Antimicrobial Resistance Pattern of Escherichia coli Isolated from Frozen Chicken Meat in Bangladesh
Abstract
1. Introduction
2. Results
2.1. Source of Chicken, and Processing and Packaging of Frozen Chicken Meat
2.2. Prevalence and Distribution of ESBL-Producing and ESBL-Non-Producing E. coli
2.3. Distribution of Possible Extensively Drug-Resistant (pXDR) E. coli
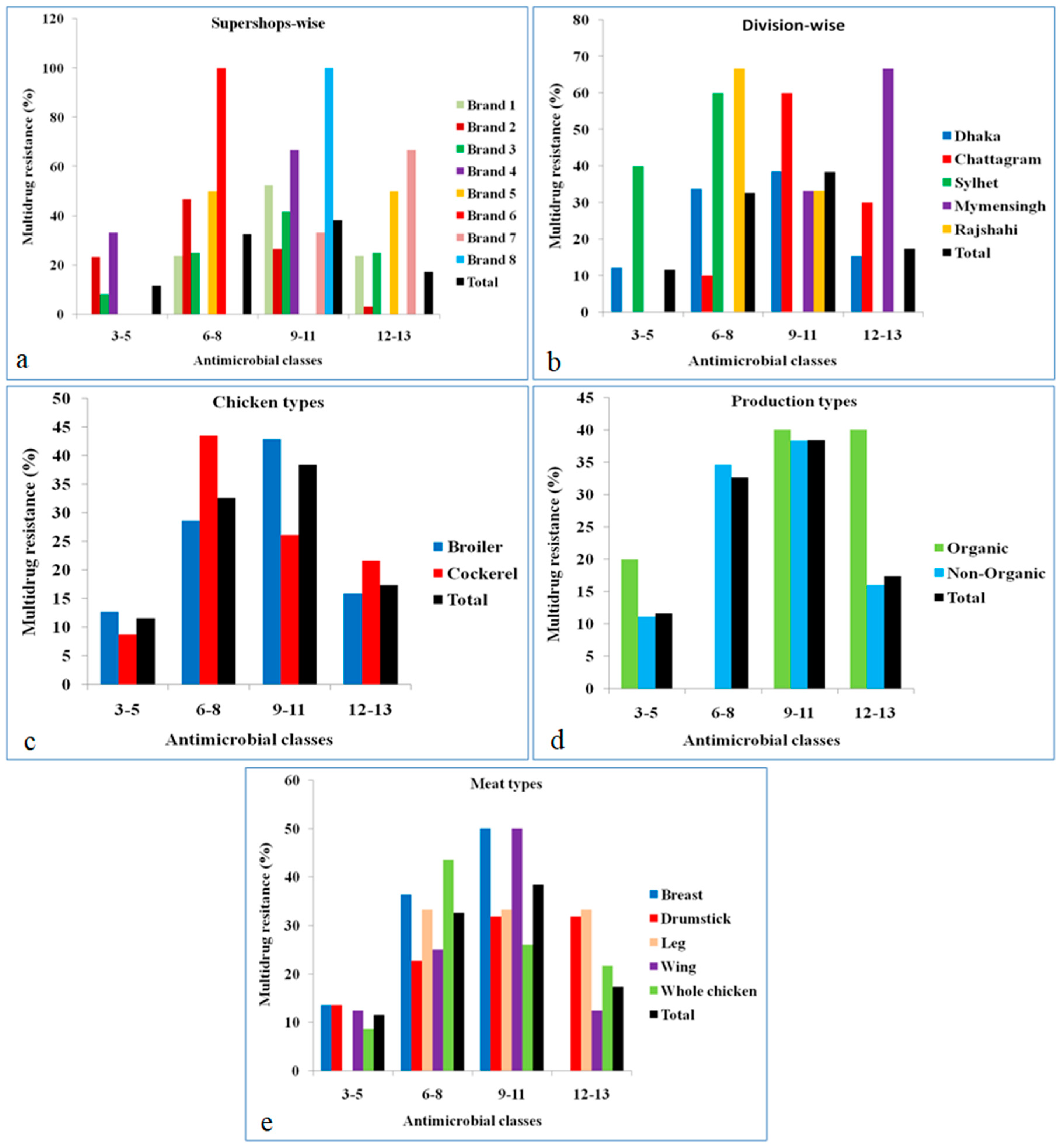
2.4. Distribution of Multidrug-Resistant E. coli
2.5. Genotypes of ESBL-Ec and Non-ESBL-Ec
3. Discussion
4. Materials and Methods
4.1. Sample Collection
4.2. Enrichment and Identification of E. coli
4.3. Molecular Detection of E. coli
4.4. Antimicrobial Susceptibility Testing
- (A)
- Non-extended spectrum cephalosporins including
- -
- First-generation cephalosporins: cephalexin (30 µg), cefradine (30 µg);
- -
- Second-generation cephalosporins: cefuroxime (30 µg), cefaclor (30 µg);
- (B)
- Extended-spectrum cephalosporins including
- -
- Third-generation cephalosporins: cefotaxime (30 µg), ceftriaxone (30 µg), ceftazidime (30 µg), cefixime (5 µg);
- -
- Fourth-generation cephalosporins: cefepime (30 µg);
- (C)
- Cephamycins: cefoxitin (30 µg);
- (D)
- Fluoroquinolones: nalidixic acid (30 µg), ciprofloxacin (5 µg), levofloxacin (5 µg), norfloxacin (10 µg), ofloxacin (5 µg), gatifloxacin (5 µg), pefloxacin (5 µg);
- (E)
- Penicillins: ampicillin (10 µg), amoxycillin (10 µg);
- (F)
- Penicillins + β-lactamase inhibitors: amoxicillin–clavulanic acid (30 µg);
- (G)
- Antipseudomonal penicillins + β-lactamase inhibitors: pipercillin–tazobactam (110 µg);
- (H)
- Carbapenems: imipenem (10 µg), meropenem (10 µg);
- (I)
- Polymyxins: colistin (10 µg), polymyxin B (300 units);
- (J)
- Monobactams: aztreonam (30 µg);
- (K)
- Aminoglycosides: gentamicin (10 µg), amikacin (30 µg), streptomycin (10 µg), neomycin (30 µg), tobramycin (10 µg);
- (L)
- Tetracyclines: tetracycline (30 µg), oxytetracycline (30 µg), doxycycline (10 µg);
- (M)
- Folate pathway inhibitors: trimethoprim–sulfamethoxazole (25 µg);
- (N)
- Glycylcyclines: tigecycline (15 µg);
- (O)
- Phenicols: chloramphenicol (30 µg);
- (P)
- Macrolides: azithromycin (15 µg).
4.5. Detection of ESBL-Producing E. coli
4.6. Detection of ESBL-Encoding Genes
4.7. Statistical Analysis
5. Conclusions
Supplementary Materials
Author Contributions
Funding
Acknowledgments
Conflicts of Interest
References
- Davis, G.S.; Waits, K.; Nordstrom, L.; Grande, H.; Weaver, B.; Papp, K.; Horwinski, J.; Koch, B.; Hungate, B.A.; Liu, C.M.; et al. Antibiotic-resistant Escherichia coli from retail poultry meat with different antibiotic use claims. BMC Microbiol. 2018, 18, 174. [Google Scholar] [CrossRef] [PubMed]
- Skurnik, D.; Ruimy, R.; Andremont, A.; Amorin, C.; Rouquet, P.; Picard, B.; Denamur, E. Effect of human vicinity on antimicrobial resistance and integrons in animal faecal Escherichia coli. J. Antimicrob. Chemother. 2006, 57, 1215–1219. [Google Scholar] [CrossRef] [PubMed]
- Addis, M.; Sisay, D. A review on major food borne bacterial illnesses. J. Trop. Dis. 2015, 3, 176–183. [Google Scholar]
- Hammerum, A.M.; Heuer, O.E. Human health hazards from antimicrobial-resistant Escherichia coli of animal origin. Clin. Infect. Dis. 2009, 48, 916–921. [Google Scholar] [CrossRef]
- Li, H.; Ganzle, M. Some like it hot: Heat resistance of Escherichia coli in food. Front. Microbiol. 2016, 7, 1763. [Google Scholar] [CrossRef]
- Garcia-Hernandez, R.; McMullen, L.; Gänzle, M.G. Development and validation of a surrogate strain cocktail to evaluate bactericidal effects of pressure on verotoxigenic Escherichia coli. Int. J. Food Microbiol. 2015, 205, 16–22. [Google Scholar] [CrossRef]
- Mercer, R.; Zheng, J.; Garcia-Hernandez, R.; Ruan, L.; Gänzle, M.; McMullen, L. Genetic determinants of heat resistance in Escherichia coli. Front. Microbiol. 2015, 6, 932. [Google Scholar] [CrossRef]
- Goksoy, E.; James, C.; Corry, J. The effect of short-time microwave exposures on inoculated pathogens on chicken and the shelf-life of uninoculated chicken meat. J. Food Eng. 2000, 45, 153–160. [Google Scholar] [CrossRef]
- Yamanaka, K.; Inouye, M. Induction of CspA, an E. coli major cold-shock protein, upon nutritional upshift at 37° C. Genes Cells 2001, 6, 279–290. [Google Scholar] [CrossRef]
- Chung, H.J.; Bang, W.; Drake, M.A. Stress Response of Escherichia coli. Compr. Rev. Food Sci. Food Saf. 2006, 5, 52–64. [Google Scholar] [CrossRef]
- Cao-Hoang, L.; Dumont, F.; Marechal, P.-A.; Thanh, M.; Gervais, P. Rates of chilling to 0 °C: Implications for the survival of microorganisms and relationship with membrane fluidity modifications. Appl. Microbiol. Biotechnol. 2008, 77, 1379–1387. [Google Scholar] [CrossRef]
- Switaj, T.L.; Winter, K.J.; Christensen, S.R. Diagnosis and management of foodborne illness. Am. Fam. Physician 2015, 92, 358–365. [Google Scholar] [PubMed]
- Wong, C.S.; Jelacic, S.; Habeeb, R.L.; Watkins, S.L.; Tarr, P.I. The risk of the hemolytic–uremic syndrome after antibiotic treatment of Escherichia coli O157: H7 infections. N. Engl. J. Med. 2000, 342, 1930–1936. [Google Scholar] [CrossRef] [PubMed]
- Tadesse, D.A.; Zhao, S.; Tong, E.; Ayers, S.; Singh, A.; Barthlomew, M.J.; McDermott, P.F. Antimicrobial drug resistance in Escherichia coli from humans and food animals, United States, 1950–2002. Emerg. Infect. Dis. 2012, 18, 741–749. [Google Scholar] [CrossRef] [PubMed]
- Blake, D.P.; Hillman, K.; Fenlon, D.R.; Low, J.C. Transfer of antibiotic resistance between commensal and pathogenic members of the Enterobacteriaceae under ileal conditions. J. Appl. Microbiol. 2003, 95, 428–436. [Google Scholar] [CrossRef]
- Pitout, J.D.; Thomson, K.S.; Hanson, N.D.; Ehrhardt, A.F.; Moland, E.S.; Sanders, C.C. Beta-lactamases responsible for resistance to expanded-spectrum cephalosporins in Klebsiella pneumoniae, Escherichia coli, and Proteus mirabilis isolates recovered in South Africa. Antimicrob. Agents Chemother. 1998, 42, 1350–1354. [Google Scholar] [CrossRef][Green Version]
- Fernandes, R.; Amador, P.; Oliveira, C.; Prudencio, C. Molecular characterization of ESBL-producing Enterobacteriaceae in northern Portugal. Sci. World J. 2014, 2014, 1–6. [Google Scholar] [CrossRef]
- Bonnet, R. Growing group of extended-spectrum β-lactamases: The CTX-M enzymes. Agents Chemother. 2004, 48, 1–14. [Google Scholar] [CrossRef]
- Pfeifer, Y.; Cullik, A.; Witte, W. Resistance to cephalosporins and carbapenems in Gram-negative bacterial pathogens. Int. J. Med. Microbiol. 2010, 300, 371–379. [Google Scholar] [CrossRef]
- Hasan, B.; Faruque, R.; Drobni, M.; Waldenström, J.; Sadique, A.; Ahmed, K.U.; Islam, Z.; Parvez, M.B.; Olsen, B.; Alam, M. High prevalence of antibiotic resistance in pathogenic Escherichia coli from large- and small-scale poultry farms in Bangladesh. Avian Dis. 2011, 55, 689–692. [Google Scholar] [CrossRef]
- Parvez, M.A.K.; Marzan, M.; Liza, S.M.; Mou, T.J.; Azmi, I.J.; Rahman, M.S.; Mahmud, Z.H. Prevalence of inhibitor resistant beta lactamase producing E. coli in human and poultry origin of Bangladesh. J. Bacteriol. Parasitol. 2016, 7, 1–3. [Google Scholar]
- Al Azad, M.; Rahman, A.; Rahman, M.; Amin, R.; Begum, M.; Ara, I.; Fries, R.; Husna, A.; Khairalla, A.S.; Badruzzaman, A. Susceptibility and multidrug resistance patterns of Escherichia coli isolated from cloacal swabs of live broiler chickens in Bangladesh. Pathogens 2019, 8, 118. [Google Scholar] [CrossRef] [PubMed]
- Liebana, E.; Carattoli, A.; Coque, T.M.; Hasman, H.; Magiorakos, A.-P.; Mevius, D.; Peixe, L.; Poirel, L.; Schuepbach-Regula, G.; Torneke, K. Public health risks of enterobacterial isolates producing extended-spectrum β-lactamases or AmpC β-lactamases in food and food-producing animals: An EU perspective of epidemiology, analytical methods, risk factors, and control options. Clin. Infect. Dis. 2013, 56, 1030–1037. [Google Scholar] [CrossRef]
- Ghodousi, A.; Bunora, C.; Maria Di Noto, A.; Mammina, C. Extended-spectrum ß-lactamase, AmpC-producing, and fluoroquinolone-resistant Escherichia coli in retail broiler chicken meat, Italy. Foodborne Pathog. Dis. 2015, 12, 619–625. [Google Scholar] [CrossRef] [PubMed]
- Magiorakos, A.-P.; Srinivasan, A.; Carey, R.B.; Carmeli, Y.; Falagas, M.E.; Giske, C.G.; Harbarth, S.; Hindler, J.F.; Kahlmeter, G.; Olsson-Liljequist, B.; et al. Multidrug-resistant, extensively drug-resistant and pandrug-resistant bacteria: An international expert proposal for interim standard definitions for acquired resistance. Clin. Microbiol. Infect. 2012, 18, 268–281. [Google Scholar] [CrossRef]
- Islam, N.; Tahsin, N.; Tarrannum, N.; Salihee, R.Z.; Tarannum, S.; Sujana, J.T.M. Factors Influencing the Consumers’ Perceptions Towards Frozen and Ready-to-Cook Food Products in Bangladesh. In Proceedings of the 1st Global International Conference 2019, Kathmandu, Nepal, 13–14 December 2019. [Google Scholar]
- Alam, S.T. Antibiogram of pre-processed raw chicken meat from different supershops of Dhaka city, Bangladesh. J. Allied Health Sci. 2015, 2, 45–52. [Google Scholar]
- Uddin, J.; Hossain, K.; Hossain, S.; Saha, K.; Jubyda, F.T.; Haque, R.; Billah, B.; Talukder, A.A.; Parvez, A.K.; Dey, S.K. Bacteriological assessments of foodborne pathogens in poultry meat at different super shops in Dhaka, Bangladesh. Ital. J. Food Saf. 2019, 8, 6720. [Google Scholar] [CrossRef]
- Ibrahim, D.R.; Dodd, C.E.R.; Stekel, D.J.; Ramsden, S.J.; Hobman, J.L. Multidrug resistant, extended spectrum β-lactamase (ESBL)-producing Escherichia coli isolated from a dairy farm. FEMS Microbiol. Ecol. 2016, 92. [Google Scholar] [CrossRef]
- Faruque, O.; Mahmud, S.; Munayem, A.; Sultana, R.; Molla, T.; Ali, F.; Wasim, M.; Sarker, S.; Evamoni, F. Bacteriological analysis and public health impact of broiler meat: A study on Nalitabari Paurosova, Sherpur, Bangladesh. Adv. Microbiol. 2019, 9, 581–601. [Google Scholar] [CrossRef]
- Rahman, M.A.; Rahman, A.; Islam, M.A.; Alam, M.M. Antimicrobial resistance of Escherichia coli isolated from milk, beef and chicken meat in Bangladesh. Bangl. J. Vet. Med. 2017, 15, 141–146. [Google Scholar] [CrossRef]
- Bhoomika, S.S.; Patyal, A.; Gade, N.E. Occurrence and characteristics of extended-spectrum β-lactamases producing Escherichia coli in foods of animal origin and human clinical samples in Chhattisgarh, India. Vet. World 2016, 9, 996. [Google Scholar] [CrossRef] [PubMed]
- Saud, B.; Paudel, G.; Khichaju, S.; Bajracharya, D.; Dhungana, G.; Awasthi, M.S.; Shrestha, V. Multidrug-resistant bacteria from raw meat of buffalo and chicken, Nepal. Vet. Med. Int. 2019, 2019, 1–7. [Google Scholar] [CrossRef]
- Seo, K.W.; Kim, Y.B.; Jeon, H.Y.; Lim, S.-K.; Lee, Y.J. Comparative genetic characterization of third-generation cephalosporin-resistant Escherichia coli from chicken meat produced by integrated broiler operations in South Korea. Poult. Sci. 2018, 97, 2871–2879. [Google Scholar] [CrossRef] [PubMed]
- Kawamura, K.; Goto, K.; Nakane, K.; Arakawa, Y. Molecular epidemiology of extended-spectrum β-lactamases and Escherichia coli isolated from retail foods including chicken meat in Japan. Foodborne Pathog. Dis. 2014, 11, 104–110. [Google Scholar] [CrossRef] [PubMed]
- Nahar, A.; Awasthi, S.P.; Hatanaka, N.; Okuno, K.; Hoang, P.H.; Hassan, J.; Hinenoya, A.; Yamasaki, S. Prevalence and characteristics of extended-spectrum β-lactamase-producing Escherichia coli in domestic and imported chicken meats in Japan. J. Vet. Med. Sci. 2018, 80, 510–517. [Google Scholar] [CrossRef] [PubMed]
- Rouger, A.; Tresse, O.; Zagorec, M. Bacterial contaminants of poultry meat: Sources, species, and dynamics. Microorganisms 2017, 5, E50. [Google Scholar] [CrossRef] [PubMed]
- Hasan, B.; Sandegren, L.; Melhus, A.; Drobni, M.; Hernandez, J.; Waldenstrom, J.; Alam, M.; Olsen, B. Antimicrobial drug resistant Escherichia coli in wild birds and free-range poultry, Bangladesh. Emerg. Infect. Dis. 2012, 18, 2055–2058. [Google Scholar] [CrossRef]
- Samaha, I.; Ibrahim, H.; Hamada, M. Isolation of some enteropathogens from retailed poultry meat in Alexandria Province. Alex. J. Vet. Sci. 2012, 37, 17–22. [Google Scholar]
- Islam, M.K.; Kabir, S.L.; Haque, A.Z.; Sarker, Y.; Sikder, M. Molecular detection and characterization of Escherichia coli, Salmonella spp. and Campylobacter spp. isolated from broiler meat in Jamalpur, Tangail, Netrokona and Kishoreganj districts of Bangladesh. Afr. J. Microbiol. Res. 2018, 12, 761–770. [Google Scholar]
- Al-Salauddin, A.S.; Hossain, M.F.; Dutta, A.; Mahmud, S.; Islam, M.S.; Saha, S.; Kabir, S.M.L. Isolation, identification, and antibiogram studies of Salmonella species and Escherichia coli from boiler meat in some selected areas of Bangladesh. Int. J. Basic Clin. Pharm. 2015, 4, 999–1003. [Google Scholar] [CrossRef]
- Nikaido, H. Multidrug resistance in bacteria. Annu. Rev. Biochem. 2009, 78, 119–146. [Google Scholar] [CrossRef]
- Levy, S. Reduced antibiotic use in livestock: How Denmark tackled resistance. Environ. Health Perspect. 2014, 122, 160–165. [Google Scholar] [CrossRef]
- Buffet-Bataillon, S.; Tattevin, P.; Bonnaure-Mallet, M.; Jolivet-Gougeon, A. Emergence of resistance to antibacterial agents: The role of quaternary ammonium compounds—A critical review. Int. J. Antimicrob. Agents 2012, 39, 381–389. [Google Scholar] [CrossRef] [PubMed]
- Nhung, N.T.; Thuy, C.T.; Trung, N.V.; Campbell, J.; Baker, S.; Thwaites, G.; Hoa, N.T.; Carrique-Mas, J. Induction of antimicrobial resistance in Escherichia coli and non-typhoidal Salmonella strains after adaptation to disinfectant commonly used on farms in Vietnam. Antibiotics 2015, 4, 480–494. [Google Scholar] [CrossRef] [PubMed]
- Adeyanju, G.T.; Ishola, O. Salmonella and Escherichia coli contamination of poultry meat from a processing plant and retail markets in Ibadan, Oyo State, Nigeria. Springerplus 2014, 3, 139. [Google Scholar] [CrossRef] [PubMed]
- McEwen, S.A.; Fedorka-Cray, P.J. Antimicrobial use and resistance in animals. Clin. Infect. Dis. 2002, 34, S93–S106. [Google Scholar] [CrossRef]
- Le, Q.P.; Ueda, S.; Nguyen, T.N.H.; Dao, T.V.K.; Van Hoang, T.A.; Tran, T.T.N.; Hirai, I.; Nakayama, T.; Kawahara, R.; Do, T.H. Characteristics of extended-spectrum β-lactamase producing Escherichia coli in retail meats and shrimp at a local market in Vietnam. Foodborne Pathog. Dis. 2015, 12, 719–725. [Google Scholar] [CrossRef]
- Yang, C.-M.; Lin, M.-F.; Lin, C.-H.; Huang, Y.-T.; Hsu, C.-T.; Liou, M.-L. Characterization of antimicrobial resistance patterns and integrons in human fecal Escherichia coli in Taiwan. Jpn. J. Infect. Dis. 2009, 62, 177–181. [Google Scholar]
- Jacoby, G.A.; Sutton, L. Properties of plasmids responsible for production of extended-spectrum beta-lactamases. Agents Chemother. 1991, 35, 164–169. [Google Scholar] [CrossRef]
- Guerra, B.; Fischer, J.; Helmuth, R. An emerging public health problem: Acquired carbapenemase-producing microorganisms are present in food-producing animals, their environment, companion animals and wild birds. Vet. Microbiol. 2014, 171, 290–297. [Google Scholar] [CrossRef]
- White, D.G.; Hudson, C.; Maurer, J.J.; Ayers, S.; Zhao, S.; Lee, M.D.; Bolton, L.; Foley, T.; Sherwood, J. Characterization of chloramphenicol and florfenicol resistance in Escherichia coli associated with bovine diarrhea. J. Clin. Microbiol. 2000, 38, 4593–4598. [Google Scholar] [CrossRef]
- WHO. Laboratory protocol. In Isolation of Salmonella spp. From Food and Animal Faeces, 5th ed.; WHO: Geneva, Switzerland, 2010; Volume 13, pp. 4–8. [Google Scholar]
- Dashti, A.; Jadaon, M.; Abdulsamad, A.; Dashti, H. Heat treatment of bacteria: A simple method of DNA extraction for molecular techniques. Kuwait Med. J. 2009, 41, 117–122. [Google Scholar]
- Schippa, S.; Iebba, V.; Barbato, M.; DiNardo, G.; Totino, V.; Checchi, M.P.; Longhi, C.; Maiella, G.; Cucchiara, S.; Conte, M.P. A distinctive’ microbial signature’ in celiac pediatric patients. BMC Microbiol. 2010, 10, 175. [Google Scholar] [CrossRef]
- CLSI. Performance Standards for Antimicrobial Susceptibility Testing; Wayne State University Press: Detroit, MI, USA, 2018; pp. 1–260. [Google Scholar]
- Jarlier, V.; Nicolas, M.H.; Fournier, G.; Philippon, A. Extended broad-spectrum beta-lactamases conferring transferable resistance to newer beta-lactam agents in Enterobacteriaceae: Hospital prevalence and susceptibility patterns. Rev. Infect. Dis. 1988, 10, 867–878. [Google Scholar] [CrossRef]





| Name of Supershops (N) | Source of Chicken (%) | Processing of Chicken | Packaging of Chicken | ||
|---|---|---|---|---|---|
| Inside Shop N (%) | Outside Shop N (%) | Inside Shop N (%) | Outside Shop N (%) | ||
| Brand 1 (7) | Contract farm (100) | 1 (14.3) | 6 (85.7) | 6 (85.7) | 1 (14.3) |
| Brand 2 (15) | Contract farm (100) | 2 (13.3) | 13 (86.7) | 10 (66.7) | 5 (33.3) |
| Brand 3 (10) | Contract farm (100) | 2 (20.0) | 8 (80.0) | 8 (80.0) | 2 (20.0) |
| Brand 4 (3) | Contract farm (100) | 0 | 3 (100.0) | 2 (66.7) | 1 (33.3) |
| Brand 5 (1) | Contract farm (100) | 1 (100.0) | 0 | 1 (100.0) | 0 |
| Brand 6 (1) | Contract farm (100) | 0 | 1 (100.0) | 1 (100.0) | 0 |
| Brand 7 (1) | Contract farm (100) | 0 | 1 (100.0) | 0 | 1 (100.0) |
| Brand 8 (1) | Contract farm (100) | 0 | 1 (100.0) | 1 (100.0) | 0 |
| Brand 9 (1) | Contract farm (100) | 0 | 1 (100.0) | 1 (100.0) | 0 |
| Name of Supershops | Total No. of Samples | No. of E. coli-Positive Isolates (%) | ESBL-Ec No. (%) | Non-ESBL-Ec No. (%) |
|---|---|---|---|---|
| Brand 1 | 23 | 21 (91.3) | 21 (100.0) a | 0 |
| Brand 2 | 40 | 30 (75.0) | 21 (70.0) b | 9 (30.0) b |
| Brand 3 | 28 | 24 (85.8) | 24 (100.0) a | 0 |
| Brand 4 | 8 | 3 (37.5) | 2 (66.7) b | 1 (33.3) b |
| Brand 5 | 2 | 2 (100.0) | 2 (100.0) a,b | 0 |
| Brand 6 | 2 | 2 (100.0) | 1 (50.0) b | 1 (50.0) b |
| Brand 7 | 5 | 3 (60.0) | 3 (100.0) a,b | 0 |
| Brand 8 | 3 | 1 (33.3) | 0 | 1 (100.0) a |
| Brand 9 | 2 | 0 | - | - |
| Total | 113 | 86 (76.1) | 74 (86.0) | 12 (14.0) |
| Variables (N) | No. of E. coli-Positive Isolates (%) | ESBL-Ec No. (%) | Non-ESBL-Ec No. (%) |
|---|---|---|---|
| Divisions | |||
| Dhaka (82) | 65 (79.3) | 60 (92.3) a | 5 (7.7) a |
| Chattogram (10) | 10 (100.0) | 10 (100.0) a | 0 |
| Sylhet (11) | 5 (45.5) | 0 | 5 (100.0) b |
| Mymensingh (5) | 3 (60.0) | 3 (100.0) a,b | 0 |
| Rajshahi (5) | 3 (60.0) | 1 (33.3) b | 2 (66.7) b |
| Chicken types | |||
| Broiler (82) | 63 (76.8) | 55 (87.3) a | 8 (12.7) a |
| Cockerel (31) | 23 (74.2) | 19 (82.6) a | 4 (17.4) a |
| Production types | |||
| Organic (10) | 5 (50.0) | 4 (80.0) a | 1 (20.0) a |
| Non-organic (103) | 81 (78.6) | 70 (86.4) a | 11 (13.6) a |
| Meat sample types | |||
| Breast (27) | 22 (81.5) | 18 (81.8) a | 4 (18.2) a |
| Drumstick (30) | 22 (73.3) | 20 (90.9) a | 2 (9.1) a |
| Leg (3) | 3 (100.0) | 3 (100.0) a | 0 |
| Wing (19) | 16 (84.2) | 14 (87.5) a | 2 (12.5) a |
| Whole-chicken pool sample (34) | 23 (67.6) | 19 (82.6) a | 4 (17.4) a |
| Total (113) | 86 (76.1) | 74 (86.0) | 12 (14.0) |
| Name of Supershops (N) | No. (%) of Isolates Resistant to Antimicrobial Agents | ||||
|---|---|---|---|---|---|
| 4–8 | 9–13 | 14–18 | 19–23 | 24–28 | |
| Brand 1 (21) | 0 | 3 (14.3) a | 7 (33.3) a | 9 (42.9) a | 2 (9.5) a |
| Brand 2 (30) | 8 (26.7) a | 9 (30.0) a,b | 5 (16.7) b | 5 (16.7) b | 3 (10.0) a |
| Brand 3 (24) | 2 (8.3) b | 5 (20.8) a,b | 3 (12.5) b | 7 (29.2) a,b | 7 (29.2) b |
| Brand 4 (3) | 1 (33.3) a | 0 | 1 (33.3) a | 1 (33.3) a | 0 |
| Brand 5 (2) | 0 | 1 (50.0) a,b | 0 | 0 | 1 (50.0) c |
| Brand 6 (2) | 0 | 0 | 2 (100.0) c | 0 | 0 |
| Brand 7 (3) | 0 | 0 | 1 (33.3) a | 0 | 2 (66.7) c |
| Brand 8 (1) | 0 | 1 (100.0) b | 0 | 0 | 0 |
| Total | 11 (12.8) | 19 (22.1) | 19 (22.1) | 22 (25.6) | 15 (17.4) |
| Genotypes | ESBL-Ec (n = 74) | non-ESBL-Ec (n = 12) | Total (n = 86) |
|---|---|---|---|
| blaTEM | 74 (100.0) | 12 (100.0) | 86 (100.0) |
| blaSHV | 0 | 1 (8.3) | 1 (1.2) |
| blaCTX-M-1 | 0 | 0 | 0 |
| blaCTX-M-2 | 0 | 1 (8.3) | 1 (1.2) |
| Gene | Name of Primers | Sequence 5′→3′ | Amplified Product (bp) |
|---|---|---|---|
| blaTEM | TEM-410F TEM-781R | GGTCGCCGCATACACTATTCTC TTTATCCGCCTCCATCCAGTC | 372 |
| blaSHV | SHV-287F SHV-517R | CCAGCAGGATCTGGTGGACTAC CCGGGAAGCGCCTCAT | 231 |
| blaCTX-M-1 | ctxm1-115F ctxm1-702R | GAATTAGAGCGGCAGTCGGG CACAACCCAGGAAGCAGGC | 588 |
| blaCTX-M-2 | ctxm2-39F ctxm2-145R | GATGGCGACGCTACCCC CAAGCCGACCTCCCGAAC | 107 |
© 2020 by the authors. Licensee MDPI, Basel, Switzerland. This article is an open access article distributed under the terms and conditions of the Creative Commons Attribution (CC BY) license (http://creativecommons.org/licenses/by/4.0/).
Share and Cite
Parvin, M.S.; Talukder, S.; Ali, M.Y.; Chowdhury, E.H.; Rahman, M.T.; Islam, M.T. Antimicrobial Resistance Pattern of Escherichia coli Isolated from Frozen Chicken Meat in Bangladesh. Pathogens 2020, 9, 420. https://doi.org/10.3390/pathogens9060420
Parvin MS, Talukder S, Ali MY, Chowdhury EH, Rahman MT, Islam MT. Antimicrobial Resistance Pattern of Escherichia coli Isolated from Frozen Chicken Meat in Bangladesh. Pathogens. 2020; 9(6):420. https://doi.org/10.3390/pathogens9060420
Chicago/Turabian StyleParvin, Mst. Sonia, Sudipta Talukder, Md. Yamin Ali, Emdadul Haque Chowdhury, Md. Tanvir Rahman, and Md. Taohidul Islam. 2020. "Antimicrobial Resistance Pattern of Escherichia coli Isolated from Frozen Chicken Meat in Bangladesh" Pathogens 9, no. 6: 420. https://doi.org/10.3390/pathogens9060420
APA StyleParvin, M. S., Talukder, S., Ali, M. Y., Chowdhury, E. H., Rahman, M. T., & Islam, M. T. (2020). Antimicrobial Resistance Pattern of Escherichia coli Isolated from Frozen Chicken Meat in Bangladesh. Pathogens, 9(6), 420. https://doi.org/10.3390/pathogens9060420

