Next Article in Journal
Adaptive NN Force Loading Control of Electro-Hydraulic Load Simulator
Previous Article in Journal
Multi-Objective Parameter Optimization of Rotary Screen Coating Process for Structural Plates in Spacecraft
 
 
Font Type:
Arial Georgia Verdana
Font Size:
Aa Aa Aa
Line Spacing:
Column Width:
Background:
Article

Adaptive Recognition and Control of Shield Tunneling Machine in Soil Layers Containing Plastic Drainage Boards

1
School of Mechanical Engineering, Tongji University, Shanghai 201804, China
2
Equipment Design and Research Institute, Shanghai Urban Construction Tunneling Equipment Co., Ltd., Shanghai 200137, China
3
National Maglev Transportation Engineering R&D Center, Tongji University, Shanghai 201804, China
*
Author to whom correspondence should be addressed.
Actuators 2024, 13(12), 470; https://doi.org/10.3390/act13120470
Submission received: 28 September 2024 / Revised: 29 October 2024 / Accepted: 13 November 2024 / Published: 22 November 2024
(This article belongs to the Section Actuators for Surface Vehicles)

Abstract

The underground plastic vertical drains (PVDs) are a significant problem for shield machines in tunneling construction. At present, the main method to deal with PVDs is to manually adjust the parameters of the shield machine. To ensure that a shield machine autonomously recognizes and adjusts the control in soil layers containing PVDs, this study constructs a shield machine advance and rotation state-space model utilizing Bayesian decision theory for the judgment of excavation conditions. A Bayesian model predictive control (Bayes-MPC) method for the shield machine is proposed, followed by a simulation analysis. Finally, a validation experiment is conducted based on a Singapore subway project. Compared with traditional methods, the method proposed in this paper has better performance in the simulation, and it also has demonstrated effectiveness and accuracy in experiments. The research outcomes can provide a reference for the adaptive assistance system of shield machines excavating underground obstacles.

1. Introduction

The shield tunneling method has been widely applied in tunnel projects, such as railways, subways, and highways, due to its efficiency and stability [1]. It is essential for shield tunneling construction to investigate the site’s hydrogeological conditions in advance to ensure construction safety and efficiency [2]. During excavation, the control parameters of the shield tunneling machine need to be adjusted according to the changes in the excavated stratum. If the operating parameters of the shield tunneling machine do not adapt to the current stratum, construction accidents, such as blockage of the cutterhead, jamming of the shield body, and tunnel collapse, may occur.
Currently, the mainstream operation methods for shield tunneling machines still rely on the operators’ judgement and experience. Key parameters, such as the cutterhead rotation speed and the thrust cylinder speed, are manually controlled, and the control strategy of the shield tunneling machine in different strata is determined by the operator. However, the limitations of manual observation and operation lie in the inability to achieve a rapid response and frequent high-precision fine-tuning, and the number of high-level skilled operators is far from meeting the current needs of tunnel projects worldwide [3]. Therefore, it is necessary to study shield tunneling machine automation control methods in different strata.
To ensure the shield tunneling machine’s stable operation in different strata, researchers have proposed various strategies. Liu et al. proposed a coordinated optimization control method for shield machines based on dynamic fuzzy neural network (D-FNN) direct inverse control. The method can optimize the control parameters in coordination according to changes in the construction environment, effectively reduce the earth pressure fluctuations during shield tunneling, and better control the stability of the excavation surface [4]. Wang et al. proposed a multicylinder control system based on a master/slave control strategy to control the pose and trajectory of the shield machine, which has significant application potential in practical tunnel construction projects [5]. Yang et al. established a dynamical model for a cutterhead system and investigated the robust control of a multimotor driving cutterhead system for a shield machine with distributed model predictive control (MPC) to optimize the input torques for the driving motors [6]. Shao et al. established a position and posture rectification kinematics and dynamics models of TBM, and proposed an indirect adaptive robust controller that can track the planned tracking trajectory smoothly and rapidly [7]. Huang et al. established machine learning algorithms to predict the tunneling posture of the shield machine using the continuous construction parameters and illustrated the automatic control of the posture of the shield tunnel with an application example of the proposed models [8]. Wu et al. established a mathematical model of the TBM thrust electrohydraulic system, proposed a thrust hydraulic control system with operating parameters, and introduced a self-tuning fuzzy PID controller in the pressure and velocity regulation procedures, which showed greater benefits in the reduction in vibrations and a shorter time for regulation to stable conditions [9]. Li et al. proposed an integrated parameter optimization approach to provide a timely operational control strategy for TBM tunnelling and integrated a light gradient boosting machine (LightGBM) and particle swarm optimization (PSO) algorithms, which are conducive for meeting the requirements of efficiency, accuracy, and stability for providing the operational control strategy [10]. Wang et al. proposed a method to optimize TBM control parameters using an improved loss-of-function-based artificial neural network (ILF-ANN) combined with quantum particle swarm optimization (QPSO) to improve the TBM’s performance by optimizing the penetration and cutterhead rotation speeds [11].
To solve the problems of fast speed, stability, and precision control encountered in engineering, some advanced control methods should be studied. Zhang et al. designed a proportional-derivative sliding mode controller (PD-SMC) without model information and improved the stability of electromagnetic suspension systems of maglev vehicles [12]. Wen et al. proposed a backstepping-based boundary state-feedback controller and achieved exponential stability for the gantry crane system [13]. Mao et al. investigated an improved model predictive control (MPC) scheme based on a neural network and optimized the control performance of a permanent magnet synchronous motor (PMSM) servo system [14].
To solve the problem of geological perception during shield tunneling construction, researchers have proposed methods to identify the excavated stratum using the operating parameters. Zhou et al. proposed a modeling and analysis method for shield tunneling performance by taking a subway tunnel project crossing the Yangtze River as the research object. The shield tunneling performance network was constructed based on 136 shield tunneling parameters to achieve high-dimensional data for shield performance evaluation [15]. Zhao et al. proposed a framework to build a predictor for geological types based on TBM operating data, and a feedforward multiple-output artificial neural network (ANN) was designed as the predictor. Compared with other traditional machine learning prediction models, it has better performance and can accurately predict the geological type [16]. Chen et al. designed a TransTP network to predict the dynamic characteristics of shield machine driving parameters and improved the prediction performance by introducing the geological data [17].
Currently, research on shield machine excavation face recognition mainly focuses on stratum types, and there is a lack of identification of humanmade remnants and obstacles, such as plastic drainage boards. To meet the engineering requirements of the shield tunneling machine to rapidly, efficiently, and safely excavate in complex geological conditions, to minimize the disturbance of the strata, and to control the settlement, it is necessary to study an adaptive control strategy for the shield machine that excavates in soil layers which contain plastic drainage boards.
This paper, based on a tunnel construction project in Singapore, aims to solve the problems caused by plastic drainage boards (PVDs) during underground tunnel construction. An advance and rotation system of the shield machine is analyzed, and its state-space model is constructed. Subsequently, a control method based on model predictive control, integrated with Bayesian decision theory, is introduced and compared with other control methods via simulation. Lastly, a tunnel excavation experiment is conducted to verify the effectiveness of the proposed method.

2. Project Overview

The shield tunneling method, as an advanced tunnel construction technology, has been widely used in subway, underground passage, and other engineering projects. However, the plastic drainage boards left from prefoundation treatment pose potential hazards to the progression of tunnel project. The impact of plastic drainage boards on shield tunneling construction manifest primarily in the following aspects:

2.1. Shield Machine Cutter Wear

When the shield machine traverses the area with drainage boards, the cutters’ degree of wear may increase due to the cutting action on drainage boards.

2.2. Surface Settlement Control

The presence of drainage boards may affect the stability of the soil around the shield tunnel, especially when crossing important facilities such as highways, which may result in damage to surface structures.

2.3. Construction Risk

If the drainage boards are not completely cut, risks such as cutterhead entanglement and the screw conveyor blockage arise.
In summary, the drainage board has a significant impact on shield tunneling construction. It is necessary to consider the setting of drainage boards, the adaptive modifications of shield machine, construction risk management, and the monitoring and adjustment of construction parameters to guarantee the smooth progression of shield tunneling construction.
This paper takes a subway project in Singapore as an example. The project uses two φ6670 earth pressure balance shield machines, starting from Singapore Changi Airport T5 terminal to T2 section. The designed tunnel route crosses the existing terminals and runways of Changi Airport, as shown in Figure 1a. The project interval strata are soft soil layers, mainly consisting of fine sand and clay layers. Therefore, ground improvement engineering was carried out at the beginning of the airport construction, and prefabricated vertical drainage ditches (PVDs) were used. Based on the geological exploration results, it is expected that the longest section will traverse about 220 m of the Changi Airport aircraft taxiway after drainage consolidation treatment, with the drainage board insertion depth reaching about 35 m and a distribution spacing of 1.2 m. Figure 1b presents the longitudinal geological section schematic.
To ensure the efficiency and safety of shield tunneling construction, it is necessary to modify the control strategy of shield machine during its traversal of the PVD zone.

3. Shield Machine Advance and Rotation Dynamics Model

This section analyzes the operational mechanics of driving motor, reducer, driving gear, and thrust cylinder, with the aim of constructing a dynamics model of the shield machine’s advance and rotation system, as shown in Figure 2. This foundational model will facilitate the development of the subsequent control model.
The cutterhead drive system of the shield machine is powered by multiple driving motors (specifically, 8 in this project). To streamline the analysis, the issue of uneven load distribution among these motors is overlooked, and the system is simplified into one where all motors are presumed to exhibit identical output speeds and torques.
Define 1 u f as the ratio of the transformer frequency to the rated frequency, that is, 1 u f = f T f N
Motor output speed:
n m = 60 f N p u f ( 1 s )
Motor output torque:
T m = 9550 P N n m = 9550 p P N 60 f N ( 1 s ) u f
where
  • f T —Frequency converter frequency, Hz;
  • f N —Rated frequency, Hz;
  • u f —The ratio of the frequency converter frequency to the rated frequency;
  • p—Number of pole pairs;
  • s—Slip ratio;
  • P N —Rated power,   k W .
The driving motor transfers torque to the large gear ring via the reducer and small gear, with the cutterhead and large gear ring being interconnected as a singular unit. The dynamic equation for the rotation of the cutterhead is
J h θ ¨ h + b h θ ˙ h + T l = n 1 i m h T m
Define the total torque of the shield machine:
T t = n 1 i m h T m
where
  • J h —Rotational inertia and damping coefficient of the cutterhead and large gear ring, k g · m 2 ;
  • b h —Resistance torque when the shield advances in excavation, N · m · s / r a d ;
  • T l —Resistance torque when the shield advances in excavation, N · m ;
  • T m —Output torque of one motor, N · m ;
  • θ c —Rotation angle of the cutterhead, r a d ;
  • n 1 —Number of driving motors;
  • i m h —Transmission ratio of the small gear to the large gear ring;
  • T t —Total torque of the shield machine, N · m .
The shield machine’s advance system is propelled by n 2 nos. hydraulic cylinders (specifically, 33 nos. in this project). We ignore the shield machine’s correction steering problem and focus solely on its rectilinear motion to streamline the analysis, assuming that all hydraulic cylinders have the same output thrust and stroke. With the load distributed uniformly, the single hydraulic cylinder control model is simplified as shown in Figure 3.
If the system consistently operates within the pressure range set by the overflow valve, the correlation between fluid flow, pressure, and the control signal can be formulated as follows:
q 1 = K q u q p 1 = K p u p
The force balance equation for the hydraulic cylinder is
A c p 1 p 2 = A c p 1 = m c x ¨ + b c x ˙ + k c x + F l / n 2
Assuming constant oil temperature and bulk modulus, uniform pressure throughout the working chamber of the hydraulic cylinder, and laminar internal leakage flow, the flow continuity equation for the hydraulic cylinder can be derived as follows:
q 1 = A c x ˙ + C i p p 1 + V 0 E k p ˙ 1
In addition, the total thrust of the shield machine is defined as
F t = n 2 A c p 1
where
  • q 1 —Variable pump flow, m 3 / s ;
  • K q —Flow ratio, m 3 / ( s · V ) ;
  • u q —Variable pump input electric signal, V ;
  • p 1 —Outlet pressure of the pressure reducing valve, M P a ;
  • K p —Pressure ratio gain, M P a / V ;
  • u p —Input electric signal of the pressure reducing valve, V ;
  • A c —Area of the rodless chamber of the hydraulic cylinder, m 2 ;
  • x —Piston rod displacement, m ;
  • m c —Piston rod mass, k g ;
  • b c —Damping coefficient of the piston rod, N · s / m ;
  • k c —Stiffness of the piston rod, N / m ;
  • F l —Total resistance encountered by the shield machine during advancement, N ;
  • n 2 —Number of thrust oil cylinders;
  • C i p —Internal leakage coefficient of the hydraulic cylinder, m 3 / ( M P a · s ) ;
  • V 0 —Oil volume of the high-pressure chamber of the hydraulic cylinder and the oil inlet pipe, m 3 ;
  • E k —Volumetric elasticity modulus of the oil, M P a ;
  • F t —Total thrust of the shield machine, N .
Organize the formula to obtain
θ ¨ h = b h J h θ ˙ h + 9550 n 1 i m h p P N 60 J h f N ( 1 s ) u f T l J h
x ¨ = k c m c x b c m c x ˙ + A c m c p 1 F l n 2
p ˙ 1 = A c E k V 0 x ˙ C i p E k K p V 0 u p + E k K q V 0 u q
Then,
θ ¨ h x ˙ x ¨ p ˙ 1 = b h J h 0 0 0 0 0 1 0 0 k c m c b c m c A c m c 0 0 A c E k V 0 0 θ ˙ h x x ˙ p 1 + 9550 n 1 i m h p P N 60 J h f N 1 s 0 0 0 0 0 0 0 0 0 E k K q V 0 C i p E k K p V 0 u f u q u p + 1 J h 0 0 0 0 1 n 2 0 0 T l F l
θ ˙ h x ˙ = 1 0 0 0 0 0 1 0 θ ˙ h x x ˙ p 1
We take the cutterhead rotation speed θ ˙ h , piston rod displacement x , piston rod advance speed x ˙ , and the pressure of the proportional throttle valve p 1 as state variables X, the cutterhead rotation speed θ ˙ h , and piston rod advance speed x ˙ as the model’s output Y, the frequency converter frequency u f , variable pump input electric signal u q , and pressure reducing valve input electric signal u p as control inputs u , the resistance torque of cutterhead rotation T l and resistance of cutterhead advancement F l as disturbance variables w , that define
X = θ ˙ h , x , x ˙ , p 1 T   Y = θ ˙ h , x ˙ T u = u f , u q , u p T   w = T l , F l T
Thus, the state-space model of the shield machine is obtained:
X ˙ = A X + B 1 u + B 2 w Y = C X
where
A = b h J h 0 0 0 0 0 1 0 0 k c m c b c m c A c m c 0 0 A c E k V 0 C i p E k V 0 , B 1 = 9550 n 1 i m h p P N 60 J h f N ( 1 s ) 0 0 0 0 0 0 0 0 0 E k K q V 0 C i p E k K p V 0 B 2 = 1 J h 0 0 0 0 1 n 2 0 0 , C = 1 0 0 0 0 0 1 0

4. Bayesian Decision Theory-Based Drainage Board Identification Method

After the shield machine excavates the underground plastic drainage boards, there will be notable changes in both thrust and torque. Based on this characteristic, a residual threshold value can be set, serving as a criterion to determine whether the shield machine has excavated plastic drainage boards. In this section, the Bayesian decision theory method is employed to analyze the characteristics of torque and thrust data during the shield machine excavation process. Subsequently, the corresponding threshold value and decision quantity for identifying drainage boards will be established.
Given the actual measured output vector Y i , the predicted value Y ^ i can be obtained through the dynamic model in Section 3. The subscript represents the time step, then the residual can be expressed as follows [18]:
ε i = | Y i Y ^ i |
We collect the residual data of the shield machine output under conventional strata, and determine the mean and variance of the residual under the normal state of the shield machine:
μ 0 = 1 N 0 i = 1 N 0 ε i σ 0 2 = 1 N 0 i = 1 N 0 ( ε i μ 0 ) 2
where
  • N 0 —Number of sampling points, should be large;
  • ε i —Discrete residual data;
  • μ 0 —Average value of the residual output under normal conditions of the shield machine;
  • σ 0 2 —Variance of the residual output under normal conditions of the shield machine.
According to experience, it is presumed that ε i follows a normal distribution, and the corresponding probability density function under ε i normal conditions can be obtained:
p ε i w 1 = 1 2 π σ 0 e x p ( ( ε i μ 0 ) 2 2 σ 0 2 )
During the actual operation of the shield machine, we calculate the statistical characteristics of the output residual in real time by utilizing the Bayesian decision theory method [19]:
μ = 1 N i = 1 N ε i σ 1 2 = 1 N i = 1 N ( ε i μ 0 ) 2 σ 2 2 = 1 N i = 1 N ( ε i μ ( N ) ) 2
where
  • N —Number of sampling points selected;
  • μ ( N ) —Average value of the output residual selected;
  • σ 1 2 N —Variance of the output residual in the selected and the average value of the conventional residual of the shield machine;
  • σ 2 2 ( N ) —Own variance of the selected data.
In the above formula, the probability density of the output residual data ε i under normal conditions can be obtained by substituting σ 1 2 and σ 2 2 into p ε i w 1 .
p ( ε i ) = 1 2 π σ 2 e x p ( ( ε i μ ) 2 2 σ 2 2 )
We represent the probability density of the residual under the state w 2 of excavating drainage boards as p ε i w 2 . By applying Bayes’ formula, the following reasoning can be made:
p w 2 ε i = 1 p w 1 ε i = p ε i w 2 p ( w 2 ) p ( ε i ) p w 1 ε i = p ε i w 1 p ( w 1 ) p ( ε i ) p w 2 = 1 p ( w 1 ) p ε i w 2 = p ε i p x w 1 p ( w 1 ) 1 p ( w 1 )
where p ( w 1 ) is the prior probability of the shield machine excavating in conventional strata, which can be statistically obtained from actual situations.
We define the decision function:
l x = p ε i w 1 p ε i w 2 p ( w 1 ) p w 2
When the above formula holds, it represents that ε i belongs to w 1 , indicating that the shield machine is excavating in conventional strata.
Taking the decision quantity h ε i = ln l ε i , there is
h ε i = ln l ε i = l n   p ε i w 2 l n   p ε i w 1 l n ( p ( w 1 ) 1 p ( w 1 ) )
We substitute the following into it:
h ε i = σ 1 2 σ 0 2 ln σ 2 2 σ 0 2 1
The criterion for whether the shield machine has excavated plastic drainage boards can be expressed as
h ε i ln ( N P / ( 1 P ) ) , Boring   in   normal   formation h x ε i > ln ( N P / ( 1 P ) ) , Boring   in   PVDs   formation
where P is the prior probability, P = p ( w 1 ) , decision quantity is h ε i , and threshold is ln ( N P / ( 1 P ) ) .

5. Shield Machine Control Method Based on Model Predictive Control

The sensors installed on the shield machine can continuously monitor the excavation parameters in real time during the construction process. By utilizing the method proposed in the previous section to analyze these parameters, it is possible to determine whether the shield machine has excavated drainage boards, and subsequently adjust the expected output value of the shield machine accordingly. The output value under different conditions is determined through engineering experience. The reference expected value is inputted into the controller to achieve the shield machine adaptive control. This section introduces the shield machine control method based on model predictive control.
Model predictive control is a control algorithm based on a mathematical model, to obtain the system’s future behavior prediction [20]. The core idea of model predictive control is to determine the optimal control strategy by solving an optimization problem in each control period. This optimization problem is based on the mathematical model of the system and a prediction time window, and the optimal control strategy is solved by minimizing a performance index [21].
The model proposed in this article is shown in Figure 4.
The model constructed in Section 3 is a continuous system; we transform it into the following discrete system form:
x k + 1 = A d x k + B d u ( k ) y k = C d x k
According to this model, when the initial state x k of the object and the future control inputs u k , u k + 1 are known at time k , the future state of the object can be predicted at each moment:
x 0 | k = x k x 1 | k = A d x k + B d u ( 0 | k ) x 2 | k = A d 2 x k + A d B d u 0 k + B d u ( 1 | k ) x N | k = A d N x k + A d N 1 B d u 0 k + + B d u ( N 1 | k )
where x i | k represents the k + i predicted value of the state at time k, and u i | k represents the k + i predicted value of the input at time k.
Similarly, by recursion, the predicted output of the system can be obtained:
y 0 | k = C d x k y 1 | k = C d A d x k + C d B d u ( 0 | k ) y 2 | k = C d A d 2 x k + C d A d B d u 0 k + C d B d u ( 1 | k ) y N | k = C d A d N x k + C d A d N 1 B d u 0 k + + C d B d u ( N 1 | k )
It can be observed that all predicted outputs are solely dependent on to the currently observed system state x k and the future sequence of control variable u ( i | k ) .
The expected input value at time k is r k , and then the error of the system can be expressed as
e i | k = y i | k r k
The goal is to control the system output as close to the reference value as possible through MPC control. Assuming the reference remains constant within the optimization window, let
Y = y 0 | k y N 1 | k , U = u 0 | k u N 1 | k , E = y 0 | k r k y N 1 | k r k
At time k , the purpose of control is transformed into finding an optimal control variable sequence within the optimization window at time k . In order to optimize the error and the input, the cost function is defined as
J = E T Q E + U T R U + e N | k T F e N | k
The first item of the cost function reflects discrepancy between input signal and predicted output signal; the second item is used to prevent the control quantity excessive; the third item is the terminal term, which is designed to guarantee system stability and is formulated in a quadratic form.
For the advance and rotation system, owing to constraints such as the limitations of the hydraulic cylinder stroke and the maximum torque of the driving motor, both the input signal and state variables are restricted, resulting in the following constraints:
u m i n < u k < u m a x x m i n < x k < x m a x
In summary, the system control problem can be described as
min U J = E T Q E + U T R U + e N | k T F e N | k s . t . u m i n < u k < u m a x x m i n < x k < x m a x
According to the Lyapunov stability criterion, if a semipositive definite function about the system state can be found, and the difference of this function is always negative, the system is stable [22]. By formulating a optimization function to be a Lyapunov function of the system, system stability can be guaranteed [23].
In the constrained optimization problem, we introduce a relatively loose inequality constraint, x k + m Ω , where Ω is a neighborhood of the equilibrium point. The basic idea of this method is to use unconstrained linear feedback to control the system within a neighborhood of the equilibrium point. For a linear system, if ( A , B ) is stabilizable, there must be state feedback u = K x that makes ( A + B k ) asymptotically stable. Moreover, due to the continuity of the function, there must be a neighborhood of the equilibrium point Ω ¯ , which makes the system satisfy control constraints and output constraints, which is
u m i n < K x < u m a x y m i n < C x < y m a x
and it is also necessary to satisfy ( A + B K ) x Ω .
We assume that there is an optimal solution at time k :
U k * = u * 0 | k , u * 1 | k , , u * N 1 | k Y k * = [ y * 0 | k , y * 1 | k , , y * N 1 | k ]
At this time, the optimization problem value is J k * , then the control input at time k + 1 can be selected as follows:
U k + 1 = u * 1 | k , u * 2 | k , , u * N 1 | k , K x * N | k
Since x * N | k Ω , and there is K x * N | k [ u m i n , u m a x ] , the input satisfies the constraint. Since x N + 1 | k + 1 = ( A + B K ) x * N | k Ω , the output satisfies the constraint.
The value of the optimization problem is
J k + 1 * = E k + 1 T Q E k + 1 + U k + 1 T R U k + 1 + e N | k + 1 T F e N | k + 1 = J k * ( C x 0 | k r k ε 1 2 + u 0 | k ε 2 2 ) J k *
Therefore, U k + 1 is a feasible solution, and the value of the optimal solution is better than the value of the feasible solution. J k + 1 * J k + 1 J k * means that the system is asymptotically stable.
Since the predicted state value of the system only depends on the control input sequence, the performance index of the system’s control is a function of the control input sequence. In order to determine the optimal state of these performance index, it is necessary to solve for their minimum value, thereby obtaining the optimal control input sequence. In order to further enhance the robustness and adaptability of the control system, when solving for the optimal control input, it is necessary to adopt an iterative idea. During the operation of the system, the optimal control input sequence will be recalculated continuously, that is, u * k , , u * k + M 1 . At each moment k , only the first item u * k of this optimal sequence is implemented, and as time progresses, the subsequent optimal control inputs are gradually applied. When time advances to the next sampling moment, the actual output of the system will be detected, and the error between the actual output and the predicted output will be corrected. Then, the optimization calculation will be performed again to determine a new optimal control input sequence. This process is known as the rolling optimization method. In this way, the control system can continue to adapt to changes in the external environment and always maintain its performance in the optimal state.

6. Simulation

This section combines the Bayesian decision theory and model predictive control proposed in the previous sections to introduce the Bayes-MPC method, and conducts simulation analysis. The shield machine advance and rotation system comprise three inputs and two outputs. To evaluate the control method used in this paper, a PID neural network (PIDNN) and a linear quadratic regulator (LQR) are introduced for comparison.
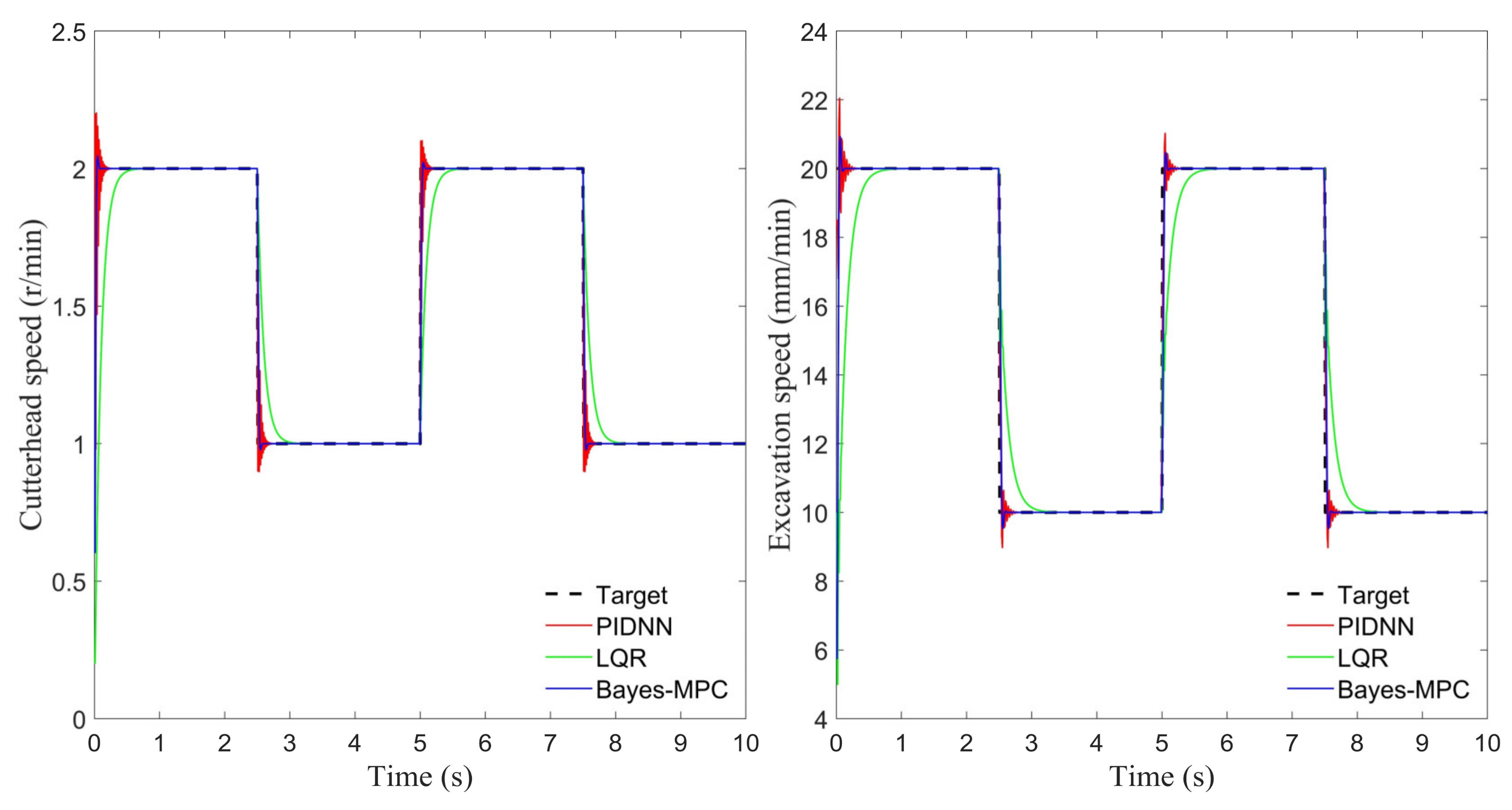
To simulate the abrupt change of load in the shield machine, the reference output for the cutterhead rotation speed is set to fluctuate between 2 r/min and 1 r/min, while the excavation speed fluctuates between 20 mm/min and 10 mm/min. The simulation experiment is carried out in MATLAB, where both input and output are recorded. The results are shown in Figure 5 and Figure 6.
Figure 5 clearly illustrates the two primary output values of the system: the cutterhead speed and the excavation speed. The dashed line represents the preset target tracking value, which was established for the purposes of the simulation experiment. All three methodologies employed in the experiment can achieve a steady state, yet the method introduced in this paper demonstrates better performance particularly in excessive oscillations, response time, and tracking ability.
Figure 6 shows three input values of the system, include the frequency control variable of the frequency converter, the input signal for the variable pump, and the set value of the pressure reducing valve. Compared to the methods, the proposed Bayes-MPC (Bayesian model predictive control) method exhibits a significantly smaller overshoot and a more rapid response time. Furthermore, the input signals are notably more stable, indicating a high level of robustness. This method also demonstrates a remarkable ability to adapt to the ever-changing conditions of the shield machine, making it a superior choice for such applications.

7. Experimental Verification

In the construction of a subway in Singapore, the shield machine applied the control method proposed in this paper to traverse the stratum containing drainage boards, while recording relevant construction data.
The experimental situation is shown in Figure 7, where fragments of the drainage board are wrapped around the cutter, resulting in resistance torque fluctuations.
With the help of sensors integrated within the shield tunneling machine, real-time data acquisition can be effectively executed. The control performance of cutterhead speed and excavation speed in the experiment are shown in Figure 8.
According to Formulas (4) and (8) in Section 3, the theoretical value for the shield machine torque and thrust can be calculated. The comparisons are shown in Figure 9.
When the shield machine enters the drainage board area during construction, the thrust and torque correspondingly change as the advance speed and cutterhead rotation speed decrease. The proposed control method swiftly adapts to these changes, demonstrating good tracking of the desired output. The Bayes-MPC control method proposed in this paper has been verified through the above experimental data comparison. According to the changes in stratum and the actual working state of the shield machine, the output of excavation speed and cutterhead rotation speed responds quickly, which improves the shield machine control precision, reduces the latency and error of manual operation effectively, provides decision support for construction management to take measures in advance, helps reduce the disturbance to the surrounding environment and maintain the stability of the excavation face, prevents stratum collapse and surface settlement, and, thus, improves construction safety.

8. Conclusions

To solve the problems caused by plastic drainage boards (PVDs) in underground tunnel construction, this paper proposed a Bayes-MPC control method for the shield machine. The key findings of the study can be summarized as follows:
  • A state-space model of shield machine advance and rotation system was constructed, providing a foundation for the design of shield machine controllers.
  • In comparison to PIDNN control and LQR control, the proposed Bayes-MPC control method exhibited better performance in response time and robustness.
  • The shield machine achieved PVD recognition and parameter adjustment in a tunnel excavation experiment, which demonstrated the method’s effectiveness.
The innovation of this work lies in the integration of sensor technology, control theory, and decision algorithms to solve the problem of underground artificial obstacles during shield tunneling construction. This work also helps promote the intelligence of shield machines and replaces traditional manual operations with artificial intelligence control, which can further improve the construction efficiency, quality, and safety of shield machines, and reduce the labor intensity and skill threshold of shield machine operators.
Future research will focus on the identification and control strategies of shield machines in any geological layer, providing a foundation for autonomous tool-changing technology for shield machines.

Author Contributions

Conceptualization, Q.W. and W.L.; methodology, Z.X.; validation, Q.W. and Z.X.; formal analysis, W.L.; investigation, Q.W.; resources, Q.W.; data curation, Q.W. and Z.X.; writing—original draft preparation, Z.X.; writing—review and editing, Y.S.; supervision, W.L. and Y.S.; project administration, W.L. and Y.S.; funding acquisition, Q.W. All authors have read and agreed to the published version of the manuscript.

Funding

Authors are thankful to sponsorship by Shanghai Rising-Star Program (22QB1401900).

Data Availability Statement

The dataset is available on request from the authors. The raw data supporting the conclusions of this article will be made available by the authors on request.

Conflicts of Interest

Author Qiuping Wang was employed by the company Shanghai Urban Construction Tunneling Equipment Co., Ltd. The remaining authors declare that the research was conducted in the absence of any commercial or financial relationships that could be construed as a potential conflict of interest.

References

  1. Geng, Q.; Wei, Z.; Ren, J. New rock material definition strategy for FEM simulation of the rock cutting process by TBM disc cutters. Tunn. Undergr. Space Technol. 2017, 65, 179–186. [Google Scholar] [CrossRef]
  2. Liu, X.; Zhang, K. Earth pressure prediction in sealed chamber of shield machine based on parallel least squares support vector machine optimized by cooperative particle swarm optimization. Meas. Control 2019, 52, 758–764. [Google Scholar] [CrossRef]
  3. Wang, C.; Ma, H.; Xue, X.; Mao, Q.; Song, J.; Wang, R.; Liu, Q. Research on the Deviation Correction Control of a Tracked Drilling and Anchoring Robot in a Tunnel Environment. Actuators 2024, 13, 221. [Google Scholar] [CrossRef]
  4. Liu, X.; Wang, W.; Wang, Y.; Shao, C.; Cong, Q. Coordinated optimization control of shield machine based on dynamic fuzzy neural network direct inverse control: Transactions of the Institute of Measurement & Control. Trans. Inst. Meas. Control 2021, 43, 1445–1451. [Google Scholar] [CrossRef]
  5. Wang, L.; Yang, X.; Gong, G.; Du, J. Pose and trajectory control of shield tunneling machine in complicated stratum. Autom. Constr. 2018, 93, 192–199. [Google Scholar] [CrossRef]
  6. Yang, X.; Zhang, L.; Xie, W.; Zhang, J. Sequential and Iterative Distributed Model Predictive Control of Multi-Motor Driving Cutterhead System for TBM. IEEE Access 2019, 7, 46977–46989. [Google Scholar] [CrossRef]
  7. Shao, C.; Liao, J.; Liu, Z.; Su, H. Indirect Adaptive Robust Trajectory Tracking Control of Hard Rock TBM with Load Variation of Tunneling Face. Chin. J. Mech. Eng. Engl. Ed. 2019, 32, 168–179. [Google Scholar] [CrossRef]
  8. Huang, H.; Chang, J.; Zhang, D.; Zhang, J.; Wu, H.; Li, G. Machine learning-based automatic control of tunneling posture of shield machine. J. Rock Mech. Geotech. Eng. 2022, 14, 1153–1164. [Google Scholar] [CrossRef]
  9. Wu, W.; Gong, G.; Chen, Y.; Zhou, X. Performance Analysis of Electro-Hydraulic Thrust System of TBM Based on Fuzzy PID Controller. Energies 2022, 15, 959. [Google Scholar] [CrossRef]
  10. Li, X.; Zhao, S.; Shen, Y.; Li, G.; Zhu, H. Integrated parameter optimization approach: Just-in-time (JIT) operational control strategy for TBM tunnelling. Tunn. Undergr. Space Technol. 2023, 135, 105040. [Google Scholar] [CrossRef]
  11. Wang, X.; Wu, J.; Yin, X.; Liu, Q.; Huang, X.; Pan, Y.; Yang, J.; Huang, L.; Miao, S. QPSO-ILF-ANN-based optimization of TBM control parameters considering tunneling energy efficiency. Front. Struct. Civ. Eng. 2023, 17, 25–36. [Google Scholar] [CrossRef]
  12. Zhang, D.; Qiang, H.; Sun, Y.; Xu, J. Model-Independent Robust Control for Electromagnetic Suspension Systems of Maglev Vehicles. IEEE Trans. Appl. Supercond. 2024, 34, 1–5. [Google Scholar] [CrossRef]
  13. Wen, Y.; Lou, X.; Wu, W.; Cui, B. Backstepping Boundary Control for a Class of Gantry Crane Systems. IEEE Trans. Cybern. 2023, 53, 5802–5814. [Google Scholar] [CrossRef] [PubMed]
  14. Mao, H.; Tang, X.; Tang, H. Speed control of PMSM based on neural network model predictive control. Trans. Inst. Meas. Control 2022, 44, 2781–2794. [Google Scholar] [CrossRef]
  15. Zhou, C.; Ding, L.Y.; Skibniewski, M.J.; Luo, H.; Zhang, H.T. Data based complex network modeling and analysis of shield tunneling performance in metro construction. Adv. Eng. Inform. 2018, 38, 168–186. [Google Scholar] [CrossRef]
  16. Zhao, J.; Shi, M.; Hu, G.; Song, X.; Zhang, C.; Tao, D.; Wu, W. A Data-Driven Framework for Tunnel Geological-Type Prediction Based on TBM Operating Data. IEEE Access 2019, 7, 66703–66713. [Google Scholar] [CrossRef]
  17. Chen, L.; Liu, Z.; Mao, W.; Su, H.; Lin, F. Real-Time Prediction of TBM Driving Parameters Using Geological and Operation Data. IEEE/ASME Trans. Mechatron. 2022, 27, 4165–4176. [Google Scholar] [CrossRef]
  18. Liu, Q.; Wang, Z.; Dong, H.; Jiang, C. Recursive Bayesian Estimation for Discrete-Time Systems With State-Dependent Packet Dropouts: A Cross-Coupled Method. IEEE Trans. Autom. Control 2024, 69, 3705–3716. [Google Scholar] [CrossRef]
  19. Gu, Z.-W.; Li, P.; Lang, X.; Shen, X.; Cao, M.; Yang, X.-H. Hierarchical classification method of electricity consumption industries through TNPE and Bayes. Meas. Control 2021, 54, 346–359. [Google Scholar] [CrossRef]
  20. Luo, Q.; Wu, S.; Bai, J.; Wu, F.; Zhang, R. An improved approach of robust constrained model predictive tracking control for polytopic description systems. Meas. Control 2023, 56, 1231–1239. [Google Scholar] [CrossRef]
  21. Nguyen, H.-N. Improved Prediction Dynamics for Robust MPC. IEEE Trans. Autom. Control 2023, 68, 5445–5460. [Google Scholar] [CrossRef]
  22. Sun, Y.; Qiang, H.; Wang, L.; Ji, W.; Mardani, A. A Fuzzy-Logic-System-Based Cooperative Control for the Multielectromagnets Suspension System of Maglev Trains With Experimental Verification. IEEE Trans. Fuzzy Syst. 2023, 31, 3411–3422. [Google Scholar] [CrossRef]
  23. Raković, S.V.; Zhang, S. Model predictive control with implicit terminal ingredients. Automatica 2023, 151, 110942. [Google Scholar] [CrossRef]
Figure 1. (a) Distribution of plastic drainage plates in a tunnel project; (b) longitudinal geological section schematic.
Figure 1. (a) Distribution of plastic drainage plates in a tunnel project; (b) longitudinal geological section schematic.
Actuators 13 00470 g001
Figure 2. Advance and rotation system of shield machine.
Figure 2. Advance and rotation system of shield machine.
Actuators 13 00470 g002
Figure 3. Simplified control model for a single hydraulic cylinder.
Figure 3. Simplified control model for a single hydraulic cylinder.
Actuators 13 00470 g003
Figure 4. Bayes-MPC method for shield machine.
Figure 4. Bayes-MPC method for shield machine.
Actuators 13 00470 g004
Figure 5. Simulation outputs.
Figure 5. Simulation outputs.
Actuators 13 00470 g005
Figure 6. Simulation inputs.
Figure 6. Simulation inputs.
Actuators 13 00470 g006
Figure 7. Experimental situation.
Figure 7. Experimental situation.
Actuators 13 00470 g007
Figure 8. (a) Cutterhead speed control performance; (b) excavation speed control performance.
Figure 8. (a) Cutterhead speed control performance; (b) excavation speed control performance.
Actuators 13 00470 g008
Figure 9. (a) Comparison of cutterhead torque; (b) comparison of thrust.
Figure 9. (a) Comparison of cutterhead torque; (b) comparison of thrust.
Actuators 13 00470 g009
Disclaimer/Publisher’s Note: The statements, opinions and data contained in all publications are solely those of the individual author(s) and contributor(s) and not of MDPI and/or the editor(s). MDPI and/or the editor(s) disclaim responsibility for any injury to people or property resulting from any ideas, methods, instructions or products referred to in the content.

Share and Cite

MDPI and ACS Style

Wang, Q.; Li, W.; Xu, Z.; Sun, Y. Adaptive Recognition and Control of Shield Tunneling Machine in Soil Layers Containing Plastic Drainage Boards. Actuators 2024, 13, 470. https://doi.org/10.3390/act13120470

AMA Style

Wang Q, Li W, Xu Z, Sun Y. Adaptive Recognition and Control of Shield Tunneling Machine in Soil Layers Containing Plastic Drainage Boards. Actuators. 2024; 13(12):470. https://doi.org/10.3390/act13120470

Chicago/Turabian Style

Wang, Qiuping, Wanli Li, Zhikuan Xu, and Yougang Sun. 2024. "Adaptive Recognition and Control of Shield Tunneling Machine in Soil Layers Containing Plastic Drainage Boards" Actuators 13, no. 12: 470. https://doi.org/10.3390/act13120470

APA Style

Wang, Q., Li, W., Xu, Z., & Sun, Y. (2024). Adaptive Recognition and Control of Shield Tunneling Machine in Soil Layers Containing Plastic Drainage Boards. Actuators, 13(12), 470. https://doi.org/10.3390/act13120470

Note that from the first issue of 2016, this journal uses article numbers instead of page numbers. See further details here.

Article Metrics

Back to TopTop