Design and Experimental Assessment of a Vibration Control System Driven by Low Inertia Hydrostatic Magnetorheological Actuators for Heavy Equipment
Abstract
:1. Introduction
2. Materials and Methods
2.1. Design Requirements
2.2. Proposed Actuator Design
2.3. Hydraulic System
2.4. MR Actuators
2.5. Description of the Analytical Model
2.5.1. Two-Degree-of-Freedom Analytical Model
2.5.2. One-Degree-of-Freedom Analytical Model
2.5.3. Analytical Model Results
3. Results and Discussion
3.1. Experimental Test Bench
3.2. Clutch Characterization and Hysteresis
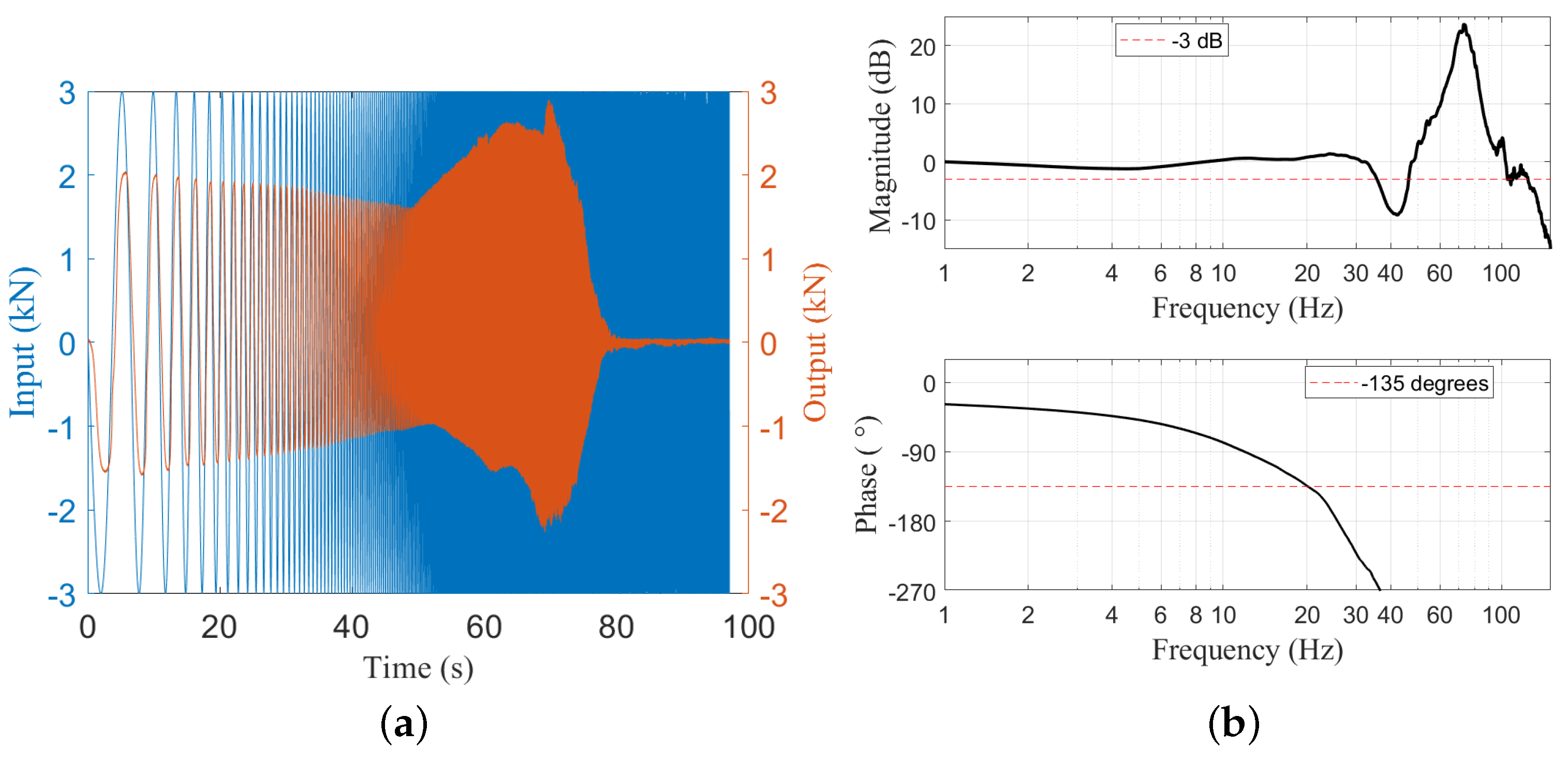
3.3. Blocked-Output Bandwidth
3.4. Friction
4. Conclusions
Author Contributions
Funding
Data Availability Statement
Acknowledgments
Conflicts of Interest
Abbreviations
| CTS | Conversion track system |
| DC | Direct current |
| DOAJ | Directory of open access journals |
| EAVC | Electromagnetic active vibration cancelling |
| MDPI | Multidisciplinary Digital Publishing Institute |
| MR | Magnetorheological |
| MRF | Magnetorheological fluid |
| PID | Proportional-integral-derivative |
| WBV | Whole-body vibration |
References
- Upadhyay, R.; Bhattacherjee, A.; Patra, A.K.; Chau, N. Association between Whole-Body Vibration exposure and musculoskeletal disorders among dumper operators: A case-control study in Indian iron ore mines. Work 2022, 71, 235–247. [Google Scholar] [CrossRef] [PubMed]
- Singh, A.; Samuel, S.; Singh, H.; Singh, J.; Prakash, C.; Dhabi, Y.K. Whole Body Vibration Exposure among the Tractor Operator during Soil Tillage Operation: An Evaluation using ISO 2631-5 Standard. Shock Vib. 2022, 2022, 6412120. [Google Scholar] [CrossRef]
- Kaewunruen, S.; Remennikov, A.M. Current state of practice in railway track vibration isolation: An Australian overview. Aust. J. Civ. Eng. 2016, 14, 63–71. [Google Scholar] [CrossRef]
- Chouinard, P.; Begin, M.A.; Fortin, J.M.; Berry, A.; Masson, P.; Plante, J.S. Preventing lower back pain among truck drivers: Design and performance of a controlled slippage magnetorheological actuator for an active seat suspension. In Proceedings of the ASME 2018 International Design Engineering Technical Conferences and Computers and Information in Engineering Conference, IDETC/CIE, Quebec City, QC, Canada, 26–29 August 2018; Volume 5A-2018. [Google Scholar] [CrossRef]
- Davies, H.W.; Wang, F.; Du, B.B.; Viventi, R.; Johnson, P.W. Exposure to Whole-Body Vibration in Commercial Heavy-Truck Driving in On- and Off-Road Conditions: Effect of Seat Choice. Ann. Work Expo. Health 2022, 66, 69–78. [Google Scholar] [CrossRef] [PubMed]
- Lee, J.; Oh, K.; Yi, K. A novel approach to design and control of an active suspension using linear pump control–based hydraulic system. Proc. Inst. Mech. Eng. Part D J. Automob. Eng. 2020, 234, 1224–1248. [Google Scholar] [CrossRef]
- Kitazaki, S.; Griffin, M.J. Resonance behaviour of the seated human body and effects of posture. J. Biomech. 1997, 31, 143–149. [Google Scholar] [CrossRef] [PubMed]
- Mercedes-Benz Pioneers Fully Active Suspension. Available online: http://media.mercedes-benz.ca/releases/mercedes-benz-pioneers-fully-active-suspension (accessed on 21 September 2023).
- Fauteux, P.; Lauria, M.; Legault, M.A.; Heintz, B.; Michaud, F. Dual differential rheological actuator for robotic interaction tasks. In Proceedings of the 2009 IEEE/ASME International Conference on Advanced Intelligent Mechatronics, Singapore, 14–17 July 2009; pp. 47–52. [Google Scholar] [CrossRef]
- Veronneau, C.; Denis, J.; Lebel, L.P.; Denninger, M.; Plante, J.S.; Girard, A. A Lightweight Force-Controllable Wearable Arm Based on Magnetorheological-Hydrostatic Actuators. arXiv 2019, arXiv:2206.13361. [Google Scholar]
- East, W.; Turcotte, J.; Plante, J.S.; Julio, G. Experimental assessment of a linear actuator driven by magnetorheological clutches for automotive active suspensions. J. Intell. Mater. Syst. Struct. 2021, 32, 955–970. [Google Scholar] [CrossRef] [PubMed]
- Arvidsson, J.; Westlin, H.; Keller, T.; Gilbertsson, M. Rubber track systems for conventional tractors—Effects on soil compaction and traction. Soil Tillage Res. 2011, 117, 103–109. [Google Scholar] [CrossRef]
- Eger, T.; Stevenson, J.; Boileau, P.E.; Salmoni, A. Predictions of health risks associated with the operation of load-haul-dump mining vehicles: Part 1-analysis of whole-body vibration exposure using iso 2631-1 and ISO-2631-5 standards. Int. J. Ind. Ergon. 2008, 38, 726–738. [Google Scholar] [CrossRef]
- Lucking Bigué, J.P.; Charron, F.; Plante, J.S. Understanding the super-strong behavior of magnetorheological fluid in simultaneous squeeze-shear with the Péclet number. J. Intell. Mater. Syst. Struct. 2015, 26, 1844–1855. [Google Scholar] [CrossRef]
- Veronneau, C.; Bigue, J.P.L.; Lussier-Desbiens, A.; Plante, J.S. A High-Bandwidth Back-Drivable Hydrostatic Power Distribution System for Exoskeletons Based on Magnetorheological Clutches. IEEE Robot. Autom. Lett. 2018, 3, 2592–2599. [Google Scholar] [CrossRef]
- Hruik, L.; Bureek, A.; Vaina, M. Mathematical simulation and measurement of expansion of hydraulic hose with oil. Teh. Vjesn. Gaz. 2017, 24, 1905–1914. [Google Scholar] [CrossRef]
- Makkar, C.; Dixon, W.; Sawyer, W.; Hu, G. A new continuously differentiable friction model for control systems design. In Proceedings of the 2005 IEEE/ASME International Conference on Advanced Intelligent Mechatronics (IEEE Cat. No. 05TH8801), Monterey, CA, USA, 24–28 July 2005; Volume 1, pp. 600–605. [Google Scholar]











| Actuator Test Bench Dimensions | |
| Overall dimensions | (0.9 × 0.4 × 0.2) m |
| Estimated weight | ∼40 kg |
| Calculated theoretical inertia reflected in output referential | ∼24 kg |
| Actuator stroke (slave cylinder) | 80 mm |
| Hydraulic | |
| Master cylinder | Parker 32MCHDBR4M115 |
| Slave cylinder | Parker 40MCHDBR4M80 |
| Hose | 9.52mm (3/8″) SAE 100R17 |
| Oil | AW46 |
| Accumulator | |
| Accumulator | Parker ACP04AA050-0020 |
| Gas | Nitrogen |
| Gas volume | 0.5 L |
| Working pressure | 27.5 MPa |
| Preload pressure | 2.6 MPa |
| Electric motor | |
| Model | KDE700XF-295-G3 |
| Type | Single-rotor brushless motor |
| Batteries | MaxAmps LiPo 9000 mA 8S2P 29.6 V battery pack |
| Drives | Flier R-Snake ESC 16S LiPo 400A |
| Magnetorheological (MR) clutches | |
| Model | Exonetik Inc. (US 2018/0156285) |
| Max torque | 37 N·m * |
| Peak power | 24 kW * |
| Viscous torque | 0.06 N·m·rad−1s * |
| Weight per clutch | 4.4 kg * |
| Output inertia | 20 kg·mm2 * |
| Drives | Advanced motion controls 25A8 |
| Mechanical parts | |
| Rack | Misumi MRGF2.5-500 |
| Pinion | QTC KMSGB2.5-15 |
| 18 teeth gear (gear box) | QTC KMSGB1.5-18 |
| 55 teeth gear (gear box) | QTC KMSGA1.5-55 |
| Motor output gear | QTC KSS 1-16 |
| Ring gear | QTC KSS1-120 |
| Linear guide rail | THK SHS30-520L |
| Linear guide block | THK SHS30R1SS |
| Test hardware | |
| Controller | Speedgoat Performance real-time machine with Matlab Simulink |
| Traction machine | MTS TestFrame 322 (Flextest SE controller) |
| String potentiometer | McMaster string potentiometer 6863K3 |
| Load cell | MTS 661.20.E-03 |
| Hose | ||
| Hose internal diameter | 9.52 mm | |
| Hose mean diameter | 13.02 mm | |
| Hose thickness | 3.50 mm | |
| Hose Young’s modulus | 4–10 GPa * | |
| Hose internal area | 71.18 mm2 | |
| Hose length | 1.83 m | |
| Cylinders | ||
| Slave piston diameter | 40 mm | |
| Slave piston area | 1257 mm2 | |
| Slave cylinder stroke | 80 mm | |
| Slave piston mass | 0.67 kg | |
| Master piston diameter | 32 mm | |
| Master piston area | 804.3 mm2 | |
| Master cylinder stroke | 115 mm | |
| Master piston mass | 0.26 kg | |
| Oil | ||
| Mineral oil density | 875 kg·m−3 | |
| Oil bulk modulus | 2.07 GPa | |
| Oil volume in slave cylinder | 1.01 × 10−4 m3 | |
| Oil volume in master cylinder | 9.25 × 10−5 m3 | |
| Oil volume in accumulator | 5.08 × 10−4 m3 | |
| Oil volume in hose | 1.3 × 10−4 m3 | |
| Inertia of mechanical components in rack gear reference | ||
| Clutch inertia | 0.53 kg | |
| Gear box inertia | 4.11 kg | |
| Rack and rail inertia | 5.05 kg | |
Disclaimer/Publisher’s Note: The statements, opinions and data contained in all publications are solely those of the individual author(s) and contributor(s) and not of MDPI and/or the editor(s). MDPI and/or the editor(s) disclaim responsibility for any injury to people or property resulting from any ideas, methods, instructions or products referred to in the content. |
© 2023 by the authors. Licensee MDPI, Basel, Switzerland. This article is an open access article distributed under the terms and conditions of the Creative Commons Attribution (CC BY) license (https://creativecommons.org/licenses/by/4.0/).
Share and Cite
Mallette, G.; Gauthier, C.-É.; Hemmatian, M.; Denis, J.; Plante, J.-S. Design and Experimental Assessment of a Vibration Control System Driven by Low Inertia Hydrostatic Magnetorheological Actuators for Heavy Equipment. Actuators 2023, 12, 407. https://doi.org/10.3390/act12110407
Mallette G, Gauthier C-É, Hemmatian M, Denis J, Plante J-S. Design and Experimental Assessment of a Vibration Control System Driven by Low Inertia Hydrostatic Magnetorheological Actuators for Heavy Equipment. Actuators. 2023; 12(11):407. https://doi.org/10.3390/act12110407
Chicago/Turabian StyleMallette, Gabrielle, Charles-Étienne Gauthier, Masoud Hemmatian, Jeff Denis, and Jean-Sébastien Plante. 2023. "Design and Experimental Assessment of a Vibration Control System Driven by Low Inertia Hydrostatic Magnetorheological Actuators for Heavy Equipment" Actuators 12, no. 11: 407. https://doi.org/10.3390/act12110407
APA StyleMallette, G., Gauthier, C.-É., Hemmatian, M., Denis, J., & Plante, J.-S. (2023). Design and Experimental Assessment of a Vibration Control System Driven by Low Inertia Hydrostatic Magnetorheological Actuators for Heavy Equipment. Actuators, 12(11), 407. https://doi.org/10.3390/act12110407

