Structural Optimization of Lightweight Composite Floors with Integrated Constrained Layer Damping for Vibration Control
Abstract
1. Introduction
2. Description of a Composite Floor with Integrated CLD Treatment
3. Static LSs to Be Met by the Floor
3.1. Static LSs in the 1ry and 2ry Beams
- Subscript 1 identifies the variable used to compute the safety factor. The following options are available: ‘’ means the sagging bending moment at mid-span, ‘’ means the sagging bending moment at the location of the first shear stud in partially treated beams, ‘V’ denotes shear force at the support, and ‘’ means deflection under live load action.
- Subscript 2 may be ‘c’ or ‘s’ depending on if the LS belongs to the construction stage or to the service-life stage, respectively.
- Subscript 3 is the subscript ‘i’ used to denote the 1ry or 2ry beam.
3.1.1. Static LSs of 1ry and 2ry Beams: The Construction
3.1.2. Static LSs of 1ry and 2ry Beams: The Service Life
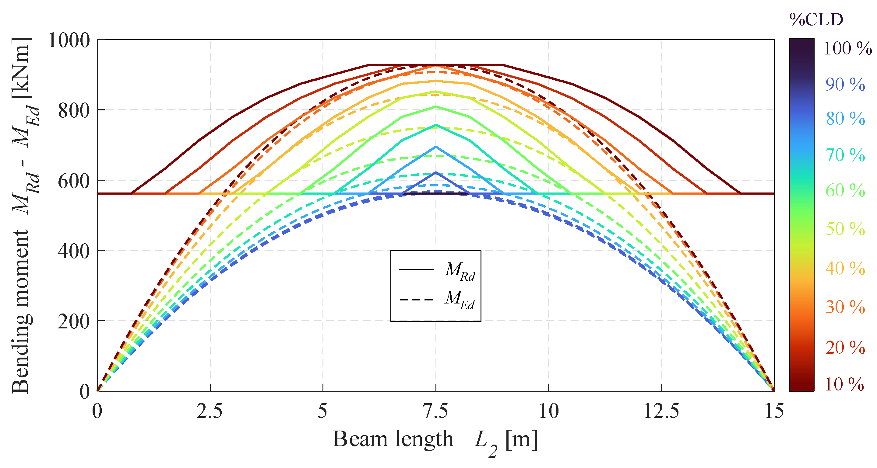
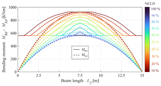
3.1.3. ULS of Bending for Composite Beams Partially Treated with CLD
- The effective breadth of the slab, , contributing to the composite section has been computed as follows:The expression used here is the same one as for regular simply supported composite beams, but replacing the beam length by the shear-connected length, . This decision is proposed by the authors as it is on the safe side.
- Two ductile shear studs per section connected have been used to achieve a higher degree of shear connection in a shorter distance. Additionally, plastic redistribution of longitudinal shear forces between the different shear studs along the connected length has been assumed.
- Partial shear connection theory has been assumed. Hence, the maximum longitudinal shear to be transferred within the steel–concrete interface, is limited by the plastic capacity of the shear connection. This means that the maximum longitudinal shear when considering full shear connection, named , needs to be reduced by a factor called ’degree of shear connection’ which is computed as follows:where is the shear resisting value of a single shear stud and n is the total number of shear studs along the shear-connected length of the beam.Finally, the resisting bending moment at mid-span has been computed following the methodology given in Eurocode 4 [43].
3.1.4. DSLS for Composite Beams Partially Treated with CLD
3.2. Static LSs in the Rib-Deck Slab
- Subscript 1 defines the variable used to compute the : ‘’ refers to the sagging bending moment at the edge span of the slab, ‘’ denotes the hogging bending moment at the internal support of the edge span, ‘V’ means the shear force at the internal support of the edge span, ‘’ means the maximum deflection under the live load action at the edge span, and ‘’ indicates the maximum deflection under the self-weight action at the edge span.
- Subscript 2 again may be ‘c’ or ‘s’ depending on the stage analyzed.
3.2.1. Static LSs in the Rib-Deck Slab: The Construction
3.2.2. Static LSs in the Rib-Deck Slab: The Service Life
4. VSLS of Floors Partially Treated with CLD
4.1. Modal Parameters of the Floor
4.1.1. Fundamental Natural Frequency of the Floor
4.1.2. Effective Weight of the Floo’s Fundamental Mode of Vibration
- Computing the effective widths, and , respectively associated with the simply supported bending modes of the 1ry and 2ry beams of the floor, following an already calibrated formulation described below:where is the concrete-homogenized moment of inertia of one meter of composite rib-deck slab, and are calibration coefficients depending on the type of composite floor beams and floor bay to be analyzed, and and are the effective concrete-homogenized moments of inertia of the 1ry and 2ry beams, respectively. They have been computed as follows:
- Computing the effective weights, and , respectively associated with the simply supported bending modes of the 1ry and 2ry beams:where is a factor equal to 1.5 for floor bays with adjacent bays having secondary beams of length higher than 0.7 , and equal to 1 in other cases.
- Computing the final effective weight of the combined mode of vibration:
4.1.3. Intrinsic Damping Ratio of the Floo’s Fundamental Mode of Vibration
4.1.4. Additional Damping Ratio Provided by the CLD Treatment
- Obtain and , the number of 1ry and 2ry beams involved in the fundamental mode of vibration, respectively. This is performed using the effective widths, computed before, assuming that they define the effective floor area contributing to the vibration when assessing the VSLS:
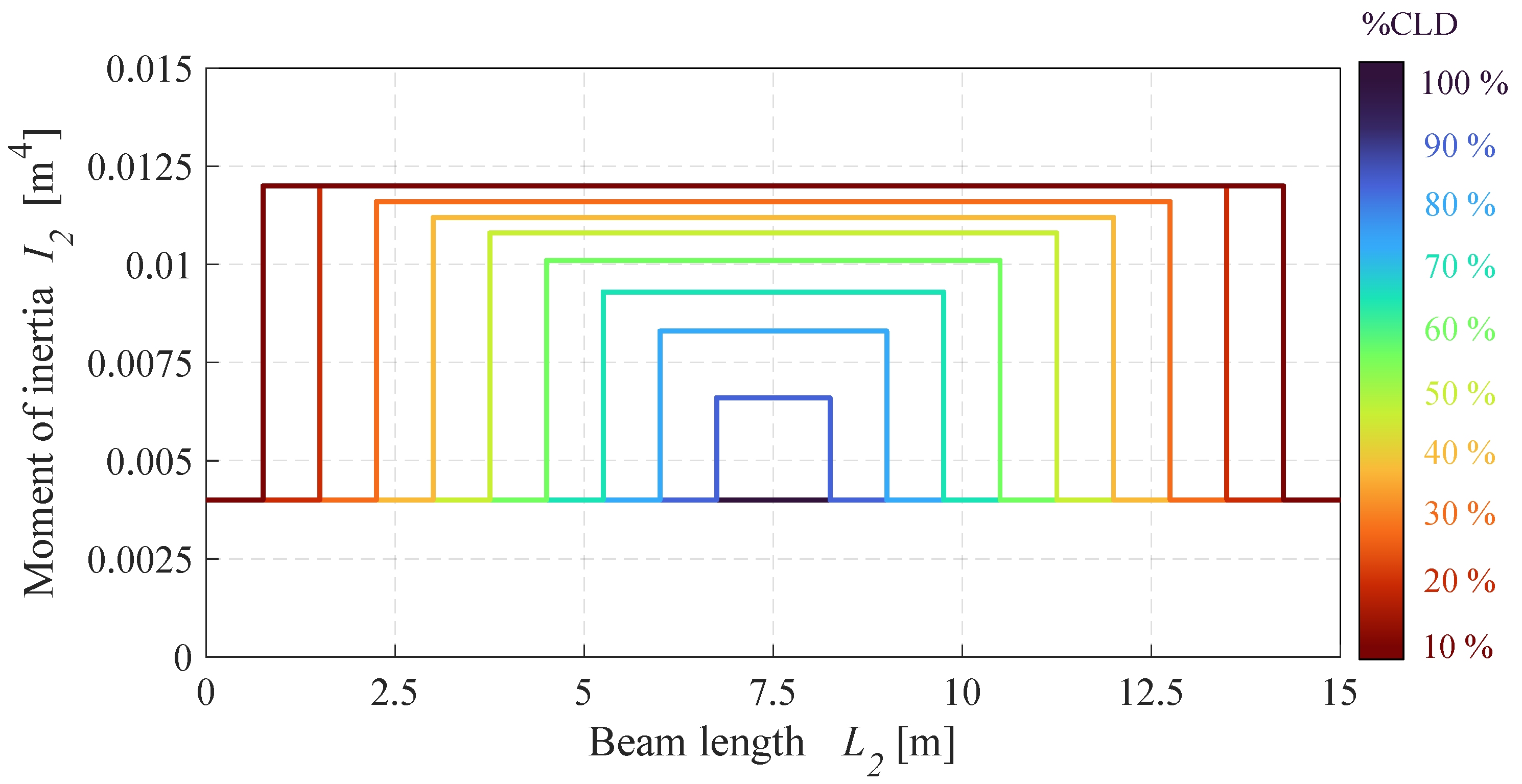
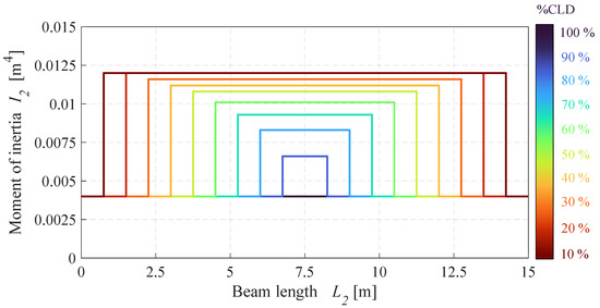
- Compute the additional damping ratio, , provided by the applied CLD treatments to isolated 1ry and 2ry beams. This has been done by analyzing a simply supported beam partially treated with CLD and characterized by the following parameters , , , , , and with a CLD treatment defined by and .The value of depends on four dimensionless parameters:
- The loss factor of the VE material , the higher the better. In this paper, this parameter has been assumed to be constant and equal to 1.
- The percentage of the beam length treated with CLD or . The higher this parameter, the higher the damping enhancement.
- The so-called ‘geometric parameter’ Y, computed as the ratio between the following two bending stiffness:where the numerator and denominator are the bending stiffnesses of a beam where the VE core has been replaced by a shear connection with infinite or zero shear stiffness, respectively. This ratio oscillates between 1 and 3 for composite floor beams. The higher the Y, the higher the damping.
- The so-called ’shear parameter’ of the beam, g, which represents the shear stiffness of the VE core (it should be noted that g is strongly dependent on the parameters of the VE treatment). This parameter is computed as follows:where and are the areas of the profile and the slab that belong to the beam section to be analyzed, respectively. For each beam, there is an optimum that provides the maximum additional damping to the beam. The value of depends on Y, and of the beam as demonstrated in [46]. The dependency of with Y can be neglected in the range of Y values adopted by floor beams. In the same way, the VE materials used for this purpose have similar values of close to 1, so this dependency can be also neglected.
- 3.
- Compute the bending modal strain energies, of isolated 1ry and 2ry beams, as follows:where , and are the laws of bending moments (under the loads considered for the VSLS), Young modulus, and Moment of inertia along the beam length. Assuming the scheme of a simply supported beam uniformly loaded and divided into two regions of different inertia, the following expression is derived:
- 4.
- Calculate the final of the floor’s fundamental mode of vibration as a weighted value of and depending on their contribution to the total modal strain energy of the floor:
4.2. Response of the Floor
4.2.1. Low-Frequency Resonant Response
4.2.2. Impulsive Response of the Floor
4.2.3. Comparison with VSLS Limit
5. Optimization Problem Definition
5.1. Design Variables
- : the number of shear studs used in each beam is calculated to meet the bending ULS of the beam at mid-span.
- and : the dimensions of the CLD treatment used in each floor beam are obtained to maximize the of each beam.
- : the amount of hogging reinforcement of the slab is computed to meet the ULS of the hogging bending moment of the slab.
5.2. Objective Functions
5.3. Design Constrains
5.4. Optimization Algorithm
6. Parametric Study
- : The length of the 1ry and 2ry beams of the floor. The parametric study has been focused on analyzing square floor bays, where . has been varied from 4.5 m to 19.5 m each 1.5 m, analyzing a whole set of 11 possibilities for this parameter.
- : The limiting response factor of the floor bay to define the VSLS. Four different possibilities have been considered for . First, a , which corresponds to floor designs in which the VSLS has not been checked, here denoted as ‘Statically designed floors’. , which is the limitation used for regular electronic offices. is the limit used for quiet spaces like silent offices or libraries. Finally, would apply to hospital floors.
- : The used to define the VSLS. Two possibilities are contemplated, which limits the impulsive and resonant floor responses, and which only limits the resonant response.
- : This indicates if the CLD treatment has been integrated into the design. Two possibilities are studied, = CLD and = NO CLD.
6.1. Results
6.2. Discussion
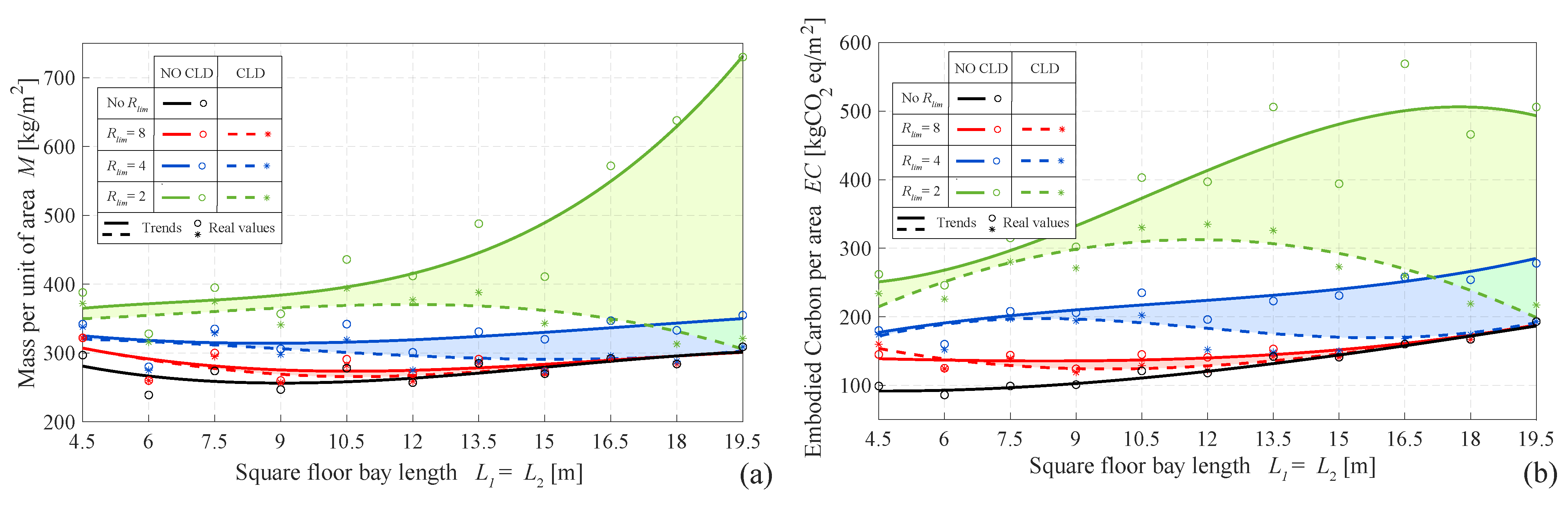
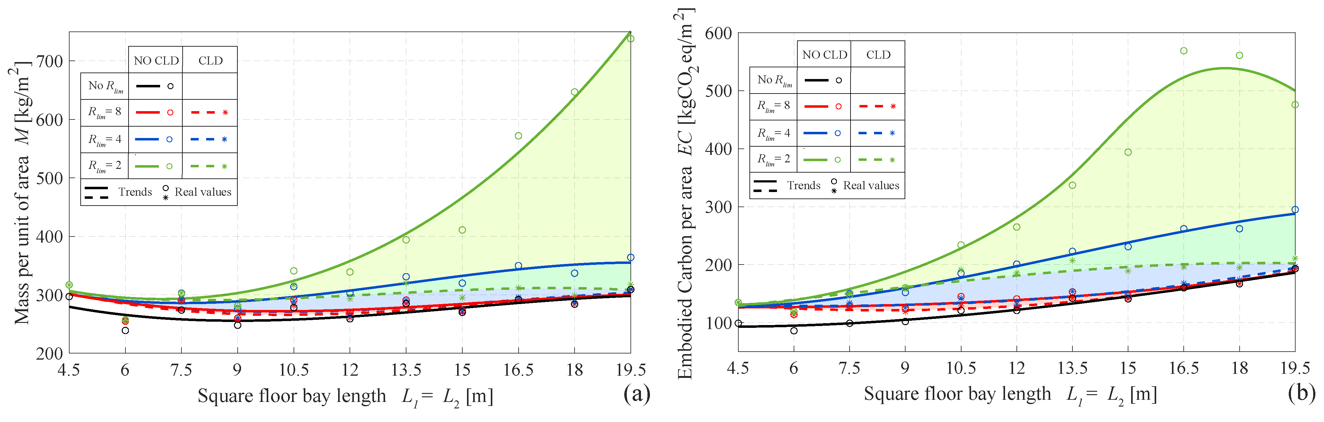
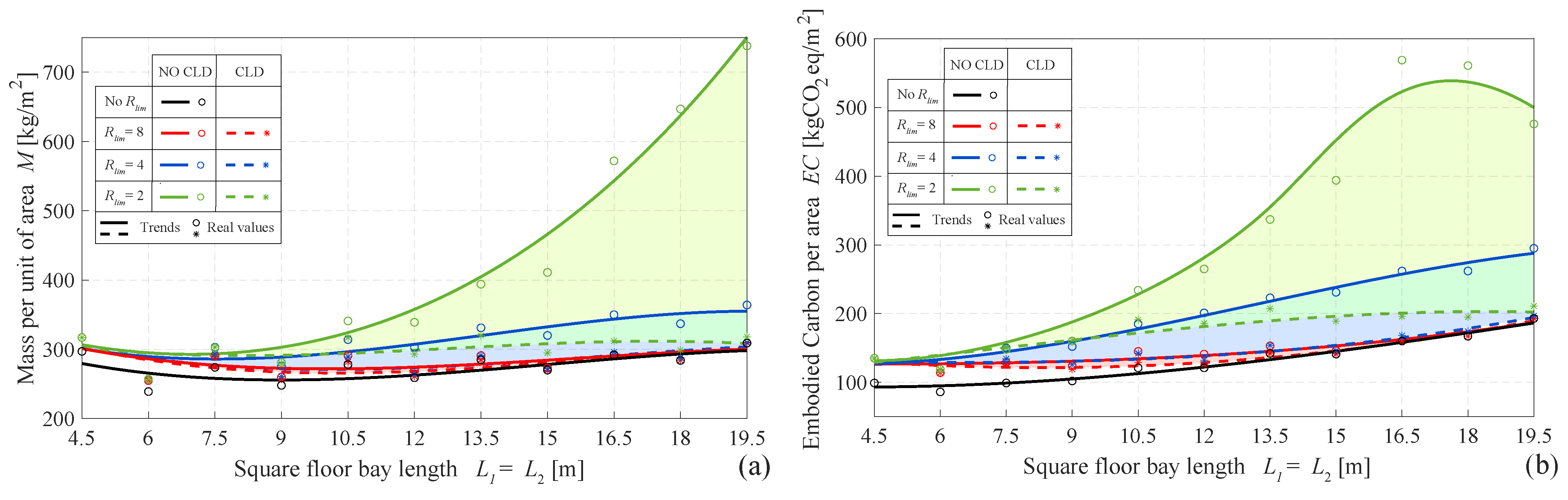
- In long-span floors with span > 12 m (as can be seen in Figure 9d,e and Figure 10d,e). This can be explained by observing in Figure 13a,b that long-span floors have a dynamic response dominated by . They also have low values of . On the one hand, the excessive resonant vibration may be tackled by stiffening the steel profiles of the floor (which implies a high cost, but has a low repercussion in M) to increase its and thus, reduce the amplitude of the exciting human harmonic . On the other hand, a solution with less cost but more impact on the final floor’s M, is to thicken the concrete slab to reduce the floor resonant response. These two possibilities are the extreme solutions of the Pareto fronts.
- In short-span floors designed using (compare, for example, Figure 9a,b with respect to Figure 10a,b). Again, looking at Figure 13a,b, it is noticeable that short-span floors have higher values of and , higher values of , and lower values of . In these floors, can be optimally reduced with a minimum stiffening of the floor that effectively rises the right amount to meet the VSLS (this explains why in Figure 10a,b, the Pareto front converges to 1 point). Nevertheless, reducing the floors’ requires, either a major stiffening of the floor, (which reduces the value of the effective impulse loading or a substantial increase of its (to reduce the impulsive response). Hence, controlling the impulsive vibration produces a significant oversizing of short-span floors compared to when it is not controlled (see results of Figure 11 and Figure 12 for span values lower than 12 m).
- The CLD integration enables increasing the damping ratio of the floor . Hence, it is mainly effective when implemented in floors in which the resonant response is the dominant one, i.e., long-span floors with values of around 4 or 2. This can be appreciated in Figure 9d,e and Figure 10d,e, and also a bit in Figure 9c and Figure 10c. Table 5 provides 15 m and 18 m floors, the percentage of oversizing with respect to the statically designed cases (those not meeting the VSLS), for solutions located at the middle of the Pareto front. When CLD is not used, this oversizing in terms of M and is around 100% for floors with = 2, and around 50% for floors with = 4. When the CLD is used the oversizing decreases to around 20% for the M, and an average value of 34% for the , in floors with = 2. When = 4 the oversizing decreases to 2% for the M, and 5% for the . This decrease is even more evident when checking the VSLS using .
- The CLD does not result as effective in short-span floors (those with a span < 10 m). On the one hand, When assessing the VSLS according to , a substantial big increase of does not have a significant impact on reducing the impulsive response of the floor. On the other hand, when using , the resonant response of these floors seems to be better tackled by minimally stiffening the floors rather than increasing their damping. Both conclusions are clear when looking at Figure 11 and Figure 12 for spans lower than 10 m.
- Floors with a span of around 12 m represent a transition zone between short-span and long-span floors. In this intermediate range of spans the CLD efficacy is perceptible but not as high as on long-span floors.
- For floor designs in which M is the minimum possible, (as those depicted in Figure 11 and Figure 12) the CLD effect can be summarized as follows: for floors with a = 4, the CLD enables a reduction by around 50 kg/m2 and 100 kgCO2eq/m2 with respect to the cases when it is not used. In floors with = 2, this reduction increases with the span, with an average of 200 kg/m2 and 250 kgCO2eq/m2.
7. Conclusions
Author Contributions
Funding
Acknowledgments
Conflicts of Interest
Abbreviations
| AISC | American Institute of Steel Construction |
| CLD | Constrained layer damping |
| DSLS | Deflection serviceability limit state |
| DL | Dead load |
| EC | Embodied carbon |
| HFF | High-frequency floors |
| HIP | Heathcote Industrial Polymers |
| LL | Live load |
| LFF | Low-frequency floors |
| LS | Limit state |
| NSGA-II | Non-Dominated Sorting Genetic Algorithm |
| OF | Objective function |
| SCI | Steel Construction Institute |
| SF | Safety factor |
| SW | Self-weight |
| ULS | Ultimate limit state |
| VE | Visco-elastic |
| VSLS | Vibration serviceability limit state |
| 1ry | Primary |
| 2ry | Secondary |
| Area of the steel profile of beam `i’ | |
| Area of the slab section belonging to the section of the composite beam `i’ | |
| Acceleration of gravity | |
| Impulsive peak acceleration | |
| Root mean square resonant acceleration | |
| Root mean square impulsive acceleration | |
| B | Total width of the floor parallel to the primary beams |
| Effective width of the area involved in the fundamental mode of vibration of beams `i’ | |
| Effective breadth of the slab of the composite beam `i’ | |
| Width of the top steel flange of the beam `i’ | |
| Width of the VE core of the CLD treatment applied to the beam `i’ | |
| Calibration coefficient | |
| Calibration coefficient | |
| Functions to compute the DSLS of primary and secondary floor beams | |
| Separation between secondary beams | |
| Young modulus of concrete | |
| E | Law of Young modulus along the beam `i’ |
| Young modulus of steel | |
| Embodied carbon per unit of area of the floor | |
| Human-induced dynamic punctual force | |
| Fundamental natural frequency of the floor | |
| Pacing frequency of the human walking load | |
| Ultimate tensile strength | |
| Steel yielding stress | |
| Objective function | |
| Storage modulus of the VE material | |
| g | Shear parameter |
| Optimum shear parameter | |
| Design constraint functions | |
| H | Modified Heaviside function |
| Height of the concrete slab over the ribs in cm | |
| Height of the VE core of the CLD treatment applied to the beam `i’ | |
| Concrete-Homogenized Moment of the composite section of beam `i’ | |
| Effective impulse due to human footfall | |
| Effective concrete-homogenized moment of inertia of beam `i’ | |
| Concrete-homogenized moment of inertia of 1 m of slab | |
| Moment of inertia of the steel profile of beam `i’ | |
| i | Subscript to indicate the type of beam: 1 for primary and 2 for secondary |
| Calibration factor | |
| Resonant build-up factor | |
| Calibration factor | |
| L | Total length of the floor parallel to the secondary beams |
| Length of the beam `i’ | |
| Half of the CLD-treated length of a floor beam `i’ | |
| Functions to compute the LSs of concrete slab | |
| M | Mass per unit of area of the floor |
| Design sagging bending moment | |
| Service-life design sagging bending moment of a beam | |
| Plastic bending moment of a steel profile | |
| Resisting sagging bending moment | |
| Resisting sagging bending moment of a composite steel–concrete section | |
| Resisting sagging bending moment of a steel section | |
| Bending moments law under the loads considered for the VSLS in beam `i’ | |
| Axial force in the concrete when a partial degree of shear connection is considered. | |
| Axial force in the concrete when the full degree of shear connection is considered. | |
| Number of beams of type `i’ involved in the fundamental vibration mode of the floor | |
| n | Total number of shear studs |
| Profile number associated with the beam `i’ | |
| Shear resisting force of a shear stud | |
| Crossover probability | |
| Probability of mutation | |
| Q | Average human weight |
| Load per unit of length in beam `i’ due to deal load | |
| Load per unit of length in beam `i’ due to live load | |
| Load per unit of length in beam `i’ due to self-Weight | |
| Load per unit of length in beam `i’ considered for the VSLS | |
| Number to designate the rib-deck | |
| Impulsive response factor | |
| Resonant response factor | |
| Safety factor for sagging bending moment of the slab in construction | |
| Safety factor for hogging bending moment of the slab in construction | |
| Safety factor for sagging bending moment of the slab in service life | |
| Safety factor for hogging bending moment of the slab in service life | |
| Safety factor for sagging bending moment in the construction of beam `i’ | |
| Safety factor for sagging bending moment at mid-span in the service life of beam `i’ | |
| Safety factor for sagging bending moment at section B in the service life of beam ‘i’ | |
| Safety factor of VSLS considering impulsive and resonant floor response. | |
| Safety factor of VSLS considering only resonant floor response. | |
| Safety factor for shear of the slab in construction | |
| Safety factor for shear of the slab in service life | |
| Safety factor for shear in construction of beam `i’ | |
| Safety factor for deflection of the slab in service life | |
| Safety factor for deflection at mid-span of beam `i’ | |
| Safety factor for deflection of the slab in construction | |
| s | Longitudinal spatial coordinate along a beam element |
| t | Time variable |
| Modal strain energy of bending of a beam `i’ | |
| Functions to compute the ULS of primary and secondary floor beams | |
| Plastic shear force of the web of a steel profile | |
| Function to compute the VSLS of the floor | |
| Effective weight associated with the fundamental mode of vibration of a floor bay | |
| Effective weight associated with the fundamental mode of vibration of beam `i’ | |
| Vector of design variables | |
| Y | Geometric parameter of a CLD-treated beam |
| Dynamic loading factor | |
| Additional damping ratio | |
| Maximum static deflection of beam ‘i’ under the loads considered for the VSLS | |
| Parameter of crossover | |
| Parameter of mutation | |
| Loss factor or the VE material | |
| Parts per unit of CLD-treated length in a beam with subscript ‘i’ | |
| Modal damping ratio of the fundamental mode of vibration | |
| Damping ratio of the floor due to its intrinsic energy dissipation capacity | |
| Additional modal damping ratio of the floor provided by the CLD treatment | |
| Additional modal damping ratio provided by the CLD treatment to a beam ‘i’ | |
| Density |
References
- Hawkins, W.; Orr, J.; Ibell, T.; Shepherd, P. A design methodology to reduce the embodied carbon of concrete buildings using thin-shell floors. Eng. Struct. 2020, 207, 110195. [Google Scholar] [CrossRef]
- Setareh, M. Office floor vibrations: Evaluation and assessment. Proc. Inst. Civ. Eng. Struct. Build. 2014, 167, 187–199. [Google Scholar] [CrossRef]
- Hawkins, W.; Peters, A.; Mander, T. A weight off your mind: Floor loadings and the climate emergency. Struct. Eng. 2021, 99, 18–20. [Google Scholar] [CrossRef]
- Joint Research Center—European Convention for Constructional Steelworks. Design of Floor Structures for Human Induced Vibration; Joint Research Center: Brussels, Belgium, 2009. [Google Scholar]
- Smith, A.L.; Hicks, S.J.; Devine, P. Design of Floors for Vibration, 2nd ed.; SCI: Singapore, 2009; pp. 1–113. [Google Scholar]
- Willford, M.R.; Young, P. A Design Guide for Footfall Induced Vibration of Structures, 1st ed.; The Concrete Society: Cardiff, UK, 2006; p. 82. [Google Scholar]
- Murray, T.M.; Allen, D.E.; Ungar, E.E.; Davis, D.B. AISC Steel Design Guide 11. Vibrations of Steel-Framed Structural Systems Due to Human Activity, 2nd ed.; AISC: Chicago, IL, USA, 2016; p. 130. [Google Scholar]
- Royvaran, M.; Avci, O.; Davis, B. Analysis of floor vibration evaluation methods using a large database of floors framed with W-Shaped members subjected to walking excitation. J. Constr. Steel Res. 2020, 164, 105764. [Google Scholar] [CrossRef]
- Gonçalves, M.S.; Pavic, A. Environmental impact of structural modifications in office floors to satisfy vibration service ability. Eur. Assoc. Struct. Dyn. 2020, 1, 1924–1931. [Google Scholar] [CrossRef]
- Murray, T.M.; Ungar, E.E.; Davis, D.B. Facts for Steel Buildings, Number 5: Vibration; AISC: Chicago, IL, USA, 2018; pp. 1–50. [Google Scholar]
- Jayasinghe, A.; Orr, J.; Hawkins, W.; Ibell, T.; Boshoff, W.P. Comparing different strategies of minimising embodied carbon in concrete floors. J. Clean. Prod. 2022, 345, 131177. [Google Scholar] [CrossRef]
- Regúlez, B.; Faria, D.M.; Todisco, L.; Fernández Ruiz, M.; Corres, H. Sustainability in construction: The urgent need for a new ethics. Struct. Concr. 2023, 24, 1893–1913. [Google Scholar] [CrossRef]
- Gallegos-Calderón, C.; Renedo, C.M.; Pulido, M.D.G.; Díaz, I.M. A frequency-domain procedure to design TMDs for lively pedestrian structures considering Human–Structure Interaction. Structures 2022, 43, 1187–1199. [Google Scholar] [CrossRef]
- Soria, J.M.; Díaz, I.M.; García-Palacios, J.H. Further steps towards the tuning of inertial controllers for broadband-frequency-varying structures. Struct. Control Health Monit. 2020, 27, e2461. [Google Scholar] [CrossRef]
- Ramírez-Senent, J.; Gallegos-Calderón, C.; García-Palacios, J.H.; Díaz, I.M. Active control of human-induced vibrations on lightweight structures via electrodynamic actuator dynamics inversion. J. Vib. Control 2022. [Google Scholar] [CrossRef]
- Jones, D.I. Handbook of Viscoelastic Vibration Damping; John Wiley & Sons: Hoboken, NJ, USA, 2001; p. 391. [Google Scholar]
- Baz, A.M. Active and Passive Vibration Damping; John Wiley & Sons: Hoboken, NJ, USA, 2019. [Google Scholar] [CrossRef]
- Nelson, F.C. The use of visco-elastic material to dampen vibrations in buildings and large structures. Am. Inst. Steel Constr. Eng. J. 1968, 5, 72–78. [Google Scholar]
- Farah, A.; Ibrahim, I.M.; Green, R. Canadian Journal of Revue canadienne Civil bngineering de genie civil. Can. J. Civ. Eng. 1977, 4, 405–4011. [Google Scholar] [CrossRef]
- Ebrahimpour, A. Chapter 18, Externally Bonded FRP Composite and Viscoelastic Materials for Mitigating Vibrations of Floor Systems; CRC Press: Boca Raton, FL, USA, 2013; pp. 313–329. [Google Scholar] [CrossRef]
- Ahmadi, H.; Goodchild, I.; Fuller, K.; Canisius, G. Modelling Dynamic Behaviour of Constrained Layer Damped Floors Using Finite Element Analysis; IRCO: Singapore, 2002; pp. 583–595. [Google Scholar]
- Willford, M.; Young, P.; Algaard, W.H. A constrained layer damping system for composite floors. Struct. Eng. 2006, 84, 31–38. [Google Scholar]
- Zahn, M.C. The Economies of LRFD in Composite Floor Beams. Eng. J. 1987, 24, 87–92. [Google Scholar]
- Murray, T.M. Acceptability Criterion for Occupant-Induced Floor Vibrations. Eng. J. 1981, 18, 62–70. [Google Scholar]
- Kim, H.; Adeli, H. Discrete cost optimization of composite floors using a floating-point genetic algorithm. Eng. Optim. 2001, 33, 485–501. [Google Scholar] [CrossRef]
- Adeli, H.; Kim, H. Cost optimization of composite floors using neural dynamics model. Commun. Numer. Methods Eng. 2001, 17, 771–787. [Google Scholar] [CrossRef]
- Klanšek, U.; Kravanja, S. Cost estimation, optimization and competitiveness of different composite floor systems-Part 2: Optimization based competitiveness between the composite i beams, channel-section and hollow-section trusses. J. Constr. Steel Res. 2006, 62, 449–462. [Google Scholar] [CrossRef]
- Klanšek, U.; Kravanja, S. Cost estimation, optimization and competitiveness of different composite floor systems-Part 1: Self-manufacturing cost estimation of composite and steel structures. J. Constr. Steel Res. 2006, 62, 434–448. [Google Scholar] [CrossRef]
- Kravanja, S.; Žula, T.; Klanšek, U. Multi-parametric MINLP optimization study of a composite I beam floor system. Eng. Struct. 2017, 130, 316–335. [Google Scholar] [CrossRef]
- Kaveh, A.; Ahangaran, M. Discrete cost optimization of composite floor system using social harmony search model. Appl. Soft Comput. J. 2012, 12, 372–381. [Google Scholar] [CrossRef]
- Kaveh, A.; Abadi, A.S.M. Cost optimization of a composite floor system using an improved harmony search algorithm. J. Constr. Steel Res. 2010, 66, 664–669. [Google Scholar] [CrossRef]
- Poitras, G.; Lefrançois, G.; Cormier, G. Optimization of steel floor systems using particle swarm optimization. J. Constr. Steel Res. 2011, 67, 1225–1231. [Google Scholar] [CrossRef]
- Kaveh, A.; Ghafari, M.H. Optimum design of steel floor system: Effect of floor division number, deck thickness and castellated beams. Struct. Eng. Mech. 2016, 59, 933–950. [Google Scholar] [CrossRef]
- Yossef, N.M.; Taher, S. Cost Optimization of Composite Floor Systems with Castellated Steel Beams. Pract. Period. Struct. Des. Constr. 2019, 24, 04018035. [Google Scholar] [CrossRef]
- Roynon, J. Emboided Carbon: Structural Sensitivity Study. Struct. I Struct. 2020, 1–7. [Google Scholar]
- Drewniok, M.P.; Campbell, J.; Orr, J. The Lightest Beam Method—A methodology to find ultimate steel savings and reduce embodied carbon in steel framed buildings. Structures 2020, 27, 687–701. [Google Scholar] [CrossRef]
- Whitworth, A.H.; Tsavdaridis, K.D. Embodied Energy Optimization of Steel-Concrete Composite Beams using a Genetic Algorithm. Procedia Manuf. 2020, 44, 417–424. [Google Scholar] [CrossRef]
- Kravanja, S.; Klanšek, U.; Žula, T. Mass, direct cost and energy life-cycle cost optimization of steel-concrete composite floor structures. Appl. Sci. 2021, 11, 316. [Google Scholar] [CrossRef]
- Gauch, H.L.; Hawkins, W.; Ibell, T.; Allwood, J.M.; Dunant, C.F. Carbon vs. cost option mapping: A tool for improving early-stage design decisions. Autom. Constr. 2022, 136, 104178. [Google Scholar] [CrossRef]
- Heathcote Industrial Polymers. Desing Properties of HIP2 Polymer; Heathcote Industrial Polymers: Staffordshire, UK, 2015; pp. 1–3. [Google Scholar]
- ASTM:E756-05; Standard Test Method for Measuring Vibration-Damping Properties of Materials. American Society for Testing and Materials. ASTM International: West Conshohocken, PA, USA, 2010.
- EN 1993-1-1:2005; Eurocode 3: Design of Steel Structures—Part 1-1: General Rules and Rules for Buildings. European Committee of Standarization: Brussels, Belgium, 2005.
- EN 1994-1-1:2004; Eurocode 4: Design of Composite steel and Concrete Structures—Part 1-1: General Rules and Rules for Buildings. European Committee of Standarization: Brussels, Belgium, 2004.
- AcelorMittal. GlobalFloor. Cofraplus 6. Safe Load Tables. pp. 1–12. Available online: http://www.arcelormittal-construction.com.pl/admin/user_files/page_attachments/154/arval_cofraplus-60_en_view.pdf (accessed on 4 June 2023).
- Muhammad, Z.; Reynolds, P.; Avci, O.; Hussein, M. Review of Pedestrian Load Models for Vibration Serviceability Assessment of Floor Structures. Vibration 2018, 2, 1–24. [Google Scholar] [CrossRef]
- Rao, D.K. Frequency and Loss Factors of Sandwich Beams Under Various Boundary Conditions. J. Mech. Eng. Sci. 1978, 20, 271–282. [Google Scholar] [CrossRef]
- Gibbons, O.P.; Orr, J.J.; Archer-Jones, C.; Arnold, W.; Green, D. How to Calculate Embodied Carbon, 2nd ed.; The Institution of Structural Engineers: London, UK, 2022; p. 58. [Google Scholar]
- Flannery, B.P.; Mares, J.W. Greenhouse Gas Index for Products in 39 Industrial Sectors: Synthetic Rubber; Resources for the Future: Washington, DC, USA, 2022; pp. 1–16. [Google Scholar]
- Deb, K.; Pratap, A.; Agarwal, S.; Meyarivan, T. A Fast and Elitist Multiobjective Genetic Algorithm: NSGA-II. IEEE Trans. Evol. Comput. 2002, 6, 182–197. [Google Scholar] [CrossRef]
- Deb, K.; Agrawal, S. A Niched-Penalty Approach for Constraint Handling in Genetic Algorithms; Springer: Berlin/Heidelberg, Germany, 1999; pp. 235–243. [Google Scholar]













| Material | Element | [kg/m3] | [gPa] | [mPa] |
|---|---|---|---|---|
| Steel S275 | Profiles | 7850 | 210 | 275 |
| Steel B500S | Reinforcement | 7850 | 210 | 500 |
| Steel S350GD | Rib-deck | 7850 | 210 | 350 |
| [kg/m3 ] | [gPa] | [mPa] | ||
| Steel S235J2+ | Shear studs | 7850 | 190 | 450 |
| [kg/m3] | [gPa] | [mPa] | ||
| Concrete C30 | Slab | 2500 | 30 | 30 |
| [kg/m3] | [mPa] | [-] | ||
| HIP2 | CLD treatment | 1700 | 0.7 | 1 |
| Stage | Limit State | Type | Location | Loads | Section | Safety Factor |
|---|---|---|---|---|---|---|
| Construction | ULS | Bending | ![]() | Steel | ||
| Shear | ![]() | Steel | ||||
| Service-Life | ULS | Bending | ![]() | Steel | ||
| Bending | ![]() | Composite | ||||
| Shear | ![]() | Steel | ||||
| SLS | Deflection | ![]() | Composite |
| Stage | Limit State | Type | Location | Loads | Section | Safety Factor |
|---|---|---|---|---|---|---|
| Construction | ULS | Bending | ![]() | Steel | ||
| Shear | ![]() | Steel | ||||
| SLS | Deflection ponding | ![]() | Steel | |||
| Service-Life | ULS | Bending | ![]() | Composite | ||
| Shear | ![]() | Composite | ||||
| SLS | Deflection | ![]() | Composite |
| Material | Floor Element | [kgCO2eq/kg] |
|---|---|---|
| Concrete | Slab | 0.10 1 |
| Steel | Reinforcement | 0.76 1 |
| Steel | Beam profiles | 1.74 1 |
| Steel | Studs | 1.74 1 |
| Galvanized Steel | Rib-deck sheet | 2.87 1 |
| Galvanized Steel | CLD Sheets | 2.87 1 |
| VE material | CLD VE core | 6.00 2 |
| VSLS Type | CLD Treatment | M Oversizing [%] | EC Oversizing [%] | |
|---|---|---|---|---|
| − = 2 | 15 | NO CLD | 84 | 139 |
| CLD | 45 | 70 | ||
| 18 | NO CLD | 134 | 134 | |
| CLD | 18 | 28 | ||
| − = 2 | 15 | NO CLD | 84 | 139 |
| CLD | 9 | 35 | ||
| 18 | NO CLD | 134 | 155 | |
| CLD | 5 | 16 | ||
| − = 4 | 15 | NO CLD | 51 | 56 |
| CLD | 2 | 7 | ||
| 18 | NO CLD | 40 | 46 | |
| CLD | 2 | 5 | ||
| − = 4 | 15 | NO CLD | 60 | 58 |
| CLD | 1 | 4 | ||
| 18 | NO CLD | 40 | 43 | |
| CLD | 2 | 4 |
Disclaimer/Publisher’s Note: The statements, opinions and data contained in all publications are solely those of the individual author(s) and contributor(s) and not of MDPI and/or the editor(s). MDPI and/or the editor(s) disclaim responsibility for any injury to people or property resulting from any ideas, methods, instructions or products referred to in the content. |
© 2023 by the authors. Licensee MDPI, Basel, Switzerland. This article is an open access article distributed under the terms and conditions of the Creative Commons Attribution (CC BY) license (https://creativecommons.org/licenses/by/4.0/).
Share and Cite
Renedo, C.M.C.; Díaz, I.M.; García-Palacios, J.H.; Gallegos-Calderón, C. Structural Optimization of Lightweight Composite Floors with Integrated Constrained Layer Damping for Vibration Control. Actuators 2023, 12, 288. https://doi.org/10.3390/act12070288
Renedo CMC, Díaz IM, García-Palacios JH, Gallegos-Calderón C. Structural Optimization of Lightweight Composite Floors with Integrated Constrained Layer Damping for Vibration Control. Actuators. 2023; 12(7):288. https://doi.org/10.3390/act12070288
Chicago/Turabian StyleRenedo, Carlos M. C., Iván M. Díaz, Jaime H. García-Palacios, and Christian Gallegos-Calderón. 2023. "Structural Optimization of Lightweight Composite Floors with Integrated Constrained Layer Damping for Vibration Control" Actuators 12, no. 7: 288. https://doi.org/10.3390/act12070288
APA StyleRenedo, C. M. C., Díaz, I. M., García-Palacios, J. H., & Gallegos-Calderón, C. (2023). Structural Optimization of Lightweight Composite Floors with Integrated Constrained Layer Damping for Vibration Control. Actuators, 12(7), 288. https://doi.org/10.3390/act12070288













