Abstract
Driven by the rapid development of modern industrial applications, multi-agent systems (MASs), integrating computational and physical resources, have become increasingly important in recent years. However, the performance of MASs can be easily compromised by malicious false data injection attacks (FDIAs) due to the inherent vulnerability of the cyber layer. This work focuses on an event-triggered framework for secure reconstruction and consensus control in MASs subject to both sensor and actuator attacks. First, we introduce a class of Takagi–Sugeno fuzzy multi-agent systems that relax the traditional Lipschitz condition and incorporate realistic system dynamics by considering parameter variations governed by Markovian jump principles. Second, an adaptive fuzzy estimator is developed for the simultaneous reconstruction of states and attacks in MASs. The derived estimates are utilized to design an attack-resilient consensus control strategy that compensates for the effects of FDIAs on the closed-loop consensus error dynamics. Meanwhile, the sufficient conditions for the convergence of both estimation and consensus errors are presented and rigorously proved. Finally, evaluation results on an experimental platform through multiple truck-trailer systems are provided to demonstrate the effectiveness and performance of the proposed approach.
1. Introduction
Multi-agent systems (MASs) are composed of multiple intelligent agents that interact with each other and are widely used in various fields such as formation regulation for unmanned vehicles [1,2], energy management in power grids [3], and distributed sensor networks [4]. With the widespread use of wireless network technology, the interconnected structure of MASs has introduced numerous benefits; however, it has also increased the system’s vulnerability to security threats [5]. Malicious attacks can be launched by an adversary through sensor and/or actuator channels, resulting in system performance degradation. In other words, if the attack is successful, it may cause serious system failures or malfunctions. In recent years, incidents such as the RQ-170, Stuxnet, and the Jeep hack [6,7] have attracted great attention, indicating that the network security issues of MASs have become a serious challenge.
Over the past few decades, the field of fuzzy logic control for nonlinear systems has experienced remarkable growth and has been successfully applied in many domains [8,9,10]. The Takagi–Sugeno (T-S) fuzzy model-based technique has attracted considerable attention and interest from both academic and industrial communities due to its potential to solve complex control problems in nonlinear systems [11,12,13,14]. Such a fuzzy model is known to represent the local dynamics of each fuzzy rule using a linear system model, making it suitable for describing or approximating a wide range of nonlinear systems. As a result, conventional linear system theory can be applied to analyze and design this class of nonlinear systems, leading to the development of effective control strategies. On the other hand, there has been a significant amount of research conducted on Markovian jump systems, which have demonstrated their ability to model a wide range of practical modern systems, such as robotic manipulator systems, communication networks, and power systems [15,16,17]. However, these applications are often vulnerable to a variety of attacks on actuators and/or sensors that are launched by malicious adversaries.
In general, cyber attacks can be broadly classified into two categories, namely, deception attacks and denial-of-service (DoS) attacks [18,19]. The primary objective of a DoS attack is to compromise the availability and exchangeability of data by maliciously consuming computation or communication resources. In contrast, deception attacks seek to manipulate the trustworthiness of data by manipulating packets transmitted over communication networks [20]. False data injection attacks (FDIAs) are a typical form of deception attacks and have recently received considerable attention for their potential impact on the network security of MASs [21,22,23,24]. The authors in [21] investigated the mechanism of FDIAs on the distributed cyber-physical systems by establishing interconnections that can help prevent undetectable attacks. The study described in [22] focused on an integrated data-driven framework for secure data transmission and trustworthiness assessment against FDIAs, and then [23] extended the results to detect data integrity including DoS attacks and replay attacks. In addition to exploiting data-driven techniques against FDIAs, several researchers have also noticed the significance of the approach of model-based attack accommodation approach [25,26,27]. A successful attack accommodation strategy can enhance the reliability of attack recovery capabilities. In [25], a fuzzy logic system-based adaptive controller was designed for linear centralized cyber-physical systems subject to state-dependent actuator attacks. A further research in this area was the one described in [26], where the issue of secure reconstruction was studied for centralized continuous-time systems with sparse FDIAs. Although the aforementioned research has demonstrated success in solving various attack problems, it has limitations in addressing the attack-resilient consensus control problem of a class of Markovian jump MASs under simultaneous actuator and sensor FDIAs. This is one of the reasons that motivates us to conduct this research.
As another research front, it is well recognized that communication networks play a crucial role in MASs. However, many existing studies make assumptions that communication networks are ideal without any limitations. In practice, limited communication channels often occupy more bandwidth and can lead to severe network congestion, resulting in data packet dropouts and transmission delays. To tackle these difficulties, the event-triggered consensus control for MASs has attracted significant attention, as indicated by numerous recent investigations [28,29,30,31,32]. The research on centralized event-triggered mechanism for MASs was considered in [28], which focused on the state-independent scheme. In contrast to [28], reference [29] investigated the benefits of an event-triggered bipartite consensus control strategy for model-free MASs with a state-dependent threshold. Recently, attention has increasingly turned to solving security problems of MASs by employing the event-triggered schemes. In [33], the observer-based event-triggered consensus control problem was investigated for discrete-time MASs subject to lossy sensors and cyber attacks. The further study described in [34] focused on the event-triggered security consensus problem for time-varying MASs against FDIAs and parameter uncertainties over a given finite horizon. The event-triggered leader-following consensus control protocol was designed in [35] for MASs subject to multiple cyber attacks, where a new model was developed that simultaneously considered replay attacks and DoS attacks. Based on the literature we discussed above, it is evident that the majority of the current research related to event-triggered security consensus control for MASs is concerned with the design of passive attack resilience. This approach aims to design a robust controller that can achieve consensus among the agents while tolerating attacks without requiring detailed attack information. On the other hand, event-triggered FDIA reconstruction is a crucial aspect of the attack-resilient consensus control strategy in MASs. This is because attack reconstruction provides accurate attack information, including the timing and magnitude of attacks. Utilizing the estimated attack information, the attack reconstruction-based consensus control strategy can effectively compensate for the effects of FDIAs on the closed-loop consensus error systems. It is crucial to recognize that this method belongs to the active consensus control, offering better resilience against attacks compared to passive methods. In addition, it is typically impossible to obtain full observation of the states of MASs due to measurement limitations. Note that control problems based on full-state observation can only approximate practical engineering problems. However, there are relatively few research results that consider the use of an event-triggered scheme to solve the attack reconstruction-based consensus control problems of Markovian jump MASs under FDIAs. This is another reason that led us to perform this work.
Based on the above discussion, the main difficulties in the current study are as follows:
(1) How to design an event-triggered attack estimator for T-S fuzzy Markovian jump MASs to achieve state and attack reconstruction while reducing the unnecessary consumption of network resources through the sensor-to-controller communication channels?
(2) How to design an event-triggered attack-resilient consensus control strategy to ensure consensus in T-S fuzzy Markovian jump MASs against FDIAs launched by malicious adversaries on the controller-to-actuator communication channels?
(3) Due to the existence of additive disturbances and FDIAs affecting the considered T-S fuzzy Markovian jump MASs, how to reduce the complexity of the attack estimator and consensus control protocol design procedures?
To overcome these difficulties, we investigate the problem of attack reconstruction and attack-resilient control issues for T-S fuzzy Markovian jump MASs. First, an event-triggered fuzzy adaptive attack estimator is formulated to reconstruct the states and FDIAs of Markovian jump MASs, where sufficient conditions for the estimation error convergence can be derived. Second, an event-triggered attack-resilient consensus control strategy is constructed by using the estimated state and attack information, which can ensure the mean-square stability of the state consensus error. Finally, the effectiveness of the proposed methodology is validated by experimental results on multiple truck-trailer systems. The main contributions of this paper can be summarized in the following three aspects.
(1) More generalized MASs that can better model realistic systems are introduced, where the nonlinearities considered in MASs do not satisfy the traditional Lipschitz condition, and the given system parameters are subject to Markov jump principles.
(2) An event-triggered attack reconstruction method is developed that can simultaneously estimate the state, actuator, and sensor attacks of MASs without assuming that the states of the agents are directly measurable. Using the estimated information, an event-triggered attack-resilient consensus control strategy is designed to compensate for the effects of FDIAs on the closed-loop consensus error systems.
(3) The sufficient conditions for the existence of the constructed event-triggered estimators and controllers can be determined by solving only a set of linear matrix inequalities. Thus, the computational burden is relaxed.
Nomenclature: Throughout this article, is the set of non-negative integers; is a n-dimensional real vector and denotes a real matrix. For a symmetric matrix , () is a positive (negative) definite matrix. and denote the minimum and maximum eigenvalues of X, respectively. represents the identity matrix of N dimension and 0 represents the zero matrix of appropriate dimension. is defined as a block diagonal matrix whose diagonal entries are given, and is denoted as a column vector with N blocks. Unless explicitly stated otherwise, it is defined that the described matrices have compatible dimensions. Furthermore, ∥ ∥ and ⊗ denote the Euclidean norm of a vector and Kronecker product, respectively. and represent the mathematical expectation and the occurrence probability of Y, respectively. For a real number , represents the multiplication of by itself. For a matrix , the superscripts “T” and “” represent the transposition and inversion, respectively. The matrix elements in the diagonal positions denoted by the symbol “*” correspond to their respective transposes.
2. Preliminaries and Problem Formulation
Figure 1 illustrates an event-triggered attack-resilient consensus control strategy for a fuzzy Markov jump MAS. The system architecture incorporates a sensor, an attack estimator, an attack-resilient controller, and an actuator. Notably, the communication network is susceptible to FDIAs that can compromise both actuator i and sensor i.
Figure 1.
The physical connection diagram of the considered MAS i.
2.1. Graph Theory
In this paper, the network interconnection relationship of agents is introduced using algebraic graph theory. We denote an undirected graph with N agents by , where (1) is a non-empty finite set of agents, (2) is a set of edges or arcs, and (3) is the adjacency matrix. For each agent i, represents its neighboring set. We assume that there is no self-loop in graph , i.e., for agent i, and each agent has the same weight. If , it indicates that information can be exchanged from agent i to agent j through a directed edge; otherwise, . A directed graph is considered strongly connected if there exists a path between any two agents. Furthermore, the Laplacian matrix is defined by , where the degree matrix has diagonal elements , representing the degree of agent i. Hence, the Laplacian matrix , which can be rewritten as
As shown in Equation (1), the sum of the elements in each row of the Laplacian matrix is zero.
Remark 1.
An undirected graph can be seen as a special case of a directed graph where for all . This also implies that the Laplacian matrix of an undirected graph is symmetric, while the Laplacian matrix of a directed graph is asymmetric.
2.2. System Model
The considered discrete-time T-S fuzzy Markov jump MAS, under FDI attacks, consists of a set of fuzzy IF–THEN rules, each of which represents a local linear input–output relationship of the nonlinear Markov jump system. The rule of this T-S fuzzy Markov jump system for agent i is modeled as follows.
Plant Rule ℓ: IF is and … is , THEN
where , , and denote the system state, control input and measurement output of agent i, respectively. For agent i, the unknown FDI attack signal is and may be constant or time-varying. The external disturbance , is bounded by a prescribed positive constant , such that . Without loss of generality, , , , , and are system matrices with appropriate dimensions. Herein, the premise variable vector, , is assumed to be measurable, where is the number of premise variables. Fuzzy sets ( and ) are represented by their membership functions, and is a positive integer representing the number of IF–THEN rules. Moreover, let the stochastic variable be a Markov chain taking values in a finite set with its transition matrix described by
In Equation (3), for all and for all . Using the fuzzy blending of each individual plant rule, the overall T-S fuzzy system architecture is given by
where the grade of the membership function is defined as follows: , and . In this case, it is assumed that is non-negative, and . Hence, we can further obtain , and for all k. For convenience of analysis, the system matrices , , , , and will be denoted by , , , , and when , .
Remark 2.
In contrast to previous studies [20,27] that focused on sensor attacks, this work incorporates FDIAs on the actuators into the system dynamics. This addition aims to characterize actuator FDIAs and their potential to disrupt system operation by altering controller inputs or system states, leading to instability or performance degradation.
The following definition and lemmas are necessary to develop the subsequent analysis. These foundational concepts will provide the necessary theoretical framework to address the attack reconstruction and attack-resilient control issues for a class of T-S fuzzy Markovian jump MASs.
Definition 1.
(Definition 2 in [36]): For given real scalars , and , the discrete-time jump system is asymptotically mean-square stable if the following inequality holds
where is said to be exponentially stable in mean square with respect to . Let denote a Lyapunov operator. The following Lemma establishes sufficient conditions for the mean-square stability of a stochastic system based on a Lyapunov functional approach.
Lemma 1.
(Theorem 2 in [36]): If there exist real scalars , , and such that
and
then the sequence satisfies
By defining and , we can guarantee mean-square stability if a Lyapunov operator satisfies conditions (6) and (7) established in Lemma 1. In addition to these results, the following lemma is also crucial for deriving the main results of this paper.
Lemma 2.
(Lemma 2 in [37]): For any real number , any matrix , and positive definite matrix , the following matrix inequality holds:
3. Attack Reconstruction Based on an Event-Triggered Attack Estimator
This section focuses on designing an event-triggered distributed attack estimator capable of simultaneously reconstructing state, actuator, and sensor FDIAs within the T-S fuzzy MAS modeled by Equation (4). The estimator serves the purpose of attack-resilient consensus control. By employing the stochastic analysis method introduced in Definition 1, a sufficient condition for attack reconstruction is derived in the following theorem.
3.1. Design of Event-Triggered Fuzzy Attack Estimator
To reduce the communication burden caused by the increasing amount of information exchange between agents, we introduce an event-triggered sensor data transmission scheme for agent i. This scheme employs a sequence of monotonically increasing event release instants, which are denoted by . The generation of these event times is based on the following equation:
where in Equation (10) represents the time instant when agent i transmits sensor data, and the measurement difference item is defined by with a prescribed threshold parameter .
Remark 3.
In this study, an intelligent sensor module will be equipped with a sampler, a buffer unit, and an event generator. The sampler i collects the latest data packets from the fuzzy Markov jump system i. The event generator i determines whether the current output error satisfies the event condition. If yes, the following steps are implemented: (1) the event release instant i is calculated using Equation (10); (2) the current data packets are sent to the attack estimator i and broadcast to the neighbors; (3) the buffer unit i updates the current data packets and discards the historical ones. Otherwise, the current information received from agent i is ignored, and the estimator uses the last transmitted information stored in the buffer unit i. This approach eliminates the need for a local estimator, significantly reducing the computational burden on the sensor module. Consequently, the considered event condition can be implemented with minimal code, making it practical for real-world resource-constrained devices.
In order to estimate the state, actuator and sensor attacks, a mode-dependent distributed attack estimator for agent i is constructed as follows:
where and are the estimator state and reconstructed FDIA with given initial values and , respectively. Herein, and are estimator gains with proper dimensions to be designed later. The adaptive disturbance compensation is given by
where the output estimation error is defined as follows: , is the bound on the external disturbance , and is a mode-dependent gain matrix to be determined later.
Remark 4.
This work proposes a distributed attack estimator (11) that offers significant advantages over the centralized approaches found in previous works [38,39]. In large-scale distributed systems with numerous agents distributed over a large area, relying on a single centralized entity to receive data packets from all agents becomes impractical. The proposed distributed approach overcomes this limitation by effectively using local information. Each agent utilizes only its own sensor measurements and communicates only with its neighbors. This distributed architecture facilitates efficient state and attack reconstruction without the need for a central processing unit.
Next, we will prove the effectiveness of the established attack estimator. Let us define the state estimation error as and the attack estimation error as . The state estimation error dynamics can be calculated by subtracting Equation (4) from Equation (11):
where . By utilizing Equation (11), the attack estimation error dynamics can be derived as follows:
where the attack difference item .
To guarantee the accuracy of both state and attack reconstruction, the following assumption is made.
Assumption 1.
For the agent i, the FDIA signal considered in this study is assumed to be small and bounded, satisfying with a known positive constant .
Remark 5.
It is well understood that the attack difference item equals zero when a constant FDIA occurs. However, since FDIA functions are typically unknown and often arise abruptly in practice, this implies that cannot be neglected. Therefore, Assumption 1 is reasonable. This assumption also implies that the non-zero of agent i represents a bounded signal with a known physical constraint imposed by the adversaries.
Remark 6.
One criterion for describing actuator and sensor FDIAs is that the fewer mathematical limitations one relies on, the more effective the secure consensus control that can be achieved. In this paper, no additional constraints are considered to restrict the FDI attacks. Furthermore, the bound of the attack difference item of agent i can be specified based on the specific security requirements. This flexibility enables the tailoring of the attack resilience level to the security requirements of the application.
For simplicity, we define the following matrix variables:
and the state vectors:
By employing the Kronecker product, the closed-loop state estimation error and attack estimation error dynamics resulting from (13) and (14) can be given as follows:
- (1)
- The closed-loop state estimation error dynamics
- (2)
- The closed-loop attack estimation error dynamics
3.2. Stability Analysis
On the basis of error dynamics (17) and (18), the mean-square stability analysis will be given, and the detailed design of estimator gains will be discussed in Theorem 1.
Theorem 1.
Consider the discrete-time T-S fuzzy Markov jump MAS (4) under the influence of both actuator and sensor FDIAs. For given event-triggered threshold parameters and known positive constants , the attack estimator (11) can guarantee that the state and attack estimation errors are exponentially mean-square stable, if there exist positive definite symmetric matrices , and matrices () that satisfy the following conditions:
and
where
a small scalar , , , , , , , , and . Furthermore, the estimator gains and are calculated for and based on the previously defined matrices. Specifically, and .
Proof.
First, we define and for and . The piecewise Lyapunov function is constructed as follows:
where , and . It follows from Equation (17) that
where , , , , , and . From Equation (18), one obtains
where , , , , and . According to the adaptive laws (12), it is clear that
In Equation (25), , and the signum function is equivalent to Equation (12). , where represents the bound of the disturbance for agent i. With the help of condition (20), Equation (23) can be simplified as follows:
By substituting the event condition (10) and Assumption 1 into Equations (24) and (26), it yields that
where , , and . Following the derivation from Equation (27), we can obtain the subsequent form:
where , , and
If condition (19) holds and using the Schur complement lemma [4], we can obtain the following inequality:
Clearly, the inequality (30) satisfies the conditions of Lemma 1. Therefore, the augmented error dynamics systems (17) and (18) are exponentially mean-square stable according to Definition 1. □
Remark 7.
It should be noted that the equality constraint is rewritten as Inequality (20) to facilitate calculation using a standard LMI toolbox. In order to ensure that the sufficiently approximates , it is necessary to introduce the positive scalar γ to make it small enough to reduce the error. Furthermore, compared to previous related research [40,41], we utilize the bound of the disturbance in agent i through the adaptive updating law (12), eliminating the need for knowledge about the specific difference of for this estimator design.
Remark 8.
Theorem 1 presents an improved estimator design (11) coupled with adaptive disturbance compensation (12) for Markov jump MASs under both actuator and sensor FDIAs. Compared to existing techniques commonly employed in the disturbance attenuation literature (e.g., [4,42,43]), the proposed design demonstrably enhances the effectiveness of the estimator, leading to better estimation accuracy. On the other hand, it can be observed from Inequality (30) that the estimation error bound depends on , indicating that a larger leads to a larger estimation error. More frequent events of agent i (i.e., a larger threshold in Equation (10)) lead to a larger . In particular, the event-triggered attack estimation approach reduces to the traditional time-driven estimation approach when .
4. Estimator-Based Attack-Resilient Consensus Control
This section proposes an event-triggered attack-resilient control strategy. The strategy employ the reconstructed attack information obtained from the estimator (11) to guarantee consensus performance within the T-S fuzzy Markov jump MAS described by Equation (4).
4.1. Design of Event-Triggered Attack-Resilient Control Protocol
Cyber attackers are often interested in injecting false signals into both measurement information and control commands, which can significantly affect the consensus performance of the system (4). An event-triggered attack-resilient control protocol for agent i can be designed to counter the threat we have discussed as follows:
where for each and , denotes the generalized inverse of , and the notation refers to the specific times when agent i transmits data based on an event-triggered mechanism. The matrix represents the control protocol parameter that will be designed in the following theorem. Assume that , the following property is immediately obtained as follows:
Inspired by the design of the attack estimator in Section 3.1, we introduce an event-triggered mechanism to reduce the communication burden by minimizing unnecessary transmissions from the controller to the actuator. Specifically, the following event condition is selected for agent i:
In Equation (33), represents a given threshold parameter belonging to . Additionally, , where and denote the current estimated information calculated by estimator (11) and the latest released information, respectively. Therefore, the closed-loop system resulting from Equations (4) and (31) becomes
By employing the Kronecker product technique, Equation (34) can be further expressed in a compact form as follows:
where , , and . To achieve the objective of consensus control, the average state of the N agents is defined as follows:
where the notation “” represents a column vector of all ones with dimension N. Using the definition of the state error , the following equation can be established:
where , and . In addition, the properties of and can be readily derived: , and . We utilize these properties to construct the following dynamics of the state error vector :
4.2. Stability Analysis
We now formulate the mean-square stability condition for the error dynamics (38) using the following theorem.
Theorem 2.
Suppose that Theorem 1 holds. For given event-triggered threshold parameters , known positive constants , and control protocol parameters , if there exist positive definite symmetric matrices for all and such that the following relation holds:
where , , , , , , , , then the attack-resilient control protocol designed in Equation (31) can ensure that the state error vectors of the overall system, as described in Equation (38), is exponentially mean-square stable.
Proof.
Consider the following piecewise Lyapunov function:
where for , is denoted as , and is a positive scalar. By substituting the closed-loop system (38) into the difference of the Lyapunov candidate leads to
In Equation (41), , , , , , , , and . Recalling the event condition (33), we can obtain the following inequality:
where , , , , and is a positive constant which has been denoted in Theorem 1. According to condition (39), we have
where , , and . If , then it follows from Equation (43) that
Therefore, the proposed attack-resilient control protocol can ensure that the state error vector of the overall system (38) remains exponentially mean-square stable regardless of whether actuator FDIAs occur. □
Remark 9.
Theorem 2 shows that the consensus error bound depends on . A larger implies a potentially larger upper bound on the consensus error. Larger values for , which are related to , can lead to less network load but also more consensus errors. Therefore, the event-triggered control protocol designed based on Equation (31) is especially suitable for scenarios with an abundance of agents and limited network resources. The threshold parameter of agent i is closely related to the network traffic. The selection of the event-triggered threshold can be exploited to regulate the update frequency of the control input, balancing consensus performance and transmission utilization.
Based on the results in Theorem 2, the following theorem is formulated to derive an explicitly mathematical expression for the attack-resilient control protocol parameters .
Theorem 3.
Assume that Theorems 1 and 2 hold. Given event-triggered threshold parameters and known positive constants , the overall system (38) achieves exponential mean-square stability with control protocol parameters if there exist positive definite symmetric matrices and invertible matrices for and that satisfy the following inequality:
In Equation (45), , , , , , , , , , and other parameters remain the same as in Theorem 2. The control protocol parameters are calculated by for each and .
Proof.
To derive control protocol parameters , we introduce invertible matrix variables for each and . We begin a transformation on Inequality (39) by pre-multiplying and post-multiplying it with and its transpose, respectively. This yields the following inequality:
In Inequality (46), the terms are defined as follows: , , and . By exploiting the results of Lemma 2, we demonstrate the equivalence between Inequality (45) and Inequality (46). This equivalence allows us to directly derive the control protocol parameters as follows: , for each and . □
Remark 10.
Theorem 3 represents a significant advance in addressing the challenging problem of attack-resilient consensus control. It simplifies the design process by reducing it to the solution of a single linear matrix inequality problem. This effectively eliminates the need for complex and multi-step procedures, leading to a significant reduction in both design complexity and computational burden. The resulting ease of implementation extends the practical applicability of attack-resilient control strategies to real-world systems.
4.3. Complete Design Procedure
With the previous theoretical results as a foundation, we outline the detailed design procedure for the event-triggered attack-resilient control scheme with an attack estimator for agent i in Algorithm 1.
| Algorithm 1 Recursive algorithm for attack-resilient consensus control of agent i |
Set the initial conditions , , , and ;
|
Remark 11.
From the perspective of system structure, both FDIAs and system failures have a similar form. However, traditional system faults typically involve fixed values since each component of the system is unchanged. In contrast, the information injected during an FDIA can be arbitrary values chosen by the adversary. This covertness makes FDIAs difficult to detect using conventional fault detectors, since the system appears to be operating normally despite the underlying manipulation. Furthermore, most existing research focuses on FDIAs targeting sensors to manipulate measurements [27,33,43]. Our study broadens the attack model to consider both actuator and sensor attacks, recognizing that other components in MASs are also vulnerable to FDIAs.
Remark 12.
In this work, the designed control strategy fully utilizes the estimated information to counteract the influence of FDIAs, which falls under the category of active attack-resilient control. Numerous studies have focused on control issues related to Markov jump systems [16,37,41]. Among these, some have adopted the active control approach, while others have not. Compared to the works [15,17], which utilize the passive control approach, the active attack-resilient control is more adaptable and exhibits superior attack resilience. In contrast to works [26,33] that also employ the active control approach, the distinguishing feature of our work is the design of an event-triggered attack-resilient consensus control protocol to simultaneously compensate for the effects of actuator and sensor FDIAs.
5. Experimental Validation of the Proposed Approach for Multiple Truck-Trailer Systems
To validate the effectiveness of the proposed attack reconstruction-based consensus control strategy, a five-computer platform is set up for our experimental verification. As illustrated in Figure 2, each computer is capable of simulating the operational process of a truck-trailer system. The wireless nodes equipped with the computers collect information from the truck-trailer systems and wirelessly transmit it to other wireless nodes according to our theoretical framework. The corresponding wireless nodes then transfer the information to the computers, ensuring that all truck-trailer systems achieve consensus control simultaneously against the impact of FDIAs. The detailed descriptions of the multiple truck-trailer systems are provided in the following sections.
Figure 2.
The actual composition of the experimental platform.
5.1. The Multiple Truck-Trailer Systems: Description and Modeling
The multiple truck-trailer systems refer to a scenario where several truck-trailer combinations operate simultaneously. It is worth mentioning that the coordinated control of multiple truck-trailer systems plays an essential role in intelligent transportation networks [44,45,46]. Therefore, the proposed theoretical approach is applied to a truck-trailer system whose dynamic model, borrowed from [44,45], can be described as follows:
where represents the angle deviation between the truck and the trailer, signifies the trailer angle, denotes the vertical position of the trailer’s rear extremity, and stands for the steering angle. In all experiments, the sampling time , the constant speed of backing up , the length of the truck , and the length of the trailer . Furthermore, the subsequent two-rule fuzzy model can be formulated to achieve a T-S fuzzy representation.
Rule 1: IF is about 0, THEN
Rule 2: IF is about , THEN
where
Membership functions and are defined as follows:
In this experiment, the truck-trailer system i () involves three modes, and the transition probability matrix of the Markov process is given as follows:
From the aforementioned description, we select the following system parameters for the truck-trailer system i:
5.2. The Multiple Truck-Trailer Systems: The Wireless Nodes
The wireless node for collecting and transmitting the truck-trailer system’s information is established in Figure 3, where the node consists of a STM8S103 micro-controller, an HC-11 wireless transceiver, and a power management system. The STM8S103 is an 8-bit control chip employing a Harvard architecture with the 16 MHz clock frequency. It also has an 8 Kbytes flash program memory and supports various communication interfaces. The above features allow us to select the STM8S103 micro-controller as a computing module embedded in Algorithm 1. The HC-11 transceiver is selected for this experiment because of its ultra-low power consumption. Specifically, the HC-11 only consumes only about 6 A in sleep mode and 3 mA during active operation [47]. Such low power features make it suitable for various industrial applications, especially in the case of limited battery capacity. Please refer to the user manuals [47,48] for more information about the STM8S103 micro-controller and the HC-11 wireless transceiver.
Figure 3.
The components of the selected wireless sensor node.
In most industrial applications, the power consumption of wireless transceiver modules is generally greater than that of computation modules, as validated in prior works [20,49]. Therefore, designing an effective transmission scheme to reduce the power consumption of the wireless nodes is a pressing goal for our current research. It can be seen from Algorithm 1 that the proposed strategy is separated into two cases at each time step. If constraints (10) and (33) are not satisfied, the attack estimation and attack-resilient consensus control utilize the previously stored data instead of current information. In contrast, if constraints (10) and (33) are satisfied, the proposed algorithm uses current information to guarantee the robustness of the attack-resilient consensus control. This type of operation enables the wireless transceiver modules to avoid sending unnecessary information to neighboring nodes at each time instant for obtaining the advantage of extending the battery life of the wireless nodes.
In order to apply the theoretical results we discussed above to this experiment, two scenarios are discussed in Algorithms 2 and 3 on multiple truck-trailer systems. If the transmission commands are calculated by the STM8S103 micro-controller using our designed scheme, the active mode is generated while the sleep mode is activated otherwise.
| Algorithm 2 The active mode for truck-trailer system i |
| When truck-trailer system i sends data packets to truck-trailer system j, the following steps are performed: Step 1: In truck-trailer system i, the STM8S103 micro-controller sends a wake-up signal to activate the HC-11 wireless transceiver. Step 2: In truck-trailer system j, the HC-11 wireless transceiver enters a waiting status to receive data packets from truck-trailer system i. Step 3: Truck-trailer system i transmits data packets to truck-trailer system j. Step 4: Once data transmission is completed, truck-trailer system i turns off the HC-11. End |
| Algorithm 3 The sleep mode for truck-trailer system i |
| When truck-trailer system i is not allowed to send data packets to truck-trailer system j, the following steps are performed: Step 1: In truck-trailer system i, the STM8S103 micro-controller enters an idle status and the HC-11 wireless transceiver remains powered off. Step 2: In truck-trailer system j, the STM8S103 micro-controller utilizes the previously stored information to execute the attack-resilient consensus control algorithm, while the corresponding HC-11 wireless transceiver remains powered off to ensure energy efficiency. End |
5.3. The Multiple Truck-Trailer Systems: Experimental Results and Analysis
The interaction topology of five truck-trailer systems is illustrated in Figure 4. The adjacency matrix of the topology is selected as a binary matrix with an element of 1 indicating that truck-trailer system i can receive information from truck-trailer system j, and 0 indicating no information exchange. Then, the corresponding adjacency matrix is obtained as follows:
Figure 4.
The interaction topology of five truck-trailer systems.
From the results of Theorems 1–3, we set , , and (). Solving Equations (19) and (45) yields the mode-dependent estimator gains and controller parameters for truck-trailer system i, which are calculated as follows:
For the purpose of the experiment, we consider that the external disturbance of the truck-trailer system i is . In addition, Figure 5 shows the three-mode Markov chain for the truck-trailer system i, which is determined based on the transition probability matrix given in (52). We now present a series of experimental results to demonstrate the effectiveness of the developed event-triggered attack-resilient consensus protocol for Markovian jump MASs subject to FDIAs.
Figure 5.
The evolution of the Markov chain .
Experiment 1: robustness of the event-triggered state estimation
In this experiment, we first examine the impact of the proposed event-triggered data transmission scheme and external disturbances on the state estimation performance of the selected truck-trailer systems (1, 3, and 4). The state estimation error trajectories are illustrated in Figure 6, Figure 7 and Figure 8 for three truck-trailer systems. It can be noted that the estimation error trajectories closely overlap throughout the 50-s duration with the trajectories remaining within a stable range of 0.5. This result indirectly demonstrates that the designed state estimator is robust to the non-periodic data transmissions and the external disturbances.
Figure 6.
The state estimation error trajectories of the truck-trailer system 1.
Figure 7.
The state estimation error trajectories of the truck-trailer system 3.
Figure 8.
The state estimation error trajectories of the truck-trailer system 4.
To evaluate the effect of disturbance compensation, Figure 9 presents the trailer angle estimation errors of the selected truck-trailer systems (2 and 5) with and without disturbance compensation. It can be clearly observed from Figure 9 that the estimation error curves without disturbance compensation have a wider fluctuation range with a peak of 0.6. In contrast, the estimation error curves become much smoother after incorporating the disturbance compensation with the peak value decreasing to 0.4. The designed disturbance compensation significantly reduces the estimation error of truck-trailer systems, demonstrating its effectiveness in this application.
Figure 9.
The estimation errors of the selected truck-trailer systems (2 and 5) with and without disturbance compensation.
Furthermore, Figure 10 presents that the considered event-triggered scheme sends fewer data packets compared to the periodic transmission strategy with an average reduction of 35%. This is because the considered event-triggered scheme only sends data packets when there is a significant change in information, while the traditional transmission strategy sends data periodically. This implies that the reduction in communication load can extend the battery lifetime of the truck-trailer systems.
Figure 10.
The total transmission numbers for truck-trailer systems 1 to 5.
Experiment 2: effectiveness of the attack reconstruction under two attack scenarios
For the truck-trailer system i, two FDIA scenarios are considered as follows:
- (1)
- An abruptly changing attack:
- (2)
- A time-varying attack:
Using the proposed event-triggered attack estimator proposed in (11), Figure 11 and Figure 12 illustrate the reconstructed signals of the abruptly changing attack (56) and the time-varying attack (57), respectively. The event-triggered instants for each truck-trailer system are also presented within these figures. It is noteworthy from Figure 11 that there are relatively fewer event-triggered instants when the system runs between 0 and 25 s. This is due to the FDIA maintaining a constant value of −5, resulting in a zero attack difference value . This observation indicates that the frequency of information exchange is relatively low. Conversely, there are relatively more event-triggered instants when the system runs between 25 and 50 s. The gradual increase in the attack curve leads to a larger attack difference value , implying a higher frequency of information exchange. The discussed phenomenon is consistent with the results of Theorem 1.
Figure 11.
The reconstructed signals of the abruptly changing attack (56).
Figure 12.
The reconstructed signals of the time-varying attack (57).
On the other hand, Figure 12 clearly shows the ability of the proposed estimation algorithm to reconstruct both fast-varying and slow-varying attack signals. To be specific, the algorithm not only tracks the gradual change trend of the slow-varying attack (0–25 s) while minimizing external disturbances but also responds quickly to changes in the fast-varying attack (25–50 s) to enable timely reconstruction.
For comparison, Figure 13 illustrates the estimated error signals of two attack scenarios using the time-driven learning observer (LO-TD) as referenced in [45,50]. Compared to LO-TD, our attack estimator not only provides rapid attack reconstruction but also achieves an accurate reconstruction of various false data injection attack scenarios. It can also be found that both our approach and LO-TD demonstrate similar accuracy in attack reconstruction. However, the LO-TD algorithm shown in Figure 13 requires neighbor information collected from wireless nodes during fixed sampling periods to ensure accurate attack reconstruction. This can lead to unnecessary data transmission, which may limit the applicability of LO-TD, especially for the considered MAS. In contrast, the advantage of our estimator lies in its ability to adjust the data transmission interval, extending the battery life of wireless nodes. As a result, the proposed attack estimator is more suitable for the requirements of real-world applications.
Figure 13.
The estimated error signals of two attack scenarios using our method and LO-TD.
Experiment 3: attack resilience of event-triggered consensus control
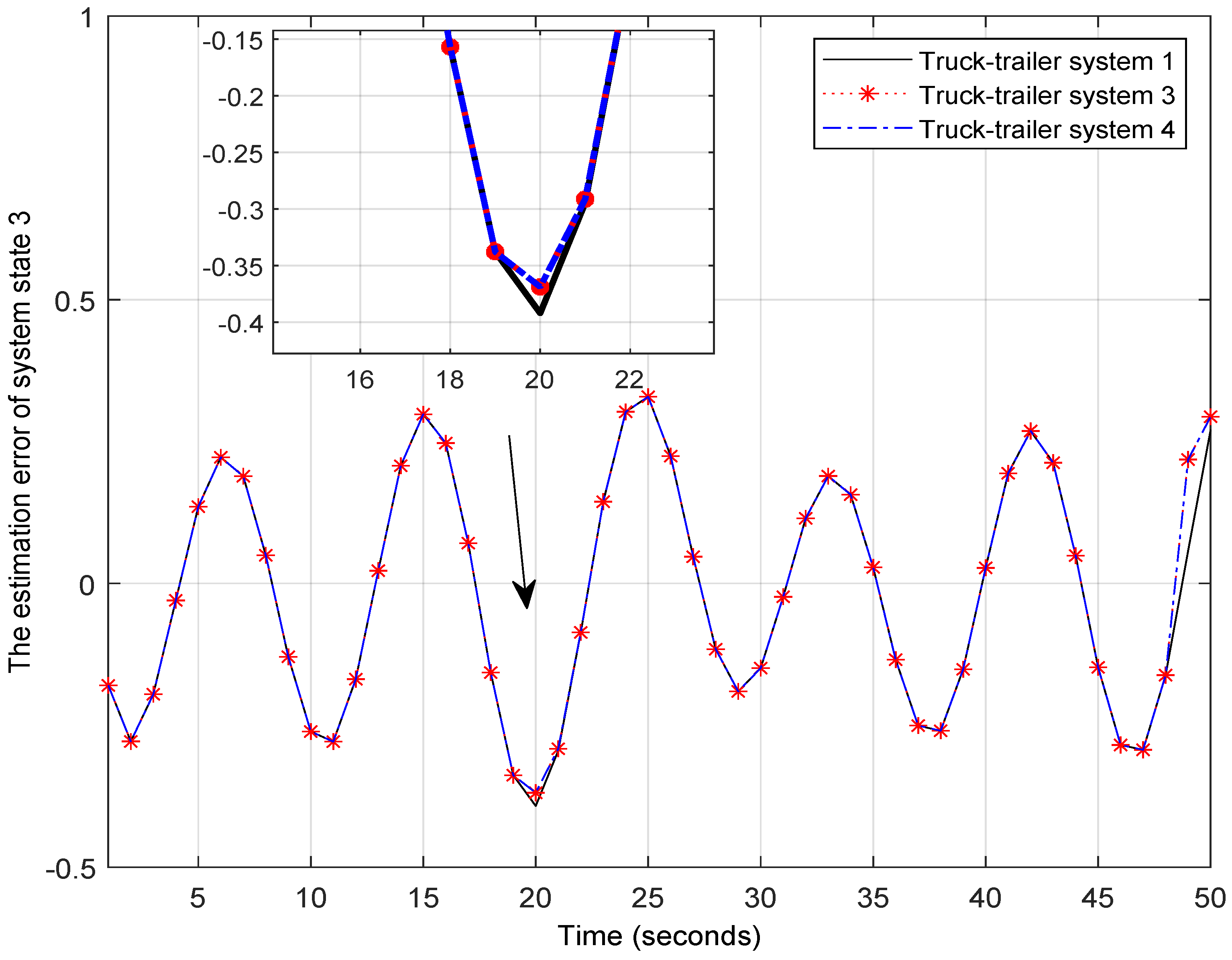
The purpose of the final experiment is to evaluate the attack resilience of event-triggered consensus control by using reconstructed time-varying attacks (57) from Experiment 2. Figure 14, Figure 15 and Figure 16 display the system state responses, which are governed by the designed attack-resilient protocol along with the event-triggered instants for each truck-trailer system. The state responses on angle deviation, trailer angle, and vertical position of each truck-trailer system maintain consensus. This indicates the good attack resilience of the designed consensus protocol.
Figure 14.
Responses of system state 1 for truck-trailer systems 1 to 5.
Figure 15.
Responses of system state 2 for truck-trailer systems 1 to 5.
Figure 16.
Responses of system state 3 for truck-trailer systems 1 to 5.
In addition, Figure 17 shows the experimental results for an abruptly changing attack (56) and a time-varying attack (57). The plotted curves represent the system state responses utilizing the proposed attack-resilient control protocol (in blue), the system state responses in the absence of different attacks (in black), and the system state responses under attacks without the implementation of the attack-resilient protocol (in green). The consensus protocol ensures that the system state responses converge even in the presence of abruptly changing or time-varying attacks. The system state responses rapidly diverge without the assistance of the attack-resilient protocol, resulting in system instability. However, the system state responses under abruptly changing attacks exhibit limited fluctuations but ultimately recover stability. The system state responses under time-varying attacks exhibit deviation but are constrained to some extent. These observations demonstrate that the proposed consensus protocol can effectively defend against abruptly changing or time-varying attacks, ensuring the secure operation of each truck-trailer system.
Figure 17.
The state responses with different attack scenarios.
This section presents three experiments demonstrating the effectiveness of the proposed event-triggered attack-resilient consensus control against different attack scenarios, including both abruptly changing and time-varying attacks. Specifically, Experiment 1 verifies the accuracy of the proposed state estimator. The employed event-triggered data transmission scheme reduces the number of data packets by an average of 35% compared to periodic transmission, extending the battery life of each truck-trailer system. Experiment 2 evaluates the performance of the designed estimator in terms of its ability to achieve rapid and accurate attack reconstruction under various attack scenarios. This makes it more suitable for real-world applications than traditional methods. Experiment 3 examines the effectiveness of the consensus control protocol using the estimated attack information. All experiments demonstrate that the proposed event-triggered attack-resilient consensus control can achieve satisfactory performance.
6. Conclusions and Future Work
In this paper, an estimator-based attack-resilient consensus control strategy, based on an event-triggered data transmission scheme, has been developed for a class of fuzzy Markovian jump MASs where FDIAs occur simultaneously in actuator and sensor channels. The advantages of the proposed strategy lie in the following three aspects.
(1) The T-S fuzzy Markovian jump MASs model is capable of addressing the complexities prevalent in industrial applications, which is superior to some existing excellent works.
(2) The developed attack estimator can deal with the case of the simultaneous occurrence of actuator attacks and sensor attacks, which extends its ability in application.
(3) The proposed estimator-based consensus control strategy is constructed in a distributed manner rather than a centralized approach, which reduces the complexity of the design scheme.
Finally, an experimental platform using multiple truck-trailer systems demonstrates the effectiveness and robustness of our approach. However, the model-based nature of our strategy may limit its applicability in situations where obtaining an accurate model is difficult. Future work will focus on developing secure consensus control methods for model-free MAS.
Author Contributions
In this work, Y.L. conceived and designed, performed, and analyzed the experiments and wrote the paper under the guidance of Y.W. and Y.G. M.W., Z.H., and J.C. provided suggestions for the background, introduction, and conclusion. All authors have read and agreed to the published version of the manuscript.
Funding
This work was supported in part by the Industry University Research Cooperation Project of Jiangsu Province under Grant BY20230752 and in part by the Wuxi Soft Science Research Program under Grant KX-24-A03.
Data Availability Statement
Data are contained within the article.
Conflicts of Interest
The authors declare no conflicts of interest.
References
- Jiang, Y.; Yin, S. Recursive total principle component regression based fault detection and its application to vehicular cyber-physical systems. IEEE Trans. Ind. Inform. 2017, 14, 1415–1423. [Google Scholar] [CrossRef]
- Zhang, D.; Han, Q.L.; Zhang, X.M. Network-based modeling and proportional–integral control for direct-drive-wheel systems in wireless network environments. IEEE Trans. Cybern. 2019, 50, 2462–2474. [Google Scholar] [CrossRef] [PubMed]
- Jiang, Y.; Yin, S.; Dong, J.; Kaynak, O. A review on soft sensors for monitoring, control, and optimization of industrial processes. IEEE Sens. J. 2020, 21, 12868–12881. [Google Scholar] [CrossRef]
- Zhu, F.; Liu, X.; Peng, L. Adaptive consensus-based distributed H∞ filtering with switching topology subject to partial information on transition probabilities. Appl. Math. Comput. 2021, 411, 126534. [Google Scholar]
- Jiang, Y.; Yin, S.; Kaynak, O. Performance supervised plant-wide process monitoring in industry 4.0: A roadmap. IEEE Open J. Ind. Electron. Soc. 2020, 2, 21–35. [Google Scholar] [CrossRef]
- Langner, R. Stuxnet: Dissecting a cyberwarfare weapon. IEEE Secur. Priv. 2011, 9, 49–51. [Google Scholar] [CrossRef]
- Dibaji, S.M.; Pirani, M.; Flamholz, D.B.; Annaswamy, A.M.; Johansson, K.H.; Chakrabortty, A. A systems and control perspective of CPS security. Annu. Rev. Control 2019, 47, 394–411. [Google Scholar] [CrossRef]
- Yin, S.; Jiang, Y.; Tian, Y.; Kaynak, O. A data-driven fuzzy information granulation approach for freight volume forecasting. IEEE Trans. Ind. Electron. 2016, 64, 1447–1456. [Google Scholar] [CrossRef]
- Choudhary, T.; Priyadarshi, N.; Kumar, P.; Azam, F.; Bhoi, A.K. A fuzzy logic control based vibration control system for renewable application. Adv. Greener Energy Technol. 2020, 651–663. [Google Scholar] [CrossRef]
- Zhang, T.; Liu, Y.; Rao, Y.; Li, X.; Zhao, Q. Optimal design of building environment with hybrid genetic algorithm, artificial neural network, multivariate regression analysis and fuzzy logic controller. Build. Environ. 2020, 175, 106810. [Google Scholar] [CrossRef]
- Yang, H.; Jiang, Y.; Yin, S. Adaptive fuzzy fault-tolerant control for Markov jump systems with additive and multiplicative actuator faults. IEEE Trans. Fuzzy Syst. 2020, 29, 772–785. [Google Scholar] [CrossRef]
- Jia, Q.; Chen, W.; Zhang, Y.; Li, H. Fault reconstruction and fault-tolerant control via learning observers in Takagi–Sugeno fuzzy descriptor systems with time delays. IEEE Trans. Ind. Electron. 2015, 62, 3885–3895. [Google Scholar] [CrossRef]
- Hua, L.; Zhong, Q.; Soh, Y.C.; Shi, K.; Kwon, O.M.; Yan, L.; Zhong, S. Distributed Sliding-Mode Consensus Tracking Control for Fuzzy Delayed Multiagent Systems Under Hybrid Cyber-Attacks. IEEE Trans. Fuzzy Syst. 2024, 32, 3471–3483. [Google Scholar] [CrossRef]
- Liu, M.; Cao, X.; Shi, P. Fault estimation and tolerant control for fuzzy stochastic systems. IEEE Trans. Fuzzy Syst. 2012, 21, 221–229. [Google Scholar] [CrossRef]
- Yang, H.; Yin, S. Actuator and sensor fault estimation for time-delay Markov jump systems with application to wheeled mobile manipulators. IEEE Trans. Ind. Inform. 2019, 16, 3222–3232. [Google Scholar] [CrossRef]
- Yang, H.; Li, X.; Chen, Z.; Yin, S. A novel adaptive observer-based fault reconstruction and state estimation method for Markovian jump systems. IEEE Syst. J. 2020, 15, 2305–2313. [Google Scholar] [CrossRef]
- Yang, H.; Jiang, Y.; Yin, S. Fault-tolerant control of time-delay Markov jump systems with Itô stochastic process and output disturbance based on sliding mode observer. IEEE Trans. Ind. Inform. 2018, 14, 5299–5307. [Google Scholar] [CrossRef]
- Jiang, Y.; Yin, S.; Kaynak, O. Data-driven monitoring and safety control of industrial cyber-physical systems: Basics and beyond. IEEE Access 2018, 6, 47374–47384. [Google Scholar] [CrossRef]
- Kazemy, A.; Lam, J.; Zhang, X.M. Event-triggered output feedback synchronization of master–slave neural networks under deception attacks. IEEE Trans. Neural Netw. Learn. Syst. 2020, 33, 952–961. [Google Scholar] [CrossRef]
- Li, Y.; Wu, Q.; Peng, L. Simultaneous event-triggered fault detection and estimation for stochastic systems subject to deception attacks. Sensors 2018, 18, 321. [Google Scholar] [CrossRef]
- Jiang, Y.; Dong, J.; Yin, S. Improving the safety of distributed cyber-physical systems against false data injection attack by establishing interconnections. In Proceedings of the IECON 2020 The 46th Annual Conference of the IEEE Industrial Electronics Society, Singapore, 18–21 October 2020; pp. 2623–2628. [Google Scholar]
- Jiang, Y.; Wu, S.; Yang, H.; Luo, H.; Chen, Z.; Yin, S.; Kaynak, O. Secure data transmission and trustworthiness judgement approaches against cyber-physical attacks in an integrated data-driven framework. IEEE Trans. Syst. Man Cybern. Syst. 2022, 52, 7799–7809. [Google Scholar] [CrossRef]
- Wu, S.; Jiang, Y.; Luo, H.; Zhang, J.; Yin, S.; Kaynak, O. An integrated data-driven scheme for the defense of typical cyber–physical attacks. Reliab. Eng. Syst. Saf. 2022, 220, 108257. [Google Scholar] [CrossRef]
- Tan, Y.; Liu, J.; Xie, X.; Tian, E.; Liu, J. Dynamic-Memory Event-Triggered Sliding-Mode Secure Control for Nonlinear Semi-Markov Jump Systems with Stochastic Cyber Attacks. IEEE Trans. Autom. Sci. Eng. 2024, 1–13. [Google Scholar] [CrossRef]
- Yang, H.; Jiang, Y.; Yin, S. Adaptive control for cyber-physical systems against actuator attacks. In Proceedings of the 2020 IEEE Conference on Industrial Cyberphysical Systems (ICPS), Tampere, Finland, 10–12 June 2020; Volume 1, pp. 73–78. [Google Scholar]
- Yang, H.; Yin, S.; Han, H.; Sun, H. Sparse actuator and sensor attacks reconstruction for linear cyber-physical systems with sliding mode observer. IEEE Trans. Ind. Inform. 2021, 18, 3873–3884. [Google Scholar] [CrossRef]
- Ding, D.; Wang, Z.; Ho, D.W.; Wei, G. Distributed recursive filtering for stochastic systems under uniform quantizations and deception attacks through sensor networks. Automatica 2017, 78, 231–240. [Google Scholar] [CrossRef]
- Yang, D.; Ren, W.; Liu, X.; Chen, W. Decentralized event-triggered consensus for linear multi-agent systems under general directed graphs. Automatica 2016, 69, 242–249. [Google Scholar] [CrossRef]
- Sang, S.; Zhang, R.; Lin, X. Model-free adaptive iterative learning bipartite containment control for multi-agent systems. Sensors 2022, 22, 7115. [Google Scholar] [CrossRef]
- Chen, X.; Hao, F. Event-triggered average consensus control for discrete-time multi-agent systems. IET Control. Theory Appl. 2012, 6, 2493–2498. [Google Scholar] [CrossRef]
- Zhang, X.M.; Han, Q.L.; Zhang, B.L.; Ge, X.; Zhang, D. Accumulated-state-error-based event-triggered sampling scheme and its application to H∞ control of sampled-data systems. Sci. China Inf. Sci. 2024, 67, 162206. [Google Scholar] [CrossRef]
- Ma, L.; Wang, Z.; Lam, H.K. Event-triggered mean-square consensus control for time-varying stochastic multi-agent system with sensor saturations. IEEE Trans. Autom. Control 2016, 62, 3524–3531. [Google Scholar] [CrossRef]
- Ding, D.; Wang, Z.; Ho, D.W.; Wei, G. Observer-based event-triggering consensus control for multiagent systems with lossy sensors and cyber-attacks. IEEE Trans. Cybern. 2016, 47, 1936–1947. [Google Scholar] [CrossRef]
- Li, X.M.; Zhou, Q.; Li, P.; Li, H.; Lu, R. Event-triggered consensus control for multi-agent systems against false data-injection attacks. IEEE Trans. Cybern. 2019, 50, 1856–1866. [Google Scholar] [CrossRef]
- Liu, J.; Yin, T.; Yue, D.; Karimi, H.R.; Cao, J. Event-based secure leader-following consensus control for multiagent systems with multiple cyber attacks. IEEE Trans. Cybern. 2020, 51, 162–173. [Google Scholar] [CrossRef]
- Tarn, T.J.; Rasis, Y. Observers for nonlinear stochastic systems. IEEE Trans. Autom. Control 1976, 21, 441–448. [Google Scholar] [CrossRef]
- Xiong, J.; Lam, J. Robust H2 control of Markovian jump systems with uncertain switching probabilities. Int. J. Syst. Sci. 2009, 40, 255–265. [Google Scholar] [CrossRef]
- Paul, A.; Kamwa, I.; Joos, G. Centralized dynamic state estimation using a federation of extended Kalman filters with intermittent PMU data from generator terminals. IEEE Trans. Power Syst. 2018, 33, 6109–6119. [Google Scholar] [CrossRef]
- Wang, J.W.; Yang, Y.; Zhang, Q. Cooperative control and centralized state estimation of a linear parabolic PDE under a directed communication topology. IFAC-PapersOnLine 2022, 55, 131–136. [Google Scholar] [CrossRef]
- Zhu, F.; Peng, L. Distributed adaptive event-triggered iterative learning controller based on a filtering network. Trans. Inst. Meas. Control 2021, 43, 3220–3232. [Google Scholar] [CrossRef]
- Zhu, F.; Peng, L.; Yang, R. Event-triggered distributed filtering for Markov jump systems over sensor networks. Proc. Inst. Mech. Eng. Part I J. Syst. Control. Eng. 2021, 235, 1482–1493. [Google Scholar] [CrossRef]
- Shen, B.; Wang, Z.; Hung, Y.S. Distributed H∞ consensus filtering in sensor networks with multiple missing measurements: The finite-horizon case. Automatica 2010, 46, 1682–1688. [Google Scholar] [CrossRef]
- Zhu, F.; Liu, X.; Wen, J.; Xie, L.; Peng, L. Distributed robust filtering for wireless sensor networks with Markov switching topologies and deception attacks. Sensors 2020, 20, 1948. [Google Scholar] [CrossRef]
- Zhang, K.; Jiang, B.; Shi, P. Fault estimation observer design for discrete-time Takagi–Sugeno fuzzy systems based on piecewise Lyapunov functions. IEEE Trans. Fuzzy Syst. 2011, 20, 192–200. [Google Scholar] [CrossRef]
- Jia, Q.; Chen, W.; Zhang, Y.; Chen, X. Fault reconstruction and accommodation in linear parameter-varying systems via learning unknown-input observers. J. Dyn. Sys. Meas. Control. 2015, 137, 061008. [Google Scholar] [CrossRef]
- Tanaka, K.; Sano, M. A robust stabilization problem of fuzzy control systems and its application to backing up control of a truck-trailer. IEEE Trans. Fuzzy Syst. 1994, 2, 119–134. [Google Scholar] [CrossRef]
- HC-11 Reference Manual 2017. Available online: https://www.nxp.com/docs/en/reference-manual/M68HC11RM.pdf (accessed on 22 January 2017).
- Jun-he, Z.; Guo-hua, S.; Yong-he, L. Design of Brushless DC Motor Control System Based on STM8S. Res. Explor. Lab. 2014, 33. [Google Scholar]
- Li, Y.; Li, P.; Chen, W. An energy-efficient data transmission scheme for remote state estimation and applications to a water-tank system. ISA Trans. 2017, 70, 494–501. [Google Scholar] [CrossRef]
- Chen, W.; Chen, W.T.; Saif, M.; Li, M.F.; Wu, H. Simultaneous fault isolation and estimation of lithium-ion batteries via synthesized design of Luenberger and learning observers. IEEE Trans. Control Syst. Technol. 2013, 22, 290–298. [Google Scholar] [CrossRef]
Disclaimer/Publisher’s Note: The statements, opinions and data contained in all publications are solely those of the individual author(s) and contributor(s) and not of MDPI and/or the editor(s). MDPI and/or the editor(s) disclaim responsibility for any injury to people or property resulting from any ideas, methods, instructions or products referred to in the content. |
© 2024 by the authors. Licensee MDPI, Basel, Switzerland. This article is an open access article distributed under the terms and conditions of the Creative Commons Attribution (CC BY) license (https://creativecommons.org/licenses/by/4.0/).
















