Modal Behavior of Microcantilevers Arrays with Tunable Electrostatic Coupling
Abstract
:1. Introduction
2. Formulation
3. Eigenvalues and Eigenvectors of Electrostatically Coupled Arrays
3.1. Two-Beams System
3.2. Three Beams Array
3.3. Four Beams Array
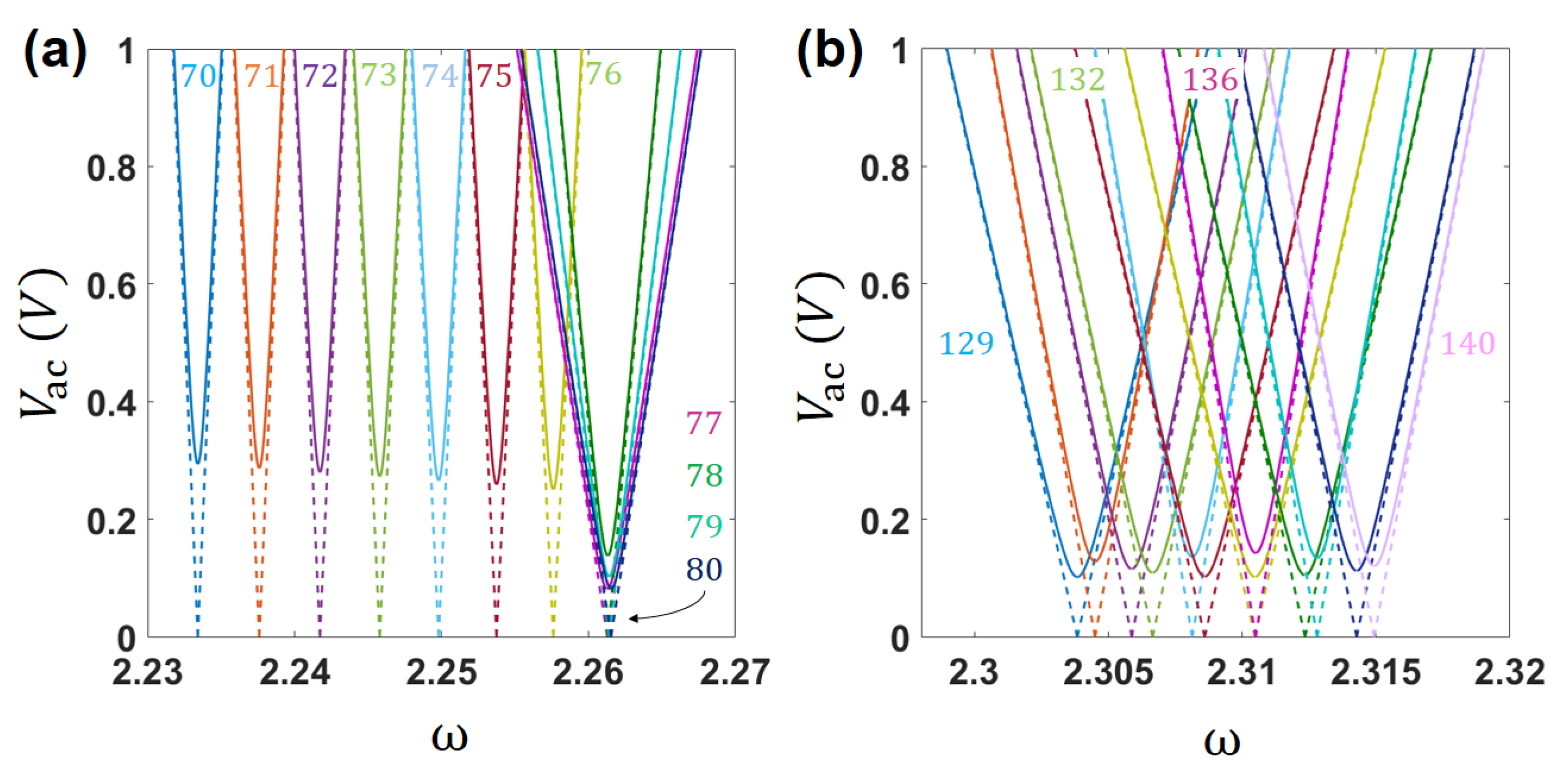
3.4. Large Uniform Arrays
4. Parametric Resonances and Pattern Switching in an Array with Subcritical ES Coupling
4.1. Single Degree of Freedom Reduced Order Model
4.2. Numerical Analysis
5. Discussion
6. Conclusions
Author Contributions
Funding
Data Availability Statement
Acknowledgments
Conflicts of Interest
References
- Haronian, D.; MacDonald, N.C. A microelectromechanics-based frequency-signature sensor. Sens. Actuators A Phys. 1996, 53, 288–298. [Google Scholar] [CrossRef]
- Lifshitz, R.; Cross, M. Nonlinear dynamics of Nanomechanical Resonators. In Nonlinear Dynamics of Nanosystems; Wiley: Hoboken, NJ, USA, 2010; pp. 221–266. [Google Scholar]
- Rhoads, J.; Shaw, S.; Turner, K. Nonlinear dynamics and its applications in micro- and nanoresonators. J. Dyn. Syst. Meas. Control. Trans. ASME 2010, 132, 1–14. [Google Scholar] [CrossRef]
- Sato, M.; Hubbard, B.E.; Sievers, A.J. Colloquium: Nonlinear energy localization and its manipulation in micromechanical oscillator arrays. Rev. Mod. Phys. 2006, 78, 137–157. [Google Scholar] [CrossRef]
- Baguet, S.; Nguyen, V.-N.; Grenat, C.; Lamarque, C.-H.; Dufour, R. Nonlinear dynamics of micromechanical resonator arrays for mass sensing. Nonlinear Dyn. 2019, 95, 1203–1220. [Google Scholar] [CrossRef]
- Kambali, P.N.; Torres, F.; Barniol, N.; Gottlieb, O. Nonlinear multi-element interactions in an elastically coupled microcantilever array subject to electrodynamic excitation. Nonlinear Dyn. 2019, 98, 3067–3094. [Google Scholar] [CrossRef]
- Wallin, C.B.; De Alba, R.; Westly, D.; Holland, G.; Grutzik, S.; Rand, R.H.; Zehnder, A.T.; Aksyuk, V.A.; Krylov, S.; Ilic, B.R. Nondegenerate Parametric Resonance in Large Ensembles of Coupled Micromechanical Cantilevers with Varying Natural Frequencies. Phys. Rev. Lett. 2018, 121, 264301. [Google Scholar] [CrossRef] [PubMed]
- Bhaskar, A.; Shayak, B.; Rand, R.H.; Zehnder, A.T. Synchronization characteristics of an array of coupled MEMS limit cycle oscillators. Int. J. Non-Linear Mech. 2021, 128, 103634. [Google Scholar] [CrossRef]
- Grenat, C.; Baguet, S.; Lamarque, C.-H.; Dufour, R. Mass sensing by symmetry breaking and localization of motion in an array of electrostatically coupled nonlinear MEMS resonators. Int. J. Non-Linear Mech. 2022, 140, 103903. [Google Scholar] [CrossRef]
- Formica, G.; Lacarbonara, W.; Yabuno, H. Nonlinear Dynamic Response of Nanocomposite Microbeams Array for Multiple Mass Sensing. Nanomaterials 2023, 13, 1808. [Google Scholar] [CrossRef]
- Kenig, E.; Malomed, B.A.; Cross, M.C.; Lifshitz, R. Intrinsic localized modes in parametrically driven arrays of nonlinear resonators. Phys. Rev. E 2009, 80, 046202. [Google Scholar] [CrossRef]
- Buks, E.; Roukes, M. Electrically tunable collective response in a coupled micromechanical array. J. Microelectromechanical Syst. 2002, 11, 802–807. [Google Scholar] [CrossRef]
- Lifshitz, R.; Cross, M.C. Response of parametrically driven nonlinear coupled oscillators with application to micromechanical and nanomechanical resonator arrays. Phys. Rev. B 2003, 67, 134302. [Google Scholar] [CrossRef]
- Gutschmidt, S.; Gottlieb, O. Nonlinear dynamic behavior of a microbeam array subject to parametric actuation at low, medium and large DC-voltages. Nonlinear Dyn. 2012, 67, 1–36. [Google Scholar] [CrossRef]
- Isacsson, A.; Kinaret, J.M. Parametric resonances in electrostatically interacting carbon nanotube arrays. Phys. Rev. B 2009, 79, 165418. [Google Scholar] [CrossRef]
- Krylov, S.; Lulinsky, S.; Ilic, B.R.; Schneider, I. Collective dynamics of arrays of micro cantilevers interacting through fringing electrostatic fields. In Proceedings of the ASME 2014 International Design Engineering Technical Conferences and Computers and Information in Engineering Conference, American Society of Mechanical Engineers, Buffalo, NY, USA, 17–20 August 2014; p. V004T09A009. [Google Scholar]
- Krylov, S.; Lulinsky, S.; Ilic, B.R.; Schneider, I. Collective dynamics and pattern switching in an array of parametrically excited micro cantilevers interacting through fringing electrostatic fields. Appl. Phys. Lett. 2014, 105, 071909. [Google Scholar] [CrossRef]
- Romeo, F.; Rega, G. Periodic and localized solutions in chains of oscillators with softening or hardening cubic nonlinearity. Meccanica 2015, 50, 721–730. [Google Scholar] [CrossRef]
- Sato, M.; Imai, S.; Fujita, N.; Nishimura, S.; Takao, Y.; Sada, Y.; Hubbard, B.E.; Ilic, B.; Sievers, A.J. Experimental Observation of the Bifurcation Dynamics of an Intrinsic Localized Mode in a Driven 1D Nonlinear Lattice. Phys. Rev. Lett. 2011, 107, 234101. [Google Scholar] [CrossRef] [PubMed]
- Kenig, E.; Lifshitz, R.; Cross, M.C. Pattern selection in parametrically driven arrays of nonlinear resonators. Phys. Rev. E 2009, 79, 026203. [Google Scholar] [CrossRef]
- Dick, N.; Krylov, S. Parametric resonance and pattern selection in an array of microcantilevers interacting through fringing electrostatic fields. Nonlinear Dyn. 2022, 107, 1703–1723. [Google Scholar] [CrossRef]
- Spletzer, M.; Raman, A.; Sumali, H.; Sullivan, J.P. Highly sensitive mass detection and identification using vibration localization in coupled microcantilever arrays. Appl. Phys. Lett. 2008, 92, 114102. [Google Scholar] [CrossRef]
- DeMartini, B.E.; Rhoads, J.F.; Zielke, M.A.; Owen, K.G.; Shaw, S.W.; Turner, K.L. A single input-single output coupled microresonator array for the detection and identification of multiple analytes. Appl. Phys. Lett. 2008, 93, 054102. [Google Scholar] [CrossRef]
- Boisen, A.; Thundat, T. Design & fabrication of cantilever array biosensors. Mater. Today 2009, 12, 32–38. [Google Scholar]
- Villarroya, M.; Verd, J.; Teva, J.; Abadal, G.; Forsen, E.; Murano, F.P.; Uranga, A.; Figueras, E.; Montserrat, J.; Esteve, J.; et al. System on chip mass sensor based on polysilicon cantilevers arrays for multiple detection. Sens. Actuators A Phys. 2006, 132, 154–164. [Google Scholar] [CrossRef]
- Lulec, S.Z.; Adiyan, U.; Yaralioglu, G.G.; Leblebici, Y.; Urey, H. MEMS cantilever sensor array oscillators: Theory and experiments. Sens. Actuators A Phys. 2016, 237, 147–154. [Google Scholar] [CrossRef]
- Karabalin, R.B.; Villanueva, L.G.; Matheny, M.H.; Sader, J.E.; Roukes, M.L. Stress-induced variations in the stiffness of micro- and nanocantilever beams. Phys. Rev. Lett. 2012, 108, 236101. [Google Scholar] [CrossRef] [PubMed]
- Sato, M.; Sada, Y.; Shi, W.; Shige, S.; Ishikawa, T.; Soga, Y.; Hubbard, B.E.; Ilic, B.; Sievers, A.J. Dynamics of impurity attraction and repulsion of an intrinsic localized mode in a driven 1-D cantilever array. Chaos Interdiscip. J. Nonlinear Sci. 2014, 25, 013103. [Google Scholar] [CrossRef] [PubMed]
- Kambali, P.N.; Pandey, A.K. Capacitance and Force Computation Due to Direct and Fringing Effects in MEMS/NEMS Arrays. IEEE Sens. J. 2016, 16, 375–382. [Google Scholar] [CrossRef]
- Kambali, P.N.; Swain, G.; Pandey, A.K.; Buks, E.; Gottlieb, O. Coupling and tuning of modal frequencies in direct current biased microelectromechanical systems arrays. Appl. Phys. Lett. 2015, 107, 063104. [Google Scholar] [CrossRef]
- Porfiri, M. Vibrations of parallel arrays of electrostatically actuated microplates. J. Sound Vib. 2008, 315, 1071–1085. [Google Scholar] [CrossRef]
- Dick, N.; Grutzik, S.; Wallin, C.B.; Ilic, B.R.; Krylov, S.; Zehnder, A.T. Actuation of Higher Harmonics in Large Arrays of Micromechanical Cantilevers for Expanded Resonant Peak Separation. J. Vib. Acoust. 2018, 140, 051013. [Google Scholar] [CrossRef]
- Ono, T.; Tanno, K.; Kawai, Y. Synchronized micromechanical resonators with a nonlinear coupling element. J. Micromech. Microeng. 2014, 24, 025012. [Google Scholar] [CrossRef]
- Gottlieb, H. Extension of a text-book problem to curve veering for coupled pendulums. J. Sound Vib. 1987, 113, 185–187. [Google Scholar] [CrossRef]
- Meirovitch, L. Fundamentals of Vibrations; McGraw-Hill: Boston, MA, USA, 2001. [Google Scholar]
- Rand, R.H. Lecture Notes on Nonlinear Vibrations; Cornell University: Ithaca, NY, USA, 2012; Rev. 53; Available online: https://ecommons.cornell.edu/handle/1813/28989 (accessed on 5 August 2023).
- Rhoads, J.; Guo, C.; Fedder, G.K. Parametrically Excited Micro- and Nanosystems in Resonant MEMS: Fundamentals, Implementation, and Application; Wiley: Hoboken, NJ, USA, 2015; pp. 73–95. [Google Scholar]
- Le Traon, O.; Janiaud, D.; Lecorre, B.; Pernice, M.; Muller, S.; Tridera, J.-Y. Monolithic differential vibrating beam accelerometer within an isolating system between the two resonators. In Proceedings of the IEEE Sensors Conference, Irvine, CA, USA, 30 October–3 November 2005; pp. 648–651. [Google Scholar]
- Pachkawade, V. State-of-the-Art in Mode-Localized MEMS Coupled Resonant Sensors: A Comprehensive Review. IEEE Sens. J. 2021, 12, 8751–8779. [Google Scholar] [CrossRef]
- Yabuno, H. Review of applications of self-excited oscillations to highly sensitive vibrational sensors. Zamm-Z. Angew. Math. Und Mech. 2021, 10, e201900009. [Google Scholar] [CrossRef]
- Ilic, B.; Craighead, H.G.; Krylov, S.; Senaratne, W.; Ober, C.; Neuzil, P. Attogram detection using nanoelectromechanical oscillators. J. Appl. Phys. 2004, 95, 3694–3703. [Google Scholar] [CrossRef]















| Quantity | Description | Value (μm) |
|---|---|---|
| Overhang length | 100 | |
| The longest beam length | 500 | |
| The shortest beam length | 350 | |
| Beam width | 16 | |
| Thickness of the beam/overhang | 5 | |
| Electrode length (overlap) | 150 | |
| Gap between the beams | 5 | |
| Pitch between the adjacent beams | 21 |
| Parameter | Two Beams Array | Three+ Beams Array |
|---|---|---|
| ES coupling | ||
| Detuning | ||
| Elastic coupling |
| Case | Uniform Array | Symmetric Array |
|---|---|---|
| Case | Pure mechanical coupling | Symmetric array, pure ES coupling |
| , | ||
| 1 | ||
Disclaimer/Publisher’s Note: The statements, opinions and data contained in all publications are solely those of the individual author(s) and contributor(s) and not of MDPI and/or the editor(s). MDPI and/or the editor(s) disclaim responsibility for any injury to people or property resulting from any ideas, methods, instructions or products referred to in the content. |
© 2023 by the authors. Licensee MDPI, Basel, Switzerland. This article is an open access article distributed under the terms and conditions of the Creative Commons Attribution (CC BY) license (https://creativecommons.org/licenses/by/4.0/).
Share and Cite
Dick, N.; Krylov, S. Modal Behavior of Microcantilevers Arrays with Tunable Electrostatic Coupling. Actuators 2023, 12, 386. https://doi.org/10.3390/act12100386
Dick N, Krylov S. Modal Behavior of Microcantilevers Arrays with Tunable Electrostatic Coupling. Actuators. 2023; 12(10):386. https://doi.org/10.3390/act12100386
Chicago/Turabian StyleDick, Nir, and Slava Krylov. 2023. "Modal Behavior of Microcantilevers Arrays with Tunable Electrostatic Coupling" Actuators 12, no. 10: 386. https://doi.org/10.3390/act12100386
APA StyleDick, N., & Krylov, S. (2023). Modal Behavior of Microcantilevers Arrays with Tunable Electrostatic Coupling. Actuators, 12(10), 386. https://doi.org/10.3390/act12100386

