Analysis of Dynamic Flow Loss of High Water-Based Emulsion Pump
Abstract
1. Introduction
2. Emulsion Pump Flow Loss Modeling
2.1. Mathematical Modeling of Emulsion Pump Flow
2.2. Flow Loss Model Caused by Valve Hysteresis
2.3. Flow Loss Caused by Gap Flow
3. Analysis of Dynamic Flow Loss in the Annular Gap of the Plunger Cavity
3.1. Numerical Simulation Model of Annular Gap
3.2. Effect of Inlet Pressure on Flow Loss
3.3. The Influence of Emulsion Dynamic Viscosity on Flow Loss
3.4. The Influence of Gap Thickness on Flow Loss
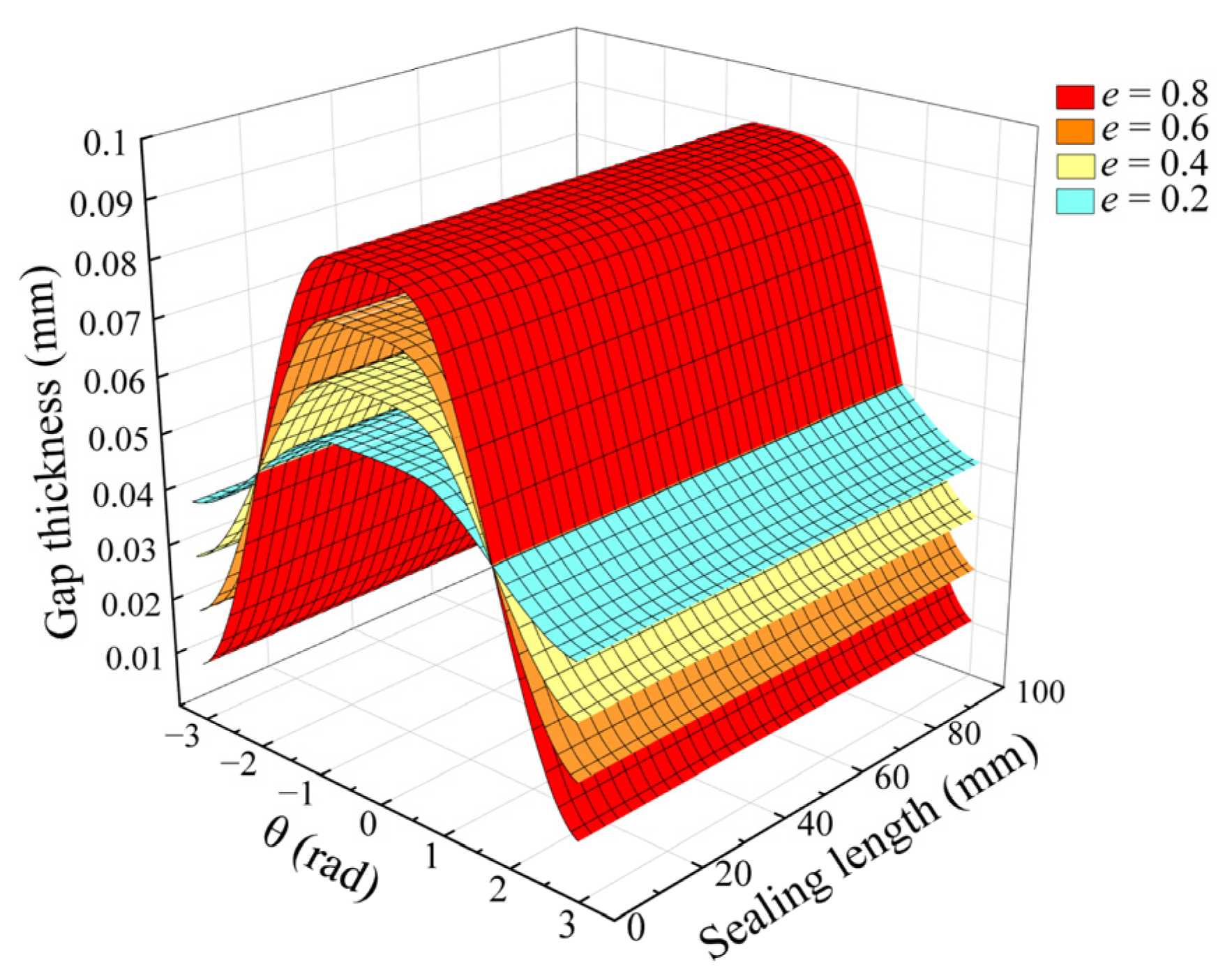
3.5. The Influence of Plunger Eccentricity on Flow Loss
3.6. The Influence of Plunger Inclination on Flow Loss
4. Analysis of Dynamic Flow Loss and Influencing Factors of Port Valve
4.1. Numerical Simulation Model of Port Valve
4.2. Dynamic Flow Loss Analysis of Port Valve
4.2.1. Dynamic Flow Loss Analysis of Suction Valve
4.2.2. Analysis of Dynamic Flow Loss of Discharge Valve
4.3. Analysis of Influencing Factors of Dynamic Flow Loss
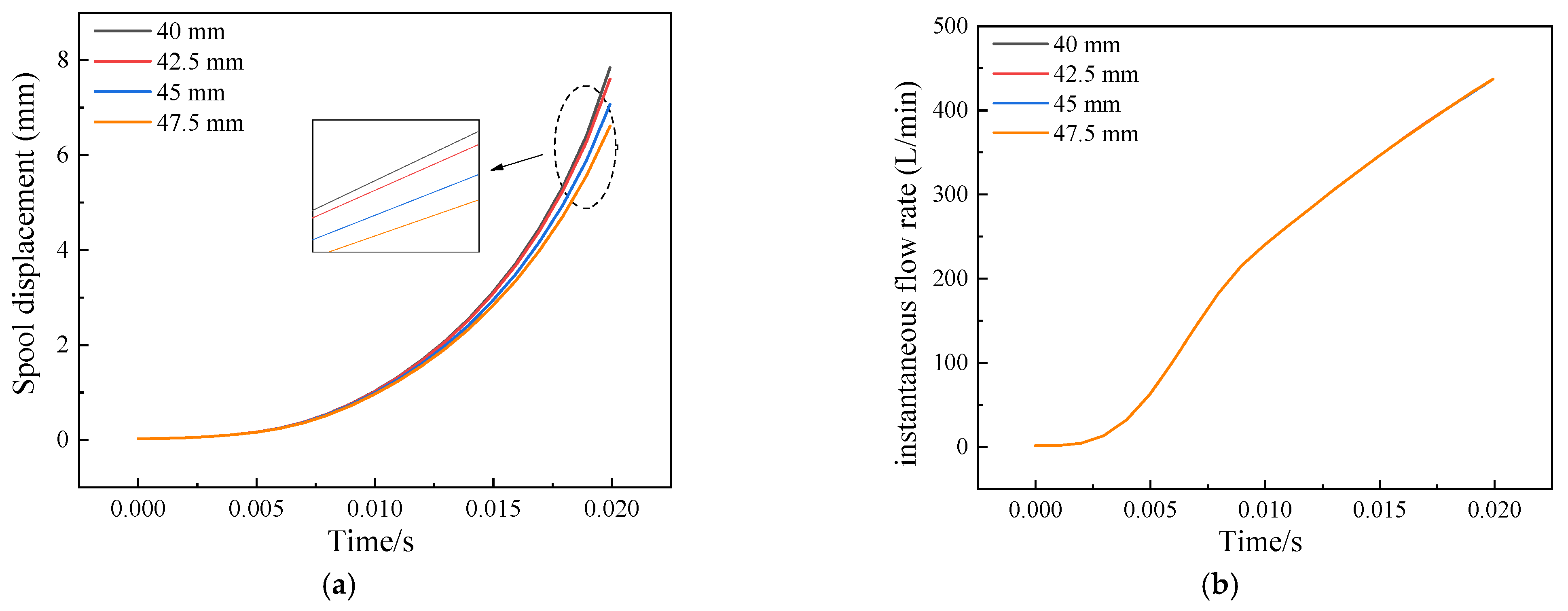
4.3.1. Effect of Outlet Diameter on Dynamic Flow Loss of Suction Valve
4.3.2. Effect of Outlet Pressure on Dynamic Flow Loss of Discharge Valve
4.3.3. Influence of Wing-Guided Bevel Structure on Dynamic Flow Loss of Discharge Valve
5. Conclusions
- (1)
- With the increase of gap thickness, the leakage amount increases, and the growth rate increases gradually. The leakage is proportional to the inlet pressure, and the instantaneous flow increases proportionally. Increasing hydraulic oil viscosity can slow the liquid flow, reduce the dynamic viscosity, and reduce the leakage. It is recommended to control the gap thickness at 12–38 μm.
- (2)
- The increase in the plunger’s eccentricity will reduce the flow field’s stability and lead to uneven flow velocity distribution. At high eccentricity, the velocity difference is particularly significant. In addition, with the increase of eccentricity, the instantaneous outlet flow increases gradually. It is recommended that eccentricity be controlled within 0.2 to maintain the stability of the flow field.
- (3)
- With the increase of the inclination angle, the leakage decreases slowly. However, if the inclination angle is too large, the wear of the plunger end face will be significantly aggravated. Once the end face wear occurs, it will directly lead to a significant increase in leakage and have a severe adverse effect on the system’s overall performance. Therefore, the plunge’s inclination angle should be controlled within 0.02 to ensure the system performance’s stability.
- (4)
- Decreasing the outlet diameter will increase the pressure difference of the valve port, enhance the hydrodynamic force, and accelerate the response of the valve core. Under different outlet pressures, the pressure difference in the lift stage of the spool is the same, resulting in a slight difference in the hysteresis of the spool. The structure of the wing-guided bevel structure can enhance the valve core’s responsiveness. Therefore, it is necessary to comprehensively consider the outlet diameter and valve core structure to optimize the system’s performance in the design of an emulsion pump.
Author Contributions
Funding
Data Availability Statement
Conflicts of Interest
Nomenclature
| Piston displacement (mm) | |
| Radius of the crank (mm) | |
| Link length (mm) | |
| Transmission ratio (-) | |
| Crankshaft angle (°) | |
| Plunger cross-sectional area (mm2) | |
| Piston pump outlet Flow velocity (mm/s) | |
| Piston diameter (mm) | |
| Crankshaft angular velocity (rad/s) | |
| Discharge coefficient (-) | |
| Cross-sectional area of the hole of the suction valve (mm2) | |
| Cross-sectional area of the hole of the discharge valve (mm2) | |
| Suction valve spool diameter (mm) | |
| Discharge valve spool diameter (mm) | |
| discharge valve port diameter (mm) | |
| Poppet valve incident angle (°) | |
| Emulsion density (-) | |
| Pressure difference before and after the valve core (MPa) | |
| Emulsion viscosity (mPa·s) | |
| Gap thickness (mm) | |
| Gap length (mm) | |
| Plunger speed (mm/s) | |
| Leakage in a plunger pump (L/min) | |
| Relative eccentricity (-) | |
| Eccentricity at any angle (-) | |
| Gap value in the radius direction when the inner and outer circles are concentric (mm) | |
| Leakage when plunger is eccentric (L/min) | |
| Function value of any point in Z direction, the eccentricity of each point in the z direction can be calculated through COMSOL (mm) | |
| Inclination (°) |
References
- Zeng, Q.; Qi, G.; Wan, L.; Wang, J.; Yu, X.; Li, Z. Numerical research on dynamic responses of the emulsion pump crankshaft under multiple working conditions. Eng. Fail. Anal. 2023, 154, 107712. [Google Scholar] [CrossRef]
- Zeng, X.; Wang, D. Optimal tracking control of the coal mining face fluid supply system via adaptive dynamic programming. Sci. Rep. 2023, 13, 20002. [Google Scholar] [CrossRef] [PubMed]
- Tian, J.; Liu, W.; Wang, H.; Yuan, X.; Zhou, R.; Li, J. Energy-Saving Testing System for a Coal Mine Emulsion Pump Using the Pressure Differential Flow Characteristics of Digital Relief Valves. Processes 2023, 11, 2632. [Google Scholar] [CrossRef]
- Wan, L.; Dai, H.; Zeng, Q.; Lu, Z.; Sun, Z.; Tian, M.; Lu, Y. Characteristic Analysis of Digital Emulsion Relief Valve Based on the Hydraulic Loading System. Shock Vib. 2020, 2020, 1–20. [Google Scholar] [CrossRef]
- Li, B.; Guo, S.; Cai, B.; Shi, Z. Study on Pressure Pulsation Suppression of Reciprocating Pump. J. Phys. Conf. Ser. 2019, 1187, 032039. [Google Scholar] [CrossRef]
- Gu, Z.; Bai, C.; Zhang, H. Experimental and Numerical Research on Fluid Dynamic Interaction Effects of Reciprocating Pump-Pipeline System. J. Press. Vessel. Technol.-Trans. ASME 2023, 145, 031401. [Google Scholar] [CrossRef]
- Huang, Y.; Ruan, J.; Ding, C.; Li, S. Effect of clearance on volumetric efficiency in 2D piston pumps. Adv. Mech. Eng. 2021, 13, 16878140211047727. [Google Scholar] [CrossRef]
- Qiu, N.; Shang, X.; Liu, R.; Jin, P.; Gao, W. Analysis of the Dynamic Characteristics of the Pump Valve System of an Ultra-High Pressure Liquid Hydrogen Reciprocating Pump. Energies 2022, 15, 4255. [Google Scholar] [CrossRef]
- Zhao, K.; Tian, W.; Li, X.; Bai, B. A physical model for liquid leakage flow rate during plunger lifting process in gas wells. J. Nat. Gas Sci. Eng. 2018, 49, 32–40. [Google Scholar] [CrossRef]
- Ahmed, F.; Eames, I.; Azarbadegan, A.; Moeendarbary, E. Acoustics and vibrations in a complex piping network with pump startup-shutdown transients. Int. J. Mech. Sci. 2022, 227, 107357. [Google Scholar] [CrossRef]
- Fischer, F.; Rhein, A.; Schmitz, K. Influence of Inertia Terms on High-Pressure Gap Flow Applications in Hydraulics. In Proceedings of the ASME/BATH 2019 Symposium on Fluid Power and Motion Control, Longboat Key, FL, USA, 7–9 October 2019. [Google Scholar]
- Farzaneh-Gord, M.; Khoshnazar, H. Valve fault detection for single-stage reciprocating compressors. J. Nat. Gas Sci. Eng. 2016, 35, 1239–1248. [Google Scholar] [CrossRef]
- Li, R.; Wang, D.; Wei, W.; Li, S. Analysis of the Movement Characteristics of the Pump Valve of the Mine Emulsion Pump Based on the Internet of Things and Cellular Automata. Mob. Inf. Syst. 2021, 2021, 9032769. [Google Scholar] [CrossRef]
- Ma, Y.; Ni, Y.; Zhang, H.; Zhou, S.; Deng, H. Influence of valve’s lag characteristic on pressure pulsation and performance of reciprocating multiphase pump. J. Pet. Sci. Eng. 2018, 164, 584–594. [Google Scholar] [CrossRef]
- Ma, Y.; Zhang, M.; Luo, H. Investigation of the droplet-carrying characteristics of the gas flow in multiphase pump valves. Chem. Eng. Res. Des. 2020, 162, 173–186. [Google Scholar] [CrossRef]
- Li, R.; Wei, W.; Liu, H.; Ye, J.; Wang, D.; Li, S.; Wang, W. Experimental and Numerical Study on the Dynamic and Flow Characteristics of a Reciprocating Pump Valve. Processes 2022, 10, 1328. [Google Scholar] [CrossRef]
- Wang, D.; Li, R.; Liu, H.; Ye, J. Wear analysis of slideway in emulsion pumps based on finite element method. Sci. Rep. 2024, 14, 1930. [Google Scholar] [CrossRef]
- Li, Y.; Zhu, Z.; Chen, G.; Cao, G. A novel energy regeneration system for emulsion pump tests. J. Mech. Sci. Technol. 2013, 27, 1155–1163. [Google Scholar] [CrossRef]
- Tong, G.; Zhao, S.; Yu, Y.; Peng, S. Design and theoretical analysis of a sliding valve distribution radial piston pump. J. Mech. Sci. Technol. 2016, 30, 327–335. [Google Scholar] [CrossRef]
- Suo, X.; Jiang, Y.; Wang, W. Hydraulic axial plunger pump: Gaseous and vaporous cavitation characteristics and optimization method. Eng. Appl. Comput. Fluid Mech. 2021, 15, 712–726. [Google Scholar] [CrossRef]
- He, T.; Li, Z.; Deng, H.; Chen, Q.; Wang, C.; Zhao, K. Flow characteristics analysis of a balanced valve distribution double-row axial piston pump. Mech. Sci. 2022, 13, 207–223. [Google Scholar] [CrossRef]
- Zhao, B.; Guo, W.; Quan, L. Cavitation of a Submerged Jet at the Spherical Valve Plate/Cylinder Block Interface for Axial Piston Pump. Chin. J. Mech. Eng. 2020, 33, 67. [Google Scholar] [CrossRef]
- Prata, A.T.; Fernandes, J.R.S.; Fagotti, F. Dynamic Analysis of Piston Secondary Motion for Small Reciprocating Compressors. J. Tribol. 2000, 122, 752–760. [Google Scholar] [CrossRef]
- Saad, M.A.; Kamil, M.; Abdurahman, N.H.; Yunus, R.M.; Awad, O. An Overview of Recent Advances in State-of-the-Art Techniques in the Demulsification of Crude Oil Emulsions. Processes 2019, 7, 470. [Google Scholar] [CrossRef]
- Yan, S.; Kuroda, S. Lubrication with emulsion: II. The viscosity coefficients of emulsions. Wear 1997, 206, 238–243. [Google Scholar] [CrossRef]
- Christopher, N.; Peter, J.M.F.; Kloker, M.J.; Hickey, J.P. DNS of turbulent flat-plate flow with transpiration cooling. Int. J. Heat. Mass. Transf. 2020, 157, 119972. [Google Scholar] [CrossRef]
- Muller, H. Fluid Sealing Technology: Principles and Applications; Routledge: Abingdon, UK, 2019. [Google Scholar]
- Cui, L.; Tian, K.; Cheng, J.; Li, Z. Study on Failure Analysis of Gas Lift Plunger Under Eccentric State. Arab. J. Sci. Eng. 2022, 47, 11733–11744. [Google Scholar] [CrossRef]
- Xia, Y.; Li, Z.; Liu, W.; Tan, S.; Xu, S.; Liu, S.; Xia, S. Effects of the Cross Angle on Output Characteristics and Tilting Behaviour for 750 mL/r Axial Piston Pumps. Alex. Eng. J. 2024, 99, 347–362. [Google Scholar] [CrossRef]
- Liang, A.; Li, H.; Zhang, W.; Yao, Z.; Zhu, B.; Wang, F. Study on pressure fluctuation and rotating stall characteristics in the vaneless space of a pump-turbine in pump mode. J. Energy Storage 2024, 94, 112385. [Google Scholar] [CrossRef]
- Hu, L.; Liang, A.; Li, H.; Zhang, W.; Zhu, B. Impact of rotor–stator axial spacing on the gas–liquid–solid flow characteristics of a multiphase rotodynamic pump based on the Euler multi-fluid model. Phys. Fluids 2024, 36, 063314. [Google Scholar] [CrossRef]
- Arzate, A.; Tanguy, P.A. Hydrodynamics of Liquid Jet Application in High-Speed Jet Coating: Newtonian and Shear-thinning Fluids. Chem. Eng. Res. Des. 2005, 83, 111–125. [Google Scholar] [CrossRef]
- Zhang, Y.; Xu, C.; Yao, Q. The Velocity Variation Characteristics of the Flow Field and the Related Structural Parameter Optimization of the Direct Jet Nozzle. Iran. J. Sci. Technol. Trans. Mech. Eng. 2022, 46, 347–357. [Google Scholar] [CrossRef]
- Chen, C.H. Effect of viscous dissipation on heat transfer in a non-Newtonian liquid film over an unsteady stretching sheet. J. Non-Newton. Fluid Mech. 2006, 135, 128–135. [Google Scholar] [CrossRef]
- Yang XI, A.; Urzay, J.; Bose, S.; Moin, P. Aerodynamic Heating in Wall-Modeled Large-Eddy Simulation of High-Speed Flows. AIAA J. 2018, 56, 731–742. [Google Scholar] [CrossRef]
- Lu, L.; Xie, S.; Yin, Y.; Ryu, S. Experimental and numerical analysis on the surge instability characteristics of the vortex flow produced large vapor cavity in u-shape notch spool valve. Int. J. Heat Mass Transf. 2020, 146, 118882. [Google Scholar] [CrossRef]





























Disclaimer/Publisher’s Note: The statements, opinions and data contained in all publications are solely those of the individual author(s) and contributor(s) and not of MDPI and/or the editor(s). MDPI and/or the editor(s) disclaim responsibility for any injury to people or property resulting from any ideas, methods, instructions or products referred to in the content. |
© 2024 by the authors. Licensee MDPI, Basel, Switzerland. This article is an open access article distributed under the terms and conditions of the Creative Commons Attribution (CC BY) license (https://creativecommons.org/licenses/by/4.0/).
Share and Cite
Wan, L.; Yin, Y.; Sun, Z.; Sun, G.; Qi, G.; Zhang, R. Analysis of Dynamic Flow Loss of High Water-Based Emulsion Pump. Actuators 2024, 13, 482. https://doi.org/10.3390/act13120482
Wan L, Yin Y, Sun Z, Sun G, Qi G, Zhang R. Analysis of Dynamic Flow Loss of High Water-Based Emulsion Pump. Actuators. 2024; 13(12):482. https://doi.org/10.3390/act13120482
Chicago/Turabian StyleWan, Lirong, Yuang Yin, Zhiyuan Sun, Gaozuo Sun, Guoqing Qi, and Ruwei Zhang. 2024. "Analysis of Dynamic Flow Loss of High Water-Based Emulsion Pump" Actuators 13, no. 12: 482. https://doi.org/10.3390/act13120482
APA StyleWan, L., Yin, Y., Sun, Z., Sun, G., Qi, G., & Zhang, R. (2024). Analysis of Dynamic Flow Loss of High Water-Based Emulsion Pump. Actuators, 13(12), 482. https://doi.org/10.3390/act13120482

