering these resistances. In Figure 9a, the average percentage error between theoretical value 1 and the experimental value is 9.6%, and the average percentage error between theoretical value 2 and the experimental value is 0.5%. In Figure 9b, the average percentage error between theoretical value 1 and the experimental value is 15.7%, and the average percentage error between theoretical value 2 and the experimental value is 3.3%.
From the result of Figure 9, it can be observed that without considering resistance, the traction force and driving torque calculated numerically at the same slip ratio are higher than the experimental results. When considering both pushing resistance and additional resistance, the numerical calculation results align well with the results from physical experiments. The physical experiment results indicate that the actual peak hook traction force and driving torque both occur around s = 0.5, and beyond a slip ratio of 0.5, both traction force and driving torque decrease. This suggests that spherical robots rolling on sandy terrain should avoid excessively high slip ratios. If a spherical robot cannot traverse the sandy terrain even when the slip ratio reaches 0.5, alternative strategies for extrication should be considered.
It is not difficult to observe that the force conditions of spherical robots on sandy terrain, as calculated numerically, correspond well with the results of the physical experiments. The gradual trends in the various data also align with physical principles, which to some extent validates the effectiveness of the model. Given the various parameter combinations yielding similar numerical results, and recognizing that we cannot measure physical experiment values with 100% accuracy, we select parameter combinations that are closest to reality within the permissible range of engineering. Due to factors such as simplification in theoretical models, inaccuracies in the calibration of parameters in physical experiments, and data measurement, achieving a high consistency between theoretical and physical experiment results is challenging. Nevertheless, the effectiveness of this modeling approach cannot be denied.

4. Conclusions

The effectiveness of the modified sphere–soil interaction mechanics model was validated through physical experiments on forced slip. Both the physical experiments and the numerical calculations indicate the following: when the slip ratio is low, specifically s = 0~0.5, the traction force and driving torque of the spherical robot increase significantly. However, when the slip ratio exceeds 0.5, the traction force and driving torque of the spherical robot begin to decrease. This suggests that spherical robots rolling on sandy terrain should avoid excessively high slip ratios. If a spherical robot cannot traverse the sandy terrain even when the slip ratio reaches 0.5, alternative strategies for extrication should be considered, such as the robot retreating to more solid ground along its original ruts and then re-planning its path.
The orthogonal experiment confirmed that under conditions where the driving motor torque output of the spherical robot is limited, the mass of the robot has the most significant impact on its performance on sandy terrain. As the pendulum mass increases, thereby increasing the load, the traction force also increases. When the driving motor output torque is sufficient, increasing the load can enhance the driving torque of the spherical robot. However, when the driving motor torque is limited, increasing the load noticeably decreases the overall performance of the robot in traversing the terrain. Therefore, in prototype design, it may be beneficial to incorporate a mechanism with adjustable load to enhance the longitudinal motion performance of the robot.
The experimental results indicate that the driving torque required for spherical robots to roll on sandy terrain is much greater than that on hard wooden boards, highlighting the significant rolling resistance of sandy surfaces. Furthermore, pendulum-type spherical robots exhibit a sinusoidal motion characteristic, with periodic phases of acceleration and deceleration. As the spherical robot transitions from the acceleration phase to the deceleration phase, it is more prone to sinking and getting stuck on sandy terrain. Lastly, the experimental results also demonstrate that pushing resistance and additional resistance on sandy surfaces cannot be ignored. By establishing a correction function related to slip ratio, a theoretical model with higher accuracy can be obtained.

Author Contributions

Conceptualization, M.L. and H.S.; methodology, M.L.; software, M.L.; validation, D.H., P.G. and Z.W.; formal analysis, M.L.; investigation, D.H.; resources, M.L.; data curation, L.M.; writing—original draft preparation, M.L.; writing—review and editing, M.L.; visualization, M.L.; supervision, H.S.; project administration, H.S.; funding acquisition, H.S. All authors have read and agreed to the published version of the manuscript.

Funding

This research was funded by the National Natural Science Foundation of China, grant number 52075046 and the National Natural Science Foundation of China Youth Fund, grant number 52205016.

Data Availability Statement

The data presented in this study are available on request from the corresponding author.

Conflicts of Interest

The authors declare no conflicts of interest.

References

  1. Zhan, Q.; Li, W. Research progress and development trend of spherical mobile robot. J. Mech. Eng. 2019, 55, 1–17. [Google Scholar] [CrossRef]
  2. Richard, C.; Abhilash, P. A review of active mechanical driving principles of spherical robots. Robotics 2012, 1, 3–23. [Google Scholar] [CrossRef]
  3. Li, M.; Sun, H.; Ma, L.; Gao, P.; Huo, D.; Wang, Z.; Sun, P. Special spherical mobile robot for planetary surface exploration: A review. Int. J. Adv. Robot. Syst. 2023, 20, 1–20. [Google Scholar] [CrossRef]
  4. Ma, L.; Sun, H.; Li, M.; Sun, P.; Zhang, W.; Long, B.; Shi, H. Design and motion analysis of a spherical robot having the ability to change the centroid radially. J. Mech. Eng. 2022, 58, 44–56. [Google Scholar]
  5. Sabet, S.; Poursina, M.; Nikravesh, P.E.; Reverdy, P.; Agha-Mohammadi, A.A. Dynamic modeling, energy analysis, and path planning of spherical robots on uneven terrains. IEEE Robot. Autom. Lett. 2020, 5, 6049–6056. [Google Scholar] [CrossRef]
  6. Hu, Y.B.; Wei, Y.D.; Liu, M.N. Design and performance evaluation of a spherical robot assisted by high-speed rotating flywheels for self-stabilization and obstacle surmounting. J. Mech. Robot. 2021, 13, 061001. [Google Scholar] [CrossRef]
  7. Kilin, A.A.; Pivovarova, E.N. Stability and stabilization of steady rotations of a spherical robot on a vibrating base. Regul. Chaotic Dyn. 2020, 25, 729–752. [Google Scholar] [CrossRef]
  8. Ylikorpi, T.J.; Halme, A.J.; Forsman, P.J. Dynamic modeling and obstacle-crossing capability of flexible pendulum-driven ball-shaped robots. Robot. Auton. Syst. 2017, 87, 269–280. [Google Scholar] [CrossRef]
  9. Bekker, M.G. Off-the-Road-Locomotion: Research and Development of Terramechanics; University of Michigan Press: Ann Arbor, MI, USA, 1960. [Google Scholar]
  10. Ravula, P.; Acar, G.; Balachandran, B. Discrete element method-based studies on dynamic interactions of a lugged wheel with granular media. J. Terramech. 2021, 94, 49–62. [Google Scholar] [CrossRef]
  11. He, G.; Cao, Z.; Li, Q.; Zhu, D.; Aimin, J. Influence of hexapod robot foot shape on sinking considering multibody dynamics. J. Mech. Sci. Technol. 2020, 34, 3823–3831. [Google Scholar] [CrossRef]
  12. Li, W.; Guo, J.; Ding, L.; Wang, J.; Gao, H.; Deng, Z. Teleoperation of wheeled mobile robot with dynamic longitudinal slippage. IEEE Trans. Control Syst. Technol. 2023, 31, 99–113. [Google Scholar] [CrossRef]
  13. He, R.; Sandu, C.; Khan, A.K.; Guthrie, A.G.; Els, P.S.; Hamersma, H.A. Review of terramechanics models and their applicability to real-time applications. J. Terramech. 2018, 81, 3–22. [Google Scholar] [CrossRef]
  14. Ding, L.; Gao, H.; Deng, Z.; Liu, J.; Tao, J. Terramechanics model for wheel-terrain interaction of lunar rover based on stress distribution. J. Mech. Eng. 2009, 45, 49–55. [Google Scholar] [CrossRef]
  15. Liu, J.C.; Gao, H.B.; Deng, Z.Q.; Bi, Z.F. Mechanical analysis of a drum type wheel rolling on loose sandy soil. J. Harbin Eng. Univ. 2009, 30, 1029–1034. [Google Scholar]
  16. Albert, I.; Sample, J.G.; Morss, A.J.; Rajagopalan, S.; Barabási, A.L.; Schiffer, P. Granular drag on a discrete object: Shape effects on jamming. Phys. Rev. E 2022, 64 Pt 1, 061303. [Google Scholar] [CrossRef]
  17. Uehara, J.S.; Ambroso, M.A.; Ojha, R.P.; Durian, D.J. Low-speed impact craters in loose granular media. Phys. Rev. Lett. 2003, 90, 149902. [Google Scholar] [CrossRef]
  18. Brzinski, T.A., III; Mayor, P.; Durian, D.J. Depth-dependent resistance of granular media to vertical penetration. Phys. Rev. Lett. 2013, 111, 168002. [Google Scholar] [CrossRef]
  19. Agarwal, S.; Senatore, C.; Zhang, T.; Kingsbury, M.; Iagnemma, K.; Goldman, D.I.; Kamrin, K. Modeling of the interaction of rigid wheels with dry granular media. J. Terramech. 2019, 85, 1–14. [Google Scholar] [CrossRef]
  20. Zhang, Z.H.; Qiu, L.C. Numerical analysis of free subsidence of objects in dry sand. In Proceedings of the 21st Academic annual Meeting of Beijing Society of Mechanics and the 22nd Academic Annual Meeting of Beijing Society of Vibration Engineering, Beijing, China, 2 February 2015. [Google Scholar]
  21. Kang, W.T. Archimedes’ law explains penetration of solids into granular media. Nat. Commun. 2018, 9, 1101. [Google Scholar] [CrossRef]
  22. Zhai, G.L.; Huang, T.Q. Study on traction performance of rigid wheels of planetary vehicle on mixed terrain. J. Northwest Univ. Technol. 2020, 38, 1240–1248. [Google Scholar]
  23. Li, J.Q.; Huang, H.; Wang, Y.; Tian, L.M.; Ren, L.Q. Research progress of machine system on soft terrain. J. Agric. Mach. 2015, 46, 306–320. [Google Scholar]
  24. Warkentin, R. A dynamic terramechanic model for small lightweight vehicles with rigid wheels and grousers operating in sandy soil. J. Terramech. 2011, 48, 307–318. [Google Scholar]
Figure 1. Force analysis of sphere–soil interaction. (a) Longitudinal view; (b) maximum cross-sectional view; (c) transverse view with a cross-sectional radius of rx; (d) 2D motion diagram.
Figure 1. Force analysis of sphere–soil interaction. (a) Longitudinal view; (b) maximum cross-sectional view; (c) transverse view with a cross-sectional radius of rx; (d) 2D motion diagram.
Actuators 13 00289 g001
Figure 2. Experimental terrain conditions and robot composition. (a) Hardwood board and sand tank. (b) Robot composition: 1—inner frame; 2—DC servo motor; 3—motor driver; 4—pendulum; 5—IMU; 6—remote communication module; 7—wireless module; 8—controller; 9—directional antenna; 10—spherical shell; 11—transmission gear system.
Figure 2. Experimental terrain conditions and robot composition. (a) Hardwood board and sand tank. (b) Robot composition: 1—inner frame; 2—DC servo motor; 3—motor driver; 4—pendulum; 5—IMU; 6—remote communication module; 7—wireless module; 8—controller; 9—directional antenna; 10—spherical shell; 11—transmission gear system.
Actuators 13 00289 g002
Figure 3. Rolling experiment of spherical robot on sandy terrain. (a) Composition of rolling test platform: 1—PC; 2—wireless module; 3—camera; 4—fixed bracket; 5—spherical robot; 6—3D Scanner; 7—removable stand; 8—sand tank; 9—marks; 10—hardwood board. (b) Spherical robot motion calibration and tracker recording curve (In the left picture: The purple line represents the direction of motion of the center of the ball. The blue line is the distance calibration line. The red dots with numbers are the reference points during the movement of the spherical shell. The right figure shows the three motion curves of the spherical shell).
Figure 3. Rolling experiment of spherical robot on sandy terrain. (a) Composition of rolling test platform: 1—PC; 2—wireless module; 3—camera; 4—fixed bracket; 5—spherical robot; 6—3D Scanner; 7—removable stand; 8—sand tank; 9—marks; 10—hardwood board. (b) Spherical robot motion calibration and tracker recording curve (In the left picture: The purple line represents the direction of motion of the center of the ball. The blue line is the distance calibration line. The red dots with numbers are the reference points during the movement of the spherical shell. The right figure shows the three motion curves of the spherical shell).
Actuators 13 00289 g003
Figure 4. Driving torque–time curves in different terrains. (a) Driving torque–time curve on the hardwood board. (b) Driving torque–time curve in the sand tank.
Figure 4. Driving torque–time curves in different terrains. (a) Driving torque–time curve on the hardwood board. (b) Driving torque–time curve in the sand tank.
Actuators 13 00289 g004
Figure 5. Numerical calculation flowchart.
Figure 5. Numerical calculation flowchart.
Actuators 13 00289 g005
Figure 6. Motion performance curves of different structural parameters of the spherical shell. (a) Traction–slip ratio curve; (b) driving torque–slip ratio curve; (c) sinkage–slip ratio curve.
Figure 6. Motion performance curves of different structural parameters of the spherical shell. (a) Traction–slip ratio curve; (b) driving torque–slip ratio curve; (c) sinkage–slip ratio curve.
Actuators 13 00289 g006
Figure 7. Forced sliding test platform: 1—PC; 2—traction recorder; 3—gradienter; 4—pulley; 5—driving force recorder; 6—fixed bracket; 7—drive rope fixing rod; 8—driving force sensor; 9—driving rope; 10—slip discs; 11—tow rope; 12—tow rope fixing rod; 13—traction sensor; 14—electric push cylinder. (a) Top view; (b) side view.
Figure 7. Forced sliding test platform: 1—PC; 2—traction recorder; 3—gradienter; 4—pulley; 5—driving force recorder; 6—fixed bracket; 7—drive rope fixing rod; 8—driving force sensor; 9—driving rope; 10—slip discs; 11—tow rope; 12—tow rope fixing rod; 13—traction sensor; 14—electric push cylinder. (a) Top view; (b) side view.
Actuators 13 00289 g007
Figure 8. Curves of tension F1 and F2 changing with time: (a) F1–time curve; (b) F2–time curve.
Figure 8. Curves of tension F1 and F2 changing with time: (a) F1–time curve; (b) F2–time curve.
Actuators 13 00289 g008
Figure 9. Comparison of numerical calculations and experimental data. (a) Traction force–slip ratio curve; (b) driving torque–slip ratio curve.
Figure 9. Comparison of numerical calculations and experimental data. (a) Traction force–slip ratio curve; (b) driving torque–slip ratio curve.
Actuators 13 00289 g009
Table 1. Properties of dry soft sand and spherical robot.
Table 1. Properties of dry soft sand and spherical robot.
Parameter of SandSymbolsValueParameter of Spherical RobotSymbolsValue
Sinkage coefficient n 0.97Radius of shellR (mm)220
Cohesion c   ( kPa ) 0Mass of shellm1 (kg)4.29
Internal friction angle ϕ   ( rad ) 42.2Mass of inner framem2 (kg)2.0
Bearing coefficient k ϕ   ( kPa / m n ) 1945Mass of pendulumm3 (kg)1.5
Sand displacement at maximum shear stress j 0   ( m ) 0.01778Length of pendulumL (mm)130
Maximum stress angle factor c 1 0.18Viscous friction coefficientη (N∙m∙s)0.7
Maximum stress angle factor c 2 0.32Rolling friction coefficientη’ (m)5 × 10−4
Density ρ   ( N / m 3 ) 19,600Moment of inertia of shell I 1   ( kg m 2 )0.133
Bearing capacity coefficient N λ 20Moment of inertia of inner frame I 2   ( kg m 2 )0.012
Bearing capacity coefficient N γ 6Moment of inertia of pendulum I 3   ( kg m 2 )0.001
Table 2. Analysis results of longitudinal motion orthogonal experiment.
Table 2. Analysis results of longitudinal motion orthogonal experiment.
Test No.Mass (kg)Joint Angular
Acceleration (rad/s2)
Maximum Joint
Angular Velocity (rad/s)
Rolling
Distance (m)
18.30.311.375
28.30.41.251.658
38.30.51.1251.811
48.00.31.251.671
58.00.41.1251.870
68.00.512.050
77.70.31.1251.989
87.70.412.220
97.70.51.252.387
K14.8445.0355.645
K25.5915.7485.67
K36.5966.2485.716
R0.580.400.02
Table 3. Variance analysis result of three factors.
Table 3. Variance analysis result of three factors.
Variance SourcesSum of SquaredfF0.05p
Mass0.5152506.8350.002 *
Joint angular acceleration0.2482243.6870.004 *
Maximum joint angular velocity0.00120.850.540
Error0.00120.001
Note: * denotes significance; significance level α = 0.05 under F test.
Table 4. F1, F2 measurement values and corresponding DP, T values.
Table 4. F1, F2 measurement values and corresponding DP, T values.
W (N)sr (m)F1 (kg)F2 (kg)DP (N)T (N·m)
1500.30.1557.94712.21041.76918.546
0.40.13511.94118.03659.72823.862
0.50.112517.75724.67667.80727.205
0.60.0922.80629.74668.01826.236
0.70.07526.37632.48159.8323.874
Disclaimer/Publisher’s Note: The statements, opinions and data contained in all publications are solely those of the individual author(s) and contributor(s) and not of MDPI and/or the editor(s). MDPI and/or the editor(s) disclaim responsibility for any injury to people or property resulting from any ideas, methods, instructions or products referred to in the content.

Share and Cite

MDPI and ACS Style

Li, M.; Sun, H.; Ma, L.; Huo, D.; Gao, P.; Wang, Z. Experimental Study on the Longitudinal Motion Performance of a Spherical Robot Rolling on Sandy Terrain. Actuators 2024, 13, 289. https://doi.org/10.3390/act13080289

AMA Style

Li M, Sun H, Ma L, Huo D, Gao P, Wang Z. Experimental Study on the Longitudinal Motion Performance of a Spherical Robot Rolling on Sandy Terrain. Actuators. 2024; 13(8):289. https://doi.org/10.3390/act13080289

Chicago/Turabian Style

Li, Minggang, Hanxu Sun, Long Ma, Dongshuai Huo, Panpan Gao, and Zhantong Wang. 2024. "Experimental Study on the Longitudinal Motion Performance of a Spherical Robot Rolling on Sandy Terrain" Actuators 13, no. 8: 289. https://doi.org/10.3390/act13080289

APA Style

Li, M., Sun, H., Ma, L., Huo, D., Gao, P., & Wang, Z. (2024). Experimental Study on the Longitudinal Motion Performance of a Spherical Robot Rolling on Sandy Terrain. Actuators, 13(8), 289. https://doi.org/10.3390/act13080289

Note that from the first issue of 2016, this journal uses article numbers instead of page numbers. See further details here.

Article Metrics

Back to TopTop