Adaptive Self-Triggered Control for Multi-Agent Systems with Actuator Failures and Time-Varying State Constraints
Abstract
:1. Introduction
- In contrast to the finite-time control methods ([8,9,10,12,18,19]), a fixed-time STM is implemented, whose convergence time is unaffected by initial states. Additionally, the conservation of bandwidth resources makes the mechanism more practical. In comparison to prior studies ([33,34]), the proposed STM addresses the issues of system instability caused by rapid changes in the control signal.
- Different from the control schemes ([20,21,22]), this paper presents an adaptive NN control approach that effectively addresses both actuator failures and time-varying state constraints within a fixed-time framework. By combining radial basis function NNs with barrier Lyapunov functions, effective compensation can be achieved for actuator failures while ensuring that the system’s states do not violate time-varying constraints.
2. System Modelling and Problem Formulation
2.1. Model Description
2.2. Graph Theory
2.3. Preliminaries
3. Design and Stability Analysis of Fixed-Time Self-Triggered Consensus Controller
3.1. Fixed-Time Self-Triggered Consensus Controller Design
3.2. System Stability Analysis
- The system states will not violate the specified constraints and all system signals are bounded.
- Zeno-behavior will not occur.
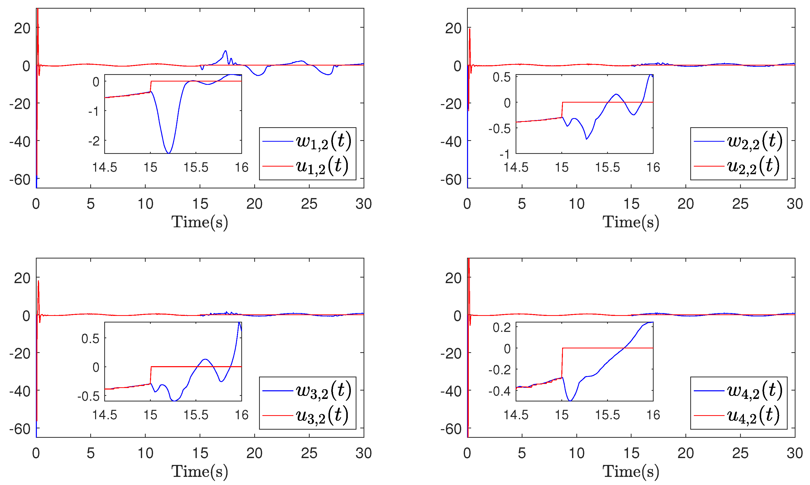
4. Simulation Results
4.1. Example 1
4.2. Example 2
5. Conclusions
Author Contributions
Funding
Data Availability Statement
Conflicts of Interest
References
- Ning, B.; Han, Q.; Zuo, Z.; Ding, L.; Lu, Q.; Ge, X. Fixed-time and prescribed-time consensus control of multiagent systems and its applications: A survey of recent trends and methodologies. IEEE Trans. Ind. Inform. 2023, 19, 1121–1135. [Google Scholar] [CrossRef]
- Qin, J.; Ma, Q.; Shi, Y.; Wang, L. Recent advances in consensus of multi-agent systems: A brief survey. IEEE Trans. Ind. Electron. 2017, 64, 4972–4983. [Google Scholar] [CrossRef]
- Ding, L.; Han, Q.; Ge, X.; Zhang, X. An overview of recent advances in event-triggered consensus of multiagent systems. IEEE Trans. Cybern. 2018, 48, 1110–1123. [Google Scholar] [CrossRef]
- Cao, Y.; Yu, W.; Ren, W.; Chen, G. An overview of recent progress in the study of distributed multi-agent coordination. IEEE Trans. Ind. Inform. 2013, 9, 427–438. [Google Scholar] [CrossRef]
- Chen, F.; Ren, W. Multi-agent control: A graph-theoretic perspective. J. Syst. Sci. Complex 2021, 34, 1973–2002. [Google Scholar] [CrossRef]
- Zhi, L.; Wu, J. Adaptive constraint control for nonlinear multi-agent systems with undirected graphs. AIMS Math. 2021, 6, 12051–12064. [Google Scholar] [CrossRef]
- Wang, Y.; Lei, Y.; Bian, T.; Guan, Z. Distributed control of nonlinear multiagent systems with unknown and nonidentical control directions via event-triggered communication. IEEE Trans. Cybern. 2020, 50, 1820–1832. [Google Scholar] [CrossRef] [PubMed]
- Gong, P.; Han, Q.; Lan, W. Finite-time consensus tracking for incommensurate fractional-order nonlinear multiagent systems with directed switching topologies. IEEE Trans. Cybern. 2022, 52, 65–76. [Google Scholar] [CrossRef]
- Liu, H.; Cheng, L.; Tan, M.; Hou, Z. Exponential finite-time consensus of fractional-order multiagent systems. IEEE Trans. Syst. Man. Cybern. Syst. 2020, 50, 1549–1558. [Google Scholar] [CrossRef]
- Lin, G.; Li, H.; Ahn, C.; Yao, D. Event-based finite-time neural control for human-in-the-loop UAV attitude systems. IEEE Trans. Neural Netw. Learn. Syst. 2022. [Google Scholar] [CrossRef] [PubMed]
- Jia, T.; Pan, Y.; Liang, H.; Lam, H. Event-based adaptive fixed-time fuzzy control for active vehicle suspension systems with time-varying displacement constraint. IEEE Trans. Fuzzy Syst. 2022, 30, 2813–2821. [Google Scholar] [CrossRef]
- Liu, Y.; Li, H.; Zuo, Z.; Li, X.; Lu, R. An overview of finite/fixed-time control and its application in engineering systems. IEEE/CAA J. Autom. Sin. 2022, 9, 2106–2120. [Google Scholar] [CrossRef]
- Chen, C.; Han, Y.; Zhu, S.; Zeng, Z. Distributed fixed-time tracking and containment control for second-order multi-agent systems: A nonsingular sliding-mode control approach. IEEE Trans. Netw. Sci. Eng. 2023, 10, 687–697. [Google Scholar] [CrossRef]
- Ni, J.; Shi, P. Adaptive neural network fixed-time leader–follower consensus for multiagent systems with constraints and disturbances. IEEE Trans. Cybern. 2021, 51, 1835–1848. [Google Scholar] [CrossRef]
- Ning, B.; Han, Q.; Zuo, Z. Practical fixed-time consensus for integrator-type multi-agent systems: A time base generator approach. Automatica 2019, 105, 406–414. [Google Scholar] [CrossRef]
- Du, H.; Wen, G.; Wu, D.; Cheng, Y.; Lü, J. Distributed fixed-time consensus for nonlinear heterogeneous multi-agent systems. Automatica 2020, 113, 108797. [Google Scholar] [CrossRef]
- Yang, X.; Wan, X.; Cheng, Z.; Cao, J.; Yang, L.; Rutkowski, L. Synchronization of Switched Discrete-Time Neural Networks via Quantized Output Control With Actuator Fault. IEEE Trans. Neural Netw. Learn. Syst. 2021, 32, 4191–4201. [Google Scholar] [CrossRef]
- Dong, G.; Li, H.; Ma, H.; Lu, R. Finite-time consensus tracking neural network ftc of multi-agent systems. IEEE Trans. Neural Netw. Learn. Syst. 2021, 32, 653–662. [Google Scholar] [CrossRef]
- Wang, J.; Yan, Y.; Liu, Z.; Chen, C.; Zhang, C.; Chen, K. Finite-time consensus control for multi-agent systems with full-state constraints and actuator failures. Neural Netw. 2023, 157, 350–363. [Google Scholar] [CrossRef]
- Jin, X.; Lu, S.; Yu, J. Adaptive NN-based consensus for a class of nonlinear multiagent systems with actuator faults and faulty networks. IEEE Trans. Neural Netw. Learn. Syst. 2022, 33, 3474–3486. [Google Scholar] [CrossRef]
- Li, Y.; Ding, S.; Hua, C.; Liu, G. Distributed adaptive leader-following consensus for nonlinear multiagent systems with actuator failures under directed switching graphs. IEEE Trans. Cybern. 2023, 53, 211–221. [Google Scholar] [CrossRef] [PubMed]
- Ren, H.; Ma, H.; Li, H.; Wang, Z. Adaptive fixed-time control of nonlinear mass with actuator faults. IEEE/CAA J. Autom. Sinica 2023, 10, 1252–1262. [Google Scholar] [CrossRef]
- Cui, Y.; Chen, Y.; Yang, D.; Shu, Z.; Huang, T.; Gong, X. Resilient formation tracking of spacecraft swarm against actuation attacks: A distributed Lyapunov-based model predictive approach. IEEE Trans. Syst. Man. Cybern. Syst. 2023. [Google Scholar] [CrossRef]
- Liu, Y.; Tong, S. Barrier Lyapunov functions for Nussbaum gain adaptive control of full state constrained nonlinear systems. Automatica 2017, 76, 143–152. [Google Scholar] [CrossRef]
- Sun, W.; Su, S.; Dong, G.; Bai, W. Reduced adaptive fuzzy tracking control for high-order stochastic nonstrict feedback nonlinear system with full-state constraints. IEEE Trans. Syst. Man Cybern. Syst. 2021, 51, 1496–1506. [Google Scholar] [CrossRef]
- Fang, L.; Ding, S.; Park, J.; Ma, L. Adaptive fuzzy control for nontriangular stochastic high-order nonlinear systems subject to asymmetric output constraints. IEEE Trans. Cybern. 2022, 52, 1280–1291. [Google Scholar] [CrossRef]
- Zhao, K.; Song, Y. Removing the feasibility conditions imposed on tracking control designs for state-constrained strict-feedback systems. IEEE Trans. Autom. Control 2019, 64, 1265–1272. [Google Scholar] [CrossRef]
- Liu, Y.; Zhao, W.; Liu, L.; Li, D.; Tong, S.; Chen, C. Adaptive neural network control for a class of nonlinear systems with function constraints on states. IEEE Trans. Neural Netw. Learn. Syst. 2023, 34, 2732–2741. [Google Scholar] [CrossRef]
- Edalati, L.; Sedigh, A.K.; Shooredeli, M.A.; Moarefianpour, A. Adaptive fuzzy dynamic surface control of nonlinear systems with input saturation and time-varying output constraints. Mech. Syst. Signal Process. 2018, 100, 311–329. [Google Scholar] [CrossRef]
- Wang, Q.; He, Y. Time-triggered intermittent control of continuous systems. Int. J. Rob. Nonlinear Control 2022, 52, 1280–1291. [Google Scholar] [CrossRef]
- Cui, Y.; Luo, B.; Feng, Z.; Huang, T.; Gong, X. Resilient state containment of multi-agent systems against composite attacks via output feedback: A sampled-based event-triggered hierarchical approach. IEEE Trans. Cybern. 2023, 629, 77–95. [Google Scholar] [CrossRef]
- Fan, Y.; Liu, L.; Feng, G.; Wang, Y. Self-triggered consensus for multi-agent systems with zeno-free triggers. IEEE Trans. Autom. Control 2015, 60, 2779–2784. [Google Scholar] [CrossRef]
- Wang, J.; Zhang, H.; Ma, K.; Liu, Z.; Chen, C. Neural adaptive self-triggered control for uncertain nonlinear systems with input hysteresis. IEEE Trans. Neural Netw. Learn. Syst. 2022, 33, 6206–6214. [Google Scholar] [CrossRef]
- Wu, J.; He, F.; Shen, H.; Ding, S.; Wu, Z. Adaptive NN fixed-time fault-tolerant control for uncertain stochastic system with deferred output constraint via self-triggered mechanism. IEEE Trans. Cybern. 2022, 53, 5892–5903. [Google Scholar] [CrossRef] [PubMed]

















| The initial values of system | , |
| , | |
| , | |
| The parameters of controllers | , , , |
| , , , | |
| , , | |
| , , | |
| , , . | |
| The parameters of STM | , , , , . |
| Case | Agent 1 | Agent 2 | Agent 3 | Agent 4 |
|---|---|---|---|---|
| Case I | 81.57% | 66.03% | 65.57% | 73.60% |
| Case II | 80.50% | 66.17% | 65.23% | 73.23% |
| State | ||||
|---|---|---|---|---|
| State I | 0.2 | 0.2 | 0.3 | 0.4 |
| State II | 0.4 | 0.3 | 0.2 | 0.1 |
| State III | −0.2 | 0 | 0.3 | −0.1 |
| The initial values of system | , |
| , | |
| , | |
| The parameters of controllers | , , , |
| , , , | |
| , , | |
| , , | |
| , , . | |
| The parameters of STM | , , , , . |
| Case | Agent 1 | Agent 2 | Agent 3 | Agent 4 |
|---|---|---|---|---|
| Case I | 54.33% | 32.73% | 32.93% | 31.53% |
| Case II | 54.57% | 36.90% | 36.70% | 34.53% |
Disclaimer/Publisher’s Note: The statements, opinions and data contained in all publications are solely those of the individual author(s) and contributor(s) and not of MDPI and/or the editor(s). MDPI and/or the editor(s) disclaim responsibility for any injury to people or property resulting from any ideas, methods, instructions or products referred to in the content. |
© 2023 by the authors. Licensee MDPI, Basel, Switzerland. This article is an open access article distributed under the terms and conditions of the Creative Commons Attribution (CC BY) license (https://creativecommons.org/licenses/by/4.0/).
Share and Cite
Wang, J.; Hu, Z.; Liu, J.; Zhang, Y.; Gu, Y.; Huang, W.; Tang, R.; Wang, F. Adaptive Self-Triggered Control for Multi-Agent Systems with Actuator Failures and Time-Varying State Constraints. Actuators 2023, 12, 364. https://doi.org/10.3390/act12090364
Wang J, Hu Z, Liu J, Zhang Y, Gu Y, Huang W, Tang R, Wang F. Adaptive Self-Triggered Control for Multi-Agent Systems with Actuator Failures and Time-Varying State Constraints. Actuators. 2023; 12(9):364. https://doi.org/10.3390/act12090364
Chicago/Turabian StyleWang, Jianhui, Zikai Hu, Jiarui Liu, Yuanqing Zhang, Yixiang Gu, Weicong Huang, Ruizhi Tang, and Fang Wang. 2023. "Adaptive Self-Triggered Control for Multi-Agent Systems with Actuator Failures and Time-Varying State Constraints" Actuators 12, no. 9: 364. https://doi.org/10.3390/act12090364
APA StyleWang, J., Hu, Z., Liu, J., Zhang, Y., Gu, Y., Huang, W., Tang, R., & Wang, F. (2023). Adaptive Self-Triggered Control for Multi-Agent Systems with Actuator Failures and Time-Varying State Constraints. Actuators, 12(9), 364. https://doi.org/10.3390/act12090364
