Implementation and Control of a Wheeled Bipedal Robot Using a Fuzzy Logic Approach
Abstract
1. Introduction
2. System Structure and Modeling of the WBR
2.1. Mechanical Design
2.2. Hardware and Software
2.3. Modeling
3. Controller Design for the WBR
3.1. FMBC Design
3.2. FYSC Design
3.3. FRBC Design
4. Experimental Results
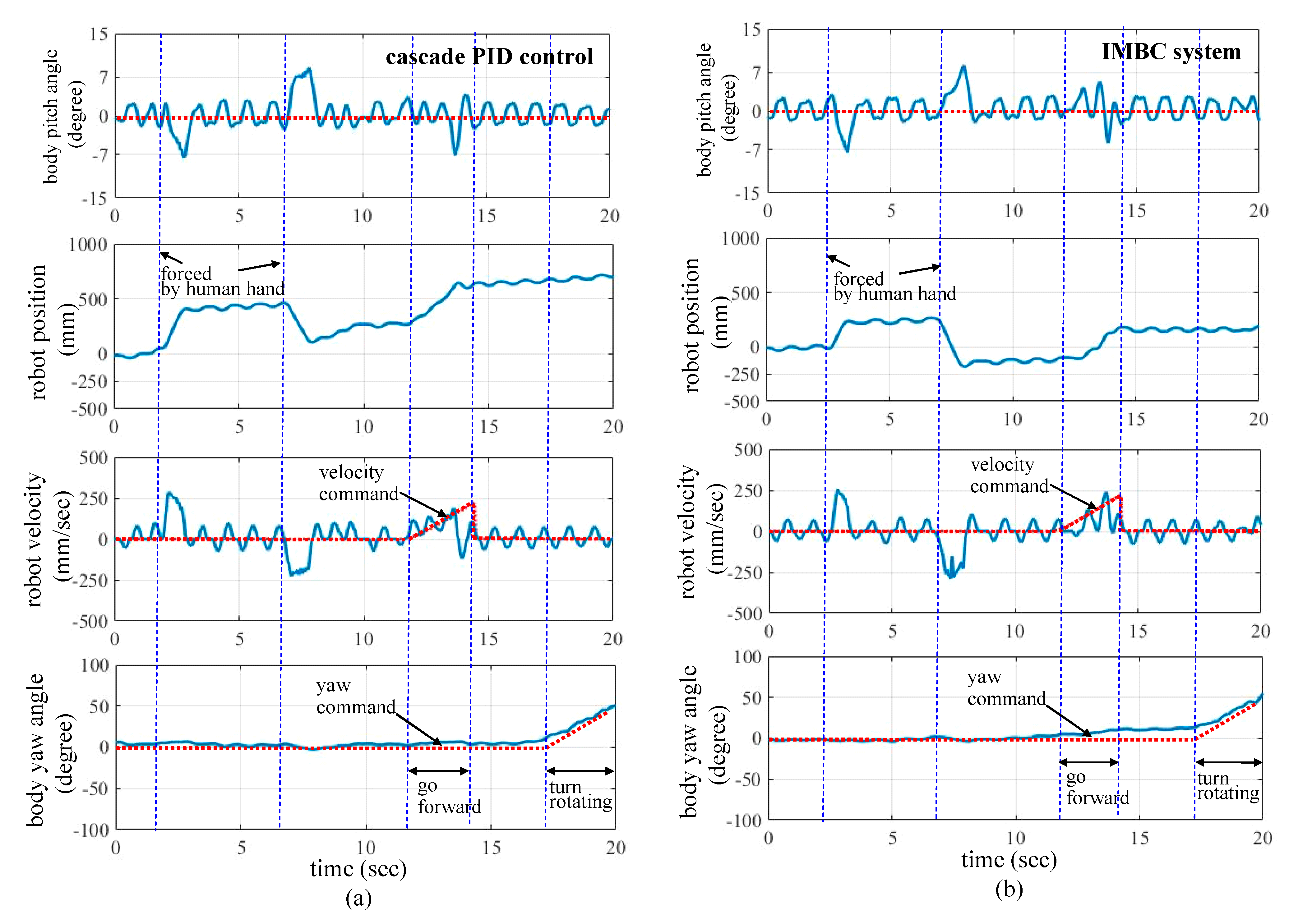
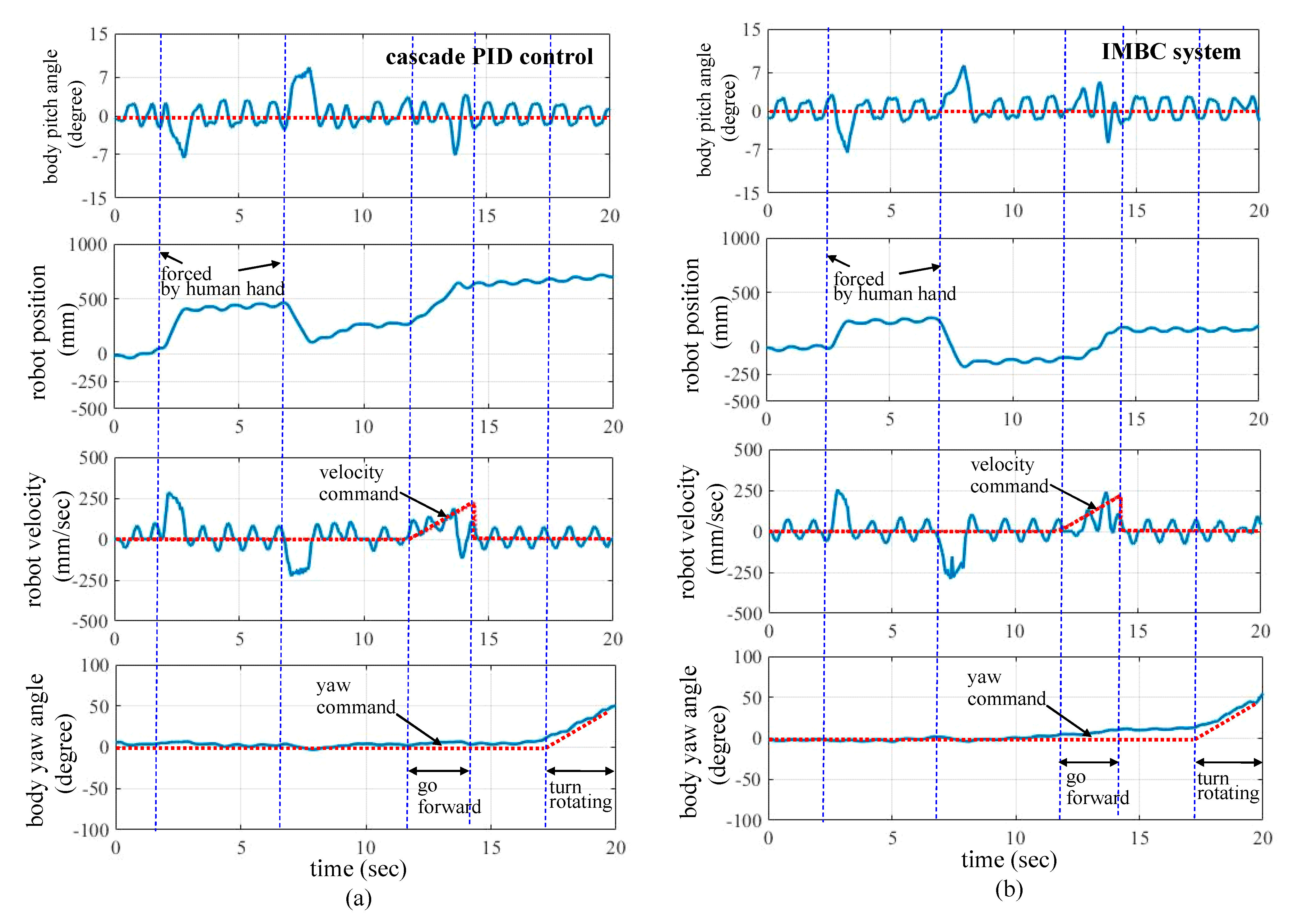
4.1. Moving and Rotating Scenario
4.2. Height-Changing Scenario
4.3. Posture-Keeping Scenario
4.4. One Leg on Slope Movement Scenario
5. Conclusions
Author Contributions
Funding
Data Availability Statement
Acknowledgments
Conflicts of Interest
Appendix A
| body pitch angle | |
| body yaw angle | |
| body roll angle | |
| robot position | |
| rotary angle of the right wheel motor | |
| rotary angle of the left wheel motor | |
| wheel radius | |
| half of body width | |
| distance of CoG from the wheel axle | |
| wheel weight | |
| body weights | |
| wheel inertia moment | |
| body pitch inertia moment | |
| gravity acceleration | |
| wheel motor resistance | |
| wheel motor torque constant | |
| wheel motor back electromotive force coefficient | |
| wheel motor inertia moment | |
| length between the pin joint and the knee joint | |
| length between the pin joint and the leg joint | |
| length between the knee joint and the inner joint | |
| length between the inner joint and the wheel motor | |
| robot height | |
| height of the left side of the WBR | |
| height of the right side of the WBR | |
| rotary angle of the left leg motor | |
| rotary angle of the right leg motor |
References
- McGinn, C.; Cullinan, M.F.; Otubela, M.; Kelly, K. Design of a terrain adaptive wheeled robot for human-orientated environments. Auton. Robot. 2019, 43, 63–78. [Google Scholar] [CrossRef]
- Xu, S.S.D.; Huang, H.C.; Kung, Y.C.; Chu, Y.Y. A networked multirobot CPS with artificial immune fuzzy optimization for distributed formation control of embedded mobile robots. IEEE Trans. Ind. Inform. 2020, 16, 414–422. [Google Scholar] [CrossRef]
- Pang, L.; Cao, Z.; Yu, J.; Guan, P.; Chen, X.; Zhang, W. A robust visual person-following approach for mobile robots in disturbing environments. IEEE Syst. J. 2020, 14, 2965–2968. [Google Scholar] [CrossRef]
- Tazaki, Y.; Murooka, M. A survey of motion planning techniques for humanoid robots. Adv. Robot. 2020, 34, 1370–1379. [Google Scholar] [CrossRef]
- Li, T.H.S.; Kuo, P.H.; Cheng, C.H.; Hung, C.C.; Luan, P.C.; Chang, C.H. Sequential sensor fusion-based real-time LSTM gait pattern controller for biped robot. IEEE Sens. J. 2021, 21, 2241–2255. [Google Scholar] [CrossRef]
- Lee, J.; Bakolas, E.; Sentis, L. An efficient and direct method for trajectory optimization of robots constrained by contact kinematics and forces. Auton. Robot. 2021, 45, 135–153. [Google Scholar] [CrossRef]
- Viragh, Y.; Bjelonic, M.; Bellicoso, C.D.; Jenelten, F.; Hutter, M. Trajectory optimization for wheeled-legged quadrupedal robots using linearized zmp constraints. IEEE Robot. Autom. Lett. 2019, 4, 1633–1640. [Google Scholar] [CrossRef]
- Medeiros, V.S.; Jelavic, E.; Bjelonic, M.; Siegwart, R.; Meggiolaro, M.A.; Hutter, M. Trajectory optimization for wheeled-legged quadrupedal robots driving in challenging terrain. IEEE Robot. Autom. Lett. 2020, 5, 4172–4179. [Google Scholar] [CrossRef]
- Sun, J.; You, Y.; Zhao, X.; Adiwahono, A.H.; Chew, C.M. Towards more possibilities: Motion planning and control for hybrid locomotion of wheeled-legged robots. IEEE Robot. Autom. Lett. 2020, 5, 3723–3730. [Google Scholar] [CrossRef]
- Li, J.; Wang, J.; Peng, H.; Hu, Y.; Su, H. Fuzzy-torque approximation-enhanced sliding mode control for lateral stability of mobile robot. IEEE Trans. Syst. Man Cybern. Syst. 2022, 52, 2491–2500. [Google Scholar] [CrossRef]
- He, J.; Sun, Y.; Yang, L.; Sun, J.; Xing, Y.; Gao, F. Design and control of TAWL-a wheel-legged rover with terrain-adaptive wheel speed allocation capability. IEEE/ASME Trans. Mechatron. 2022, 27, 2212–2223. [Google Scholar] [CrossRef]
- Wang, S.; Chen, Z.; Li, J.; Wang, J.; Li, J.; Zhao, J. Flexible motion framework of the six wheel-legged robot: Experimental results. IEEE/ASME Trans. Mechatron. 2022, 27, 2246–2257. [Google Scholar] [CrossRef]
- Chiu, C.H.; Peng, Y.F.; Sun, C.H. Intelligent decoupled controller for mobile inverted pendulum real-time implementation. J. Intell. Fuzzy Syst. 2017, 32, 3809–3820. [Google Scholar] [CrossRef]
- Huang, J.; Ri, M.; Wu, D.; Ri, S. Interval type-2 fuzzy logic modeling and control of a mobile two-wheeled inverted pendulum. IEEE Trans. Fuzzy Syst. 2018, 26, 2030–2038. [Google Scholar] [CrossRef]
- Su, Y.; Wang, T.; Zhang, K.; Yao, C.; Wang, Z. Adaptive nonlinear control algorithm for a self-balancing robot. IEEE Access 2020, 8, 3751–3760. [Google Scholar] [CrossRef]
- Iwendi, C.; Alqarni, M.A.; Anajemba, J.H.; Alfakeeh, A.S.; Zhang, Z.; Bashir, A.K. Robust navigational control of a two-wheeled self-balancing robot in a sensed environment. IEEE Access 2019, 7, 82337–82348. [Google Scholar] [CrossRef]
- Sekiguchi, S.; Yorozu, A.; Kuno, K.; Okada, M.; Watanabe, Y.; Takahashi, M. Human-friendly control system design for two-wheeled service robot with optimal control approach. Robot. Auton. Syst. 2020, 131, 103562. [Google Scholar] [CrossRef]
- Li, C.H.G.; Zhou, L.P.; Chao, Y.H. Self-balancing two-wheeled robot featuring intelligent end-to-end deep visual-steering. IEEE/ASME Trans. Mechatron. 2021, 26, 2263–2273. [Google Scholar] [CrossRef]
- Li, X.; Zhou, H.; Feng, H.; Zhang, S.; Fu, Y. Design and experiments of a novel hydraulic wheel-legged robot (WLR). In Proceedings of the IEEE/RSJ International Conference on Intelligent Robots and Systems, Madrid, Spain, 1–5 October 2018; pp. 3292–3297. [Google Scholar]
- Li, X.; Zhou, H.; Zhang, S.; Feng, H.; Fu, Y. WLR-II, a hose-less hydraulic wheel-legged robot. In Proceedings of the IEEE/RSJ International Conference on Intelligent Robots and Systems, Macau, China, 3–8 November 2019; pp. 4339–4346. [Google Scholar]
- Klemm, V.; Morra, A.; Salzmann, C.; Tschopp, F.; Bodie, K.; Gulich, L.; Küng, N.; Mannhart, D.; Pfister, C.; Vierneisel, M.; et al. Ascento: A two-wheeled jumping robot. In Proceedings of the International Conference on Robotics and Automation, Montreal, QC, Canada, 20–24 May 2019; pp. 7515–7521. [Google Scholar]
- Zhang, C.; Liu, T.; Song, S.; Meng, M.Q.H. System design and balance control of a bipedal leg-wheeled robot. In Proceedings of the IEEE International Conference on Robotics and Biomimetics, Dali, China, 6–8 December 2019; pp. 1869–1874. [Google Scholar]
- Zhao, L.; Yu, Z.; Chen, X.; Huang, G.; Wang, W.; Han, L.; Qiu, X.; Zhang, X.; Huang, Q. System design and balance control of a novel electrically-driven wheel-legged humanoid robot. In Proceedings of the IEEE International Conference on Unmanned Systems, Beijing, China, 15–17 October 2021; pp. 742–747. [Google Scholar]
- Raza, F.; Hayashibe, M. Towards robust wheel-legged biped robot system: Combining feedforward and feedback control. In Proceedings of the IEEE/SICE International Symposium on System Integrations, Iwaki, Fukushima, Japan, 11–14 January 2021; pp. 606–612. [Google Scholar]
- Dong, J.; Liu, R.; Lu, B.; Guo, X.; Liu, H. LQR-based balance control of two-wheeled legged robot. In Proceedings of the 41st Chinese Control Conference, Hefei, China, 25–27 July 2022; pp. 450–455. [Google Scholar]
- Zhou, H.; Yu, H.; Li, X.; Feng, H.; Zhang, S.; Fu, Y. Configuration transformation of the wheel-legged robot using inverse dynamics control. In Proceedings of the IEEE International Conference on Robotics and Automation, Xi’an, China, 30 May–5 June 2021; pp. 3091–3096. [Google Scholar]
- Hao, Y.; Lu, B.; Cao, H.; Dong, J.; Liu, R. Run-and-jump planning and control of a compact two-wheeled legged robot. In Proceedings of the 7th Asia-Pacific Conference on Intelligent Robot Systems, Tianjin, China, 1–3 July 2022; pp. 1–6. [Google Scholar]
- Xin, Y.; Chai, H.; Li, Y.; Rong, X.; Li, B.; Li, Y. Speed and acceleration control for a two wheel-leg robot based on distributed dynamic model and whole-body control. IEEE Access 2019, 7, 180630–180639. [Google Scholar] [CrossRef]
- Klemm, V.; Morra, A.; Gulich, L.; Mannhart, D.; Rohr, D.; Kamel, M.; Viragh, Y.; Siegwart, R. LQR-assisted whole-body control of a wheeled bipedal robot with kinematic loops. IEEE Robot. Autom. Lett. 2020, 5, 3745–3752. [Google Scholar] [CrossRef]
- Xin, Y.; Vijayakumar, S. Online dynamic motion planning and control for wheeled biped robots. In Proceedings of the IEEE/RSJ International Conference on Intelligent Robots and Systems, Las Vegas, NV, USA, 24 October–24 January 2020; pp. 3892–3899. [Google Scholar]
- Wang, Y.; Xin, Y.; Rong, X.; Li, Y. Whole-body motion planning and control for underactuated wheeled-bipdal robots. In Proceedings of the IEEE International Conference on Robotics and Biomimetics, Sanya, China, 27–31 December 2021; pp. 1071–1076. [Google Scholar]
- Chen, H.; Wang, B.; Hong, Z.; Shen, C.; Wensing, P.M.; Zhang, W. Underactuated motion planning and control for jumping with wheeled-bipedal robots. IEEE Robot. Autom. Lett. 2021, 6, 747–754. [Google Scholar] [CrossRef]
- Zhu, W.; Raza, F.; Hayashibe, M. Reinforcement learning based hierarchical control for path tracking of a wheeled bipedal robot with sim-to-real framework. In Proceedings of the IEEE/SICE International Symposium on System Integration, Narvik, Norway, 9–12 January 2022; pp. 40–46. [Google Scholar]
- Cui, L.; Wang, S.; Zhang, J.; Zhang, D.; Lai, J.; Zheng, Y.; Zhang, Z.; Jiang, Z.P. Learning-based balance control of wheel-legged robots. IEEE Robot. Autom. Lett. 2021, 6, 7667–7674. [Google Scholar] [CrossRef]
- Chang, H.T.; Tai, F.C.; Tsai, C.C. Adaptive fuzzy-basis-function-network trajectory tracking for a terrain-adaptive self-balancing two-wheeled mobile robot. In Proceedings of the International Conference on Fuzzy Theory and Its Applications, Taitung, Taiwan, 5–8 October 2021; pp. 42–47. [Google Scholar]
- Wu, C.F.; Chen, B.S.; Zhang, W. Multiobjective investment policy for a nonlinear stochastic financial system: A fuzzy approach. IEEE Trans. Fuzzy Syst. 2017, 25, 460–474. [Google Scholar] [CrossRef]
- Wu, L.F.; Li, T.H.S. Fuzzy dynamic gait pattern generation for real-time push recovery control of a teen-sized humanoid robot. IEEE Access 2020, 8, 36441–36453. [Google Scholar] [CrossRef]
- Zhong, Z.; Zhu, Y.; Lin, C.M.; Huang, T. A fuzzy control framework for interconnected nonlinear power networks under TDS attack: Estimation and compensation. J. Frankl. Inst. 2021, 358, 74–88. [Google Scholar] [CrossRef]
- Benzaouia, S.; K.M’Sirdi, N.; Rabhi, A.; Zouggar, S. Signed-distance fuzzy-logic sliding-mode control strategy for floating interleaved boost converter. In Proceedings of the 9th International Conference on Systems and Control, Caen, France, 24–26 November 2021; pp. 417–422. [Google Scholar]
- Choi, B.J.; Kwak, S.W.; Kim, B.K. Design of a single-input fuzzy logic controller and its properties. Fuzzy Sets Syst. 1999, 106, 299–308. [Google Scholar] [CrossRef]
- Londhe, P.S.; Santhakumar, M.; Patre, B.M.; Waghmare, L.M. Task space control of an autonomous underwater vehicle manipulator system by robust single-input fuzzy logic control scheme. IEEE J. Ocean. Eng. 2017, 42, 13–28. [Google Scholar] [CrossRef]
- Li, I.H. Design for a fluidic muscle active suspension using parallel-type interval type-2 fuzzy sliding control to improve ride comfort. Int. J. Fuzzy Syst. 2022, 24, 1719–1734. [Google Scholar] [CrossRef]
- Hsu, C.F.; Kao, W.F. Double-loop fuzzy motion control with CoG supervisor for two-wheeled self-balancing assistant robots. Int. J. Dyn. Control 2020, 8, 851–866. [Google Scholar] [CrossRef]
- Nafia, N.; Kari, A.E.; Ayad, H.; Mjahed, M. Robust interval type-2 fuzzy sliding mode control design for robot manipulators. Robotics 2018, 7, 40. [Google Scholar] [CrossRef]
- Hsu, C.F.; Kao, W.F. Perturbation wavelet-neural sliding-mode position control for a voice coil motor driver. Neural Comput. Appl. 2019, 31, 5975–5988. [Google Scholar] [CrossRef]
- Lin, C.M.; Nguyen, H.B.; Huynh, T.T. A new self-organizing double function-link brain emotional learning controller for MIMO nonlinear systems using sliding surface. IEEE Access 2021, 9, 73826–73842. [Google Scholar] [CrossRef]
- Ye, W.; Li, Z.; Yang, C.; Sun, J.; Su, C.Y.; Lu, R. Vision-based human tracking control of a wheeled inverted pendulum robot. IEEE Trans. Cybern. 2016, 46, 2423–2434. [Google Scholar] [CrossRef] [PubMed]
- Li, J.; Qin, H.; Wang, J.; Li, J. OpenStreetMap-based autonomous navigation for the four wheel-legged robot via 3D-lidar and CCD camera. IEEE Trans. Ind. Electron. 2022, 69, 2708–2717. [Google Scholar] [CrossRef]










| NB | NM | NS | ZO | PS | PM | PB | |
|---|---|---|---|---|---|---|---|
| −15.0 | −8.5 | −5.4 | 0.0 | 5.4 | 8.5 | 15.0 |
| NB | NM | NS | ZO | PS | PM | PB | |
|---|---|---|---|---|---|---|---|
| −0.8 | −0.3 | −0.1 | 0.0 | 0.1 | 0.3 | 0.8 |
| (a) posture control | |||||||
| NB | NM | NS | ZO | PS | PM | PB | |
| −2.0 | −1.5 | −0.7 | 0.0 | 0.7 | 1.5 | 2.0 | |
| 2.0 | 1.5 | 0.7 | 0.0 | −0.7 | −1.5 | −2.0 | |
| (b) height control | |||||||
| NB | NM | NS | ZO | PS | PM | PB | |
| −10 | −7.5 | −3.0 | 0.0 | 3.0 | 7.5 | 10 | |
Publisher’s Note: MDPI stays neutral with regard to jurisdictional claims in published maps and institutional affiliations. |
© 2022 by the authors. Licensee MDPI, Basel, Switzerland. This article is an open access article distributed under the terms and conditions of the Creative Commons Attribution (CC BY) license (https://creativecommons.org/licenses/by/4.0/).
Share and Cite
Hsu, C.-F.; Chen, B.-R.; Lin, Z.-L. Implementation and Control of a Wheeled Bipedal Robot Using a Fuzzy Logic Approach. Actuators 2022, 11, 357. https://doi.org/10.3390/act11120357
Hsu C-F, Chen B-R, Lin Z-L. Implementation and Control of a Wheeled Bipedal Robot Using a Fuzzy Logic Approach. Actuators. 2022; 11(12):357. https://doi.org/10.3390/act11120357
Chicago/Turabian StyleHsu, Chun-Fei, Bo-Rui Chen, and Zi-Ling Lin. 2022. "Implementation and Control of a Wheeled Bipedal Robot Using a Fuzzy Logic Approach" Actuators 11, no. 12: 357. https://doi.org/10.3390/act11120357
APA StyleHsu, C.-F., Chen, B.-R., & Lin, Z.-L. (2022). Implementation and Control of a Wheeled Bipedal Robot Using a Fuzzy Logic Approach. Actuators, 11(12), 357. https://doi.org/10.3390/act11120357

