Electromechanical Natural Frequency Analysis of an Eco-Friendly Active Sandwich Plate
Abstract
:1. Introduction
2. Modeling of the Structure
2.1. Material Properties
2.2. Governing Equations
3. Meshless Solution
4. Results and Discussions
4.1. Validation
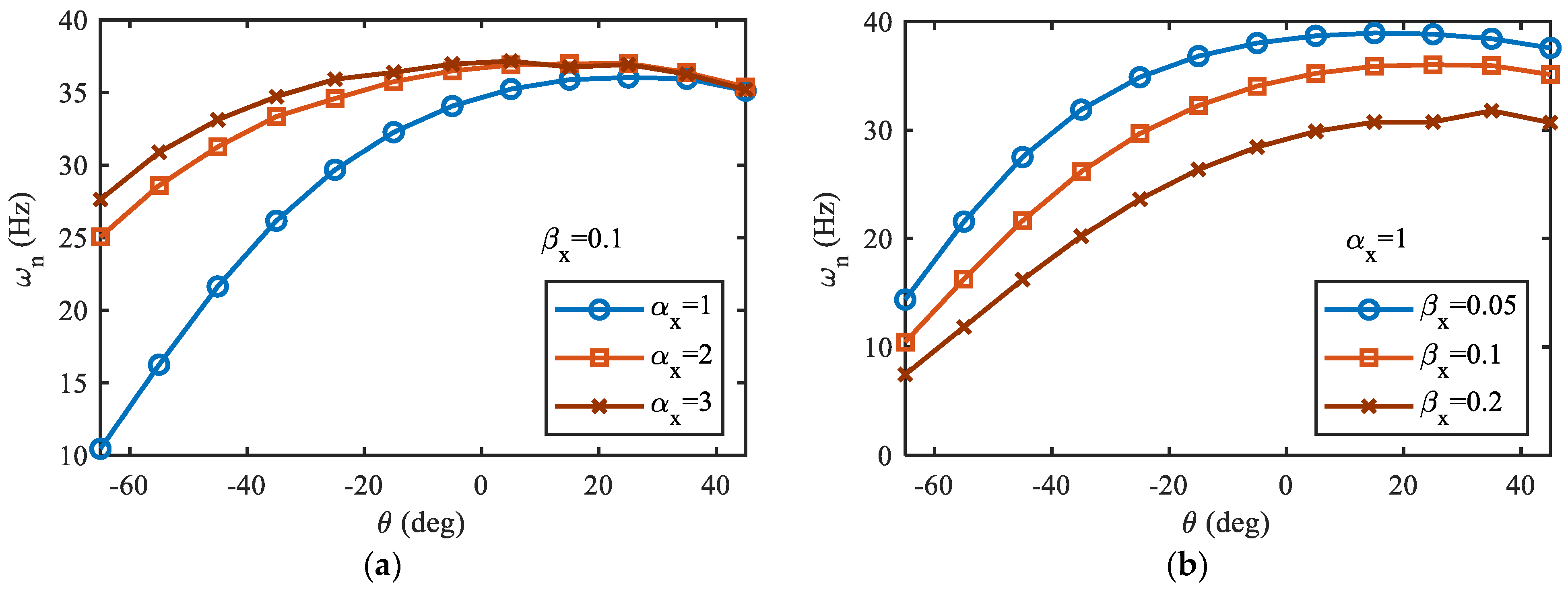
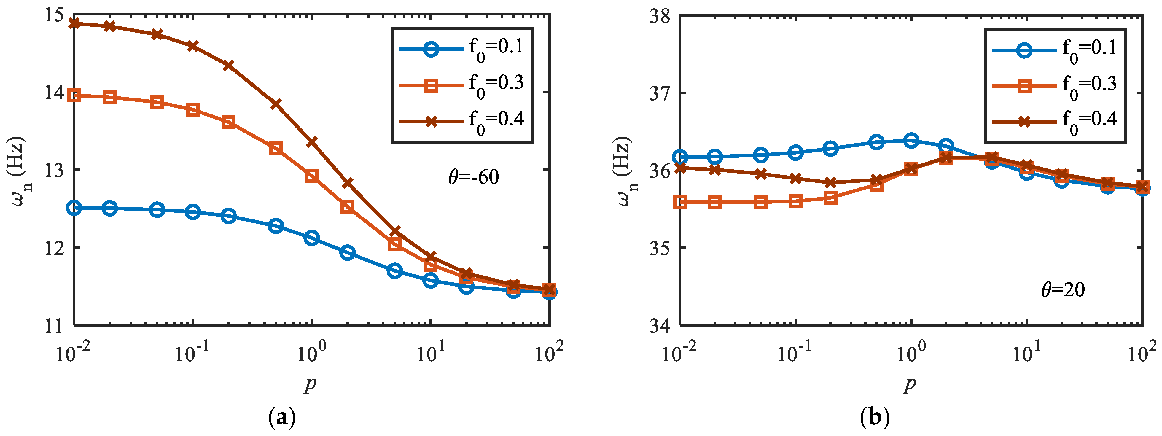
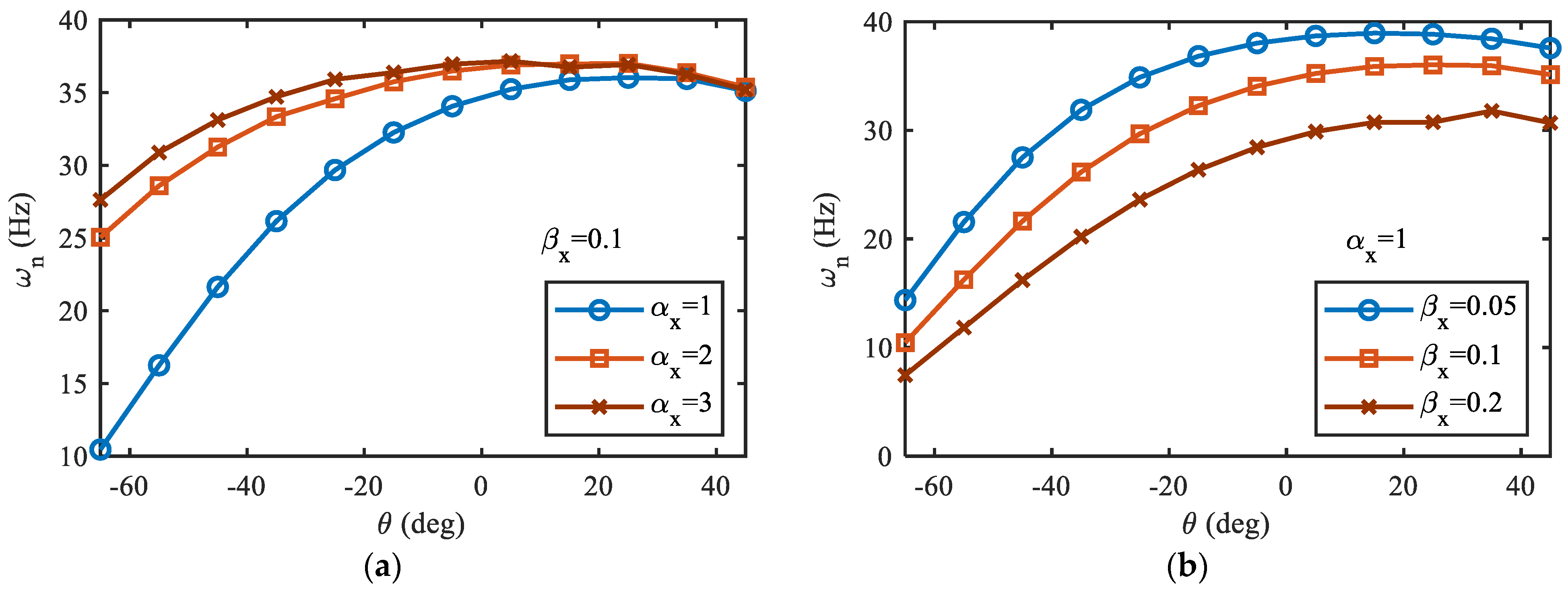
4.2. Frequencies of the Proposed ASP
5. Conclusions
- ASPs with an auxetic (negative Poisson’s ratio) core have much lower natural frequencies in comparison with ASPs with a honeycomb core ().
- The increase in cell wall length ratio or the decrease in the slenderness ratio in core layer increases the natural frequency of ASPs.
- The increase in nanowire volume or changing the nanowire distribution pattern considerably affects the natural frequencies of ASPs with an auxetic core.
- According to Table 2, it is expected that the proposed ASP would be weaker than structures that are activated with traditional piezoceramics in terms of electrical-mechanical energy conversion, although the proposed ASP is an eco-friendly and bio-compatible structure.
- Furthermore, the effect of the electrical terminal set-up on the natural frequencies was found insignificant. Nevertheless, the electrical terminal set-up plays a crucial role in the electrical functionality of the device.
- Another concern of the proposed ASP is some manufacturing limitations associated with auxetic core, which mainly needs to be 3D-printed.
Author Contributions
Funding
Institutional Review Board Statement
Informed Consent Statement
Data Availability Statement
Acknowledgments
Conflicts of Interest
References
- Kundalwal, S.I.; Ray, M.C. Smart Damping of Fuzzy Fiber Reinforced Composite Plates Using 1-3 Piezoelectric Composites. J. Vib. Control 2016, 22, 1526–1546. [Google Scholar] [CrossRef]
- Liang, H.; Hao, G.; Olszewski, O.Z. A Review on Vibration-Based Piezoelectric Energy Harvesting from the Aspect of Compliant Mechanisms. Sens. Actuators A Phys. 2021, 331, 112743. [Google Scholar] [CrossRef]
- Yang, Z.; Zhou, S.; Zu, J.; Inman, D. High-Performance Piezoelectric Energy Harvesters and Their Applications. Joule 2018, 2, 642–697. [Google Scholar] [CrossRef]
- Grilli, L.; Casset, F.; Bressy, C.; Brisset, H.; Briand, J.-F.; Barry-Martinet, R.; Colin, M. Development, Optimization, Biological Assays, and In Situ Field Immersion of a Transparent Piezoelectric Vibrating System for Antifouling Applications. Actuators 2022, 11, 47. [Google Scholar] [CrossRef]
- Sezer, N.; Koç, M. A Comprehensive Review on the State-of-the-Art of Piezoelectric Energy Harvesting. Nano Energy 2021, 80, 105567. [Google Scholar] [CrossRef]
- Liu, L.; Guo, X.; Lee, C. Promoting Smart Cities into the 5G Era with Multi-Field Internet of Things (IoT) Applications Powered with Advanced Mechanical Energy Harvesters. Nano Energy 2021, 88, 106304. [Google Scholar] [CrossRef]
- Zhao, Z.; Dai, Y.; Dou, S.X.; Liang, J. Flexible Nanogenerators for Wearable Electronic Applications Based on Piezoelectric Materials. Mater. Today Energy 2021, 20. [Google Scholar] [CrossRef]
- Sharma, S.; Vig, R.; Kumar, N. Finite Element Modeling of Smart Piezo Structure: Considering Dependence of Piezoelectric Coefficients on Electric Field. Mech. Based Des. Struct. Mach. 2016, 44, 372–383. [Google Scholar] [CrossRef]
- Krishnaswamy, J.A.; Buroni, F.C.; Garcia-Sanchez, F.; Melnik, R.; Rodriguez-Tembleque, L.; Saez, A. Lead-Free Piezocomposites with CNT-Modified Matrices: Accounting for Agglomerations and Molecular Defects. Compos. Struct. 2019, 224, 111033. [Google Scholar] [CrossRef]
- Tan, P.; Tong, L. Micro-Electromechanics Models for Piezoelectric-Fiber-Reinforced Composite Materials. Compos. Sci. Technol. 2001, 61, 759–769. [Google Scholar] [CrossRef]
- Mosallaie Barzoki, A.A.; Ghorbanpour Arani, A.; Kolahchi, R.; Mozdianfard, M.R. Electro-Thermo-Mechanical Torsional Buckling of a Piezoelectric Polymeric Cylindrical Shell Reinforced by DWBNNTs with an Elastic Core. Appl. Math. Model. 2012, 36, 2983–2995. [Google Scholar] [CrossRef]
- Fan, Z.; Mo, X.; Lou, C.; Yao, Y.; Wang, D.; Chen, G.; Lu, J.G. Structures and Electrical Properties of Ag-Tetracyanoquinodimethane Organometallic Nanowires. Nanotechnol. IEEE Trans. 2005, 4, 238–241. [Google Scholar] [CrossRef]
- Qin, Y.; Wang, X.; Wang, Z.L. Microfibre-Nanowire Hybrid Structure for Energy Scavenging. Nature 2008, 451, 809–814. [Google Scholar] [CrossRef] [PubMed]
- Wang, Z.L.; Song, J. Piezoelectric Nanogenerators Based on Zinc Oxide Nanowire Arrays. Science 2006, 312, 242–246. [Google Scholar] [PubMed]
- Momeni, K. A Multiscale Approach to Nanocomposite Electrical Generators. Nano Energy 2014, 4, 132–139. [Google Scholar] [CrossRef]
- Saravanakumar, B.; Thiyagarajan, K.; Alluri, N.R.; SoYoon, S.; Taehyun, K.; Lin, Z.H.; Kim, S.J. Fabrication of an Eco-Friendly Composite Nanogenerator for Self-Powered Photosensor Applications. Carbon N. Y. 2015, 84, 56–65. [Google Scholar] [CrossRef]
- Moradi-Dastjerdi, R.; Behdinan, K. Dynamic Performance of Piezoelectric Energy Harvesters with a Multifunctional Nanocomposite Substrate. Appl. Energy 2021, 293, 116947. [Google Scholar] [CrossRef]
- Setoodeh, A.R.; Shojaee, M.; Malekzadeh, P. Application of Transformed Differential Quadrature to Free Vibration Analysis of FG-CNTRC Quadrilateral Spherical Panel with Piezoelectric Layers. Comput. Methods Appl. Mech. Engrg. 2018, 335, 510–537. [Google Scholar] [CrossRef]
- Zhang, J.; Zhang, J.; Shu, C.; Fang, Z. Enhanced Piezoelectric Wind Energy Harvesting Based on a Buckled Beam. Appl. Phys. Lett. 2017, 110, 183903. [Google Scholar] [CrossRef]
- Ansari, M.H.; Karami, M.A. Energy Harvesting from Controlled Buckling of Piezoelectric Beams. Smart Mater. Struct. 2015, 24, 115005. [Google Scholar] [CrossRef]
- Malekzadeh, P.; Setoodeh, A.R.; Shojaee, M. Vibration of FG-GPLs Eccentric Annular Plates Embedded in Piezoelectric Layers Using a Transformed Differential Quadrature Method. Comput. Methods Appl. Mech. Eng. 2018, 340, 451–479. [Google Scholar] [CrossRef]
- Sobhani, E.; Masoodi, A.R. Natural Frequency Responses of Hybrid Polymer/Carbon Fiber/FG-GNP Nanocomposites Paraboloidal and Hyperboloidal Shells Based on Multiscale Approaches. Aerosp. Sci. Technol. 2021, 119, 107111. [Google Scholar] [CrossRef]
- Liu, Y.; Hu, W.; Zhu, R.; Safaei, B.; Qin, Z.; Chu, F. Dynamic Responses of Corrugated Cylindrical Shells Subjected to Nonlinear Low-Velocity Impact. Aerosp. Sci. Technol. 2022, 121, 107321. [Google Scholar] [CrossRef]
- Sheikh, T.; Behdinan, K. Multiscale Analysis of Laminates Printed by 3D Printing Fused Deposition Modeling Method. Adv. Compos. Mater. Struct. 2022, 233–243. [Google Scholar] [CrossRef]
- Sobhani, E.; Masoodi, A.R.; Ahmadi-Pari, A.R. Vibration of FG-CNT and FG-GNP Sandwich Composite Coupled Conical-Cylindrical-Conical Shell. Compos. Struct. 2021, 273, 114281. [Google Scholar] [CrossRef]
- Sobhani, E.; Arbabian, A.; Civalek, Ö. The Free Vibration Analysis of Hybrid Porous Nanocomposite Joined Hemispherical-Cylindrical-Conical Shells. Eng. Comput. 2021. [Google Scholar] [CrossRef]
- Trivedi, N.; Das, S.; Craciun, E.-M. The Mathematical Study of an Edge Crack in Two Different Specified Models under Time-Harmonic Wave Disturbance. Mech. Compos. Mater. 2022. [Google Scholar] [CrossRef]
- Alian, A.R.; Meguid, S.A.; Kundalwal, S.I. Unraveling the Influence of Grain Boundaries on the Mechanical Properties of Polycrystalline Carbon Nanotubes. Carbon N. Y. 2017, 125, 180–188. [Google Scholar] [CrossRef]
- Moradi-Dastjerdi, R.; Behdinan, K. Stress Waves in Thick Porous Graphene-Reinforced Cylinders under Thermal Gradient Environments. Aerosp. Sci. Technol. 2021, 110, 106476. [Google Scholar] [CrossRef]
- Ghahramani, P.; Behdinan, K.; Moradi-Dastjerdi, R.; Naguib, H.E. Theoretical and Experimental Investigation of MWCNT Dispersion Effect on the Elastic Modulus of Flexible PDMS / MWCNT Nanocomposites. Nanotechnol. Rev. 2022, 11, 55–64. [Google Scholar] [CrossRef]
- Yasin Alibar, M.; Safaei, B.; Asmael, M.; Zeeshan, Q. Effect of Carbon Nanotubes and Porosity on Vibrational Behavior of Nanocomposite Structures: A Review. Arch. Comput. Methods Eng. 2022, 29, 2621–2657. [Google Scholar] [CrossRef]
- Pan, S.; Feng, J.; Safaei, B.; Qin, Z.; Chu, F.; Hui, D. A Comparative Experimental Study on Damping Properties of Epoxy Nanocomposite Beams Reinforced with Carbon Nanotubes and Graphene Nanoplatelets. Nanotechnol. Rev. 2022, 11, 1658–1669. [Google Scholar] [CrossRef]
- Chang, E.; Ameli, A.; Alian, A.R.; Mark, L.H.; Yu, K.; Wang, S.; Park, C.B. Percolation Mechanism and Effective Conductivity of Mechanically Deformed 3-Dimensional Composite Networks: Computational Modeling and Experimental Verification. Compos. Part B Eng. 2021, 207, 108552. [Google Scholar] [CrossRef]
- Nuhu, A.A.; Safaei, B. A Comprehensive Review on the Vibration Analyses of Small-Scaled Plate-Based Structures by Utilizing the Nonclassical Continuum Elasticity Theories. Thin-Walled Struct. 2022, 179, 109622. [Google Scholar] [CrossRef]
- Moradi-Dastjerdi, R.; Meguid, S.A.; Rashahmadi, S. Electro-Dynamic Analysis of Smart Nanoclay-Reinforced Plates with Integrated Piezoelectric Layers. Appl. Math. Model. 2019, 75, 267–278. [Google Scholar] [CrossRef]
- Moradi-Dastjerdi, R.; Malek-Mohammadi, H.; Momeni-Khabisi, H. Free Vibration Analysis of Nanocomposite Sandwich Plates Reinforced with CNT Aggregates. ZAMM-J. Appl. Math. Mech./Zeitschrift fur Angew. Math. Mech. 2017, 97, 1418–1435. [Google Scholar] [CrossRef]
- Sobhani, E.; Masoodi, A.R.; Civalek, O.; Ahmadi-Pari, A.R. Agglomerated Impact of CNT vs. GNP Nanofillers on Hybridization of Polymer Matrix for Vibration of Coupled Hemispherical-Conical-Conical Shells. Aerosp. Sci. Technol. 2022, 120, 107257. [Google Scholar] [CrossRef]
- Moradi-Dastjerdi, R.; Rashahmadi, S.; Meguid, S.A. Electro-Mechanical Performance of Smart Piezoelectric Nanocomposite Plates Reinforced by Zinc Oxide and Gallium Nitride Nanowires. Mech. Based Des. Struct. Mach. 2022, 50, 1954–1967. [Google Scholar] [CrossRef]
- Moradi-Dastjerdi, R.; Behdinan, K. Biaxial Buckling Analysis of an Innovative Active Sandwich Plate. Mech. Based Des. Struct. Mach. 2022, 1–14. [Google Scholar] [CrossRef]
- Behdinan, K.; Moradi-Dastjerdi, R. Thermal Buckling Resistance of a Lightweight Lead-Free Piezoelectric Nanocomposite Sandwich Plate. Adv. Nano Res. 2022, 12, 593–603. [Google Scholar]
- De Bellis, M.L.; Bacigalupo, A.; Zavarise, G. Characterization of Hybrid Piezoelectric Nanogenerators through Asymptotic Homogenization. Comput. Methods Appl. Mech. Eng. 2019, 355, 1148–1186. [Google Scholar] [CrossRef] [Green Version]
- Choi, M.; Murillo, G.; Hwang, S.; Kim, J.W.; Jung, J.H.; Chen, C.Y.; Lee, M. Mechanical and Electrical Characterization of PVDF-ZnO Hybrid Structure for Application to Nanogenerator. Nano Energy 2017, 33, 462–468. [Google Scholar] [CrossRef]
- Arshid, E.; Amir, S.; Loghman, A. Bending and Buckling Behaviors of Heterogeneous Temperature-Dependent Micro Annular/Circular Porous Sandwich Plates Integrated by FGPEM Nano-Composite Layers. J. Sandw. Struct. Mater. 2021, 23, 3836–3877. [Google Scholar] [CrossRef]
- Hu, C.; Behdinan, K.; Moradi-Dastjerdi, R. PVDF Energy Harvester for Prolonging the Battery Life of Cardiac Pacemakers. Actuators 2022, 11, 187. [Google Scholar] [CrossRef]
- Kim, J.; Byun, S.; Lee, S.; Ryu, J.; Cho, S.; Oh, C.; Kim, H.; No, K.; Ryu, S.; Lee, Y.M.; et al. Cost-Effective and Strongly Integrated Fabric-Based Wearable Piezoelectric Energy Harvester. Nano Energy 2020, 75, 104992. [Google Scholar] [CrossRef]
- Angelou, A.; Norman, C.; Miran, N.; Albers, S.; Moradi-Dastjerdi, R.; Behdinan, K. An Eco-Friendly, Biocompatible and Reliable Piezoelectric Nanocomposite Actuator for the New Generation of Microelectronic Devices. Eur. Phys. J. Plus 2021, 136, 678. [Google Scholar] [CrossRef]
- Zhao, X.; Shang, Z.; Luo, G.; Deng, L. A Vibration Energy Harvester Using AlN Piezoelectric Cantilever Array. Microelectron. Eng. 2015, 142, 47–51. [Google Scholar] [CrossRef]
- Elfrink, R.; Kamel, T.M.; Goedbloed, M.; Matova, S.; Hohlfeld, D.; van Andel, Y.; van Schaijk, R. Vibration Energy Harvesting with Aluminum Nitride-Based Piezoelectric Devices. J. Micromech. Microeng 2009, 19, 094005. [Google Scholar] [CrossRef]
- Meschino, M.; Wang, L.; Xu, H.; Moradi-Dastjerdi, R.; Behdinan, K. Low-Frequency Nanocomposite Piezoelectric Energy Harvester with Embedded Zinc Oxide Nanowires. Polym. Compos. 2021, 42, 4573–4585. [Google Scholar] [CrossRef]
- Duc, N.D.; Cong, P.H. Nonlinear Dynamic Response and Vibration of Sandwich Composite Plates with Negative Poisson’s Ratio in Auxetic Honeycombs. J. Sandw. Struct. Mater. 2018, 20, 692–717. [Google Scholar] [CrossRef]
- Moradi-Dastjerdi, R.; Behdinan, K. Thermo-Electro-Mechanical Behavior of an Advanced Smart Lightweight Sandwich Plate. Aerosp. Sci. Technol. 2020, 106, 106142. [Google Scholar] [CrossRef]
- Tran, L.V.; Thai, C.H.; Nguyen-xuan, H. An Isogeometric Finite Element Formulation for Thermal Buckling Analysis of Functionally Graded Plates. Finite Elem. Anal. Des. 2013, 73, 65–76. [Google Scholar] [CrossRef]
- Reddy, J.N. Mechanics of Laminated Composite Plates and Shells: Theory and Analysis; CRC Press: Boca Raton, FL, USA, 2004; ISBN 0849315921. [Google Scholar]
- Lancaster, P.; Salkauskas, K. Surface Generated by Moving Least Squares Methods. Math. Comput. 1981, 37, 141–158. [Google Scholar] [CrossRef]
- Yasmin, A.; Luo, J.J.; Abot, J.L.; Daniel, I.M. Mechanical and Thermal Behavior of Clay/Epoxy Nanocomposites. Compos. Sci. Technol. 2006, 66, 2415–2422. [Google Scholar] [CrossRef]
- Berger, H.; Kari, S.; Gabbert, U.; Rodriguez-Ramos, R.; Guinovart, R.; Otero, J.A.; Bravo-Castillero, J. An Analytical and Numerical Approach for Calculating Effective Material Coefficients of Piezoelectric Fiber Composites. Int. J. Solids Struct. 2005, 42, 5692–5714. [Google Scholar] [CrossRef]
- Shen, H.-S. Postbuckling of Nanotube-Reinforced Composite Cylindrical Shells in Thermal Environments, Part I: Axially-Loaded Shells. Compos. Struct. 2011, 93, 2096–2108. [Google Scholar] [CrossRef]
- Mishra, N.; Krishna, B.; Singh, R.; Das, K. Evaluation of Effective Elastic, Piezoelectric, and Dielectric Properties of SU8/ZnO Nanocomposite for Vertically Integrated Nanogenerators Using Finite Element Method. J. Nanomater. 2017, 2017, 1924651. [Google Scholar] [CrossRef]
- Özgür, Ü.; Alivov, Y.I.; Liu, C.; Teke, A.; Reshchikov, M.A.; Doǧan, S.; Avrutin, V.; Cho, S.J.; Morkoç, H. A Comprehensive Review of ZnO Materials and Devices. J. Appl. Phys. 2005, 98, 041301. [Google Scholar] [CrossRef]
- Askari Farsangi, M.A.; Saidi, A.R. Levy Type Solution for Free Vibration Analysis of Functionally Graded Rectangular Plates with Piezoelectric Layers. Smart Mater. Struct. 2012, 21, 094017. [Google Scholar] [CrossRef]
- Rouzegar, J.; Abad, F. Free Vibration Analysis of FG Plate with Piezoelectric Layers Using Four-Variable Refined Plate Theory. Thin-Walled Struct. 2015, 89, 76–83. [Google Scholar] [CrossRef]







| Reference | 1st Mode | 2nd Mode | 3rd Mode | 4th Mode | 5th Mode |
|---|---|---|---|---|---|
| Rouzegar and Abad [61] | 260.03 | 651.86 | 651.86 | 1047.76 | 1306.58 |
| Askari et al. [60] | 265.11 | 662.20 | 662.20 | 1058.59 | 1322.46 |
| Present | 264.09 | 656.71 | 657.00 | 1046.84 | 1299.86 |
| Electrical Terminals | a/b = 0.5 | a/b = 1 | a/b = 2 | ||||
|---|---|---|---|---|---|---|---|
| −60 | OC | 47.843 | 52.501 | 12.111 | 13.348 | 3.026 | 3.343 |
| CC | 47.838 | 52.481 | 12.110 | 13.344 | 3.026 | 3.342 | |
| −30 | OC | 104.211 | 108.166 | 26.797 | 28.039 | 6.724 | 7.059 |
| CC | 104.199 | 108.128 | 26.794 | 28.030 | 6.723 | 7.057 | |
| −15 | OC | 121.766 | 123.115 | 31.595 | 32.268 | 7.948 | 8.148 |
| CC | 121.752 | 123.075 | 31.592 | 32.258 | 7.947 | 8.146 |
Publisher’s Note: MDPI stays neutral with regard to jurisdictional claims in published maps and institutional affiliations. |
© 2022 by the authors. Licensee MDPI, Basel, Switzerland. This article is an open access article distributed under the terms and conditions of the Creative Commons Attribution (CC BY) license (https://creativecommons.org/licenses/by/4.0/).
Share and Cite
Moradi-Dastjerdi, R.; Behdinan, K. Electromechanical Natural Frequency Analysis of an Eco-Friendly Active Sandwich Plate. Actuators 2022, 11, 261. https://doi.org/10.3390/act11090261
Moradi-Dastjerdi R, Behdinan K. Electromechanical Natural Frequency Analysis of an Eco-Friendly Active Sandwich Plate. Actuators. 2022; 11(9):261. https://doi.org/10.3390/act11090261
Chicago/Turabian StyleMoradi-Dastjerdi, Rasool, and Kamran Behdinan. 2022. "Electromechanical Natural Frequency Analysis of an Eco-Friendly Active Sandwich Plate" Actuators 11, no. 9: 261. https://doi.org/10.3390/act11090261
APA StyleMoradi-Dastjerdi, R., & Behdinan, K. (2022). Electromechanical Natural Frequency Analysis of an Eco-Friendly Active Sandwich Plate. Actuators, 11(9), 261. https://doi.org/10.3390/act11090261

