Development of Variable Viscoelastic Joint Module Performance Evaluation and Proposal of Application Examples
Abstract
:1. Introduction
- A variable viscoelastic Joint Module containing a pneumatic pressure source was developed.
- The basic characteristics evaluation experiment of the Joint Module confirmed that the Joint Module has a variable viscoelastic element.
- Performance evaluation experiments using the Joint Module proved that it is resistant to external disturbances, which is one of the characteristics of variable viscoelastic joints.
- The position of the variable viscoelastic joint as an actuator system was clarified.
2. Concept of the Device Developed
2.1. Modularization of Variable Viscoelastic Devices
- Versatility: New robotic systems can be quickly built, or new functionalities can be enabled by connecting a few identical or similar modules in different configurations. As a result, they can adapt to various tasks and environments;
- Reconfigurability: The configuration (mechanical structure) of a modular robot may be modified from one type to another by changing the connection or combination of modules automatically or manually;
- Scalability: A robot’s degree of freedom can be increased or decreased simply by adding or removing joint modules from the system;
- Low costs: The modules are usually identical and may be mass-produced. The costs of design, manufacture, assembly, and maintenance of systems consisting of modules are much less than those of conventional systems with the same function;
- Fault tolerance: If a module is found to malfunction, it can be replaced with another in a matter of seconds by disconnecting and reconnecting them.
- The device can be driven cordlessly without using an external system such as a household power supply;
- The weight of one Joint Module should be less than 4 kg;
- Multiple joint modules can be used in combination.
2.2. Variable Viscoelastic Joint
2.3. Feedforward Controller (FFC)
3. Overview of Variable Viscoelastic Joint Module (Joint Module)
4. Basic Properties
4.1. Elastic Element Evaluation Experiment
4.1.1. Experimental Environment
4.1.2. Joint Angle Measurement Experiment
4.1.3. Joint Stiffness Measurement Experiment
4.1.4. Output Torque Measurement Experiment
4.2. Viscous Element Evaluation Experiment
4.2.1. Experimental Environment
4.2.2. Experimental Results
5. Characterization of a Variable Viscoelastic Joint Module
5.1. Change in Motion by the Driving Method
5.1.1. Experimental Environment
5.1.2. Driving Method for Instantaneous Motion
- Set the joint angle command to the initial angle and adjust the drive arm position to the initial angle.
- Turn on the MR brake to prevent the drive arm from moving.
- Send the angle command of the target angle while the MR brake is turned on.
- Release the MR brake to move quickly to the target angle (generation of instantaneous motion).
5.1.3. Experimental Results
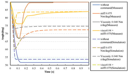
5.2. Response to Disturbance
5.2.1. Modeling of Disturbance Response
5.2.2. Static Load Experiment
5.2.3. Load Removal Experiment
5.2.4. Impact Force Experiment
6. Comparison with Existing Modular Robots
| Comparison Items (Modular Robots with Built-In Control Device) | This Study Joint Module | X5-1 [13] | X5-9 [13] | X8-3 [13] | X8-16 [13] | KM-1U [14] | KM-1S-M4021 [15] | KM-1S-M6829 [15] | qb Move ADVANCED [16] | Mori [17] (Origami Robots) |
|---|---|---|---|---|---|---|---|---|---|---|
| (Pmax/It [×103 W/(kg·m2)] | 61.0 | 5.38 | 0.131 | 5.61 | 0.195 | - | - | - | - | - |
| Maximum power Pmax [W] | 18.3 | 17.1 | 17.1 | 35.4 | 35.4 | 2.04 | 1.87 | 1.81 | 38.5 | - |
| Morment of inertial It [×10−3 (kg·m2)] | 0.300 | 3.19 | 130 | 6.30 | 182 | - | - | - | - | 0.0472 |
| Mass (without power source) [kg] | 2.61 | 0.330 | 0.360 | 0.455 | 0.496 | 0.340 | 0.0690 | 0.195 | 0.450 | 0.0260 |
| Volume [×10−3 m3)] | 10.2 | 0.249 | 0.249 | 0.361 | 0.361 | 0.166 | 0.101 | 0.194 | 0.314 | 0.0166 |
| Range of motion [deg] | 90-180 | 360 | 360 | 360 | 360 | 360 | 360 | 360 | ±180 | - |
| Maximum torque [Nm] | 5 | 2.5 | 13 | 7 | 38 | 0.3 | 0.1 | 0.5 | 6.8 | 0.03 |
| Gear ratio | 1 | 272.222 | 1742 | 272.222 | 1462.222 | - | - | - | - | 256 |
| Maximum angular velocity [deg/s] | 457 | 540 | 84 | 504 | 90 | 1560 | 4320 | 840 | 363 | 12 |
7. Proposed Applications
7.1. Hypothesis for Joint Module Application
7.2. Application Example 1: Training of a Single Joint
7.3. Application Example 2: Four-Segment Parallel Link Mechanism
8. Conclusions
- The following is a synopsis of the paper’s contents. Based on previous research using variable viscoelastic drive joints that mimic the human joint drive principle, we proposed a variable viscoelastic drive Joint Module.
- A description of the structure of the developed Joint Module is provided. The module, which includes a drive unit, a pneumatic system, a control unit, an electrical system, sensors, and an interface, can be driven without the use of an external system.
- We evaluated the basic characteristics of the developed Joint Module. As the basic characteristics, the tracking performance of the joint angle, joint stiffness, generated torque, and joint viscosity to the command value was confirmed by experiments.
- The developed Joint Module was used to assess the properties of a variable viscoelastic drive joint. To evaluate the characteristics, the change in motion and the response to the external disturbance caused by the difference in driving methods were confirmed by simulation and experiment.
- We discussed what kind of device the Joint Module is suitable for based on the results of the basic characteristics evaluation and the characteristics evaluation of the variable viscoelastic drive joint. Based on the findings, two types of applications of the Joint Module were proposed.
Author Contributions
Funding
Institutional Review Board Statement
Informed Consent Statement
Conflicts of Interest
References
- YASKAWA. Available online: https://www.yaskawa.co.jp/product/robotics (accessed on 5 January 2020).
- CYBERDYNE. Available online: https://www.cyberdyne.jp/products/HAL/index.html (accessed on 14 November 2019).
- SoftBank. Available online: https://www.softbank.jp/robot/pepper/ (accessed on 14 November 2019).
- Okui, M.; Iikawa, S.; Yamada, Y.; Nakamura, T. Fundamental characteristic of novel actuation system with variable viscoelastic joints and magneto-rheological clutches for human assistance. J. Intell. Mater. Syst. Struct. 2018, 1, 82–90. [Google Scholar] [CrossRef] [Green Version]
- Versaci, M.; Cutrupi, A.; Palumbo, A. A Magneto-Thermo-Static Study of a Magneto-Rheological Fluid Damper: A Finite Element Analysis. IEEE Trans. Magn. 2021, 57, 1–10. [Google Scholar] [CrossRef]
- Nagayama, T.; Ishihira, H.; Tomori, H.; Nakamura, T. Verification of throwing operation by a manipulator with variable viscoelastic joints with straight-fiber-type artificial muscles and magnetorheological brakes. Adv. Robot. 2016, 30, 1365–1379. [Google Scholar] [CrossRef]
- Okui, M.; Iikawa, S.; Yamada, Y.; Nakamura, T. Variable Viscoelastic Joint System and Its Application to Exoskeleton. In Proceedings of the IEEE/RSJ International Conference on Intelligent Robots and Systems (IROS), Vancouver, BC, Canada, 24–28 September 2017. [Google Scholar]
- Ministry of Economy, Trade and Industry. Market Trend of Robot Industry. 2012. Available online: https://www.meti.go.jp/policy/mono_info_service/mono/robot/pdf/20130718002-3.pdf (accessed on 23 February 2021).
- Machida, K.; Kimura, S.; Suzuki, R.; Yokoyama, K.; Okui, M.; Nakamura, T. Variable Viscoelastic Joint Module with Built-in Pneumatic Power Source. In Proceedings of the 2020 IEEE/ASME International Conference on Advanced Intelligent Mechatronics (AIM), Boston, MA, USA, 6–9 July 2020; pp. 1048–1055. [Google Scholar]
- Baca, J.; Ferre, M.; Campos, A.; Fernandez, J.; Aracil, R. On the Analysis of a Multi-Task Modular Robot System for Field Robotics. In Proceedings of the IEEE Electronics, Robotics and Automotive Mechanics Conference, Cuernavaca, Mexico, 28 September–1 October 2010. [Google Scholar]
- Guan, Y.; Jiang, L.; Zhang, X.; Qiu, J.; Zhou, X. 1-DoF Robotic Joint Modules and Their Applications in New Robotic Systems. In Proceedings of the 2008 IEEE International Conference on Robotics and Biomimetics, Bangkok, Thailand, 21–26 February 2006; p. 1905. [Google Scholar]
- Suzuki, R.; Okui, M.; Iikawa, S.; Yamada, Y.; Nakamura, T. Novel Feedforword Controller for Straight-Fiber-Type Artificial Muscle Based on an Experimental Identification Model. In Proceedings of the 2018 IEEE International Conference on Soft Robotics (RoboSoft), Livorno, Italy, 24–28 April 2018; pp. 31–38. [Google Scholar]
- Okui, M.; Nagura, Y.; Yamada, Y.; Nakamura, T. Hybrid Pneumatic Source Based on Evaluation of Air Compression Methods for Portability. IEEE Robot. Autom. Lett. 2018, 3, 819–826. [Google Scholar] [CrossRef]
- HEBI Robotics. Available online: https://docs.hebi.us/hardware.html#x-series-actuators (accessed on 3 November 2021).
- Keigan Motor. Available online: https://keigan-motor.com/km-1s/ (accessed on 20 January 2022).
- qb Robotics. Available online: https://qbrobotics.com/products/qbmove-advanced/# (accessed on 20 January 2022).
- Belke, C.H.; Paik, J. Mori: A Modular Origami Robot. IEEE/ASME Trans. Mechatron. 2017, 22, 2153–2164. [Google Scholar] [CrossRef]
- Kojima, A.; Okui, M.; Yamada, Y.; Nakamura, T. Prolonging the lifetime of straight-fiber-type pneumatic rubber artificial muscle by shape consideration and material development. In Proceedings of the International Conference on Soft Robotics, Livorno, Italy, 24–28 April 2018. [Google Scholar]


























| Symbol Name | Symbol | Unit |
|---|---|---|
| Applied pressure to the artificial muscle | P | Pa |
| All shrinkage of artificial muscle | x | m |
| Stiffness of artificial muscle | k | N/m |
| Target torque | τjd | Nm |
| Target angle | θjd | rad |
| Target stiffness | Kjd | Nm/rad |
| Target viscosity | Djd | Nm s/rad |
| Pulley raidus | r | m |
| Slack of wire | l | M |
| Target Viscosity [Nm s/deg] | Measured Viscosity [Nm s/deg] | Error [%] |
|---|---|---|
| 0.040 | 0.038 | 5.0 |
| 0.060 | 0.056 | 6.7 |
| 0.080 | 0.075 | 6.3 |
| 0.100 | 0.101 | 1.0 |
| Symbol Name | Symbol | Value | Unit |
|---|---|---|---|
| Joint Stiffness | K | Variable | Nm/deg |
| Joint Viscosity | cv | Variable | Nm s/deg |
| Basal Viscosity of MR Brakes | cc | 0.003 | Nm s/deg |
| Friction torque of the joint | τf | 0.023 | Nm |
| Load applied to the end of the arm | F | Depending on the experimental condition | N |
| Arm length | l | 0.3 | M |
| Moment of inertia of the arm | I | 5.03 × 10−3 | kg m2 |
| The time constant of MR brake | tmr | 0.09 | s |
Publisher’s Note: MDPI stays neutral with regard to jurisdictional claims in published maps and institutional affiliations. |
© 2022 by the authors. Licensee MDPI, Basel, Switzerland. This article is an open access article distributed under the terms and conditions of the Creative Commons Attribution (CC BY) license (https://creativecommons.org/licenses/by/4.0/).
Share and Cite
Fujita, T.; Shimoda, Y.; Machida, K.; Okui, M.; Nishihama, R.; Nakamura, T. Development of Variable Viscoelastic Joint Module Performance Evaluation and Proposal of Application Examples. Actuators 2022, 11, 89. https://doi.org/10.3390/act11030089
Fujita T, Shimoda Y, Machida K, Okui M, Nishihama R, Nakamura T. Development of Variable Viscoelastic Joint Module Performance Evaluation and Proposal of Application Examples. Actuators. 2022; 11(3):89. https://doi.org/10.3390/act11030089
Chicago/Turabian StyleFujita, Tetsuhito, Yusuke Shimoda, Katsuki Machida, Manabu Okui, Rie Nishihama, and Taro Nakamura. 2022. "Development of Variable Viscoelastic Joint Module Performance Evaluation and Proposal of Application Examples" Actuators 11, no. 3: 89. https://doi.org/10.3390/act11030089
APA StyleFujita, T., Shimoda, Y., Machida, K., Okui, M., Nishihama, R., & Nakamura, T. (2022). Development of Variable Viscoelastic Joint Module Performance Evaluation and Proposal of Application Examples. Actuators, 11(3), 89. https://doi.org/10.3390/act11030089

